A Coordinated Emergency Frequency Control Strategy Based on Output Regulation Approach for an Isolated Industrial Microgrid
Abstract
1. Introduction
1.1. Background
1.2. Literature Review
1.3. Contributions
- The emergency frequency control issues in isolated aluminum production industrial microgrids are discussed in detail. The control model of EALs and the advantages of demand-side control in isolated industrial microgrids are also illustrated.
- A coordinated frequency control model combining thermal generators and EALs is developed for emergency frequency regulation in the isolated industrial microgrid in the presence of low system inertia and insufficient reserve capacity.
- The problem of emergency frequency control is formulated as an output regulation problem. With the help of the output regulation approach, a practically feasible frequency controller is investigated with the feedback control signals of frequency deviation and power disturbances, verifying that it increases the rapid frequency regulating capacity of isolated industrial microgrids.
1.4. Organization
2. Emergency Frequency Control Issues in Isolated Industrial Microgrids
- The reserve capacity from the thermal generators is insufficient for the large power imbalance caused by emergency faults. In addition, installing a high penetration of wind power (up to about 31%) and disconnecting from the utility power grid would further decrease the inertia of the microgrid.
- Due to the special structure of the industrial microgrid, the installed capacity of a single generator or EAL is relatively huge compared with the total power demand capacity, which brings difficulties in achieving an active power balance with the common methods.
3. Isolated Industrial Microgrid Modeling
3.1. Model and Control of EAL
- Regulating the OLTC transformer ratio is realized by changing the transformer tap changer positions, which takes minutes for one mechanical operation. In addition, the transformer tap changers are not allowed to be adjusted frequently for prolonging the life-span. Conversely, changing the voltage drop on saturable reactors with the electronic control only takes less than one second, which is much faster than the mechanical control, demonstrating the great advantages of the rapid response (millisecond level) in the presence of emergencies and wind power fluctuations.
- Generally, the transformer tap changers have only five positions (i.e., ), indicating the step regulation on the active power control, while regulating the voltage drop on saturable reactors presents a much subtler way to achieve continuous regulation.
3.2. Coordinated Emergency Frequency Control Model of Isolated Industrial Microgrid
4. Coordinated Emergency Frequency Control Through Output Regulation
4.1. Output Regulation via Error Feedback
4.2. Implementation of Coordinated Emergency Frequency Control Scheme
- Model the control plant. At time , the state variables x, disturbance d, and frequency deviation in the isolated industrial microgrid are collected via the wide area measurement system (WAMS) [31]. The coordinated frequency control model that considers the generation and demand-side participation is constructed as in Equations (8)–(10).
- Check the assumptions (A1)–(A3). Since the collected active power disturbance changes with the step signal at each sampling time, the value of is assumed as constant. Then, satisfies , which means that the exosystem is Poisson stable and the assumption (A1) holds in this work. (A2) and (A3) can be checked by using the Popov–Belevitch–Hautus (PBH) test, with the rank conditions presented aswhere and are the eigenvalues of the matrices and sitting on the closed right-half plane. and are the identity matrices, and and are the dimensions, respectively.
- Select gain matrices. Once the assumptions (A1)–(A3) hold, find a gain matrix , such that all of the eigenvalues of are located on the left-half plane. A linear quadratic (LQ) method is applied in this work to obtain a reasonable gain matrix , achieving the control objectives with a satisfactory performance by the controllers. The cost function for the LQ method is given as follows:The selection of the weighting matrices and means a trade-off between the eliminating error (the frequency deviation in this case) and optimizing the control performance on the thermal generators/EALs. Thus, the power system inertia and flexibility in designing the coordinated control scheme is judged and weighted by solving following equations and computing the gain matrix :
- Similarly, it is also supposed that the gain matrix satisfies that all of the eigenvalues of are on the open left-half plane. In this paper, the pole assignment based on the interval linear matrix inequality method is applied to select the gain matrices and .
- Construct the coordinated frequency controller. The regulator issues in Equation (14) are solved and the solutions of matrices and are found. Then, the observer is constructed as in Equation (17), and the error feedback controller in Equation (18) can be designed by the matrices .
- Give the control orders. Once the error feedback controller is constructed, the control input is optimized at time . Then, the optimal values of and are transmitted to the control units of the thermal generators and EALs. Thus, the active power of the generation and demand sides are regulated to eliminate the frequency deviation in the isolated industrial microgrid.
- Repeat the above steps or finish. Once the control objective is achieved, i.e., the frequency recovers to the normal value with the help of the proposed controller, the coordinated frequency control scheme is finished. Otherwise, repeat the above steps at the next time .
5. Simulation Results
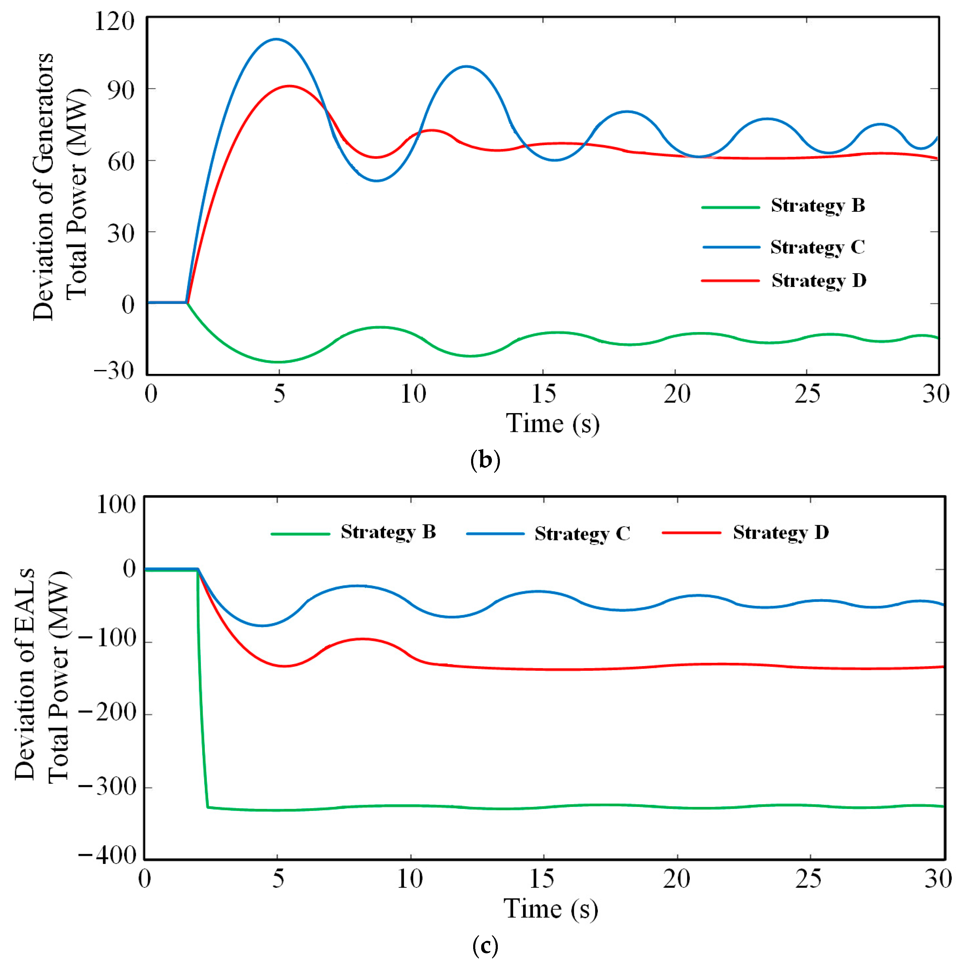
5.1. “N-1” Scenario
5.2. Wind Power Fluctuation Scenario
6. Discussion and Conclusions
- The proposed coordinated frequency control strategy is able to realize frequency recovery to normal values in a short amount of time in the presence of a large power imbalance.
- Compared with the PI control method, the proposed frequency control method based on the output regulation approach presents better effectiveness in frequency recovery and robustness against the wind power fluctuations.
- The EALs present a much faster response than the thermal generators in smoothing wind power fluctuations, which is applicable to improving the frequency stability in extreme emergency scenarios.
Author Contributions
Funding
Data Availability Statement
Conflicts of Interest
References
- Wei, Y.; Chen, K.; Kang, J.; Chen, W.; Wang, X.; Zhang, X. Policy and management of carbon peaking and carbon neutrality: A literature review. Engineering 2022, 14, 52–63. [Google Scholar] [CrossRef]
- Zhuang, G.; Zhou, H.; Ni, W. China’s Road to Carbon Peaking and Carbon Neutrality; Springer: Singapore, 2023; pp. 1–20. [Google Scholar]
- Xu, B. Exploring the sustainable growth pathway of wind power in China: Using the semiparametric regression model. Energy Policy 2023, 183, 113845. [Google Scholar] [CrossRef]
- National Energy Administration Released the Statistical Data of the National Power Industry in 2023. Available online: https://www.nea.gov.cn/2024-01/26/c_1310762246.htm (accessed on 26 January 2024).
- Liao, S.; Xu, J.; Sun, Y.; Bao, Y. Local utilization of wind electricity in isolated power systems by employing coordinated control scheme of industrial energy-intensive load. Appl. Energy 2018, 217, 14–24. [Google Scholar] [CrossRef]
- Li, H.; Eseye, A.T.; Zhang, J.; Zheng, D. Optimal energy management for industrial microgrids with high-penetration renewables. Prot. Control Mod. Power Syst. 2017, 2, 12. [Google Scholar] [CrossRef]
- Wang, Z.; Yang, B.; Wei, W.; Zhu, S.; Guan, X.; Sun, D. Multi-Energy Microgrids: Designing, operation under new business models, and engineering practices in China. IEEE Electrif. Mag. 2021, 9, 75–82. [Google Scholar] [CrossRef]
- Fernández-Guillamón, A.; Gómez-Lázaro, E.; Muljadi, E.; Molina-García, Á. Power systems with high renewable energy sources: A review of inertia and frequency control strategies over time. Renew. Sustain. Energy Rev. 2019, 115, 109369. [Google Scholar] [CrossRef]
- Mohandes, B.; El Moursi, M.S.; Hatziargyriou, N.; El Khatib, S. A review of power system flexibility with high penetration of renewables. IEEE Trans. Power Syst. 2019, 34, 3140–3155. [Google Scholar] [CrossRef]
- Davari, M.; Gao, W.; Jiang, Z.-P.; Lewis, F.L. An optimal primary frequency control based on adaptive dynamic programming for islanded modernized microgrids. IEEE Trans. Autom. Sci. Eng. 2020, 18, 1109–1121. [Google Scholar] [CrossRef]
- Mottaghizadeh, M.; Aminifar, F.; Amraee, T.; Sanaye-Pasand, M. Distributed robust secondary control of islanded microgrids: Voltage, frequency, and power sharing. IEEE Trans. Power Deliv. 2021, 36, 2501–2509. [Google Scholar] [CrossRef]
- Wang, C.; Mei, S.; Dong, Q.; Chen, R.; Zhu, B. Coordinated load shedding control scheme for recovering frequency in islanded microgrids. IEEE Access 2020, 8, 215388–215398. [Google Scholar] [CrossRef]
- Li, J.; Chen, S.; Wang, X.; Pu, T. Load shedding control strategy in power grid emergency state based on deep reinforcement learning. CSEE J. Power Energy 2021, 8, 1175–1182. [Google Scholar]
- Yu, L.; Wu, J.; Cheng, Y.; Meng, G.; Chen, S.; Lu, Y.; Xu, K. Control Strategy for Wind Farms-Energy Storage Participation in Primary Frequency Regulation Considering Wind Turbine Operation State. Energies 2024, 17, 3547. [Google Scholar] [CrossRef]
- Arrigo, F.; Bompard, E.; Merlo, M.; Milano, F. Assessment of primary frequency control through battery energy storage systems. Int. J. Electr. Power Energy Syst. 2020, 115, 105428. [Google Scholar] [CrossRef]
- Jiang, H.; Lin, J.; Song, Y.; Gao, W.; Xu, Y.; Shu, B.; Li, X.; Dong, J. Demand side frequency control scheme in an isolated wind power system for industrial aluminum smelting production. IEEE Trans. Power Syst. 2013, 29, 844–853. [Google Scholar] [CrossRef]
- Xu, J.; Liao, S.; Sun, Y.; Ma, X.; Gao, W.; Li, X.; Gu, J.; Dong, J.; Zhou, M. An isolated industrial power system driven by wind-coal power for aluminum productions: A case study of frequency control. IEEE Trans. Power Syst. 2014, 30, 471–483. [Google Scholar] [CrossRef]
- Ding, X.; Xu, J.; Sun, Y.; Liao, S.; Zheng, J. A demand side controller of electrolytic aluminum industrial microgrids considering wind power fluctuations. Prot. Control Mod. Power Syst. 2022, 7, 49. [Google Scholar] [CrossRef]
- Liao, S.; Xu, J.; Sun, Y.; Bao, Y.; Tang, B. Control of energy-intensive load for power smoothing in wind power plants. IEEE Trans. Power Syst. 2018, 33, 6142–6154. [Google Scholar] [CrossRef]
- Bao, Y.; Xu, J.; Feng, W.; Sun, Y.; Liao, S.; Yin, R.; Jiang, Y.; Jin, M.; Marnay, C. Provision of secondary frequency regulation by coordinated dispatch of industrial loads and thermal power plants. Appl. Energy 2019, 241, 302–312. [Google Scholar] [CrossRef]
- Babahajiani, P.; Shafiee, Q.; Bevrani, H. Intelligent demand response contribution in frequency control of multi-area power systems. IEEE Trans. Smart Grid 2016, 9, 1282–1291. [Google Scholar] [CrossRef]
- Zhao, J.; Lyu, X.; Fu, Y.; Hu, X.; Li, F. Coordinated microgrid frequency regulation based on DFIG variable coefficient using virtual inertia and primary frequency control. IEEE Trans. Energy Convers. 2016, 31, 833–845. [Google Scholar] [CrossRef]
- Jiang, H.; Lin, J.; Song, Y.; Hill, D.J. MPC-based frequency control with demand-side participation: A case study in an isolated wind-aluminum power system. IEEE Trans. Power Syst. 2014, 30, 3327–3337. [Google Scholar] [CrossRef]
- Xu, J.; Fu, H.; Liao, S.; Xie, B.; Ke, D.; Sun, Y.; Li, X.; Peng, X. Demand-side management based on model predictive control in distribution network for smoothing distributed photovoltaic power fluctuations. J. Mod. Power Syst. Clean Energy 2022, 10, 1326–1336. [Google Scholar] [CrossRef]
- Cui, T.; Lin, W.; Sun, Y.; Xu, J.; Zhang, H. Excitation voltage control for emergency frequency regulation of island power systems with voltage-dependent loads. IEEE Trans. Power Syst. 2015, 31, 1204–1217. [Google Scholar] [CrossRef]
- Zhao, H.; Hong, M.; Lin, W.; Loparo, K.A. Voltage and frequency regulation of microgrid with battery energy storage systems. IEEE Trans. Smart Grid 2017, 10, 414–424. [Google Scholar] [CrossRef]
- Sun, Y.; Lin, J.; Song, Y.; Xu, J.; Li, X.; Dong, J. An industrial system powered by wind and coal for aluminum production: A case study of technical demonstration and economic feasibility. Energies 2012, 5, 4844–4869. [Google Scholar] [CrossRef]
- Principles of the Hall-Héroult Process. Available online: http://www.peter-entner.com/e/theory/PrincHH/PrincHH.aspx (accessed on 26 January 2005).
- Bao, Y.; Xu, J.; Liao, S.; Sun, Y.; Li, X.; Jiang, Y.; Ke, D.; Yang, J.; Peng, X. Field verification of frequency control by energy-intensive loads for isolated power systems with high penetration of wind power. IEEE Trans. Power Syst. 2018, 33, 6098–6108. [Google Scholar] [CrossRef]
- Isidori, A.; Byrnes, C.I. Output regulation of nonlinear systems. IEEE Trans. Autom. Control 1990, 35, 131–140. [Google Scholar] [CrossRef]
- Phadke, A.G.; Bi, T. Phasor measurement units, WAMS, and their applications in protection and control of power systems. J. Mod. Power Syst. Clean Energy 2018, 6, 619–629. [Google Scholar] [CrossRef]
- Fernández, L.M.; Jurado, F.; Saenz, J.R. Aggregated dynamic model for wind farms with doubly fed induction generator wind turbines. Renew. Energy 2008, 33, 129–140. [Google Scholar] [CrossRef]
- Sönmez, S.; Ayasun, S. Stability region in the parameter space of PI controller for a single-area load frequency control system with time delay. IEEE Trans. Power Syst. 2015, 31, 829–830. [Google Scholar] [CrossRef]
- Jiang, L.; Yao, W.; Wu, Q.; Wen, J.; Cheng, S. Delay-dependent stability for load frequency control with constant and time-varying delays. IEEE Trans. Power Syst. 2011, 27, 932–941. [Google Scholar] [CrossRef]












| Generators/Wind Farms | G1/G2 | G3/G4 | G5/G6 | G7/G8 | WF1/WF2 |
|---|---|---|---|---|---|
| Installed Capacity (MW) | 100 | 150 | 300 | 350 | 400 |
| EALs/Heating Loads | EAL1 | EAL2 | EAL3 | Heating Load1 | Heating Load2 | Heating Load3 |
|---|---|---|---|---|---|---|
| Power Demand (MW) | 330 | 400 | 640 | 20 | 10 | 10 |
| Generation Units | G1/G2 | G3/G4 | G5/G6 | G7/G8 | WF1/WF2 |
|---|---|---|---|---|---|
| Output Power (MW) | 60.4 | 85.4 | 170.2 | 191.5 | 212.8 |
| Notation | Meaning |
|---|---|
| droop control coefficient | |
| valve position deviation | |
| time constant of the reheater | |
| output power deviation of the reheater | |
| turbine power fraction | |
| output power deviation of the steam turbine | |
| time constant of the speed governor | |
| time constant of the steam turbine | |
| control input of the generator | |
| active power regulation of the EAL | |
| control input of the EAL |
| Control Strategy | Method |
|---|---|
| Strategy A | Only primary frequency control on the rest of the thermal generators |
| Strategy B | Load-shedding strategy on EAL1 |
| Strategy C | PI control methods on the generators and EALs |
| Strategy D | Proposed coordinated frequency control |
Disclaimer/Publisher’s Note: The statements, opinions and data contained in all publications are solely those of the individual author(s) and contributor(s) and not of MDPI and/or the editor(s). MDPI and/or the editor(s) disclaim responsibility for any injury to people or property resulting from any ideas, methods, instructions or products referred to in the content. |
© 2024 by the authors. Licensee MDPI, Basel, Switzerland. This article is an open access article distributed under the terms and conditions of the Creative Commons Attribution (CC BY) license (https://creativecommons.org/licenses/by/4.0/).
Share and Cite
Ding, X.; Zhang, S. A Coordinated Emergency Frequency Control Strategy Based on Output Regulation Approach for an Isolated Industrial Microgrid. Energies 2024, 17, 5217. https://doi.org/10.3390/en17205217
Ding X, Zhang S. A Coordinated Emergency Frequency Control Strategy Based on Output Regulation Approach for an Isolated Industrial Microgrid. Energies. 2024; 17(20):5217. https://doi.org/10.3390/en17205217
Chicago/Turabian StyleDing, Xin, and Sujie Zhang. 2024. "A Coordinated Emergency Frequency Control Strategy Based on Output Regulation Approach for an Isolated Industrial Microgrid" Energies 17, no. 20: 5217. https://doi.org/10.3390/en17205217
APA StyleDing, X., & Zhang, S. (2024). A Coordinated Emergency Frequency Control Strategy Based on Output Regulation Approach for an Isolated Industrial Microgrid. Energies, 17(20), 5217. https://doi.org/10.3390/en17205217
