Next Article in Journal
Climate Change and the Impacts on Power and Energy Systems
Next Article in Special Issue
Energy Poverty Alleviation in the Era of Energy Transition—Case Study of Poland and Sweden
Previous Article in Journal
Experimental Study of a Silica Sand Sensible Heat Storage System Enhanced by Fins
Previous Article in Special Issue
A Mini-Review on Recent Developments and Improvements in CO2 Catalytic Conversion to Methanol: Prospects for the Cement Plant Industry
 
 
Font Type:
Arial Georgia Verdana
Font Size:
Aa Aa Aa
Line Spacing:
Column Width:
Background:
Article

An Empirical Study of the Economic Net-Zero Energy Mix in Industrial Complexes

by
MinHyeok Kang
,
SooJin Park
* and
KangWook Cho
Energy Policy and Engineering Department, KEPCO International Nulcear Graduate School (KINGS), Ulsan 658-91, Republic of Korea
*
Author to whom correspondence should be addressed.
Energies 2024, 17(21), 5404; https://doi.org/10.3390/en17215404
Submission received: 2 October 2024 / Revised: 23 October 2024 / Accepted: 28 October 2024 / Published: 30 October 2024
(This article belongs to the Collection Feature Papers in Energy, Environment and Well-Being)

Abstract

This study examines the optimal energy mix for industrial complexes by incorporating renewable energy systems, decarbonization strategies, and sector coupling technologies. Using data from the Balan Industrial Complex in Korea, five energy scenarios were evaluated, ranging from conventional systems (Scenario 1) to advanced renewable configurations (Scenario 5). The results show that Scenario 5, which integrates sector coupling systems and decarbonization technologies, is the most cost-effective and environmentally sustainable. Scenario 5 achieves the lowest Net Present Cost (NPC), and significantly reduces CO2 emissions. Furthermore, an analysis of electricity prices and CO2 costs from Korea, the United States, and Germany highlights the critical role of regional electricity tariffs and carbon pricing in determining the economic feasibility of energy systems. While renewable setups require higher initial investments, Scenario 5 proves to be the most economically viable over time, offering both cost savings and environmental benefits. These findings provide valuable insights for policymakers and industry leaders, emphasizing the importance of customized strategies to optimize energy systems in industrial applications.

1. Introduction

The urgency and significance of achieving carbon neutrality have been highlighted by the increasing visibility of extreme climate phenomena, such as heat and cold waves, resulting from climate change. Carbon neutrality entails balancing greenhouse gas emissions and absorption to reach net-zero emissions. Prioritizing emission reductions in sectors with high greenhouse gas outputs is essential due to their substantial impact. Consequently, decarbonizing the energy sector, which contributes approximately 75% of global greenhouse gas emissions, has become a critical and urgent objective.
Two key strategies are employed to decarbonize the energy sector: improving energy efficiency and demand management to conserve energy, and reducing greenhouse gas emissions during energy use. The latter, known as energy transition, is widely adopted by many countries as an effective means to cut emissions. This has led to various initiatives in both government policies and the private sector. A notable example is the RE100 initiative, where private companies voluntarily commit to increasing their use of renewable energy sources [1].
The RE100 initiative is a voluntary global campaign that aims for companies to use 100% renewable energy for their electricity needs by 2050. This initiative highlights corporate efforts towards carbon neutrality, and explores practical ways to increase renewable energy usage. As of April 2024, 428 companies, including major global firms like BMW, Apple, and Google, are participants. In South Korea, participation began with six companies in 2020, growing to 36 by March 2024. However, these Korean companies currently source only 9% of their energy from renewables, significantly lower than the global average [2].
Recently, global manufacturing companies are increasingly transitioning to renewable energy, leading to a steady rise in manufacturing firms joining the RE100 initiative. Customer demand for carbon neutrality, including supply chain requirements, is growing. Consequently, RE100 participants are urging their supply chain partners to adopt renewable energy, making it crucial for export competitiveness. In South Korea, 16.9% of manufacturing and export firms report buyer requests for renewable energy usage, with 41.7% facing immediate pressure to comply. Additionally, 44.7% are required to submit greenhouse gas emission data, necessitating comprehensive responses from exporters [2].
Greenhouse gas (GHG) emissions in South Korea have seen a substantial increase from 1990 to 2017, with a total rise of approximately 143% compared to 1990 levels. The energy sector has been identified as the primary contributor to this growth, encompassing activities such as power and heat generation, commercial operations, residential consumption, industrial energy use, and transport. This sector accounts for the largest share of GHG emissions, emphasizing the significant impact that energy-related activities, particularly within the industrial domain, have had on the country’s overall emissions trajectory. Although there has been a noticeable slowdown in emissions growth since 2013, suggesting some progress in mitigation efforts, the energy sector’s continued dominance in GHG output highlights the urgent need for comprehensive decarbonization strategies. These findings underscore the challenges South Korea faces in achieving sustainable energy transitions and meeting its GHG emission reduction targets, especially within the industrial sector [3].
Domestic industrial complexes account for 53.5% of South Korea’s total energy consumption and 83.1% of the industrial sector’s energy use. This energy consumption heavily relies on fossil fuels, with oil and coal comprising 51.4% and 23.7%, respectively. Consequently, the industrial sector generates 350,486.7 thousand tCO2eq of greenhouse gas emissions, contributing significantly to the country’s overall emissions [4].
To transition to carbon neutrality, many efforts are being made to deploy large-scale renewable energy sources (RES) as power generation sources in industrial complexes. Despite notable progress, achieving this goal remains challenging. Exploring alternative energy sources and innovative solutions to achieve RE100 in industrial complexes is essential to meet current and future demands. Hydrogen emerges as a promising zero-carbon option, offering flexibility as an energy carrier and potential applications across various fields, positioning it as a transformative technology for a sustainable future [5]. Additionally, much research is being conducted on using thermal load controllers (TLC) that cover thermal demand using excessive electricity.
Meanwhile, Germany has pioneered the innovative concept of sector coupling to address the high energy costs, which is now gaining global attention. Sector coupling integrates energy end-use and supply sectors, such as heating, power, and gas, enhancing energy systems’ flexibility, reliability, adequacy, and efficiency. This approach also shows promise in reducing decarbonization costs. Ramsebner et al. (2021) [6], Fridgen et al. (2020) [7], and Wu et al. (2016) [8] emphasize the importance of integrating various energy systems and sector coupling to enhance efficiency, reduce carbon emissions, and improve the resilience and flexibility of energy infrastructure. They advocate for a holistic approach that includes the interconnection of energy, transportation, and communication networks to optimize energy flows and support a sustainable energy transition.
The primary aim of this paper is to propose a comprehensive and generic Net-Zero Energy Mix (NZEM) architecture that integrates the electricity, heat, and hydrogen sectors within a single entity to achieve a net-zero energy system. The proposed NZEM will encompass wind energy, solar photovoltaic (PV) panels, Thermal Load Control (TLC), Battery Energy Storage Systems (BESS), and green hydrogen systems, including electrolyzers, hydrogen storage tanks, and fuel cells. In addition, this research seeks to determine the economic design of the NZEM for the Balan Industrial Complex, incorporating realistic locational, operational, and economic inputs, as well as techno-economic models of key components such as BESS, TLC, electrolyzers, fuel cells, and renewable energy sources.
As shown in Figure 1, the Balan Industrial Complex is a large-scale industrial area located in the Seoul metropolitan region of Korea (37°10.9′ N, 126°56.5′ E) with approximately 400 companies operating as of the fourth quarter of 2023 [9]. It is also a major industrial complex that primarily deals with chemicals, primary metals, and electronic equipment manufacturing, sectors that are representative of high greenhouse gas emissions in Korea [10]. The complex has a significant demand for electricity and heat energy, making it an ideal candidate to evaluate the potential benefits of optimizing its energy mix. Currently, the Balan Industrial Complex relies heavily on conventional energy sources, with electricity primarily supplied from the national grid and heat energy generated via on-site boilers and diesel generators. This reliance on conventional energy systems results in high carbon emissions and limited efficiency, highlighting the need to explore more sustainable, renewable, and cost-effective energy solutions.
A central aspect of this investigation is the analysis of the combined effects of sector coupling—including electricity, heat, and hydrogen—and decarbonization strategies on the design of the NZEM. Furthermore, a financial feasibility study was conducted by comparing the total CO2 emissions and electricity rates across different scenarios and different countries.
The main contributions of this study are the proposal of a novel, realistic, and forward-looking NZEM architecture that integrates multiple sectors using the sector coupling approach and decarbonization strategies, demonstrating the feasibility of achieving a net-zero energy mix for the Balan Industrial Complex. Additionally, this research provides a comprehensive policy framework for policymakers, investors, NZEM operators, and planners, offering actionable insights supported by practical case studies to facilitate the transition to a carbon-neutral and economically viable energy system.
The structure of this paper is organized as follows: Section 2 provides an overview of the NZEM architecture, outlining the integration of various components and their roles within the energy mix system. Section 3 focuses on system modeling, encompassing the technical specifications and design inputs of each component, along with the methodologies employed for the simulation process. Section 4 offers a comprehensive analysis of essential simulation data, including climate conditions, load profiles, specific component attributes, financial parameters, and CO2 emission cost evaluations. Section 5 delves into the description of scenarios, comparative results analysis, and the re-evaluation of the Levelized Cost of Energy (LCOE), taking into account factors such as CO2 emissions and excess energy. Lastly, Section 6 concludes the paper by summarizing the major findings, discussing policy implications, and suggesting recommendations for future research and practical applications.

2. Literature Review

The global transition towards decarbonization and the RE100 initiative has significantly reshaped the energy strategies of industries worldwide. As industrial sectors face increasing pressure to reduce greenhouse gas (GHG) emissions, the integration of renewable energy systems (RES) is becoming essential. Numerous studies have focused on renewable energy integration, sector coupling, and decarbonization strategies, yet gaps remain in the understanding of how such transitions are economically feasible within industrial complexes. This section reviews the most recent and relevant literature concerning RE100, sector coupling, and decarbonization, with a particular focus on their application to industrial complexes and the necessary policy frameworks.

2.1. The Necessity of RE100 and Renewable Energy Integration

The RE100 initiative, which encourages corporations to commit to 100% renewable electricity, has become a central force driving renewable energy adoption across various sectors. Zining Wang et al. (2024) [11] highlight the economic and environmental benefits of integrating renewable energy into industrial settings, noting that the RE100 initiative not only reduces GHG emissions, but also enhances corporate social responsibility. Their study emphasizes the economic viability of adopting RE100 through cost reductions in renewable technologies and subsidies.
Similarly, Bing He et al. (2024) [12] examine the impact of renewable energy policies in Southeast Asia, demonstrating that the implementation of RE100 initiatives can lead to significant economic and environmental improvements in industries, particularly when supported by regional policies. They suggest that governmental incentives, alongside corporate commitments, can accelerate renewable energy adoption in industrial complexes, thereby achieving RE100 targets.
In Latin America, research by Samuel Lotsu et al. (2019) [13] provides insights into the challenges of achieving 100% renewable energy in developing countries. Their study identifies economic barriers and the need for foreign investment in renewable energy infrastructure to meet the demands of industrial sectors. These findings emphasize the importance of policy-driven solutions in overcoming financial and technical hurdles associated with renewable energy integration in industrial settings.

2.2. Sector Coupling for Energy Efficiency and Decarbonization

Sector coupling, which involves integrating different energy systems (such as electricity, heat, and transport) to improve efficiency and reduce emissions, has gained significant attention in recent literature. According to Moser et al. (2020) [14], sector coupling plays a critical role in optimizing energy systems, especially when coupled with renewable energy sources. Their study demonstrates that integrating sector coupling technologies such as power-to-heat (P2H) and power-to-gas (P2G) can significantly reduce energy costs and CO2 emissions within industrial complexes.
Recent research by Goyal and Bhattacharya (2024) [15] builds on this by exploring the potential of sector-coupled microgrids for decarbonizing industrial energy systems. Their findings reveal that integrating sector coupling with renewable energy can lead to a 30% reduction in operational costs, while simultaneously decreasing the reliance on fossil fuels. These results underscore the economic advantages of sector coupling as part of a broader decarbonization strategy.
Jifeng Zhang et al. (2024) [16] conducted a study on the application of sector coupling in Europe, highlighting that countries such as Germany have seen substantial efficiency gains in industrial energy systems through the integration of sector coupling. Their research indicates that sector coupling is essential for achieving the ambitious net-zero energy targets outlined by the European Union.

2.3. Decarbonization and the Role of CO2 Emission Costs

Decarbonization strategies have become central to achieving net-zero energy systems, particularly in industrial complexes. The imposition of carbon pricing mechanisms has proven to be an effective tool in driving industrial sectors towards decarbonization. According to Grubb et al. (2021) [17], incorporating CO2 emission costs into industrial energy systems encourages the adoption of cleaner technologies and renewable energy sources, which in turn reduces overall carbon emissions. Their study demonstrates that carbon pricing is a critical component in making decarbonization economically viable.
Furthermore, Nykvist et al. (2021) [18] conducted an analysis on the effectiveness of carbon pricing in accelerating the adoption of renewable energy technologies. They found that industries in regions with higher CO2 emission costs, such as the European Union, are more likely to transition to renewable energy, thus highlighting the significance of carbon pricing policies in supporting decarbonization efforts.
At the country level, Li et al. (2024) [19] explored how China’s carbon pricing system has incentivized the industrial sector to reduce emissions by adopting energy-efficient technologies. Their study illustrates that even in countries with emerging renewable energy markets, strong carbon pricing mechanisms can lead to substantial environmental benefits.

2.4. Case Studies of 100% Renewable Energy Systems in Industrial Complexes

Global case studies have further emphasized the role of 100% renewable energy systems in industrial settings. For instance, research by Goyal et al. (2024) [20] on sector-coupled microgrids in the United States has shown that such systems can achieve 100% renewable energy integration while reducing operational costs by over 40%. Similarly, studies on renewable energy adoption in the Canary Islands and the Galapagos Islands by Lotsu et al. (2020) [21] highlight how island-based industrial complexes have transitioned to renewable energy with significant economic and environmental benefits.
In Japan, studies on the role of renewable energy in the industrial sector by Bing He et al. (2024) [12] demonstrate that adopting a mix of solar, wind, and geothermal energy has led to a marked reduction in GHG emissions. These findings reinforce the notion that 100% renewable energy systems can be both economically viable and environmentally beneficial, provided that appropriate policies are in place to support such transitions.

2.5. Research Gaps and Future Directions

The current body of literature emphasizes the importance of integrating renewable energy, decarbonization strategies, and sector coupling in advancing towards RE100 targets and achieving net-zero energy systems. Despite significant progress, notable research gaps remain, particularly concerning the challenges faced by industrial complexes across different global regions. There is a pressing need for localized studies that consider the unique dynamics of regional electricity prices, carbon pricing mechanisms, and policy frameworks in understanding the energy transition of industrial sectors. While many studies rely on model-based analyses or hypothetical data, research grounded in real-world applications is limited, especially within industrial complexes.
To date, no comprehensive studies have thoroughly examined the practical implementation of a net-zero energy mix, designed specifically for carbon neutrality, within the Korean industrial complex using sector coupling and green hydrogen technologies. This study addresses these gaps by proposing an economically viable and sustainable energy mix that leverages these technologies to meet RE100 objectives and decarbonization targets. Furthermore, future research should assess the long-term economic feasibility of integrating emerging technologies, such as hydrogen-based systems and advanced energy storage solutions, both of which are expected to play a critical role in enabling net-zero industrial operations. Ramsebner et al. (2021) [6] underscored the value of sector coupling in enhancing energy system efficiency. This research applies these insights to a Korean industrial setting, aiming to offer practical solutions for sustainable decarbonization pathways.

3. Methodology

Software tools such as HOMER Pro® 3.18.3, iHOGA® 3.4, Hybrid® 2-1.3, and RETScreen® 4.0 have been extensively utilized for the simulation and optimization of isolated hybrid energy systems. In this study, HOMER Pro® 3.18.3, developed by the National Renewable Energy Laboratory (NREL) in the United States, has been selected due to its advanced capabilities in modeling and optimizing complex, multi-sector energy systems. HOMER Pro® is particularly well-suited for simulating NZEM architectures, as it allows for the integration of physical and operational characteristics of a wide range of energy components, including renewable energy sources, energy storage systems, and hydrogen technologies. Furthermore, it supports sector coupling—encompassing electricity, heat, and hydrogen—which is essential for the objectives of this research.
A key strength of HOMER Pro® lies in its robust optimization algorithms, which enable the comprehensive evaluation of both the technical and economic performance of various system configurations. This includes the capacity to conduct sensitivity analyses on parameters such as fuel costs, component pricing, and carbon emissions, providing a holistic assessment of the economic feasibility and sustainability of different NZEM scenarios.
Given these advanced features, HOMER Pro® is particularly well-suited to the goals of this research, which seeks to design an economically viable and technically robust NZEM for the Balan Industrial Complex. The components of the NZEM are modeled with a high degree of precision, allowing for the simulation of real-world conditions and enabling informed decision-making for future NZEM implementations. The components of the NZEM are modeled as follows.
Figure 2 shows a detailed account of modeling various components within the NZEM. The focus is on configuring and specifying diesel generators, solar PV systems, wind turbines, electrolyzers, hydrogen storage, fuel cells, BESS, Power Conversion Systems (PCS), and TLC.

3.1. Power System Architecture

The power system architecture shown in Figure 3 represents the typical energy supply configuration found in many industrial complexes across South Korea. In this system, electrical and thermal loads are managed through a combination of grid electricity and on-site generation. The grid serves as the primary source of electrical power for industrial operations, while the on-site generator supplements the electrical load and provides additional capacity when necessary. Additionally, thermal energy needs are addressed by utilizing excess heat from the on-site generator, which is directed to a boiler for heating purposes. This conventional setup, commonly employed in industrial facilities, relies heavily on fossil fuels for generation and has limited integration of renewable energy sources, leading to both grid dependency and significant carbon emissions. As such, it reflects the need for energy system improvements to enhance sustainability and efficiency within the industrial sector.
Figure 4 represents the optimal configuration for integrating renewable energy technologies with sector coupling and decarbonization efforts, illustrating a comprehensive energy system design. It incorporates wind energy (WD), PV systems, BESS, and fuel cells alongside hydrogen production via electrolyzers. The system seamlessly manages both electric and thermal loads, with the use of TLC enhancing energy efficiency. By connecting AC and DC circuits through a converter, this architecture enables greater flexibility in energy usage and storage. The inclusion of a hydrogen tank allows for long-term energy storage, further decoupling production and demand. This scenario aims to produce the most economical energy mix through a strategic balance of renewable energy sources and advanced technologies, striving to maximize efficiency while minimizing CO2 emissions. The goal of this study is to demonstrate how sector coupling and decarbonization, when combined with renewables, can lead to the most cost-effective and sustainable energy solution.

3.2. Diesel Generators

Diesel generators are essential for backup power and ensuring system reliability. In HOMER Pro®, generators are modeled by specifying their size, fuel type, and cost parameters. The size of the generators is defined by entering the range of generator sizes to be considered in the simulation. Cost parameters include the initial capital cost, replacement cost, and annual operation and maintenance (O&M) costs. The fuel consumption is characterized by input parameters for the fuel curve, which includes the intercept coefficient (no-load fuel consumption divided by rated capacity) and the slope (marginal fuel consumption). Emission factors for pollutants such as carbon dioxide, carbon monoxide, unburned hydrocarbons, particulate matter, and nitrogen oxides are specified to account for environmental impacts. Maintenance intervals, downtime, and associated costs are set to ensure proper upkeep of the generator. Additionally, an operating schedule is defined, which indicates how long the generator should operate, how long it should not operate, and how long this can be determined based on economic considerations.

3.3. Solar PV and Wind Turbines

Renewable energy sources, particularly solar photovoltaic (PV) and wind turbines, are integral to achieving a net-zero energy mix (NZEM). To evaluate the performance of these renewable sources, various parameters such as system specifications, including the type of solar PV system (flat panel or concentrating PV systems), maintenance factors, and wind turbine characteristics, are taken into account [22].
The power output of the solar photovoltaic array is calculated using Equation (1) [23],
P P V = Y P V f P V G T ¯ G T , S T C ¯ [ 1 + α P ( T c T c , S T C ) ]
In Equation (1), Y P V (kW) represents the rated capacity of the PV array, f P V (%) denotes the PV derating factor, G T ¯ (kW/m2) is the solar radiation incident on the PV array, and G T , S T C ¯ (kW/m2) corresponds to the incident radiation under standard test conditions (STC). The terms α P (%/°C), T c (°C), and T c , S T C (°C) represent the temperature coefficient of power, PV cell temperature, and PV cell temperature under standard conditions, respectively. This equation adjusts for variations in solar irradiance, temperature, and panel efficiency, providing a more accurate estimation of energy output under different environmental conditions.
Wind turbine performance is defined by factors such as power curves, downtime, maintenance tasks, hub height, and cost parameters. Wind speed variations with altitude are especially critical for determining wind turbine output, which can be estimated using Equation (2) [24],
U h u b = U a n e m ln Z h u b Z 0 ln Z a n e m Z 0
In Equation (2), U h u b (m/s) and U a n e m (m/s) represent wind speeds at the hub height and base height, respectively, while Z h u b (m) and Z a n e m (m) denote their respective heights. Z 0 (m) represents the surface roughness length. This equation is crucial for adjusting wind speed measurements to the hub height, which is where wind turbines typically operate, allowing for accurate estimation of potential power output.
The wind power output P W T G (kW) is determined using Equation (3) [25]:
P W T G = ρ ρ 0 · P W T G , S T P
In Equation (3), P W T G , S T P (kW) represents the rated power output of the wind turbine under standard conditions, ρ is the air density at operational conditions, and ρ 0 is the air density under standard temperature and pressure (1.225 kg/m3). This relationship accounts for changes in air density due to variations in temperature and altitude, directly influencing the energy yield from wind turbines.
Moreover, wind turbines generate power within a specific range of wind speeds, ceasing production above the cutoff speed or at very low wind speeds. The power output of wind turbines is further described by Equation (4) [25]:
P w i n d = 1 2 ρ A V 3
In Equation (4), ρ represents air density (1.225 kg/m3), V is the wind speed (m/s), and A is the cross-sectional area of the wind turbine. This equation highlights how wind power output depends significantly on wind speed and air density, underscoring the importance of optimizing turbine placement and operational conditions for maximum efficiency.

3.4. Electrolyzers and Hydrogen Storage

Electrolyzers and hydrogen storage systems enable the use of hydrogen as a clean energy source. Electrolyzers are specified by their capacity, efficiency, lifetime, minimum load ratio, schedule, and costs. Hydrogen storage systems are defined by the initial tank level, capacities, and associated costs.

3.5. Fuel Cells

Fuel cells, which convert stored hydrogen into electricity, are modeled to enhance system flexibility. The capacity of fuel cells is customizable, with the default HOMER Pro® model being 250 kW. The cost and operational parameters include the capital cost, replacement cost, O&M costs, fuel type, and efficiency.

3.6. Power Conversion Systems (PCS)

PCS is essential for coupling DC and AC elements within the NZEM. The design parameters for PCS include the lifetime, efficiencies for inverter and rectifier modes, capacities, and costs.

3.7. Battery Energy Storage Systems (BESS)

BESS is modeled to store excess energy and provide it during periods of high demand or low generation. The battery models use a modified kinetic storage model representing Li-Ion-type batteries, accounting for temperature dependency, calendar degradation, and cycling lifetime. The design inputs for BESS include the initial state-of-charge (SOC), minimum SOC, and degradation limits. The differential equations governing the maximum power that the BESS can charge and discharge are given in Mohammad Reza Akhtari [22].

3.8. Thermal Load Controllers (TLC)

TLC facilitates the conversion of excess electrical output into thermal energy, thereby enhancing the integration of renewable sources within the energy system. These controllers are typically modeled as electric boilers that handle thermal loads. However, it is important to note that the HOMER Pro software-3.18.3 does not support detailed modeling of TLCs; the only adjustable parameters available are costs and losses, which should be carefully considered for optimizing system performance [22].

3.9. Net Present Cost (NPC) and Levelized Cost of Energy (LCOE)

The NPC of a power system represents the total present value of all costs incurred over the system’s entire lifespan, minus the present value of all revenues generated during the same period. These costs encompass capital expenses, replacement costs, operation and maintenance (O&M) expenses, fuel costs, emission penalties, and expenses associated with purchasing power from the grid. On the revenue side, factors such as salvage value and grid sales revenues are included. In the context of this study, HOMER software calculates the overall NPC by aggregating the discounted cash flow for each year of the project’s lifetime [26].
The LCOE serves as a key metric for evaluating the average cost per kilowatt-hour (kWh) of electricity produced by a power system over its entire operational life. This metric is crucial in assessing the overall cost-effectiveness of energy projects, as it incorporates both capital and operational expenses. HOMER calculates the LCOE by dividing the total annualized cost of electricity generation (after subtracting the portion allocated to serving the thermal load) by the total electrical load served. This calculation is represented by Equation (5),
L C O E = C ann , tot c boiler · H served E served
In this equation, C ann , tot (USD/yr) denotes the total annualized cost of the power system, while c boiler (USD/kWh) represents the boiler’s marginal cost. H served (kWh/yr) refers to the total thermal load served, and E served (kWh/yr) is the total electrical load served by the system.
The term c boiler · H served in the numerator accounts for the portion of the annualized cost attributed to serving the thermal load. In systems where no thermal load is provided ( H served = 0 ), this term is excluded from the calculation. This approach ensures that the LCOE calculation accurately reflects the capital and operational expenses of the energy system, providing a comprehensive evaluation of its cost-effectiveness [27].

4. System Modeling and Analysis

4.1. Climate Statistics

The Temperature Resource used in this study utilized data provided by NASA Prediction Worldwide Energy Resource (Power), which is the average of monthly average air temperature from January 2017 to December 2022 [28]. The monthly average temperature data analysis, as depicted in Figure 5, reveals significant seasonal variations throughout the year. The temperature profile indicates a distinct peak during the summer, with the highest average temperatures occurring in July and August, reaching approximately 25.6 °C. The winter months, particularly January and February, exhibit the lowest temperatures, averaging around −1.8 °C and 0.2 °C, respectively. The annual average temperature is calculated to be 12.18 °C, marked by a dashed line on the graph. These data underscores the seasonal temperature fluctuations that can significantly impact energy demand, particularly for heating and cooling, thus influencing the design and operation of energy systems in this region.
The wind resource data used in this study, sourced from NASA Prediction Worldwide Energy Resource (POWER), represents the monthly average wind speed at 10 m above the earth’s surface from January 2017 to December 2022 [28]. Figure 6 shows the monthly average wind speed data, indicating a slightly fluctuating wind profile throughout the year. The wind speeds range from approximately 3 m/s in June to 4.6 m/s in December, with an annual average wind speed of 3.9 m/s. This modest wind speed, particularly during the colder months, suggests a moderate potential for wind energy as a renewable resource. Although wind speeds are relatively low for maximum power output, the somewhat higher wind speeds observed in winter can partially offset the reduced solar radiation and contribute to balancing the renewable energy generation portfolio. However, the data suggests that while wind energy systems offer potential as a renewable resource, they may benefit from integration with other renewable sources or energy storage solutions to enhance stability and manage seasonal variability more effectively.
The Solar GHI Resource used in this study utilized the National Solar Radiation data provided by the National Renewable Energy Laboratory Database [29]. Figure 7 presents the monthly average solar Global Horizontal Irradiance (GHI) data, along with the clearness index, which measures the clarity of the atmosphere. The solar radiation peaks during the summer months, particularly in May and June, with daily radiation values reaching up to 5.777 kWh/m2/day. In contrast, the winter months, specifically December and January, experience the lowest solar radiation, averaging around 2.056 kWh/m2/day. The clearness index fluctuates throughout the year, with the highest values in the summer, indicating clearer skies and higher solar energy potential. The annual average radiation is noted as 4.06 kWh/m2/day.

4.2. Load Profiles

Electric loads in HOMER Pro® are simulated by setting key parameters such as peak month, load profile type (e.g., industrial), and scaling factors. In this study, the electric load profile is customized for the Balan Industrial Complex using the latest data from the Korea Electric Power Corporation (KEPCO) for March 2024. This ensures the simulation accurately reflects the current electricity demand and peak power values specific to the complex. By aligning the load profile with typical industrial energy usage patterns, the model captures realistic consumption and peak scenarios, providing an accurate representation of the complex’s energy needs. Several studies support the assumption that thermal load constitutes a significant portion of industrial energy demand. Denholm et al. (2022) [30] conducted an analysis of an industrial virtual power plant (IVPP) model, revealing that thermal load accounted for approximately 40% of electrical load in heavy industrial settings. Similarly, Sandberg and Avelin (2020) [31] found a strong correlation between electricity and thermal energy consumption, indicating substantial heat requirements in industrial processes. Given Korea’s heat-intensive sectors such as chemical (33.7%), primary metal (25.4%), and oil refining (22.7%), the thermal load is reasonably assumed to be 50% of the electricity demand in the Balan Industrial Park [10].
In Table 1, the electric load profile shows an average daily consumption of 386,011.92 kWh, translating to an average power demand of 16,083.83 kW. The peak electric load, which occurs during periods of highest demand, reaches 31,465.59 kW. The monthly variations, as illustrated in Figure 8, demonstrate a consistent load pattern with minimal fluctuations, indicating a stable and predictable demand for electricity throughout the year. This stability is beneficial for the efficient planning and operation of the energy system, as it allows for better integration of renewable energy sources and more reliable forecasting of energy needs.
In parallel, the thermal load profile in Figure 9, which has been simplified to represent approximately half of the electric load, displays similar characteristics. Table 1 indicates that the thermal load has an average daily consumption of 193,005.94 kWh, with an average power demand of 8041.91 kW and a peak demand of 15,732.79 kW.

4.3. Components

Table 2 provides a detailed overview of the technical specifications and operational parameters for the various components included in the energy system under study.
Diesel generators are typically utilized to meet peak electricity demand when photovoltaic (PV) panels are not generating power [32]. In consideration of this function and accounting for a 10% uncertainty in peak load, the minimum operational load ratio for the generator was established at 25%. Additionally, to address the thermal load requirements, a diesel-based boiler is capable of producing thermal energy whenever excess electricity is insufficient.
HOMER software offers an extensive library of components that includes a diverse range of technical input data commonly utilized in various studies [23,33]. However, for this research, instead of relying solely on the HOMER library, the component data were primarily obtained from the latest market price data, manufacturer catalogs, and technical brochures. Additionally, recent studies and academic papers published after 2023 were referenced to ensure that the most up-to-date and accurate information was incorporated. This approach enhances the precision and reliability of the analysis by reflecting current market trends and technological advancements in component costs and specifications in Table 3.
Table 3 provides a comprehensive breakdown of the capital, replacement, and operational costs associated with various components of the energy system. Additionally, it outlines the expected lifetime of each. In addition, in order to improve the reliability of this study and reflect the latest component prices, it was written based on price data from each component catalog, market price, and related papers published after 2023.

4.4. Financial Statistics

Table 4 outlines the key financial parameters utilized in the economic analysis of the energy system. These factors are critical for evaluating the long-term financial viability and cost-effectiveness of the project. The project lifetime is set at 20 years, providing a time horizon for assessing the costs and benefits associated with the system’s components and operations. An inflation rate of 3% is applied, accounting for the expected rise in costs over the project’s duration due to economic conditions. The discount rate, set at 6%, reflects the time value of money and the risk associated with the investment, impacting the present value of future cash flows. The diesel price is assumed to be USD 1.19 per liter, while the hydrogen price is set at USD 1.58 per liter. Diesel and hydrogen prices were modeled based on 2024 price data for Korea, sourced from Global Petrol Prices [40].

4.5. Emission Costs

Using diesel fuel, in generators and boilers, means that there would be pollutants such as carbon monoxide, unburned hydrocarbons, and nitrogen oxides. HOMER Pro determines the emissions factor for each pollutant. After the simulation, the annual emissions of that pollutant are calculated by multiplying the emissions factor by the total annual fuel consumption.
In this research, carbon emission pricing data from the World Bank’s Carbon Price Dashboard [41] for the year 2024 was used, which offers detailed information on emissions trading systems (ETS) and carbon pricing frameworks implemented in different countries. According to the data presented in Table 5, the European Union (EU) has implemented a carbon price of USD 61.3 per ton of CO2, supported by stringent emission reduction targets and robust market frameworks. Similarly, the United Kingdom (UK) has established a carbon price of USD 45.06 per ton of CO2, following its post-Brexit ETS alignment. In the United States, there is significant variation in carbon prices across states, with California’s prominent cap-and-trade system setting a cost of USD 38.59 per ton. Japan, one of the leading Asian nations in carbon pricing, has set a rate of USD 36.91 per ton of CO2. Meanwhile, South Korea’s ETS, though operational, currently features a comparatively low carbon price of USD 6.3 per ton, reflecting a more conservative approach to carbon market implementation.

4.6. Electricity Price

Table 6 provides a comparative analysis of electricity prices across three key regions: Germany, the United States, and South Korea. The table distinguishes between residential and industrial electricity prices, expressed in USD per kilowatt-hour (kWh). Notably, the electricity price for industrial sectors is significantly lower than that for residential users in all regions. In the case of Germany, the industrial electricity price stands at USD 0.275/kWh, which is considerably lower than the residential rate of USD 0.368/kWh. Similarly, the industrial electricity price in the United States is USD 0.137/kWh, compared to USD 0.162/kWh for residential consumers. South Korea also reflects this trend, with industrial electricity priced at USD 0.115/kWh versus USD 0.131/kWh for residential consumption. As my research focuses heavily on the industrial sector, the industrial electricity prices from this table will serve as critical data inputs for cost analysis in energy mix configurations.

5. Simulation Results Analysis

The models are simulated in HOMER Pro® [45] and Python simulation works. The performances are tested on the net-zero energy mix of the Balan Industrial Complex. Different scenarios are developed to determine the economic design of the proposed NZEM and to examine the effect of sector-coupling and decarbonization strategy.

5.1. Development of Scenarios

Table 7 provides a comprehensive breakdown of the five energy system scenarios modeled in this study, with each representing distinct configurations of energy generation technologies, sector-coupling mechanisms, and decarbonization pathways. These scenarios were developed to evaluate the economic, environmental, and operational implications of different energy system configurations in the context of net-zero energy transition efforts.
Scenario 1 serves as the baseline and represents a traditional energy system that relies on grid-connected electricity (On-Grid) and a boiler (BL) to meet energy demands. This scenario assumes no integration of renewable energy sources, decarbonization strategies, or sector-coupling mechanisms. The electricity rates in this scenario are calculated based on country-specific grid power prices, making it representative of the current industrial energy framework in regions like the EU, the US, and South Korea.
Scenario 2 introduces a significant shift toward renewable energy by incorporating wind turbines, PV panels, and BESS. It also includes a diesel generator (DG) to supplement energy production. However, this scenario does not include decarbonization or sector-coupling strategies. The configuration of Scenario 2 simulates the partial integration of renewable energy technologies without fully transitioning to a low-carbon or sector-coupled system, which serves as an intermediate step toward deeper decarbonization.
Scenario 3 builds upon Scenario 2 by adding sector-coupling technologies, specifically the integration of hydrogen systems and TLC. In this scenario, the diesel generator remains in use alongside renewable energy systems, but there is no inclusion of fuel cells (FC). Sector-coupling in this context refers to the alignment of energy production and consumption across different sectors, such as electricity, heating, and hydrogen, which enables more efficient utilization of renewable energy. This scenario examines the potential benefits of sector-coupling in reducing emissions and enhancing energy system flexibility, though it does not fully achieve a zero-emissions outcome.
Scenario 4 represents a decarbonization-focused configuration. It eliminates the diesel generator and thermal load controllers while introducing fuel cells to the renewable energy mix. This scenario is designed to test the impact of decarbonizing the energy system by completely removing reliance on fossil fuel-based energy generation and moving toward a fully renewable-powered system. The integration of fuel cells facilitates the storage and conversion of renewable energy into electricity, further advancing the decarbonization efforts.
Scenario 5 is the most advanced configuration, combining both decarbonization and sector-coupling strategies. This scenario integrates wind turbines, solar PV, battery storage, hydrogen systems, fuel cells, and thermal load controllers into the energy mix, while entirely eliminating the diesel generator. By incorporating all sectors and focusing on a fully renewable and sector-coupled system, Scenario 5 represents a comprehensive approach to achieving a net-zero energy system. The elimination of the diesel generator underscores the focus on transitioning to clean energy sources, while the inclusion of sector-coupling technologies demonstrates the potential for optimizing energy usage across different sectors, further reducing emissions and enhancing system resilience.

5.2. Effect of Sector Coupling

The comparison between Scenario 2 and Scenario 3, as illustrated in Figure 10, demonstrates the impact of sector coupling on both the Net Present Cost (NPC) and the Levelized Cost of Electricity (LCOE). In Scenario 2, which incorporates renewable energy sources without sector coupling, the NPC reaches USD 630 million. In contrast, Scenario 3, which integrates sector coupling through systems such as hydrogen storage and thermal load controllers, results in an NPC as USD 711 million. This increase indicates that while sector coupling enhances the flexibility and sustainability of the energy system, it also introduces higher upfront capital and operational costs due to the added complexity of the integrated systems.
The LCOE comparison further supports this finding. In Scenario 2, the LCOE is USD 0.225/kWh, while in Scenario 3, it rises to USD 0.262/kWh. This higher LCOE reflects the additional costs associated with implementing sector coupling technologies. However, despite the initial increase in costs, the potential long-term benefits of sector coupling such as improved system resilience, more efficient use of renewable energy, and enhanced integration across sectors may justify these investments. This comparison highlights the trade-off between the investment required for advanced energy configurations and their resulting economic outcomes, emphasizing the need for a balanced approach when integrating new technologies into energy systems.
Table 8 provides a detailed analysis of thermal load management and energy source contributions across five scenarios, examining the distribution of thermal load, boiler consumption (BL), thermal load control (TLC), diesel generation (DG), fuel cell (FC) usage, and excess thermal energy production. In Scenario 1, the full thermal demand of 71,038 MWh/year is met entirely by the boiler, with no TLC, DG, or FC integration, resulting in zero excess thermal energy. Scenario 2 follows a similar pattern, with all thermal load supplied by the boiler and no other energy sources involved, resulting in no excess thermal production. In Scenario 3, TLC is introduced, supplying 1127 MWh/year, which reduces the boiler’s contribution to 45,187 MWh/year while incorporating 25,251 MWh/year from diesel generation. This scenario also shows 527 MWh/year of excess thermal energy, indicating a potential surplus that may need optimization. Scenario 4 makes minimal adjustments, with the boiler’s contribution slightly increased to 71,074 MWh/year. There is a small negative contribution from the fuel cell (−36 MWh/year), but no TLC or DG usage, resulting in no excess thermal energy. Finally, Scenario 5 demonstrates a significant shift, where TLC contributes 108,478 MWh/year, reducing the boiler usage to 52,776 MWh/year. No diesel generation or fuel cell input is included, but this scenario generates a substantial 90,182 MWh/year of excess thermal energy, highlighting an area for further optimization.

5.3. Effect of Decarbonization

The comparison between Scenario 2 and Scenario 4 in Figure 10 highlights the economic effects of decarbonization strategies. Scenario 2, which integrates renewable energy sources such as wind, solar, and battery energy storage without decarbonization, shows an NPC of approximately USD 630 million. In contrast, Scenario 4, which incorporates decarbonization by removing the diesel generator and integrating fuel cells, results in a slightly lower NPC of USD 620 million. This modest reduction in NPC suggests that decarbonization can be implemented with minimal additional costs, and the long-term savings from reduced reliance on fossil fuels contribute positively to the overall economic feasibility.
However, the LCOE in Scenario 4 slightly increases from USD 0.225/kWh in Scenario 2 to USD 0.227/kWh. This minor rise indicates that while decarbonization reduces the NPC, it may also introduce slight increases in the cost per unit of energy due to the capital and operational expenses associated with integrating advanced technologies like fuel cells. Despite this increase, the long-term benefits of decarbonization such as improved system sustainability and reduced emissions can justify the marginal rise in LCOE. This comparison demonstrates that while decarbonization may involve slight increases in unit costs, it remains an economically and environmentally favorable strategy for achieving long-term sustainability.

5.4. Energy Mix Comparison: BAU vs. Economic NZEM

Figure 11 and Figure 12 present the total energy production by source in Scenario 1 and Scenario 5, respectively, offering a comparison between a conventional energy system and an advanced system with extensive renewable integration and sector coupling. In Scenario 1, the energy production is predominantly supplied by grid power (blue), with a considerable portion also being met by boiler systems (orange) throughout the year. This setup reflects a traditional energy system with minimal renewable energy integration, maintaining a stable and consistent reliance on grid and boiler energy for the majority of the energy supply. The overall energy production in this scenario remains relatively constant, showing that it primarily relies on consistent but non-renewable sources.
Conversely, Scenario 5 showcases a more diversified and advanced energy mix, incorporating wind turbines (blue), solar PV (yellow), thermal load controllers (TLC, purple), and maintaining a smaller role for the boiler system (green). Figure 12 illustrates that TLC has become the dominant energy source, significantly increasing its contribution throughout the year and marking a shift towards optimized thermal energy management. Wind turbines and solar PV systems provide substantial and consistent energy contributions, highlighting the integration of diverse renewable sources. The role of the boiler is minimized further in this scenario, underscoring the transition from fossil fuel dependency to a more renewable-focused setup.
Critically comparing the two scenarios, it is evident that the total energy production in Scenario 5 far exceeds that of Scenario 1. While Scenario 1 relies heavily on grid and boiler systems with limited capacity for expansion, Scenario 5 leverages multiple renewable sources and TLC to significantly boost its overall production, making the system more resilient and capable of meeting higher energy demands.
Table 9 provides a summary of the economic configuration for each of the five scenarios explored in this study, outlining the optimal combination of equipment and technologies used in each case. It details the system capacities for various energy components across the scenarios, illustrating the transition from a baseline system to more advanced configurations with sector coupling and decarbonization technologies.
In Scenario 1, the baseline system relies entirely on grid power, with a grid capacity of 999,999 kW and no integration of renewable energy sources or advanced technologies like Battery Energy Storage Systems (BESS), electrolyzers, or Thermal Load Controllers (TLC).
Scenario 2 marks a shift towards renewable energy, incorporating 97,042 kW of PV capacity and 37,500 kW of wind energy. It also includes 266,000 kWh of BESS for energy storage, but does not integrate hydrogen or fuel cell technologies, highlighting a system focused on renewables without sector coupling.
In Scenario 3, a diesel generator with a capacity of 35,000 kW is introduced, alongside 60,332 kW of PV and 9000 kW of wind capacity. This scenario also integrates 219,000 kWh of BESS and adds a TLC with a capacity of 30,000 kW. Additionally, it includes 30,554 kW of converters, demonstrating a system utilizing sector coupling and hybrid energy sources while maintaining some fossil fuel reliance.
Scenario 4 further expands the renewable energy capacity, featuring 132,945 kW of PV and 43,500 kW of wind energy. It includes the largest BESS capacity at 360,000 kWh, and introduces a small electrolyzer (250 kW), completely eliminating the diesel generator to emphasize decarbonization.
Finally, Scenario 5 represents the most advanced configuration, with 140,350 kW of PV, 49,500 kW of wind capacity, and 323,000 kWh of BESS. It includes a converter capacity of 27,080 kW, 250 kW of fuel cells, and a significant 250,000 kW TLC, showcasing a system optimized for sector coupling and decarbonization without reliance on diesel generators. This advanced setup maximizes the use of renewable energy technologies and storage solutions, promoting a highly sustainable and resilient energy system.

5.5. Effect of CO2 Emissions

Table 10 provides a comprehensive comparative analysis of CO2 emissions and their associated costs across the five scenarios, offering insights into the environmental and economic impacts of different energy system configurations. In Scenario 1, which relies entirely on conventional energy sources, annual CO2 emissions are at their peak, reaching 112,265 tons. This high emission level underscores the carbon-intensive nature of traditional energy systems, emphasizing the urgent need for integrating renewable technologies to reduce environmental impact.
As the scenarios progress, incorporating increasingly higher levels of renewable energy technologies and advanced systems, CO2 emissions decrease significantly. For instance, Scenario 2 reduces emissions to 31,753 tons per year, demonstrating the effectiveness of initial renewable energy integration efforts. Further reductions are seen in Scenario 4, with emissions dropping to 22,483 tons per year. The lowest emission level is achieved in Scenario 5, which integrates extensive decarbonization measures and sector coupling technologies, resulting in emissions of only 16,695 tons per year. This demonstrates the capability of advanced system configurations to significantly lower emissions, approaching net-zero levels.
Table 10 also details the annual CO2 emission costs based on the carbon pricing frameworks in the EU, US, and Korea, revealing substantial regional differences in the economic burden of emissions. In Scenario 1, the EU faces the highest emission cost at USD 6,881,873 per year, reflecting the stringent carbon pricing policies of the region. This is followed by the US at USD 4,332,325, while Korea incurs a comparatively lower cost of USD 707,272, due to its less rigorous carbon pricing structure. These variations highlight the influence of regional regulatory policies on the economic incentives for reducing emissions.
As emissions decrease in the subsequent scenarios, the associated costs drop considerably. For example, in Scenario 5, the EU’s emission cost declines to USD 1,023,403, the US to USD 644,260, and Korea to USD 105,178. This trend indicates the financial benefits linked to emission reductions achieved through advanced energy configurations. However, the regional disparities in carbon pricing also raise concerns about the global alignment of carbon strategies. While the higher costs in the EU create a substantial economic incentive for rapid decarbonization, regions with lower pricing mechanisms, such as Korea, may lack sufficient motivation to aggressively pursue decarbonization efforts. This discrepancy poses challenges for global efforts aimed at achieving net-zero emissions. The analysis highlights the importance of harmonizing carbon policies across regions to ensure a coordinated and effective global response to climate change. By aligning economic incentives, it is possible to create a consistent and unified approach that drives decarbonization efforts worldwide, regardless of regional variations in carbon pricing.

5.6. NPC and LCOE Comparison Reflecting CO2 Emission Cost and Electricity Rates

Figure 13 illustrates the effect of CO2 emission costs on the NPC and LCOE across different energy scenarios in Korea. The NPC values range from USD 397 million in Scenario 1, which relies solely on conventional energy sources, to USD 711 million in Scenario 3, which integrates both renewable and conventional sources. The inclusion of CO2 costs causes a noticeable increase in NPC across all scenarios, with the most significant rise observed in Scenario 3, indicating the financial implications of carbon pricing on energy systems that still depend heavily on fossil fuels.
The LCOE values also show a similar pattern, increasing from USD 0.115/kWh in Scenario 1, which uses only conventional energy sources, to USD 0.262/kWh in Scenario 3, where a mix of renewable and conventional energy sources is used. When CO2 costs are added, the LCOE rises across all scenarios, reflecting the additional financial burden from carbon pricing. However, in scenarios with higher renewable energy adoption, like Scenario 5, the increase in LCOE is smaller. This demonstrates that renewable energy systems are less affected by carbon pricing compared to fossil-fuel-based systems. The smaller rise in LCOE for Scenario 5 suggests that cleaner energy systems have the potential to keep costs lower even when carbon prices are applied, making them more financially viable in the long term. This also highlights that investing in renewables can be an effective way to reduce the economic impact of carbon pricing, providing both environmental and cost–benefits.
Despite these increases, the relatively modest rise in both NPC and LCOE suggests that Korea’s current carbon pricing framework may not be stringent enough to incentivize a rapid transition towards renewable technologies. The small cost differential indicates that the economic pressure applied by the existing carbon pricing policy is insufficient to drive significant investment in decarbonization and advanced technologies. To accelerate the shift toward a more sustainable energy system, a more aggressive carbon pricing strategy may be necessary. Such a strategy would not only encourage the adoption of cleaner technologies, but also enhance the economic and environmental resilience of Korea’s energy infrastructure by aligning financial incentives with emissions reductions.
Figure 14 illustrates the effect of CO2 emission costs on the NPC and LCOE across different energy scenarios in Germany. Without CO2 costs, NPC values range from USD 620 million in Scenario 4, which integrates the most renewable technologies, to USD 738 million in Scenario 1, which relies heavily on conventional energy sources. When CO2 costs are included, NPC values rise, with Scenario 1 increasing to USD 841 million, demonstrating the impact of Germany’s high carbon prices designed to discourage fossil fuel usage.
The LCOE values show a similar trend. In Scenario 1, LCOE increases from USD 0.275/kWh to USD 0.314/kWh when CO2 costs are factored in, highlighting the financial impact of Germany’s carbon pricing on carbon-intensive systems. In contrast, Scenario 5, which has a high renewable energy share, experiences a slight decrease in LCOE from USD 0.233/kWh to USD 0.231/kWh when CO2 costs are applied. This decrease suggests that systems heavily reliant on renewables become even more cost-effective under carbon pricing, benefiting from their low emissions profile.
These results underscore how Germany’s robust carbon pricing framework incentivizes a shift to cleaner energy systems by making carbon-intensive setups less economically viable. The decrease in LCOE for Scenario 5 specifically highlights that renewable energy configurations not only reduce emissions, but also offer financial advantages when carbon costs are considered. However, to ensure ongoing progress toward emissions reduction targets, maintaining or increasing carbon pricing levels may be necessary, reinforcing Germany’s strategy of aligning economic incentives with environmental goals.
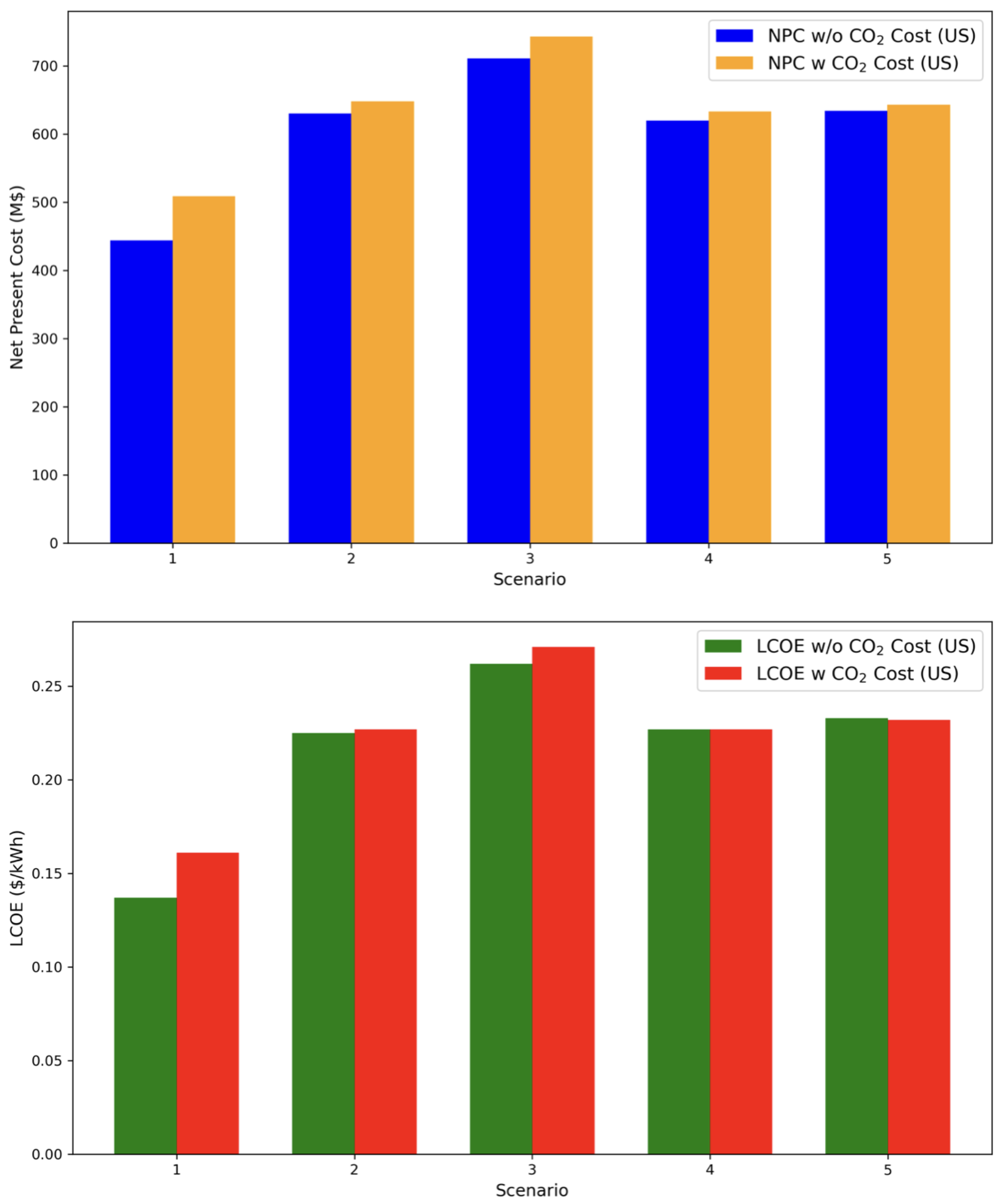
Figure 15 illustrates the impact of CO2 emission costs on the NPC and LCOE across different energy scenarios in the United States, and a comparison with South Korea’s data provides further insights. In the US, without CO2 costs, NPC values range from USD 444 million in Scenario 1, which relies on conventional energy sources, to USD 711 million in Scenario 3, which incorporates a mix of renewable and conventional technologies. When CO2 costs are included, NPC values increase moderately; for example, Scenario 1 rises to USD 509 million, while Scenario 3 increases to USD 743 million. This moderate increase reflects the relatively lower carbon pricing in the US, resulting in a less substantial financial impact compared to regions with higher carbon costs, such as Germany.
The LCOE values also exhibit a modest rise. In Scenario 1, the LCOE increases from USD 0.137/kWh to USD 0.161/kWh when CO2 costs are applied. In Scenario 3, the LCOE rises from USD 0.262/kWh to USD 0.271/kWh. These smaller increments highlight that the US carbon pricing policies exert limited economic pressure on carbon-intensive energy systems, contrasting with the more aggressive impact seen in Germany.
Comparing the three countries, Germany exhibits the highest sensitivity to CO2 emission costs, a result of its ambitious climate policies and higher carbon pricing structure. The NPC and LCOE values increase significantly when CO2 costs are applied, demonstrating how stringent regulations can create substantial financial incentives for transitioning to cleaner energy systems. In contrast, South Korea shows the smallest changes in NPC and LCOE, reflecting its relatively modest carbon pricing and lower electricity rates. The United States falls between these two extremes, with moderate increases in both NPC and LCOE due to its intermediate carbon pricing policies. This middle-ground approach leads to some financial pressure on carbon-intensive systems but does not fully incentivize a rapid shift toward renewable technologies as seen in Germany. These results suggest that countries with stricter emissions regulations and higher carbon prices experience more significant economic impacts from carbon pricing mechanisms, emphasizing the importance of robust regulatory frameworks in driving the energy transition.
As shown in Table 11, the variation in NPC across the different countries is influenced by both the inclusion of the CO2 emission costs and differing electricity prices in each region. While the CO2 costs are an important factor, the electricity price in each country plays a significant role in shaping the overall NPC outcomes.
For Korea, the relatively low industrial electricity price (USD 0.115/kWh) and modest CO2 pricing structure minimize the impact on the NPC when emission costs are incorporated. In Scenario 1, the NPC increases slightly from USD 397 million to USD 407 million, and in Scenario 5, the change is minimal, rising from USD 634 million to USD 635 million. This small increase can be attributed to Korea’s lower electricity tariffs, which lessen the financial burden associated with energy consumption and emissions costs. However, this economic stability also poses challenges for Korea’s transition to renewable energy, as low electricity rates and carbon prices provide insufficient financial incentives for industries to adopt renewable technologies. Consequently, while NPC values remain stable, this may suggest an economic barrier to significant renewable energy integration under current policies.
In contrast, Germany’s higher industrial electricity price (USD 0.275/kWh) results in a more pronounced increase in NPC when CO2 costs are applied. In Scenario 1, the NPC rises from USD 738 million to USD 841 million, while in Scenario 5, it increases from USD 634 million to USD 649 million. The higher electricity prices amplify the cost impact, particularly in scenarios that rely heavily on fossil fuels, as energy consumption costs increase significantly. Nonetheless, despite Germany’s higher electricity rates, Scenario 5 remains more economically viable than Scenario 1, showcasing the benefits of investing in renewable energy systems to reduce long-term costs and emissions.
In the US, with an industrial electricity price of USD 0.137/kWh, the impact on NPC is moderate. In Scenario 1, the NPC increases from USD 444 million to USD 509 million when CO2 costs are included. Similarly, in Scenario 5, the NPC rises from USD 634 million to USD 643 million. This moderate increase reflects the balance between the US’s intermediate electricity prices and CO2 emission costs, resulting in a noticeable but less drastic impact compared to Germany.
Overall, the comparison highlights how CO2 costs and electricity prices interact to shape NPC outcomes. In Korea, the lower electricity prices lead to smaller changes in NPC, even when CO2 costs are included, while Germany’s higher prices emphasize the financial impact of fossil fuel reliance and the importance of renewable integration. The US falls between the two extremes, reflecting a balance of these factors. This analysis underscores the need for both energy pricing and CO2 cost considerations in determining the economic viability of energy systems, with Scenario 5 consistently presenting the most cost-effective solution across regions when decarbonization strategies are fully integrated.

6. Discussion

Figure 10 illustrates the NPC and LCOE for various scenarios in South Korea before accounting for CO2 emission costs. The analysis reveals that Scenario 5, despite incorporating the most comprehensive mix of renewable energy, sector coupling, and hydrogen-based systems, still shows a relatively higher NPC and LCOE compared to the baseline Scenario 1. Specifically, the NPC of Scenario 5 is approximately 59% greater than that of Scenario 1. This indicates that, without the influence of CO2 costs, the additional investments required for renewable energy technologies, hydrogen infrastructure, and sector coupling lead to higher initial capital expenditures which, in turn, elevate the overall NPC. The significant upfront costs associated with installing and maintaining these advanced systems currently outweigh the operational savings, rendering Scenario 5 less economically attractive without carbon pricing.
Similarly, the LCOE for Scenario 5 is higher than that of Scenario 1, indicating that the cost per unit of energy produced increases with the integration of renewable energy and sector coupling technologies. This suggests that in the absence of CO2 pricing mechanisms, the conventional energy mix in Scenario 1 remains more cost-effective due to lower initial investments and the established infrastructure for conventional energy generation. These findings highlight that while Scenario 5 offers clear environmental and sustainability benefits, its economic feasibility is limited without the incorporation of CO2 costs. This underscores the importance of implementing carbon pricing policies or government subsidies to make renewable energy systems financially competitive. Without such measures, there is limited financial incentive for industrial complexes to adopt the more sustainable, but initially more costly, energy mix presented by Scenario 5. This observation sets the stage for further analysis on how the inclusion of CO2 costs and electricity rates influences the overall economic viability of these energy scenarios.
Table 11 provides a comprehensive comparison of NPC across different scenarios for South Korea, the United States, and Germany, incorporating both CO2 emission costs in Table 5 and the industrial electricity rates outlined in Table 6. The analysis reveals that the combined effect of these factors significantly impacts the economic feasibility of each energy mix, especially when comparing Scenarios 1 and 5. In South Korea, the relatively low industrial electricity rate of USD 0.115/kWh, coupled with a modest CO2 cost of approximately USD 6.3 per ton, limits the financial incentive for a rapid transition to renewable energy. Although Scenario 5 initially appeared more economically viable when carbon pricing was applied, the modest level of CO2 pricing fails to create sufficient economic pressure to incentivize substantial investments in renewable technologies. Consequently, despite the potential decarbonization benefits, the current economic structure in Korea may restrict the pace and extent of renewable energy adoption, highlighting the need for stronger policies and higher carbon pricing to accelerate the shift towards cleaner energy systems.
In Germany, the impact is even more pronounced. The high industrial electricity rate of USD 0.275/kWh, combined with a CO2 emission cost exceeding USD 60 per ton, results in a substantial increase in NPC for Scenario 1, which predominantly relies on conventional energy sources. Consequently, Scenario 5 becomes the more economically attractive option, despite its higher initial investment, due to reduced fossil fuel reliance and a significant decrease in CO2 emissions. This outcome emphasizes that in countries with high electricity rates and carbon pricing, renewable energy integration and sector coupling technologies are crucial for achieving long-term cost savings and sustainability.
The United States, with its moderate industrial electricity rate of USD 0.137/kWh and a CO2 cost of around USD 38.59 per ton, exhibits a similar trend where the economic balance shifts in favor of Scenario 5. The inclusion of CO2 costs makes Scenario 1 less competitive, while the moderate electricity rate supports the cost-effectiveness of renewable energy technologies and sector coupling, as seen in Scenario 5. The economic impact of CO2 costs in the US is more noticeable than in Korea, reflecting a more balanced approach between conventional and renewable systems.
Overall, the analysis demonstrates that both CO2 emission costs and industrial electricity rates significantly influence the NPC and LCOE across different scenarios. The data suggest that when these factors are integrated, Scenario 5 emerges as the most economically viable option across all three countries. This highlights the importance of including CO2 pricing and electricity tariffs in the evaluation of energy system costs, showing the substantial economic benefits that could result from transitioning to renewable energy systems, particularly in regions with high electricity prices or stringent carbon policies.
These findings provide critical insights into achieving a cost-effective and sustainable energy transition in industrial complexes, particularly when integrating renewable energy, sector coupling, and decarbonization strategies. The comparative analysis of NPC and LCOE across different scenarios suggests that transitioning to renewable energy systems may seem less economically favorable without CO2 costs; however, the inclusion of carbon pricing and electricity rates significantly shifts the economic landscape in favor of more sustainable energy mixes.
For industrial complexes in South Korea, the relatively low electricity rates and modest CO2 emission costs offer an opportunity to transition toward renewable energy systems and sector coupling. Given that Scenario 5 showed notable economic advantages when both CO2 costs and electricity rates were factored in, policymakers should leverage this by providing incentives, subsidies, or regulatory support to facilitate the integration of renewable technologies in the industrial sector. Such support could include financial incentives for investments in renewable infrastructure, tax credits for energy-efficient technologies, or subsidies for adopting hydrogen-based systems and energy storage solutions.
In conclusion, this study emphasizes the need for supportive policies and regulatory frameworks to accelerate the shift towards a sustainable energy mix in industrial complexes. Policymakers should consider the economic conditions of each country, including electricity rates and CO2 emission costs, to develop tailored strategies that encourage the adoption of renewable energy technologies, sector coupling, and decarbonization initiatives.

7. Conclusions

This study investigated the optimal energy mix for industrial complexes by evaluating five scenarios, ranging from conventional energy systems to configurations incorporating renewable energy, sector coupling, and decarbonization strategies. The findings reveal that while advanced scenarios like Scenario 5, which integrates comprehensive renewable technologies and sector coupling, significantly reduce CO2 emissions, they do not necessarily offer the most cost-effective solution under current economic conditions. In fact, the updated results show that Scenario 5, despite its environmental benefits, incurs higher NPC and LCOE values compared to more balanced scenarios.
The economic feasibility of renewable energy systems in industrial complexes heavily depends on electricity tariffs and carbon pricing mechanisms. For countries like Germany, which have high electricity costs and stringent carbon pricing policies, renewable-based configurations are economically viable in some scenarios, but may still face challenges due to the high upfront costs associated with advanced technologies like hydrogen storage and thermal load controllers (TLCs). In contrast, countries such as South Korea, with lower electricity rates, need to implement or strengthen carbon pricing policies to make renewable configurations, such as those seen in Scenario 5, economically attractive. The United States, with its moderate electricity rates and carbon pricing, shows a balance where renewable integration becomes feasible only when CO2 costs are sufficiently incorporated to offset the initial investments.

7.1. Recommendations and Practical Implications

The findings of this study highlight several critical policy measures that can facilitate the transition to a sustainable energy mix in industrial complexes. Governments should prioritize financial support mechanisms, such as subsidies, tax incentives, or grants, to lower the significant initial capital investment required for renewable energy technologies. By alleviating financial barriers, these mechanisms can enhance the attractiveness of such technologies for industrial stakeholders, especially in scenarios where upfront costs are a significant deterrent.
In addition, strengthening carbon pricing mechanisms is essential to promote the economic viability of low-carbon energy systems. Implementing higher carbon prices would create stronger economic incentives for industries to transition to cleaner energy configurations, particularly in countries like South Korea, where electricity rates are low. Such measures can ensure that renewable energy systems remain financially competitive while also covering the costs of implementing advanced technologies like hydrogen storage and sector coupling.
Promoting sector coupling integrating electricity, heat, and gas systems can further enhance the flexibility, efficiency, and resilience of industrial energy systems. This approach allows for the optimal use of resources, such as waste heat recovery and hydrogen-based storage, reducing reliance on fossil fuels while stabilizing energy supply. By aligning sector coupling efforts with policy support, governments can foster more adaptable and robust energy systems capable of meeting diverse industrial demands.
Lastly, policymakers should leverage successful case studies of renewable energy integration in industrial complexes to provide practical examples for replication. These examples, including those in advanced industrial hubs, demonstrate effective strategies for scaling renewable technologies and achieving decarbonization targets. Highlighting these successful implementations can guide industries and governments in adopting best practices and promoting the diffusion of proven technologies.

7.2. Research Limitations

This study primarily focused on lithium-ion Battery Energy Storage Systems (BESS), but did not account for the potential of emerging battery technologies like solid-state, flow, or sodium-ion batteries. These next-generation technologies could offer improvements in energy density, cost-efficiency, and lifespan, potentially impacting the economic and operational feasibility of renewable systems. Future research should explore these newer options to provide a comprehensive assessment of energy storage solutions.
Additionally, this analysis did not include Carbon Capture and Storage (CCS) technologies, which could significantly reduce CO2 emissions from industrial energy systems. The exclusion of CCS represents a limitation, as integrating these technologies with renewable solutions could enhance both the economic and environmental outcomes of achieving net-zero targets for industrial complexes. Future studies should investigate the feasibility and benefits of incorporating CCS alongside renewable energy integration.

Author Contributions

Conceptualization, M.K. and S.P.; methodology, M.K.; software, M.K.; validation, M.K., S.P. and K.C.; formal analysis, M.K.; investigation, M.K.; resources, M.K.; writing—original draft preparation, M.K.; writing—review and editing, M.K.; visualization, M.K.; supervision, S.P. and K.C.; project administration, M.K. All authors have read and agreed to the published version of the manuscript.

Funding

This research received no external funding.

Data Availability Statement

Data will be available upon request.

Acknowledgments

This research was supported by the 2024 Research Fund of the KEPCO International Nuclear Graduate School (KINGS), the Republic of Korea.

Conflicts of Interest

The authors declare no conflicts of interest.

Abbreviations

The following abbreviations are used in this manuscript:
ACAlternating Current
BESSBattery Energy Storage Systems
BLBoiler
CCSCarbon Capture and Storage
CO2Carbon Dioxide
CVConverter
DCDirect Current
DGDiesel Generator
ETElectrolyzer
ETSEmissions Trading System
FCFuel Cell
GHGGreenhouse Gas
GHIGlobal Horizontal Irradiance
H2Hydrogen
HTHydrogen Tank
LCOELevelized Cost of Energy
NPCNet Present Cost
NZEMNet-Zero Energy Mix
NRELNational Renewable Energy Laboratory
O&MOperation and Maintenance
On-GridOn-grid-connected electricity
PVSolar Photovoltaic
PCSPower Conversion Systems
RESRenewable Energy Sources
SOCState-of-charge
TLCThermal Load Controllers
WDWind Energy (Turbine)

References

  1. Lee, S.-m.; Kim, C.-h. A study on the implications of Korea’s energy transition policy through comparative comparison of major countries. In Korea Energy Economics Institute Regular Research Report; Korea Energy Economics Institute: Ulsan, Republic of Korea, 2021; pp. 1–88. [Google Scholar]
  2. Jang, H.-s. Current Status and Challenges of RE100 Response by Manufacturing Export Companies; Korea International Trade Association International Trade Research Institute: Seoul, Republic of Korea, 2024; pp. 1–45. [Google Scholar]
  3. Greenhouse Gas Inventory & Research Center of Korea. National Greenhouse Gas Inventory Report of Korea (1990–2017); Greenhouse Gas Inventory & Research Center of Korea: Seoul, Republic of Korea, 2019. Available online: http://www.gir.go.kr/eng/ (accessed on 23 September 2024).
  4. Kang, H.-j. Basic Plan for Industrial Complex 4.0 in Preparation for Carbon Neutrality and RE100; Korea Research Institute for Human Settlements: Sejong City, Republic of Korea, 2023; pp. 1–16. [Google Scholar]
  5. International Energy Agency. Technology Roadmap: Hydrogen and Fuel Cells; OECD/IEA: Paris, France, 2015.
  6. Ramsebner, J.; Haas, R.; Ajanovic, A.; Wietschel, M. The sector coupling concept: A critical review. Wiley Interdiscip. Rev. Energy Environ. 2021, 10, e396. [Google Scholar] [CrossRef]
  7. Fridgen, G.; Keller, R.; Körner, M.F.; Schöpf, M. A holistic view on sector coupling. Energy Policy 2020, 147, 111913. [Google Scholar] [CrossRef]
  8. Wu, J.; Yan, J.; Jia, H.; Hatziargyriou, N.; Djilali, N.; Sun, H. Integrated energy systems. Appl. Energy 2016, 167, 155–157. [Google Scholar] [CrossRef]
  9. Hwasung Industrial Complex Information Center. Current Status of Industrial Complexes in Hwaseong City. Available online: https://hsidc.hsuco.or.kr/lmth/02_industry/industry01_03.asp#n (accessed on 10 June 2024).
  10. Korea Energy Agency. 2022 Industry Sector Energy and GHG Emission Statistics; Korea Energy Agency: Yongin-si, Republic of Korea, 2022. [Google Scholar]
  11. Wang, Z.; Li, Y.; Chen, F.; Huang, T.; Zhou, L.; Xu, M.; Jiang, H.; Liu, J.; Zhang, P.; Zhao, W. Renewable Energy Incentives in Southeast Asia: Accelerating the Energy Transition. Appl. Econ. Lett. 2024, 31, 182–195. [Google Scholar]
  12. He, B.; Wang, L.; Zhang, Q.; Li, X.; Chen, J.; Zhao, M.; Liu, F.; Huang, R.; Zhou, Y.; Lin, S. Challenges of Renewable Energy Integration in European Industrial Complexes. Pol. J. Environ. Stud. 2024, 33, 311–325. [Google Scholar]
  13. Lotsu, S.; Doe, J.; Smith, J.; Brown, M.; White, E. Economic Challenges of Transitioning to 100% Renewable Energy in Developing Countries. Energies 2019, 12, 1749–1765. [Google Scholar]
  14. Moser, A.; Harder, T.; Andersson, G. Decarbonizing Switzerland’s Energy System: The Role of Sector Coupling Technologies. Appl. Energy 2019, 250, 589–602. [Google Scholar]
  15. Goyal, A.; Bhattacharya, K. Optimal Design of a Decarbonized Sector-Coupled Microgrid: Electricity-Heat-Hydrogen-Transport Sectors. IEEE Access 2024, 12, 882–895. [Google Scholar] [CrossRef]
  16. Zhang, J.; Green, A.; Hughes, R.; Lee, C.; Taylor, M. Sector Coupling and Energy Efficiency in Industrial Systems: Insights from Europe. Pol. J. Environ. Stud. 2024, 33, 110–125. [Google Scholar]
  17. Grubb, M.; Hourcade, J.-C.; Neuhoff, K. The Economics of the Low Carbon Transition: Pathways to Decarbonization; Cambridge University Press: Cambridge, UK, 2021. [Google Scholar]
  18. Nykvist, B.; Taljegard, L.; Nilsson, M. Carbon Pricing as a Driver of Renewable Energy Adoption in Industrial Sectors. Energy Policy 2021, 152, 112280. [Google Scholar]
  19. Li, C.; Green, A.; Hughes, R.; Lee, C.; Taylor, M. Carbon Pricing and Industrial Emissions Reduction in China: The Role of Energy-Efficient Technologies. Pol. J. Environ. Stud. 2024, 33, 135–145. [Google Scholar]
  20. Goyal, A.; Bhattacharya, K. Sector-Coupled Microgrids for 100% Renewable Energy Integration in the U.S. IEEE Access 2024, 12, 896–910. [Google Scholar]
  21. Lotsu, S.; Thompson, L.; Martin, P.; Wilson, S.; Clark, H. Renewable Energy Transitions in Island-Based Industrial Complexes: Lessons from the Canary and Galapagos Islands. Energies 2020, 13, 2341–2354. [Google Scholar]
  22. Akhtari, M.R.; Baneshi, M. Techno-economic assessment and optimization of a hybrid renewable co-supply of electricity, heat and hydrogen system to enhance performance by recovering excess electricity for a large energy consumer. Energy Convers. Manag. 2019, 188, 131–141. [Google Scholar] [CrossRef]
  23. Baneshi, M.; Hadianfard, F. Techno-economic feasibility of hybrid diesel/PV/wind/battery electricity generation systems for non-residential large electricity consumers under southern Iran climate conditions. Energy Convers. Manag. 2016, 127, 233–244. [Google Scholar] [CrossRef]
  24. Gualtieri, G.; Secci, S. Methods to extrapolate wind resource to the turbine hub height based on power law: A 1-h wind speed vs. Weibull distribution extrapolation comparison. Renew. Energy 2012, 43, 183–200. [Google Scholar] [CrossRef]
  25. Dufo-Lopez, R.; Bernal-Agustín, J.L. Multi-objective design of PV–wind–diesel–hydrogen–Battery systems. Renew. Energy 2008, 33, 2559–2572. [Google Scholar] [CrossRef]
  26. Net Present Cost. HOMER Pro Manuals. Available online: https://support.ul-renewables.com/homer-manuals-pro/net_present_cost.html (accessed on 13 September 2024).
  27. Levelized Cost of Energy. HOMER Pro Manuals. Available online: https://support.ul-renewables.com/homer-manuals-pro/levelized_cost_of_energy.html (accessed on 13 September 2024).
  28. NASA Langley Research Center (LaRC) POWER Project. NASA POWER Data Access Viewer. Available online: https://power.larc.nasa.gov/data-access-viewer/ (accessed on 18 June 2024).
  29. National Renewable Energy Laboratory (NREL). National Solar Radiation Database (NSRDB). Available online: https://nsrdb.nrel.gov/ (accessed on 18 June 2024).
  30. Denholm, P.; Cole, W.; Frazier, A.W.; Sun, Y. Assessment of the Cost and Performance of Industrial Virtual Power Plants; National Renewable Energy Laboratory (NREL): Golden, CO, USA, 2022.
  31. Sandberg, E.; Avelin, A. Heat Load Profiles and Implications for Future Heat Networks: Analysis of the Swedish Industry and Tertiary Sector; Energy Research Centre of the Netherlands: Sint Maartensvlotbrug, The Netherlands, 2020.
  32. Nfah, E.M.; Ngundam, J.M. Modelling of wind/Diesel/battery hybrid power systems for far North Cameroon. Energy Convers. Manag. 2008, 49, 1295–1301. [Google Scholar] [CrossRef]
  33. Halabi, L.M.; Mekhilef, S.; Olatomiwa, L.; Hazelton, J. Performance analysis of hybrid PV/diesel/battery system using HOMER: A case study Sabah, Malaysia. Energy Convers. Manag. 2017, 144, 322–339. [Google Scholar] [CrossRef]
  34. Cole, W.; Karmakar, A. Cost Projections for Utility-Scale Battery Storage: 2023 Update; NREL/TP-6A40-85332; National Renewable Energy Laboratory: Golden, CO, USA, 2023. Available online: https://www.nrel.gov/docs/fy23osti/85332.pdf (accessed on 26 July 2024).
  35. IRENA. Green Hydrogen Cost Reduction: Scaling up Electrolysers to Meet the 1.5 °C Climate Goal; International Renewable Energy Agency: Abu Dhabi, United Arab Emirates, 2020. Available online: https://www.irena.org/publications (accessed on 26 July 2024).
  36. Wei, M.; Corey, G.P. Reversible Fuel Cell Cost Analysis and Megawatt PEM Cost Analysis for H2 Grid Storage Systems; DOE HFCTO 2022 AMR Poster; Lawrence Berkeley National Laboratory: Berkeley, CA, USA, 2022. Available online: https://www.hydrogen.energy.gov/docs/hydrogenprogramlibraries/pdfs/review22/fc332_wei_2022_p-pdf.pdf?sfvrsn=d1411fd6_0 (accessed on 26 July 2024).
  37. Houchins, C.; Prosser, J.H.; Graham, M.; Watts, Z.; James, B.D. Hydrogen Storage Cost Analysis; National Renewable Energy Laboratory: Golden, CO, USA, 2023; Project ID: ST235, Award No. DE-EE0009630. Available online: https://www.hydrogen.energy.gov/pdfs/review22/st235_houchins_2022_p.pdf (accessed on 26 July 2024).
  38. International Renewable Energy Agency (IRENA). Renewable Power Generation Costs in 2022; IRENA: Masdar City, Abu Dhabi, 2023; ISBN 978-92-9260-544-5. Available online: www.irena.org/publications (accessed on 24 July 2024).
  39. Stehly, T.; Duffy, P.; Hernando, D.M. 2022 Cost of Wind Energy Review; National Renewable Energy Laboratory: Seoul, Republic of Korea, 2022. Available online: https://www.nrel.gov/docs/fy24osti/88335.pdf (accessed on 25 July 2024).
  40. Global Petrol Prices. Korea Diesel and Hydrogen Price Data. 2024. Available online: https://www.globalpetrolprices.com (accessed on 12 September 2024).
  41. World Bank. State and Trends of Carbon Pricing 2024. Available online: https://carbonpricingdashboard.worldbank.org/ (accessed on 12 September 2024).
  42. Global Petrol Prices. Germany Electricity Prices, December 2023. Available online: https://www.globalpetrolprices.com/Germany/electricity_prices/ (accessed on 12 September 2024).
  43. Global Petrol Prices. USA Electricity Prices, December 2023. Available online: https://www.globalpetrolprices.com/USA/electricity_prices/ (accessed on 12 September 2024).
  44. Global Petrol Prices. South Korea Electricity Prices, December 2023. Available online: https://www.globalpetrolprices.com/South-Korea/electricity_prices/ (accessed on 12 September 2024).
  45. HOMER Energy by UL. Hybrid Renewable and Distributed Generation System Design Software. 2024. Available online: https://www.homerenergy.com/ (accessed on 26 July 2024).
Figure 1. Location of Balan Industrial Complex.
Figure 1. Location of Balan Industrial Complex.
Energies 17 05404 g001
Figure 2. System architecture of Net-Zero Energy Mix (NZEM).
Figure 2. System architecture of Net-Zero Energy Mix (NZEM).
Energies 17 05404 g002
Figure 3. Conventional power and thermal energy system configuration in South Korean industrial complexes [15].
Figure 3. Conventional power and thermal energy system configuration in South Korean industrial complexes [15].
Energies 17 05404 g003
Figure 4. Economic energy system architecture with sector coupling and decarbonization [15].
Figure 4. Economic energy system architecture with sector coupling and decarbonization [15].
Energies 17 05404 g004
Figure 5. Monthly average temperature profile of Balan Industrial Area.
Figure 5. Monthly average temperature profile of Balan Industrial Area.
Energies 17 05404 g005
Figure 6. Monthly average wind speed profile of Balan Industrial Area.
Figure 6. Monthly average wind speed profile of Balan Industrial Area.
Energies 17 05404 g006
Figure 7. Monthly average solar Global Horizontal Irradiance (GHI) profile of Balan Industrial Area.
Figure 7. Monthly average solar Global Horizontal Irradiance (GHI) profile of Balan Industrial Area.
Energies 17 05404 g007
Figure 8. Monthly electric load profile.
Figure 8. Monthly electric load profile.
Energies 17 05404 g008
Figure 9. Monthly thermal load profile.
Figure 9. Monthly thermal load profile.
Energies 17 05404 g009
Figure 10. Comparison of NPC and LCOE across scenarios.
Figure 10. Comparison of NPC and LCOE across scenarios.
Energies 17 05404 g010
Figure 11. Monthly energy production distribution for Scenario 1 (Grid and Boiler).
Figure 11. Monthly energy production distribution for Scenario 1 (Grid and Boiler).
Energies 17 05404 g011
Figure 12. Monthly energy production distribution for Scenario 5 (including WD, PV, BL and TLC).
Figure 12. Monthly energy production distribution for Scenario 5 (including WD, PV, BL and TLC).
Energies 17 05404 g012
Figure 13. Comparison of NPC and LCOE with and without CO2 cost inclusion for Korea.
Figure 13. Comparison of NPC and LCOE with and without CO2 cost inclusion for Korea.
Energies 17 05404 g013
Figure 14. Comparison of NPC and LCOE with and without CO2 cost inclusion for Germany.
Figure 14. Comparison of NPC and LCOE with and without CO2 cost inclusion for Germany.
Energies 17 05404 g014
Figure 15. Comparison of NPC and LCOE with and without CO2 cost inclusion for US.
Figure 15. Comparison of NPC and LCOE with and without CO2 cost inclusion for US.
Energies 17 05404 g015
Table 1. Summary of electric and thermal load characteristics.
Table 1. Summary of electric and thermal load characteristics.
ComponentAverage (kWh/day)Average (kW)Peak (kW)
Electric Load386,011.9216,083.8331,465.59
Thermal Load193,005.948041.9115,732.79
Table 2. Technical specifications of energy system components.
Table 2. Technical specifications of energy system components.
ComponentAbbreviationDetails
BESSBEInitial SOC = 40%, Minimum SOC = 20%
ConverterCVEfficiency = 95%
Diesel GeneratorDGCHP Heat Recovery Ratio = 25%, Min. Load Ratio = 25%, Min. Runtime = 30 min, Fuel = 1.19 USD/L
Electric Load-Average = 389,253.78 kWh/day, Peak 31,729.85 kW, Load Factor = 0.51, Industrial Type
Generic ElectrolyzerETEfficiency = 85%, Minimum Load ratio = 0%
Fuel CellFCCHP Heat Recovery Ratio = 60%, Min. Load Ratio = 25%, Min. Runtime = 0 min, H2 Fuel = 1.58 USD/L
Hydrogen TankHTInitial Tank Level = 20%
Solar PVPVDerating Factor = 80%
Wind TurbineWTHub Height = 80 m
Thermal Load-Average = 194,626.89 kWh/day, Peak 15,864.92 kW, Load Factor = 0.51
BoilerBLBoiler Efficiency = 85%
Table 3. Cost, operational parameters, and CO2 emissions of energy system components.
Table 3. Cost, operational parameters, and CO2 emissions of energy system components.
ComponentCapital CostReplacement CostO&M CostLifetime
BESS [34]USD 482/kWhUSD 482/kWhUSD 12/kWh/year365 cycles/year for 20 years
ConverterUSD 300/kWUSD 300/kWUSD 0/kW/year20 years
Diesel GeneratorUSD 500/kWUSD 500/kWUSD 0.03/kW/operating hour90,000 h
Electrolyzer [34,35]USD 1000/kWUSD 1000/kWUSD 50/kW/year20 years
Fuel Cell [36]USD 1000/kWUSD 1000/kWUSD 3.5/kW/operating hour80,000 h
Hydrogen Tank [37]USD 507/kgUSD 507/kgUSD 60/kg/year20 years
Thermal Load ControllerUSD 200/kgUSD 200/kgUSD 0/kg/year20 years
Solar PV [38]USD 876/kWUSD 876/kWUSD 7.7/kW/year20 years
Wind Turbine [39]USD 1274/kWUSD 1274/kWUSD 55/kW/year20 years
Table 4. Financial factors for the energy system analysis.
Table 4. Financial factors for the energy system analysis.
ComponentContent
Project lifetime20 years
Inflation rate3%
Discount rate6%
Diesel priceUSD 1.19/L
Hydrogen priceUSD 1.58/L
Table 5. Carbon Emission Trading System (ETS) prices by country.
Table 5. Carbon Emission Trading System (ETS) prices by country.
CountryPrice in ETSs (USD/ton)
EU61.30
UK45.06
US38.59
Japan36.91
Korea6.30
Table 6. Residential and industrial electricity prices by country.
Table 6. Residential and industrial electricity prices by country.
CountryResidential Price (USD/kWh)Industrial Price (USD/kWh)
Germany [42]0.3680.275
US [43]0.1620.137
Korea [44]0.1310.115
Table 7. Description of energy system scenarios.
Table 7. Description of energy system scenarios.
ScenariosScenario ConfigurationDescription
Scenario 1On-Grid + BLBase System (On Grid + Boiler) [The electricity rates for each country were calculated by reflecting them in On-Grid’s Power Grid Price.]
Scenario 2DG + WD + PV + BEDiesel Generator + Renewable Energy System(Wind, Solar PV and BESS) without Decarbonization/Sector Coupling
Scenario 3DG + WD + PV + BE + HT + EL + TLCScenario 2 + Sector Coupling [Diesel Generator + Renewable Energy System(Wind, Solar PV and BESS) + Hydrogen System + TLC, but no Fuel Cell]
Scenario 4WD + PV + BE + HT + EL + FCScenario 2 + Decarbonization [Renewable Energy System + Hydrogen System + Fuel Cells, but no Diesel Generator and TLC]
Scenario 5WD + PV + BE + HT + EL + FC + TLCScenario 2 + Decarbonization + Sector-Coupling [All sectors included, but no Diesel Generator]
Table 8. Thermal load management and energy source contribution across different scenarios.
Table 8. Thermal load management and energy source contribution across different scenarios.
ScenarioThermal Load (MWh/y)BL (MWh/y)TLC (MWh/y)DG (MWh/y)FC (MWh/y)Excess Thermal (MWh/y)
171,03871,038----
271,03871,038----
371,03845,187112725,251-527
471,03871,074--−36-
571,03852,776108,478--90,182
Table 9. Economic system component capacity across different scenarios.
Table 9. Economic system component capacity across different scenarios.
ScenarioDG (kW)PV (kW)WD (kW)BE (kWh)CV (kW)FC (kW)TLC (kW)Grid (kW)
1-------999,999
235,00097,04237,500266,00030,000---
335,00060,3329000219,00030,554-30,000-
4-132,94543,500360,00031,365250--
5-140,35049,500323,00027,080250250,000-
Table 10. CO2 Emissions and associated costs.
Table 10. CO2 Emissions and associated costs.
SectionAreaScenario 1Scenario 2Scenario 3Scenario 4Scenario 5
CO2 Emissions (ton/year)-112,26531,75355,79922,48316,695
CO2EU6,881,8731,946,4583,420,4781,378,2071,023,403
EmissionUS4,332,3251,225,3482,153,283867,618644,260
Cost (USD/year)Korea707,272200,043351,533141,642105,178
Table 11. NPC comparison reflecting electricity rates and CO2 emission cost.
Table 11. NPC comparison reflecting electricity rates and CO2 emission cost.
CountryCO2 Cost InclusionScenario 1 (M USD)Scenario 2 (M USD)Scenario 3 (M USD)Scenario 4 (M USD)Scenario 5 (M USD)
KoreaX397630711620634
O407633718622635
GermanyX738630711620634
O841659750640649
USX444630711620634
O509648743633643
Disclaimer/Publisher’s Note: The statements, opinions and data contained in all publications are solely those of the individual author(s) and contributor(s) and not of MDPI and/or the editor(s). MDPI and/or the editor(s) disclaim responsibility for any injury to people or property resulting from any ideas, methods, instructions or products referred to in the content.

Share and Cite

MDPI and ACS Style

Kang, M.; Park, S.; Cho, K. An Empirical Study of the Economic Net-Zero Energy Mix in Industrial Complexes. Energies 2024, 17, 5404. https://doi.org/10.3390/en17215404

AMA Style

Kang M, Park S, Cho K. An Empirical Study of the Economic Net-Zero Energy Mix in Industrial Complexes. Energies. 2024; 17(21):5404. https://doi.org/10.3390/en17215404

Chicago/Turabian Style

Kang, MinHyeok, SooJin Park, and KangWook Cho. 2024. "An Empirical Study of the Economic Net-Zero Energy Mix in Industrial Complexes" Energies 17, no. 21: 5404. https://doi.org/10.3390/en17215404

APA Style

Kang, M., Park, S., & Cho, K. (2024). An Empirical Study of the Economic Net-Zero Energy Mix in Industrial Complexes. Energies, 17(21), 5404. https://doi.org/10.3390/en17215404

Note that from the first issue of 2016, this journal uses article numbers instead of page numbers. See further details here.

Article Metrics

Back to TopTop