Composition and Injection Angle Effects on Combustion of an NH3/H2/N2 Jet in an Air Crossflow
Abstract
1. Introduction
2. Chemical Kinetics Analysis
3. Computational Setup
4. Results
4.1. Instantaneous Flow Features
4.2. Averaged Combustion Characteristics
4.3. Characteristic Formation Pathways of and
5. Conclusions
- The flame with the lowest hydrogen content in the fuel jet has the highest temperatures, the highest NO production, and the lowest propensity to extinguish as it exhibits the highest conversion of ammonia to hydrogen. This phenomenon tends to decrease as the H2 content increases in the fuel jet, and occurs in the leeward zone circumferentially and at the end of the fuel jet core. This subsequently allows the hydrogen to mix well with the air, which is transported by the vortices into the recirculation zone downstream of the jet, and to reach mixture fraction values close to the stoichiometric, thus leading to a large production of NO at higher temperature in comparison with the other flames. It is stressed that the ammonia-to-hydrogen conversion does not depend on the particular chemical mechanism here adopted, since the related reactions are also present in all the other mechanisms typically used in the literature for ammonia and hydrogen flames, with very similar reaction coefficients.
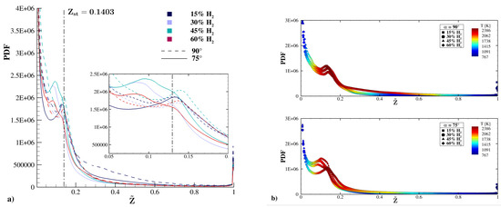
- The extent of the high-temperature recirculation zone (with a uniform mixture fraction close to stoichiometric) responsible for NO production is greater in a-type flames (90-degree angle); in b-type flames (75-degree angle), part of this region is occupied by a very lean mixture.
- At the exit of the combustion chamber, the flames with the highest hydrogen content (45–60% H2) are those with the lowest NO concentration: among these, the b-flames are those that also present the lowest concentration of unburned fuel.
Author Contributions
Funding
Data Availability Statement
Acknowledgments
Conflicts of Interest
References
- Karim, H.; Natarajan, J.; Narra, V.; Cai, J.; Rao, S.; Kegley, J.; Citeno, J. Staged combustion system for improved emissions operability and flexibility for 7HA class heavy duty gas turbine engine. In Proceedings of the ASME Turbo Expo 2017: Turbomachinery Technical Conference and Exposition, Charlotte, NC, USA, 26–30 June 2017. [Google Scholar]
- Pennell, D.A.; Bothien, M.R.; Ciani, A.; Granet, V.; Singla, G.; Thorpe, S.; Wickstroem, A.; Oumejjoud, K.; Yaquinto, M. An introduction to the ansaldo GT36 constant pressure sequential combustor. In Proceedings of the ASME Turbo Expo 2017: Turbomachinery Technical Conference and Exposition, Charlotte, NC, USA, 26–30 June 2017. [Google Scholar]
- Goh, E.; Sirignano, M.; Li, J.; Nair, V.; Emerson, B.; Lieuwen, T.; Seitzman, J. Prediction of Minimum Achievable NOx Levels for Fuel-Staged Combustors. Combust. Flame 2019, 200, 276–285. [Google Scholar] [CrossRef]
- Otero, M.; Genova, T., Jr.; Stiehl, B.; Morales, A.J.; Martin, S.; Ahmed, K.A. The Influence of Pressure on Flame-Flow Characteristics of a Reacting Jet in Crossflow. ASME J. Energy Res. Technol. 2021, 144, 052301. [Google Scholar] [CrossRef]
- Stiehl, B.; Otero, M.; Genova, T.; Martin, S.; Ahmed, K. The Effect of Pressure on NOx Entitlement and Reaction Timescales in a Premixed Axial Jet-In-Crossflow. ASME J. Energy Res. Technol. 2021, 143, 112306. [Google Scholar] [CrossRef]
- Lieuwen, T.; Chang, M.; Amato, A. Stationary Gas Turbine Combustion: Technology Needs and Policy Considerations. Combust. Flame 2021, 160, 1311–1314. [Google Scholar] [CrossRef]
- Funke, H.W.; Beckmann, N.; Abanteriba, S. An overview on dry low NOx micromix combustor development for hydrogen-rich gas turbine applications. Int. J. Hydrogen Energy 2019, 44, 6978–6990. [Google Scholar] [CrossRef]
- Noble, D.; Wu, D.; Emerson, B.; Sheppard, S.; Lieuwen, T.; Angello, L. Assessment of current capabilities and near-term availability of hydrogen-fired gas turbines considering a low-carbon future. J. Eng. Gas Turbines Power 2021, 143, 041002. [Google Scholar] [CrossRef]
- Devriese, C.; Pennings, W.; de Reuver, H.; Penninx, G.; de Ruiter, G.; Bastiaans, R.; De Paepe, W. The Design and Optimisation of a Hydrogen Combustor for a 100 kW micro Gas Turbine. In 10th International Gas Turbine Conference, IGTC 2021: Gas Turbines in a Carbon-Neutral Society; ETN: Brussels, Belgium, 2021; p. 19. [Google Scholar]
- Giacomazzi, E.; Cecere, D.; Cimini, M.; Carpenella, S. Direct Numerical Simulation of a Reacting Turbulent Hydrogen/Ammonia/Nitrogen Jet in an Air Crossflow at 5 Bar. Energies 2023, 16, 7704. [Google Scholar] [CrossRef]
- Yao, N.; Pan, W.; Zhang, J.; Wei, L. The advancement on carbon-free ammonia fuels for gas turbine: A review. Energy Convers. Manag. 2024, 315, 118745. [Google Scholar] [CrossRef]
- Pfahl, U.; Ross, M.; Shepherd, J.; Pasamehmetoglu, K.; Unal, C. Flammability limits, ignition energy, and flame speeds in H2–CH4–NH3–N2O–O2–N2 mixtures. Combust. Flame 2000, 123, 140–158. [Google Scholar] [CrossRef]
- Mathieu, O.; Petersen, E.L. Experimental and modeling study on the high-temperature oxidation of Ammonia and related NOx chemistry. Combust. Flame 2015, 162, 554–570. [Google Scholar] [CrossRef]
- Normand, A. Method for Generating a Reducing Atmosphere for Heat-Treating Installations. US Patent 4,069,071, 17 January 1978. [Google Scholar]
- Ganley, J.C.; Seebauer, E.G.; Masel, R.I. Development of a microreactor for the production of hydrogen from ammonia. J. Power Sources 2004, 137, 53–61. [Google Scholar] [CrossRef]
- Sørensen, R.Z.; Nielsen, L.J.; Jensen, S.; Hansen, O.; Johannessen, T.; Quaade, U.; Christensen, C.H. Catalytic ammonia decomposition: Miniaturized production of COx-free hydrogen for fuel cells. Catal. Commun. 2005, 6, 229–232. [Google Scholar] [CrossRef]
- Hayakawa, A.; Arakawa, Y.; Mimoto, R.; Somarathne, K.K.A.; Kudo, T.; Kobayashi, H. Experimental investigation of stabilization and emission characteristics of ammonia/air premixed flames in a swirl combustor. Int. J. Hydrogen Energy 2017, 42, 14010–14018. [Google Scholar] [CrossRef]
- Hayakawa, A.; Ichikawa, A.; Arakawa, Y.; Kudo, T.; Kobayashi, H. Enhancement of Reaction and Stability of Ammonia Flames using Hydrogen Addition and Swirling Flows. In Proceedings of the 2015 NH3 Fuel Conference, Argonne National Laboratory, Chicago, IL, USA, 22 September 2015; Volume 22. [Google Scholar]
- Khateeb, A.A.; Guiberti, T.F.; Zhu, X.; Younes, M.; Jamal, A.; Roberts, W.L. Stability limits and NO emissions of technically-premixed ammonia-hydrogen-nitrogen-air swirl flames. Int. J. Hydrogen Energy 2020, 45, 22008–22018. [Google Scholar] [CrossRef]
- Khateeb, A.A.; Guiberti, T.F.; Wang, G.; Boyette, W.R.; Younes, M.; Jamal, A.; Roberts, W.L. Stability limits and NO emissions of premixed swirl ammonia-air flames enriched with hydrogen or methane at elevated pressures. Int. J. Hydrogen Energy 2021, 46, 11969–11981. [Google Scholar] [CrossRef]
- Valera-Medina, A.; Marsh, R.; Runyon, J.; Pugh, D.; Beasley, P.; Hughes, T.; Bowen, P. Ammonia–methane combustion in tangential swirl burners for gas turbine power generation. Appl. Energy 2017, 185, 1362–1371. [Google Scholar] [CrossRef]
- Nair, V.; Sirignano, M.D.; Schmidheiser, S.; Dillon, L.; Fugger, C.A.; Yi, T.; Jiang, N.; Hsu, P.S.; Slipchenko, M.N.; Roy, S.; et al. Tomographic PIV characterization of the near field topology of the reacting jet in crossflow. In Proceedings of the AIAA Scitech 2020 Forum, Orlando, FL, USA, 6–10 January 2020. [Google Scholar]
- Zhang, X.; Wang, K.; Wen, X.; He, C.; Liu, Y.; Zhou, W. Experimental study of time-resolved simultaneous velocity and concentration fields of an inclined jet in crossflow. Int. J. Heat Mass Transf. 2022, 188, 122622. [Google Scholar] [CrossRef]
- Tao, C.; Zhou, H. Effects of different preheated CO2/O2 jet in cross-flow on combustion instability and emissions in a lean-premixed combustor. J. Energy Inst. 2020, 93, 2334–2343. [Google Scholar] [CrossRef]
- Roa, M.; Lamont, W.G.; Meyer, S.E.; Szedlacsek, P.; Lucht, R.P. Emission measurements and OH-PlIF of reacting hydrogen jets in vitiated crossflow for stationary gas turbines. In Turbo Expo: Power for Land, Sea, and Air; American Society of Mechanical Engineers: Houston, TX, USA, 2012; Volume 44687, pp. 491–498. [Google Scholar]
- Ruiz, A.; Lacaze, G.; Oefelein, J. Flow topologies and turbulence scales in a jet-in-cross-flow. Phys. Fluids 2015, 27, 045101. [Google Scholar] [CrossRef]
- Zhang, L.; Yang, V. Flow dynamics and mixing of a transverse jet in crossflow—Part I: Steady crossflow. J. Eng. Gas Turbines Power 2017, 139, 082601. [Google Scholar] [CrossRef]
- Cheng, M.; Wang, H.; Luo, K.; Fan, J. A direct numerical simulation study on the structures and turbulence–flame interactions of a laboratory-scale lean premixed jet flame in cross-flow. J. Fluid Mech. 2023, 957, A27. [Google Scholar] [CrossRef]
- New, T.; Lim, T.; Luo, S. Effects of jet velocity profiles on a round jet in cross-flow. Exp. Fluids 2006, 40, 859–875. [Google Scholar] [CrossRef]
- Zhang, Z.; Abdelsamie, A.; Chi, C.; Thevenin, D.; Luo, K.H. Combustion mode and mixing characteristics of a reacting jet in crossflow. Energy Fuels 2021, 35, 13325–13337. [Google Scholar] [CrossRef]
- Jain, N.; Seitzman, J.M. Mixing and combustion characterization of a staged combustor with multiple, high mass-ratio jets in crossflow. In Turbo Expo: Power for Land, Sea, and Air; American Society of Mechanical Engineers: Charlotte, NC, USA, 2017; Volume 50855, p. V04BT04A064. [Google Scholar]
- You, C.H.; Lee, H.Y.; Hwang, S.S. Low NOX combustion characteristics by hydrogen micro jet flame in cross flow. J. Mech. Sci. Technol. 2023, 37, 445–455. [Google Scholar] [CrossRef]
- Minamoto, Y.; Kolla, H.; Grout, R.W.; Gruber, A.; Chen, J.H. Effect of fuel composition and differential diffusion on flame stabilization in reacting syngas jets in turbulent cross-flow. Combust. Flame 2015, 162, 3569–3579. [Google Scholar] [CrossRef]
- Kolla, H.; Grout, R.; Gruber, A.; Chen, J. Transverse fuel jet in turbulent cross-flow: Influence of fuel composition on near field flame stabilization. In Proceedings of the 8th US National Combustion Meeting, Park City, UT, USA, 19–22 May 2013. [Google Scholar]
- Kolla, H.; Grout, R.W.; Gruber, A.; Chen, J.H. Mechanisms of flame stabilization and blowout in a reacting turbulent hydrogen jet in cross-flow. Combust. Flame 2012, 159, 2755–2766. [Google Scholar] [CrossRef]
- Chan, W.L.; Kolla, H.; Ihme, M.; Chen, J.H. Analysis of a jet in cross flow using an unsteady flamelet model. In Proceedings of the Spring Technical Meeting of the Central States Section of the Combustion Institute, Dayton, OH, USA, 22–24 April 2012. [Google Scholar]
- Chan, W.L.; Kolla, H.; Chen, J.H.; Ihme, M. Assessment of model assumptions and budget terms of the unsteady flamelet equations for a turbulent reacting jet-in-cross-flow. Combust. Flame 2014, 161, 2601–2613. [Google Scholar] [CrossRef]
- Kroniger, D.; Horikawa, A.; Funke, H.H.W.; Pfaeffle, F.; Kishimoto, T.; Okada, K. Experimental and numerical investigation on the effect of pressure on micromix hydrogen combustion. In Proceedings of the Turbo Expo: Power for Land, Sea, and Air, ASME Turbo Expo 2021: Turbomachinery Technical Conference and Exposition, Virtual, Online, 7–11 June 2021; Volume 84942, p. V03AT04A025. [Google Scholar]
- Yu, X.; Chen, T.; Zhang, Q.; Wang, T. CFD simulations of quenching process for partial oxidation of methane: Comparison of jet-in-cross-flow and impinging flow configurations. Chin. J. Chem. Eng. 2018, 26, 903–913. [Google Scholar] [CrossRef]
- Cuoci, A.; Frassoldati, A.; Faravelli, T.; Ranzi, E. OpenSMOKE++: An object-oriented framework for the numerical modeling of reactive systems with detailed kinetic mechanisms. Comput. Phys. Commun. 2015, 192, 237–264. [Google Scholar] [CrossRef]
- Cuoci, A.; Frassoldati, A.; Faravelli, T.; Ranzi, E. Numerical modeling of laminar flames with detailed kinetics based on the operator-splitting method. Energy Fuels 2013, 27, 7730–7753. [Google Scholar] [CrossRef]
- Puri, I.; Seshadri, K. Extinction of diffusion flames burning diluted methane and diluted propane in diluted air. Combust. Flame 1986, 65, 137–150. [Google Scholar] [CrossRef]
- Alnasif, A.; Mashruk, S.; Shi, H.; Alnajideen, M.; Wang, P.; Pugh, D.; Valera-Medina, A. Evolution of ammonia reaction mechanisms and modeling parameters: A review. Appl. Energy Combust. Sci. 2023, 15, 100175. [Google Scholar]
- Cecere, D.; Giacomazzi, E.; Di Nardo, A.; Calchetti, G. Gas turbine combustion technologies for hydrogen blends. Energies 2023, 16, 6829. [Google Scholar] [CrossRef]
- Xu, S.; Jin, S.; Tong, Y.; Shi, B.; Tu, Y.; Liu, H. Quantitative evaluation of NO formation and destruction routes during methane MILD combustion using an improved calculation method. Fuel 2022, 324, 124593. [Google Scholar] [CrossRef]
- Chen, D.; Li, J.; Li, X.; Deng, L.; He, Z.; Huang, H.; Kobayashi, N. Study on combustion characteristics of hydrogen addition on ammonia flame at a porous burner. Energy 2023, 263, 125613. [Google Scholar] [CrossRef]
- Medhat, M.; Yehia, M.; Franco, M.C.; Rocha, R.C. A numerical prediction of stabilized turbulent partially premixed flames using ammonia/hydrogen mixture. J. Adv. Res. Fluid Mech. Therm. Sci. 2021, 87, 113–133. [Google Scholar] [CrossRef]
- Hirschfelder, J.O.; Curtiss, C.F.; Bird, R.B. The Molecular Theory of Gases and Liquids; John Wiley & Sons: Hoboken, NJ, USA, 1964. [Google Scholar]
- Ern, A.; Giovangigli, V. Multicomponent Transport Algorithms; Springer Science & Business Media: Berlin/Heidelberg, Germany, 1994; Volume 24. [Google Scholar]
- Ern, A.; Giovangigli, V. Fast and accurate multicomponent transport property evaluation. J. Comput. Phys. 1995, 120, 105–116. [Google Scholar] [CrossRef]
- Bird, R.; Stewart, W.; Lightfoot, E. Transport Phenomena, 2nd ed.; John Wiley & Sons, Inc.: New York, NY, USA, 2006. [Google Scholar]
- Wilke, C.R. A viscosity equation for gas mixtures. J. Chem. Phys. 1950, 18, 517–519. [Google Scholar] [CrossRef]
- Mathur, S.; Tondon, P.; Saxena, S. Thermal conductivity of binary, ternary and quaternary mixtures of rare gases. Mol. Phys. 1967, 12, 569–579. [Google Scholar] [CrossRef]
- Gotama, G.J.; Hayakawa, A.; Okafor, E.C.; Kanoshima, R.; Hayashi, M.; Kudo, T.; Kobayashi, H. Measurement of the laminar burning velocity and kinetics study of the importance of the hydrogen recovery mechanism of ammonia/hydrogen/air premixed flames. Combust. Flame 2022, 236, 111753. [Google Scholar] [CrossRef]
- Giacomazzi, E.; Cecere, D. A combustion regime-based model for large eddy simulation. Energies 2021, 14, 4934. [Google Scholar] [CrossRef]
- Giacomazzi, E.; Cecere, D.; Arcidiacono, N. Flame Anchoring of an H2/O2/ Non-Premixed Flamewith O2/ Transcritical Injection. Aerospace 2022, 9, 707. [Google Scholar] [CrossRef]
- Cecere, D.; Giacomazzi, E.; Arcidiacono, N. DNS of a non-premixed CH4//O2/ flame in a supercritical CO2/ environment. Fuel 2024, 362, 130709. [Google Scholar] [CrossRef]
- Cecere, D.; Giacomazzi, E.; Arcidiacono, N.; Picchia, F. Direct numerical simulation of a turbulent lean premixed CH4//H2/–Air slot flame. Combust. Flame 2016, 165, 384–401. [Google Scholar] [CrossRef]
- Ponti, G.; Palombi, F.; Abate, D.; Ambrosino, F.; Aprea, G.; Bastianelli, T.; Beone, F.; Bertini, R.; Bracco, G.; Caporicci, M.; et al. The role of medium size facilities in the HPC ecosystem: The case of the new CRESCO4 cluster integrated in the ENEAGRID infrastructure. In Proceedings of the 2014 International Conference on High Performance Computing & Simulation (HPCS), Bologna, Italy, 21–25 July 2014; pp. 1030–1033. [Google Scholar]
- Katopodes, N.D. Free-Surface Flow: Environmental Fluid Mechanics; Butterworth-Heinemann: Oxford, UK, 2018. [Google Scholar]
- Liou, M.S. A sequel to AUSM, Part II: AUSM+-up for all speeds. J. Comput. Phys. 2006, 214, 137–170. [Google Scholar] [CrossRef]
- Rudy, D.H.; Strikwerda, J.C. Boundary conditions for subsonic compressible Navier-Stokes calculations. Comput. Fluids 1981, 9, 327–338. [Google Scholar] [CrossRef]
- Thompson, K.W. Time dependent boundary conditions for hyperbolic systems. J. Comput. Phys. 1987, 68, 1–24. [Google Scholar] [CrossRef]
- Poinsot, T.J.; Lelef, S. Boundary conditions for direct simulations of compressible viscous flows. J. Comput. Phys. 1992, 101, 104–129. [Google Scholar] [CrossRef]
- Baum, M.; Poinsot, T.; Thévenin, D. Accurate boundary conditions for multicomponent reactive flows. J. Comput. Phys. 1995, 116, 247–261. [Google Scholar] [CrossRef]
- Sutherland, J.C.; Kennedy, C.A. Improved boundary conditions for viscous, reacting, compressible flows. J. Comput. Phys. 2003, 191, 502–524. [Google Scholar] [CrossRef]
- Klein, M.; Sadiki, A.; Janicka, J. A digital filter based generation of inflow data for spatially developing direct numerical or large eddy simulations. J. Comput. Phys. 2003, 186, 652–665. [Google Scholar] [CrossRef]
- Pratte, B.D.; Baines, W.D. Profiles of the Round Turbulent Jet in A Cross Flow. J. Hydraul. Div. 1967, 93, 53–64. [Google Scholar] [CrossRef]
- Steinberg, A.; Sadanandan, R.; Dem, C.; Kutne, P.; Meier, W. Structure and stabilization of hydrogen jet flames in cross-flows. Proc. Combust. Inst. 2013, 34, 1499–1507. [Google Scholar] [CrossRef]
- Hasselbrink, E.F.; Mungal, M. Transverse jets and jet flames. Part 2. Velocity and OH field imaging. J. Fluid Mech. 2001, 443, 27–68. [Google Scholar] [CrossRef]
- Sullivan, R.; Wilde, B.; Noble, D.R.; Seitzman, J.M.; Lieuwen, T.C. Time-averaged characteristics of a reacting fuel jet in vitiated cross-flow. Combust. Flame 2014, 161, 1792–1803. [Google Scholar] [CrossRef]
- Wagner, J.A.; Grib, S.W.; Renfro, M.W.; Cetegen, B.M. Flowfield measurements and flame stabilization of a premixed reacting jet in vitiated crossflow. Combust. Flame 2015, 162, 3711–3727. [Google Scholar] [CrossRef]
- Grout, R.W.; Gruber, A.; Kolla, H.; Bremer, P.T.; Bennett, J.; Gyulassy, A.; Chen, J. A direct numerical simulation study of turbulence and flame structure in transverse jets analysed in jet-trajectory based coordinates. J. Fluid Mech. 2012, 706, 351–383. [Google Scholar] [CrossRef]
- Somarathne, K.D.K.A.; Okafor, E.C.; Sugawara, D.; Hayakawa, A.; Kobayashi, H. Effects of OH concentration and temperature on NO emission characteristics of turbulent non-premixed CH4/NH3/air flames in a two-stage gas turbine like combustor at high pressure. Proc. Combust. Inst. 2021, 38, 5163–5170. [Google Scholar] [CrossRef]
- Tang, H.; Yang, C.; Wang, G.; Krishna, Y.; Guiberti, T.F.; Roberts, W.L.; Magnotti, G. Scalar structure in turbulent non-premixed NH3/H2/N2 jet flames at elevated pressure using Raman spectroscopy. Combust. Flame 2022, 244, 112292. [Google Scholar] [CrossRef]
- Shervin Karimkashi, P.; Tamadonfar, O.K.; Vuorinen, V. A Numerical Investigation on Effects of Hydrogen Enrichment and Turbulence on NO Formation Pathways in Premixed Ammonia/Air Flames. Combust. Sci. Technol. 2023, 1–30. [Google Scholar] [CrossRef]
- Alfazazi, A.; Es-sebbar, E.t.; Kumar, S.; Abdelwahid, S.; Asiri, A.H.; Zhao, W.; Im, H.G.; Dally, B. Effects of ammonia in-situ partial cracking on the structure of bluff-body non-premixed flames. Proc. Combust. Inst. 2024, 40, 105697. [Google Scholar] [CrossRef]
- Alfazazi, A.; Elbaz, A.M.; Li, J.; Abdelwahid, S.; Im, H.G.; Dally, B. Characteristics of ammonia-hydrogen nonpremixed bluff-body-stabilized flames. Combust. Flame 2023, 258, 113066. [Google Scholar] [CrossRef]














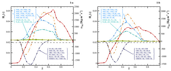
); total formation rate (
); i-th path formation rates (
). The horizontal black dashed line represents the hydrogen mass fraction at the fuel jet inlet.
); total formation rate (
); i-th path formation rates (
). The horizontal black dashed line represents the hydrogen mass fraction at the fuel jet inlet.

| Jet Flow | Cross Flow | ||||
|---|---|---|---|---|---|
| Set #1 | Set #2 | Set #3 | Set #4 | - | |
| Species | NH3/H2/N2 | NH3/H2/N2 | NH3/H2/N2 | NH3/H2/N2 | O2/N2 |
| Composition (% by vol.) | 80/15/5 | 60/30/10 | 40/45/15 | 20/60/20 | 21/79 |
| Pressure (bar) | 5 | 5 | 5 | 5 | 5 |
| Velocity (m/s) | 115 | 131 | 150 | 175 | 40 |
| Temperature (K) | 750 | 750 | 750 | 750 | 850 |
| Density (kg/m3) | 1.2453 | 1.0924 | 0.9558 | 0.8193 | 2.0411 |
| Viscosity (kg/m/s) | 2.7714·10−5 | 2.8130·10−5 | 2.8437·10−5 | 2.8665·10−5 | 3.8510·10−5 |
| Injection angle, () | 90 (a) and 75 (b) | 90 (a) and 75 (b) | 90 (a) and 75 (b) | 90 (a) and 75 (b) | - |
| Momentum flux ratio, | 5.04 | 5.74 | 6.58 | 7.68 | - |
| Velocity ratio, | 2.87 | 3.27 | 3.75 | 4.37 | - |
| Jet Reynolds number, | 6740 | 5825 | 5042 | 4287 | - |
| Jet exit diameter, d (m) | 0.002 |
| Domain extent, | 63 d × 10 d × 7 d |
| Grid size, | 600 × 400 × 400 |
| Reaction # | Chemical Expression | NO Pathway |
|---|---|---|
![]() | ||
Disclaimer/Publisher’s Note: The statements, opinions and data contained in all publications are solely those of the individual author(s) and contributor(s) and not of MDPI and/or the editor(s). MDPI and/or the editor(s) disclaim responsibility for any injury to people or property resulting from any ideas, methods, instructions or products referred to in the content. |
© 2024 by the authors. Licensee MDPI, Basel, Switzerland. This article is an open access article distributed under the terms and conditions of the Creative Commons Attribution (CC BY) license (https://creativecommons.org/licenses/by/4.0/).
Share and Cite
Cecere, D.; Cimini, M.; Carpenella, S.; Caldarelli, J.; Giacomazzi, E. Composition and Injection Angle Effects on Combustion of an NH3/H2/N2 Jet in an Air Crossflow. Energies 2024, 17, 5032. https://doi.org/10.3390/en17205032
Cecere D, Cimini M, Carpenella S, Caldarelli J, Giacomazzi E. Composition and Injection Angle Effects on Combustion of an NH3/H2/N2 Jet in an Air Crossflow. Energies. 2024; 17(20):5032. https://doi.org/10.3390/en17205032
Chicago/Turabian StyleCecere, Donato, Matteo Cimini, Simone Carpenella, Jan Caldarelli, and Eugenio Giacomazzi. 2024. "Composition and Injection Angle Effects on Combustion of an NH3/H2/N2 Jet in an Air Crossflow" Energies 17, no. 20: 5032. https://doi.org/10.3390/en17205032
APA StyleCecere, D., Cimini, M., Carpenella, S., Caldarelli, J., & Giacomazzi, E. (2024). Composition and Injection Angle Effects on Combustion of an NH3/H2/N2 Jet in an Air Crossflow. Energies, 17(20), 5032. https://doi.org/10.3390/en17205032


