Study on the Evolution Law of Temperature, Pressure, and Productivity near the Well for Gas Hydrate Exploitation by Depressurization
Abstract
1. Introduction
2. Model Building
2.1. Physical Model and Basic Assumptions
2.2. Basic Mathematical Model
2.3. Dissociation Front Motion
2.4. Permeability Model of Decomposition Zone
3. Model Solving
4. Result Analysis
4.1. Dynamic Analysis of Hydrate Depressurization
4.2. Analysis of Factors Affecting Production Capacity of NGH Depressurization
4.2.1. Influence of Bottom Hole Pressure on Productivity
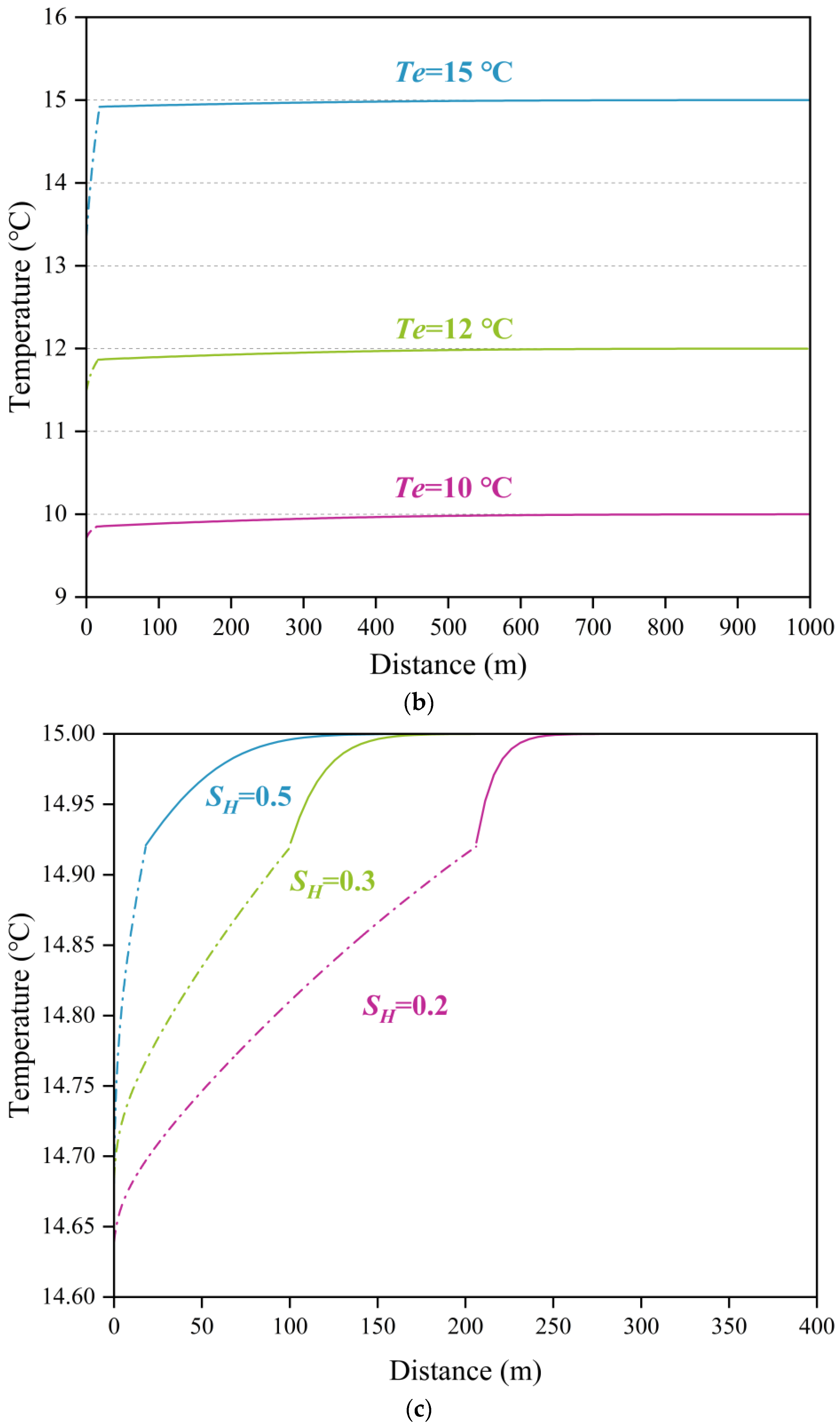
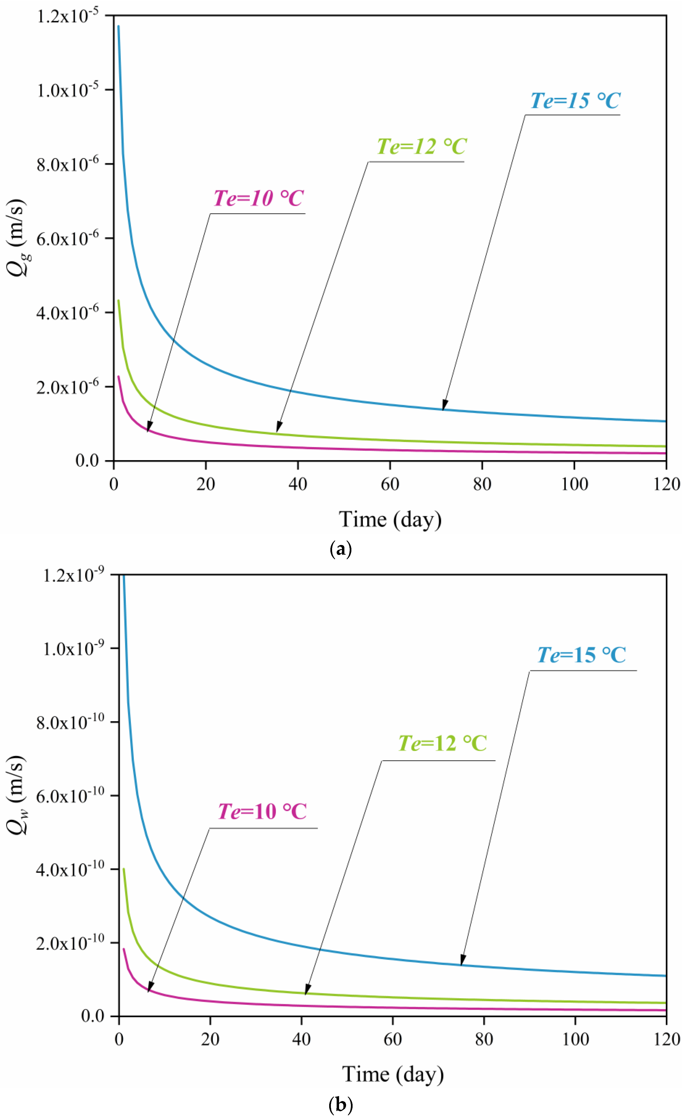
4.2.2. Influence of Reservoir Temperature on Productivity
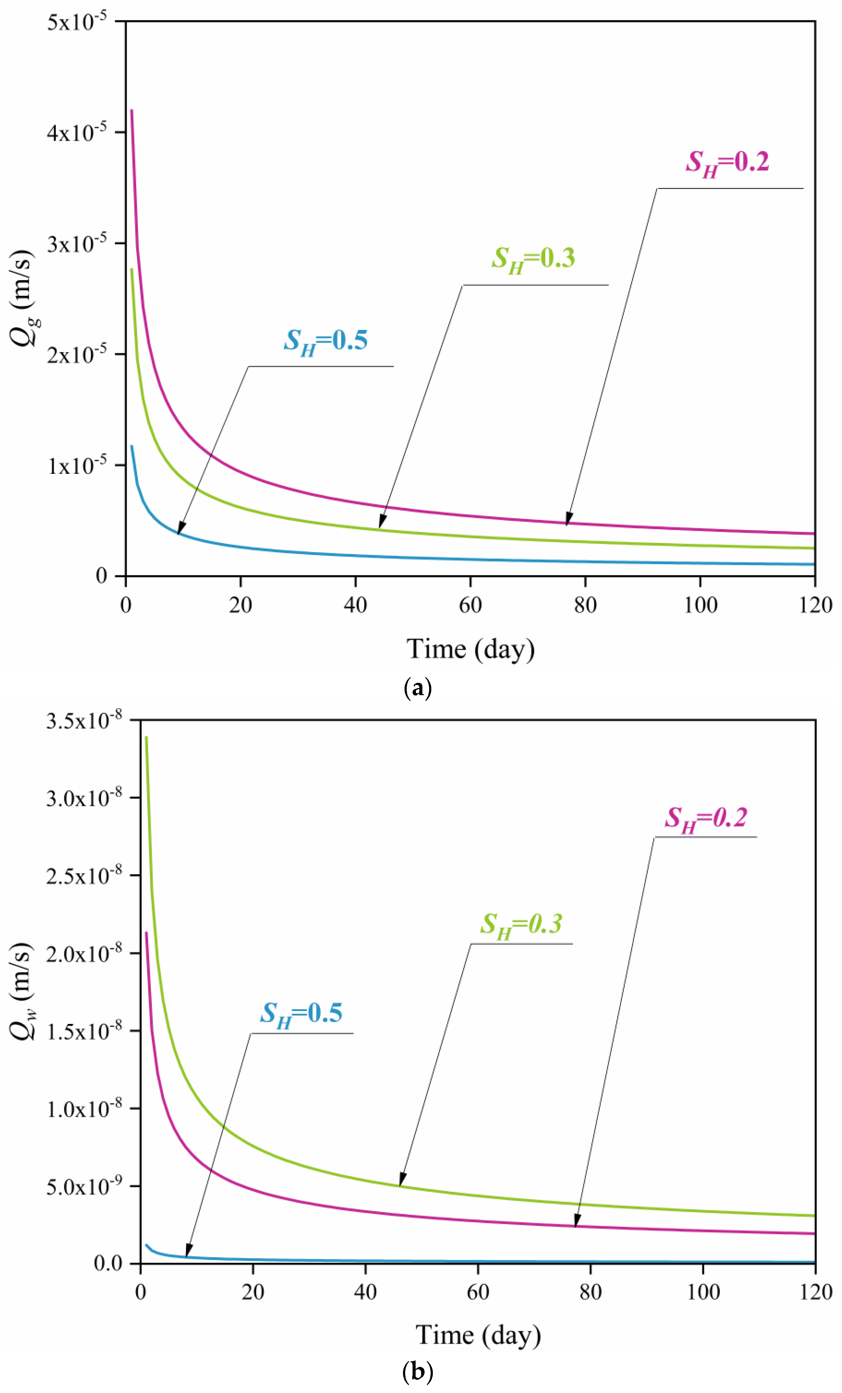
4.2.3. Influence of Hydrate Saturation on Productivity
5. Conclusions
Author Contributions
Funding
Data Availability Statement
Conflicts of Interest
References
- Collett, T.S. Natural Gas Hydrate—Vast Resource, Uncertain Future; USGS: Reston, VA, USA, 2001. [Google Scholar]
- Sloan, E.D.; Koh, C.A. Clathrate Hydrates of Natural Gases, 3rd ed.; CRC Press: Boca Raton, FL, USA, 2007. [Google Scholar]
- Li, Q.; Cheng, Y.; Li, Q.; Ansari, U.; Liu, Y.; Yan, C.; Lei, C. Development and verification of the comprehensive model for physical properties of hydrate sediment. Arab. J. Geosci. 2018, 11, 325. [Google Scholar] [CrossRef]
- Li, Q.; Liu, J.; Wang, S.; Guo, Y.; Han, X.; Li, Q.; Cheng, Y.; Dong, Z.; Li, X.; Zhang, X. Numerical insights into factors affecting collapse behavior of horizontal wellbore in clayey silt hydrate-bearing sediments and the accompanying control strategy. Ocean Eng. 2024, 297, 117029. [Google Scholar] [CrossRef]
- Makogon, Y.F. Hydrates of Hydrocarbons; Penn Well: Tulsa, OK, USA, 1997. [Google Scholar]
- Verigin, N.N.; Khabibullin, I.L.; Khalikov, G.A. Linear problem of the dissociation of the hydrates of a gas in a porous medium. Fluid Dyn. 1980, 15, 144–147. [Google Scholar] [CrossRef]
- Yousif, M.H.; Sloan, E.D. Experimental and theoretical investigation of methane-gas-hydrate dissociation in porous media. SPE Reserv. Eval. Eng. 1991, 6, 69–76. [Google Scholar]
- Holder, G.D.; Angert, P.F. Simulation of gas production from a reservoir containing both gas hydrates and free natural gas. In Proceedings of the 57th Society of Petroleum Engineers Technology Conference, New Orleans, LA, USA, 26–29 September 1982. [Google Scholar]
- Burshears, M.; Obrien, T.J.; Malone, R.D. A multi-phase, multi-dimensional, variable composition simulation of gas production from a conventional gas reservoir in contact with hydrates. In Proceedings of the SPE Unconventional Gas Technology Symposium, Louisville, KY, USA, 18–21 May 1986. [Google Scholar]
- Selim, M.S.; Sloan, E.D. Heat and mass transfer during the dissociation of hydrates in porous media. AIChE J. 1989, 35, 1049–1052. [Google Scholar] [CrossRef]
- Tsypkin, G.G. Mathematical Models of Gas Hydrates Dissociation in Porous Media. Ann. N. Y. Acad. Sci. 2000, 912, 428–436. [Google Scholar] [CrossRef]
- Zhao, Z.; Shang, X. Analysis for temperature and pressure fields in process of hydrate dissociation by depressurization. Int. J. Numer. Anal. Met. 2010, 34, 1831–1845. [Google Scholar] [CrossRef]
- Hao, Y.M.; Li, X.Z.; Li, S.X.; Zeng, X.Z.; Chen, Z.H. The semi-analytical two-phase productivity model of natural gas hydrate by depressurization. Sci. Sin.-Phys. Mech. Astron. 2020, 50, 064701. (In Chinese) [Google Scholar]
- Li, X.; Lei, G.; Wan, Y.; Cheng, W.; Sun, J.X.; Ning, F.L. A new theoretical model incorporating geomechanical effects for hydrate dissociation in sediments under thermal stimulation. Geoenergy Sci. Eng. 2023, 221, 111220. [Google Scholar] [CrossRef]
- Yu, Q.N.; Tang, H.M.; Li, C.L.; Chen, Z.J.; Zhang, K.; Yu, Y.; Liang, S. Numerical simulation of natural-gas-hydrate decomposition in process of heat-injection production. Processes 2023, 11, 2349. [Google Scholar] [CrossRef]
- Liu, Z.; Xu, Q.; Yang, J.; Shi, L. Pore-Scale Modeling of Methane Hydrate Dissociation Using a Multiphase Micro-Continuum Framework. Energies 2023, 16, 7599. [Google Scholar] [CrossRef]
- Kumar, A.; Maini, B.; Bishnoi, P.; Clarke, M.; Zatsepina, O.; Srinivasan, S. Experimental determination of permeability in the presence of hydrates and its effect on the dissociation characteristics of gas hydrates in porous media. J. Pet. Sci. Eng. 2010, 70, 114–122. [Google Scholar] [CrossRef]
- Lee, J.; Park, S.; Sung, W. An experimental study on the productivity of dissociated gas from gas hydrate by depressurization scheme. Energy Convers. Manag. 2010, 51, 2510–2515. [Google Scholar] [CrossRef]
- Ji, C.; Ahmadi, G.; Smith, D.H. Natural gas production from hydrate decomposition by depressurization. Chem. Eng. Sci. 2001, 56, 5801–5814. [Google Scholar] [CrossRef]
- Masuda, Y.; Fujinaga, Y.; Naganawa, S.; Fujita, K.; Hayashi, Y. Modeling and experiment studies on dissociation of methane gas hydrates in Berea sandstone cores. In Proceedings of the Third International Gas Hydrate Conference, Salt Lake City, UT, USA, 18–22 July 1999. [Google Scholar]
- Minagawa, H.; Ohmura, R.; Kamata, Y.; Ebinuma, T.; Narita, H.; Masuda, Y. Water permeability measurements of gas hydrate-bearing sediments. In Proceedings of the Fifth International Conference on Gas Hydrates, Trondheim, Norway, 13–16 June 2005. [Google Scholar]
- Liang, H.; Song, Y.; Chen, Y.; Liu, Y. The Measurement of Permeability of Porous Media with Methane Hydrate. Pet. Sci. Technol. 2011, 29, 79–87. [Google Scholar] [CrossRef]
- Hong, H.; Pooladi-Darvish, M. A numerical study on gas production from formations containing gas hydrates. In Proceedings of the Canadian International Petroleum Conference, Calgary, AB, Canada, 10–12 June 2003. [Google Scholar]
- Hong, H.; Pooladi-Darvish, M. Simulation of Depressurization for Gas Production From Gas Hydrate Reservoirs. J. Can. Pet. Technol. 2005, 44, 39–46. [Google Scholar] [CrossRef]
- Ye, J.L.; Qin, X.W.; Xie, W.W.; Lu, H.L.; Ma, B.J.; Qiu, H.J.; Liang, J.Q.; Lu, J.; Kuang, Z.G.; Lu, C.; et al. Main progress of the second gas hydrate trial production in the South China Sea. Geol. China 2020, 47, 557–568, (In Chinese with English Abstract). [Google Scholar]











| Reservoir Parameter | Value | Reservoir Parameter | Value |
|---|---|---|---|
| Initial reservoir pressure pe (MPa) | 15 | Density of hydrate ρH (kg·m−3) | 900 |
| Porosity ϕ | 0.4 | Methane gas density under standard conditions ρ0 (kg·m−3) | 0.7 |
| Gas compression factor z | 0.8 | Density of water ρw (kg·m−3) | 1000 |
| Volume heat capacity of gas cv (J·kg−1·K−1) | 3000 | Initial hydrate saturation SH0 | 0.6 |
| Specific heat capacity of water cw (J·kg−1·K−1) | 4200 | Initial water saturation Sw0 | 0.2 |
| Specific heat capacity of gas cg (J·kg−1·K−1) | 3000 | Initial gas saturation Sg0 | 0.2 |
| Specific heat capacity of hydrate cH (J·kg−1·K−1) | 2200 | Mass fraction of gas in hydrate ε | 0.129 |
| Specific heat capacity of rock cr (J·kg−1·K−1) | 1800 | Viscosity of water μw (mPa·s) | 1.2 |
| Viscosity of gas μg (mPa·s) | 0.02 | ||
| Throttling coefficient of gas δ (K·Pa−1) | 8 × 10−7 | ||
| Adiabatic coefficient of gas η (K·Pa−1) | 3.2 × 10−7 |
| Te (°C) | pG (MPa) | SH (MPa) | TD (°C) | pD (MPa) | γ (m2/s) | l (m) |
|---|---|---|---|---|---|---|
| 15 | 10 | 0.5 | 14.92 | 12.62 | 1.26 × 10−4 | 18.09 |
| 15 | 8 | 0.5 | 14.92 | 12.62 | 1.68 × 10−4 | 20.88 |
| 15 | 5 | 0.5 | 14.92 | 12.62 | 2.14 × 10−4 | 23.56 |
| 12 | 10 | 0.5 | 11.87 | 10.94 | 1.02 × 10−4 | 16.25 |
| 10 | 10 | 0.5 | 9.85 | 10.44 | 7.69 × 10−5 | 14.12 |
| 15 | 10 | 0.3 | 14.92 | 12.65 | 3.90 × 10−3 | 100.09 |
| 15 | 10 | 0.2 | 14.92 | 12.65 | 1.64 × 10−2 | 206.02 |
Disclaimer/Publisher’s Note: The statements, opinions and data contained in all publications are solely those of the individual author(s) and contributor(s) and not of MDPI and/or the editor(s). MDPI and/or the editor(s) disclaim responsibility for any injury to people or property resulting from any ideas, methods, instructions or products referred to in the content. |
© 2024 by the authors. Licensee MDPI, Basel, Switzerland. This article is an open access article distributed under the terms and conditions of the Creative Commons Attribution (CC BY) license (https://creativecommons.org/licenses/by/4.0/).
Share and Cite
Qi, R.; Lu, H.; Xu, C.; Yu, L.; Xiao, C.; Du, J.; Li, Y. Study on the Evolution Law of Temperature, Pressure, and Productivity near the Well for Gas Hydrate Exploitation by Depressurization. Energies 2024, 17, 3728. https://doi.org/10.3390/en17153728
Qi R, Lu H, Xu C, Yu L, Xiao C, Du J, Li Y. Study on the Evolution Law of Temperature, Pressure, and Productivity near the Well for Gas Hydrate Exploitation by Depressurization. Energies. 2024; 17(15):3728. https://doi.org/10.3390/en17153728
Chicago/Turabian StyleQi, Rongrong, Hongfeng Lu, Chenlu Xu, Lu Yu, Changwen Xiao, Jinwen Du, and Yan Li. 2024. "Study on the Evolution Law of Temperature, Pressure, and Productivity near the Well for Gas Hydrate Exploitation by Depressurization" Energies 17, no. 15: 3728. https://doi.org/10.3390/en17153728
APA StyleQi, R., Lu, H., Xu, C., Yu, L., Xiao, C., Du, J., & Li, Y. (2024). Study on the Evolution Law of Temperature, Pressure, and Productivity near the Well for Gas Hydrate Exploitation by Depressurization. Energies, 17(15), 3728. https://doi.org/10.3390/en17153728

