Research on a Photovoltaic Panel Dust Detection Algorithm Based on 3D Data Generation
Abstract
1. Introduction
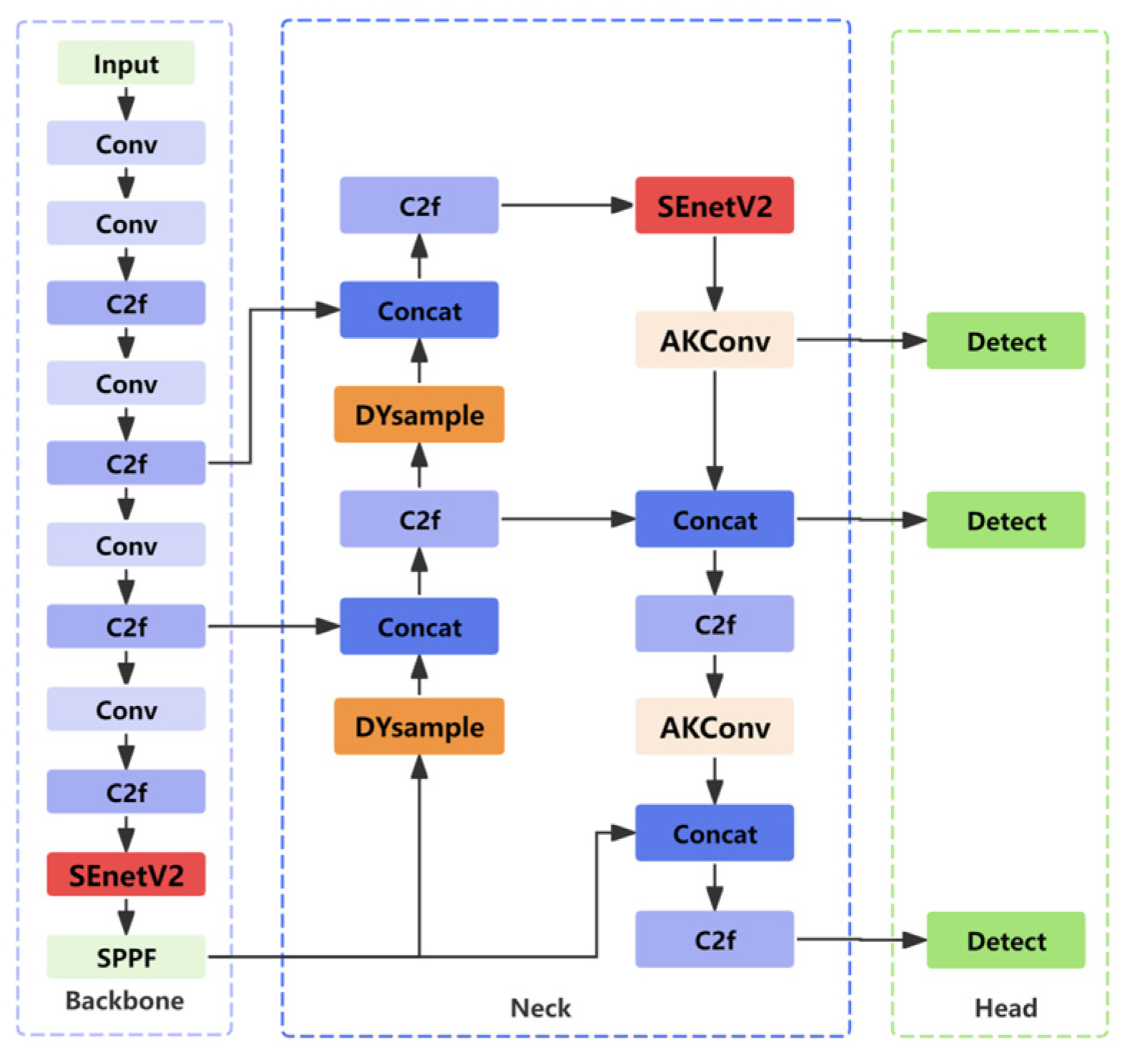
2. Improved YOLOV8 Network Structure
2.1. SENetV2 Module
2.2. Dysample Module
2.3. AKConv Module
3. Experimental Datasets and Data Enhancement Method
3.1. Modeling Methods for Artificial Photovoltaic Panel Dust
3.2. Image Quality Assessment
4. Experimental Results
4.1. Experimental Data and Parameter Settings
- (1)
- Blender graphical modeling and rendering platform [22], using Cycles renderer.
- (2)
- Intel Core i9-12900K processor (Intel, Santa Clara, USA) and ASUS RTX 3090 graphics card (ASUS, Taipei, China).
- (3)
- The dust data generation program was written based on the Blender Python API [23], and a total of 4000 dust coverage images were generated.
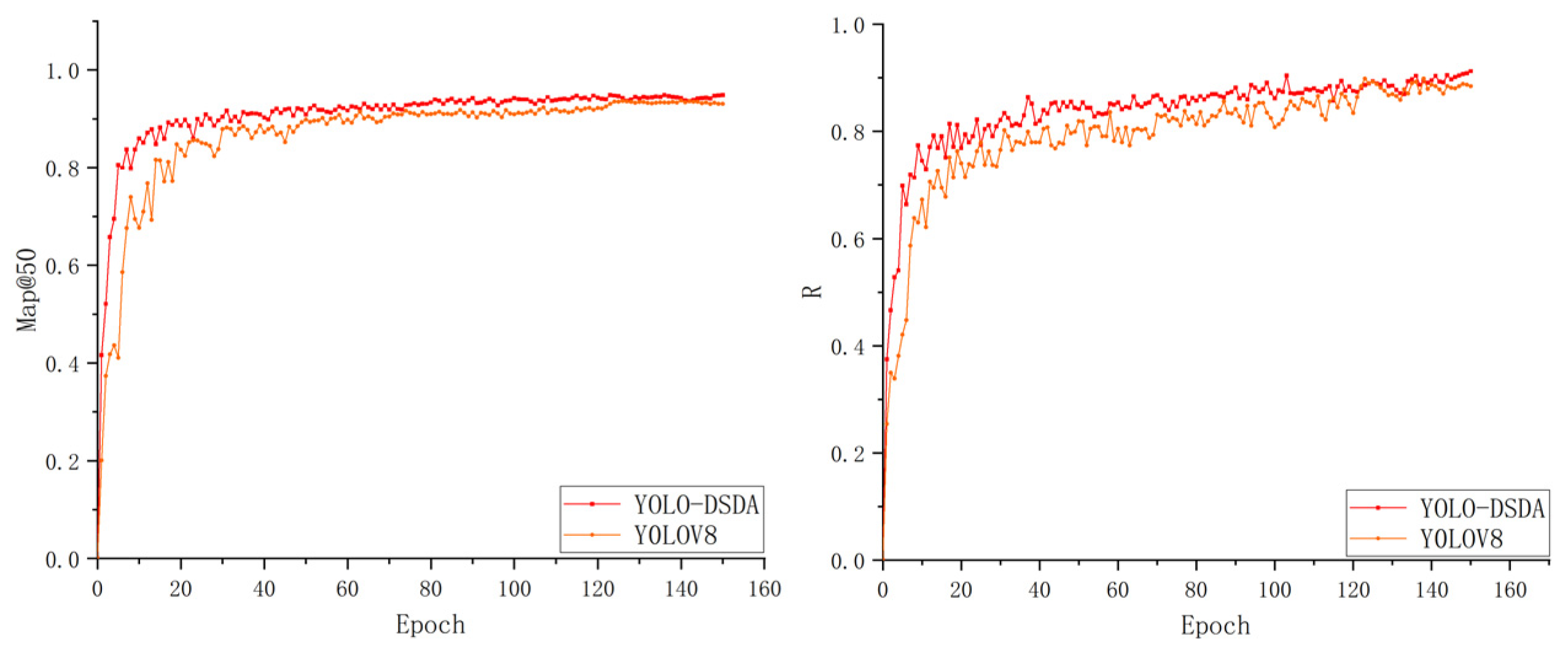
4.2. Dust Detection Experiment
4.3. Ablation Study
4.4. Other Algorithm Validation
5. Conclusions
- (1)
- The 3D image expansion technique significantly improves the performance of the PV panel dust detection model, especially in terms of generalization ability and detection accuracy. The diverse PV panel dust images generated using the 3D modeling and rendering techniques provide richer and more diverse training data, enabling the model to better cope with complex scenes in real applications.
- (2)
- The improved YOLOv8-DSDA model exhibits higher accuracy and robustness in dealing with complex data, proving the effectiveness of introducing the SENetV2, DySample, and AKConv modules. These modules enable the improved model to outperform the traditional model in a number of indicators, especially in the detection tasks of complex scenes and different dust patterns, which verifies its potential and advantages in practical applications.
- (3)
- The results of multiple experiments show that the improved YOLOv8-DSDA model performs well under various data expansion methods, especially with the support of 3D image expansion technology, and the detection accuracy and generalization ability of the model are significantly improved. This provides reliable technical support for PV panel dust detection, and can effectively cope with the challenges in practical applications.
- (4)
- The artificial modeling method of the expanding dataset proposed in this paper is not only applicable to YOLO series algorithms, but is also applicable to other target detection algorithms, and this method has a wide range of application prospects. In other fields that require high-precision target detection, such as traffic monitoring and industrial inspection, similar technical means can be used for model improvement and data expansion to enhance detection performance.
Author Contributions
Funding
Data Availability Statement
Conflicts of Interest
Nomenclature
| Aggregation operations. | |
| Squeeze operation. | |
| Excitation operation. | |
| Network mapping after offset. | |
| Feature mapping given upsampling scale factor and size. | |
| Raw sampling network mapping. | |
| Offset obtained using Conv2d. | |
| Two-dimensional convolution operation. | |
| The calculated offset is added to the original coordinates to obtain the modified coordinates. | |
| Calculated offset. | |
| Original coordinate. | |
| Final eigenvalues obtained using interpolation and resampling. | |
| Normalized image. | |
| Maximum values of the image data. | |
| Maximum values of the image data. | |
| Feature vector of layer i of the original image. | |
| Generate a feature vector for layer i of the image. | |
| The feature of the layer i cascade. | |
| The parameter of the layer i cascade. | |
| The feature vectors obtained from the cascade in the original graph form the final output vector. | |
| The feature vectors obtained from the cascade in the generated image form the final output vector. | |
| The dot product of and . | |
| The L2 paradigm of the output vector of the original map. | |
| The L2 paradigm that generates the image output vector. |
References
- Jang, S.L.; Chen, L.J.; Chen, J.H.; Chiu, Y.C. Innovation and production in the global solar photovoltaic industry. Scientometrics 2013, 94, 1021–1036. [Google Scholar] [CrossRef]
- Elshazly, E.; El-Rehim AA, A.; Kader, A.A.; El-Mahallawi, I. Effect of dust and high temperature on photovoltaics performance in the new capital area. WSEAS Trans. Environ. Dev. 2021, 17. [Google Scholar] [CrossRef]
- Mostamandi, S.; Ukhov, A.; Engelbrecht, J.; Shevchenko, I.; Osipov, S.; Stenchikov, G. Fine and coarse dust effects on radiative forcing, mass deposition, and solar devices over the Middle East. J. Geophys. Res. Atmos. 2023, 128, e2023JD039479. [Google Scholar] [CrossRef]
- Sayyah, A.; Horenstein, M.N.; Mazumder, M.K. Energy yield loss caused by dust deposition on photovoltaic panels. Sol. Energy 2014, 107, 576–604. [Google Scholar] [CrossRef]
- Yang, H.; Wang, H. Numerical simulation of the dust particles deposition on solar photovoltaic panels and its effect on power generation efficiency. Renew. Energy 2022, 201, 1111–1126. [Google Scholar] [CrossRef]
- Dantas, G.M.; Mendes, O.L.C.; Maia, S.M.; Alexandria, A.R.D. Dust detection in solar panel using image processing techniques: A review. Res. Soc. Dev. 2020, 9, e321985107. [Google Scholar] [CrossRef]
- Yue, S.; Li, M. Study on the formation and evolution mechanism of dust deposition on solar photovoltaic panels. Chem. Pap. 2022, 76, 763–774. [Google Scholar] [CrossRef]
- He, H.; Zhou, C.; Yu, P.; Lu, X. Research on a Photovoltaic Panel Dust Detection System Based on Improved Mobilenet Algorithm. In Proceedings of the 2024 IEEE 7th Advanced Information Technology, Electronic and Automation Control Conference (IAEAC), Chongqing, China, 15–17 March 2024; IEEE: Piscataway, NJ, USA, 2024. [Google Scholar] [CrossRef]
- Elyanboiy, N.; Eloutassi, O.; Khala, M.; Elabbassi, I.; Elhajrat, N.; Elhassouani, Y.; Messaoudi, C. Advanced intelligent fault detection for solar panels: Incorporation of dust coverage ratio calculation. In Proceedings of the 2024 4th International Conference on Innovative Research in Applied Science, Engineering and Technology (IRASET), Fez, Morocco, 16–17 May 2024; IEEE: Piscataway, NJ, USA, 2024. [Google Scholar] [CrossRef]
- Saquib, D.; Nasser, M.N.; Ramaswamy, S. Image Processing Based Dust Detection and prediction of Power using ANN in PV systems. In Proceedings of the 2020 Third International Conference on Smart Systems and Inventive Technology (ICSSIT), Tirunelveli, India, 20–22 August 2020. [Google Scholar] [CrossRef]
- Rachid, E.; Mohamed, B.; Youssef, A.; Abdelkader, M. (2023, May). Application of Deep Learning Based Detector YOLOv5 for Soiling Recognition in Photovoltaic Modules. In Proceedings of the 2023 3rd International Conference on Innovative Research in Applied Science, Engineering and Technology (IRASET), Mohammedia, Morocco, 18–19 May 2023; IEEE: Piscataway, NJ, USA, 2023; pp. 1–6. [Google Scholar] [CrossRef]
- Varghese, R.; Sambath, M. YOLOv8: A Novel Object Detection Algorithm with Enhanced Performance and Robustness. In Proceedings of the 2024 International Conference on Advances in Data Engineering and Intelligent Computing Systems (ADICS), Chennai, India, 18–19 April 2024; IEEE: Piscataway, NJ, USA, 2024. [Google Scholar] [CrossRef]
- Ozen, I.; Subramani, K.; Vadrevu, P.; Perdisci, R. SENet: Visual Detection of Online Social Engineering Attack Campaigns. arXiv 2024, arXiv:2401.05569. [Google Scholar] [CrossRef]
- Narayanan, M. SENetV2: Aggregated dense layer for channelwise and global representations. arXiv 2023, arXiv:2311.10807. [Google Scholar] [CrossRef]
- Avranas, A.; Kountouris, M. Towards disentangling information paths with coded ResNeXt. Adv. Neural Inf. Process. Syst. 2022, 35, 8926–8939. [Google Scholar] [CrossRef]
- Liu, W.; Lu, H.; Fu, H.; Cao, Z. Learning to upsample by learning to sample. In Proceedings of the IEEE/CVF International Conference on Computer Vision, Paris, France, 1–6 October 2023; pp. 6027–6037. [Google Scholar] [CrossRef]
- Szegedy, C.; Liu, W.; Jia, Y.; Sermanet, P.; Reed, S.; Anguelov, D.; Erhan, D.; Vanhoucke, V.; Rabinovich, A. Going deeper with convolutions. In Proceedings of the IEEE Conference on Computer Vision and Pattern Recognition, Boston, MA, USA, 7–12 June 2015; pp. 1–9. [Google Scholar] [CrossRef]
- Zhang, X.; Song, Y.; Song, T.; Yang, D.; Ye, Y.; Zhou, J.; Zhang, L. AKConv: Convolutional kernel with arbitrary sampled shapes and arbitrary number of parameters. arXiv 2023, arXiv:2311.11587. [Google Scholar] [CrossRef]
- Jin, L.; He, Q.; Li, Z.; Deng, M.; Abbas, A. Variation characteristics of dust in the taklimakan desert. Nat. Hazards 2024, 120, 2129–2153. [Google Scholar] [CrossRef]
- Rao GR, K.; Sgar, P.V.; Bikku, T.; Prasad, C.; Cherukuri, N. Comparing 3D rendering engines in Blender. In Proceedings of the 2021 2nd International Conference on Smart Electronics and Communication (ICOSEC), Trichy, India, 7–9 October 2021; IEEE: Piscataway, NJ, USA, 2021; pp. 489–495. [Google Scholar] [CrossRef]
- He, K.; Zhang, X.; Ren, S.; Sun, J. Deep residual learning for image recognition. In Proceedings of the 2016 IEEE Conference on Computer Vision and Pattern Recognition (CVPR), Las Vegas, NV, USA, 27–30 June 2016; IEEE: Piscataway, NJ, USA, 2016. [Google Scholar] [CrossRef]
- Hess, R. Blender Foundations; Taylor & Francis Ltd.: Milton Park, UK, 2010. [Google Scholar]
- Conlan, C. The Blender Python API: Precision 3D Modeling and Add-On Development; Apress: New York, NY, USA, 2017. [Google Scholar]

















| Model | Training Data | Precision | Recall | mAP@50 | mAP@50-95 | F1 |
|---|---|---|---|---|---|---|
| YOLOv8 | 510 pictures of dust | 0.917 | 0.829 | 0.891 | 0.528 | 0.87 |
| YOLOv8-DSDA | 510 pictures of dust | 0.941 | 0.84 | 0.912 | 0.522 | 0.89 |
| YOLOv8 | Rotated, spliced, cropped and expanded 3500 dust images | 0.919 | 0.863 | 0.922 | 0.672 | 0.89 |
| YOLOv8 | 3500 images blended after 3D image expansion | 0.956 | 0.895 | 0.932 | 0.673 | 0.924 |
| YOLOv8-DSDA | 3500 images blended after 3D image expansion | 0.963 | 0.913 | 0.948 | 0.679 | 0.937 |
| Model | Training Data | Precision | Recall | mAP@50% | mAP@50-95% | F1 | FPS |
|---|---|---|---|---|---|---|---|
| YOLOv8 | 3500 images blended after 3D image expansion | 0.956 | 0.895 | 0.932 | 0.673 | 0.924 | 87.58 |
| YOLOv8 + SENetV2 + Dysample | 3500 images blended after 3D image expansion | 0.957 | 0.892 | 0.935 | 0.692 | 0.923 | 96.46 |
| YOLOv8 + SENetV2 + AKConv | 3500 images blended after 3D image expansion | 0.968 | 0.907 | 0.938 | 0.685 | 0.936 | 81.04 |
| YOLOv8 + Dysample + AKConv | 3500 images blended after 3D image expansion | 0.962 | 0.905 | 0.945 | 0.702 | 0.932 | 92.63 |
| YOLOv8-DSDA | 3500 images blended after 3D image expansion | 0.963 | 0.913 | 0.948 | 0.679 | 0.937 | 95.23 |
| Model | Training Data | Precision | Recall | mAP@50% | F1 |
|---|---|---|---|---|---|
| Faster R-CNN | 510 pictures of dust | 0.832 | 0.903 | 0.903 | 0.866 |
| Faster R-CNN | 3500 images blended after 3D image expansion | 0.901 | 0.983 | 0.980 | 0.940 |
Disclaimer/Publisher’s Note: The statements, opinions and data contained in all publications are solely those of the individual author(s) and contributor(s) and not of MDPI and/or the editor(s). MDPI and/or the editor(s) disclaim responsibility for any injury to people or property resulting from any ideas, methods, instructions or products referred to in the content. |
© 2024 by the authors. Licensee MDPI, Basel, Switzerland. This article is an open access article distributed under the terms and conditions of the Creative Commons Attribution (CC BY) license (https://creativecommons.org/licenses/by/4.0/).
Share and Cite
Xie, C.; Li, Q.; Yang, Y.; Zhang, L.; Liu, X. Research on a Photovoltaic Panel Dust Detection Algorithm Based on 3D Data Generation. Energies 2024, 17, 5222. https://doi.org/10.3390/en17205222
Xie C, Li Q, Yang Y, Zhang L, Liu X. Research on a Photovoltaic Panel Dust Detection Algorithm Based on 3D Data Generation. Energies. 2024; 17(20):5222. https://doi.org/10.3390/en17205222
Chicago/Turabian StyleXie, Chengzhi, Qifen Li, Yongwen Yang, Liting Zhang, and Xiaojing Liu. 2024. "Research on a Photovoltaic Panel Dust Detection Algorithm Based on 3D Data Generation" Energies 17, no. 20: 5222. https://doi.org/10.3390/en17205222
APA StyleXie, C., Li, Q., Yang, Y., Zhang, L., & Liu, X. (2024). Research on a Photovoltaic Panel Dust Detection Algorithm Based on 3D Data Generation. Energies, 17(20), 5222. https://doi.org/10.3390/en17205222

