On the Exact Analytical Formulas of Leakage Current-Based Supercapacitor Model Operating in Industrial Applications
Abstract
:1. Introduction
- In this paper, an accurate SC model is mathematically analyzed.
- The analytical expressions for current and voltage change via time are derived in both the charging and discharging processes.
- The comparison of results with and without the usage of parallel resistance in the SC model is investigated.
- The mathematical expressions derived for current and voltage are accurate and do not require any other mathematical formulations.
2. Classic RC Model of Supercapacitors
2.1. Pedrayes et al. Methods
2.2. Calasan et al. Method
3. RC Model of Supercapacitors with Leakage Current: Description and Formulation Proposed
3.1. Discharge Process
3.2. Charge Process
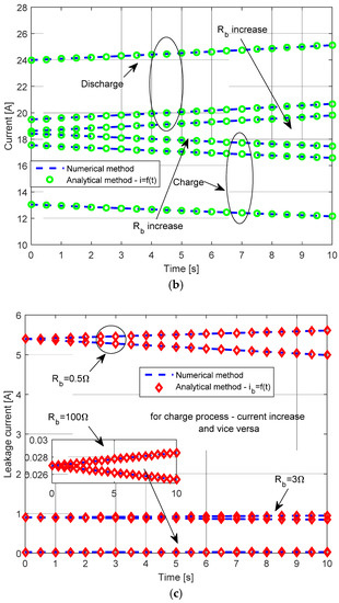
4. Numerical Results Obtained and Their Discussion
4.1. Numerical Results Obtained
4.2. Parametric Variations
4.2.1. Power Variation
4.2.2. Capacitance Variation
4.2.3. Effect of Successive Changes in the Charging and Discharging Power
5. Conclusions
Author Contributions
Funding
Data Availability Statement
Acknowledgments
Conflicts of Interest
Abbreviations
| ESSs | Energy storage systems |
| LCs | Leakage currents |
| MPPT | Maximum power point tracking |
| RC | Resistance–capacitance model of supercapacitors |
| SCs | Supercapacitor |
| SMs | Super magnetics |
| STFT | Special trans function theory |
| C | Capicatance in farads |
| g, g1, h | Variables in the Pedrayes et al. method |
| Icc | Constant discharge current |
| i | SC current |
| ib | SC leakage current |
| P | Discharge power |
| P1 | Charge power |
| Rb | SC shunt resistance |
| R | SC series resistance |
| t | Time |
| t0 | Initial time value |
| U0 | Initial SC voltage |
| u | SC voltage |
| Variables in the Calasan et al. method | |
| W | Solution of Lambert equation |
| , , , , | Variables |
References
- Yamashita, K.; Villanueva, S.M. Integration of renewable energy sources, energy storages, and their impacts. In Encyclopedia of Electrical and Electronic Power Engineering; García, J., Ed.; Elsevier: Oxford, UK, 2023; pp. 36–44. ISBN 978-0-12-823211-8. [Google Scholar]
- Ćalasan, M.; Abdel Aleem, S.H.E.; Hasanien, H.M.; Alaas, Z.M.; Ali, Z.M. An innovative approach for mathematical modeling and parameter estimation of PEM fuel cells based on iterative Lambert W function. Energy 2023, 264, 126165. [Google Scholar] [CrossRef]
- Ebeed, M.; Aleem, S.H.E.A. Overview of uncertainties in modern power systems: Uncertainty models and methods. In Uncertainties in Modern Power Systems; Elsevier: Amsterdam, The Netherlands, 2021; pp. 1–34. [Google Scholar]
- Michaelides, E.E.; Nguyen, V.N.D.; Michaelides, D.N. The effect of electric vehicle energy storage on the transition to renewable energy. Green Energy Intell. Transp. 2023, 2, 100042. [Google Scholar] [CrossRef]
- Zhang, D.; Shafiullah, G.M.; Das, C.K.; Wong, K.W. A systematic review of optimal planning and deployment of distributed generation and energy storage systems in power networks. J. Energy Storage 2022, 56, 105937. [Google Scholar] [CrossRef]
- Ćalasan, M.; Kecojević, K.; Lukačević, O.; Ali, Z.M. Testing of influence of SVC and energy storage device’s location on power system using GAMS. In Uncertainties in Modern Power Systems; Elsevier: Amsterdam, The Netherlands, 2021; pp. 297–342. [Google Scholar]
- Beires, P.; Vasconcelos, M.H.; Moreira, C.L.; Peças Lopes, J.A. Stability of autonomous power systems with reversible hydro power plants: A study case for large scale renewables integration. Electr. Power Syst. Res. 2018, 158, 1–14. [Google Scholar] [CrossRef]
- Lu, Z. Experimental analysis of one micro-compressed air energy storage-power generation system with different working fluids. J. Energy Storage 2023, 60, 106647. [Google Scholar] [CrossRef]
- Billings, B.W.; Ho, A.; Sahraei-Adrakani, M.; Powell, K.M. System benefits of industrial battery storage: A comparison of grid and facility control and dispatch. Sustain. Energy Grids Netw. 2022, 32, 100958. [Google Scholar] [CrossRef]
- Mahdy, A.; Hasanien, H.M.; Turky, R.A.; Abdel Aleem, S.H.E. Modeling and optimal operation of hybrid wave energy and PV system feeding supercharging stations based on golden jackal optimal control strategy. Energy 2023, 263, 125932. [Google Scholar] [CrossRef]
- Li, Z.; Song, K.; Jiang, J.; Zhu, C. Constant Current Charging and Maximum Efficiency Tracking Control Scheme for Supercapacitor Wireless Charging. IEEE Trans. Power Electron. 2018, 33, 9088–9100. [Google Scholar] [CrossRef]
- Musolino, V.; Piegari, L.; Tironi, E. New full-frequency-range supercapacitor model with easy identification procedure. IEEE Trans. Ind. Electron. 2013, 60, 112–120. [Google Scholar] [CrossRef]
- Zhang, L.; Hu, X.; Wang, Z.; Sun, F.; Dorrell, D.G. A review of supercapacitor modeling, estimation, and applications: A control/management perspective. Renew. Sustain. Energy Rev. 2018, 81, 1868–1878. [Google Scholar] [CrossRef]
- Deng, Y.; Li, C.; Deng, Y.; Chen, T.; Feng, S.; Chu, Y.; Li, C. Energy Efficiency Optimization of Collaborative Power Supply System with Supercapacitor Storages. Energies 2023, 16, 1227. [Google Scholar] [CrossRef]
- Molina-Ibáñez, E.L.; Rosales-Asensio, E.; Pérez-Molina, C.; Pérez, F.M.; Colmenar-Santos, A. Analysis on the electric vehicle with a hybrid storage system and the use of Superconducting magnetic energy storage (SMES). Energy Rep. 2021, 7, 854–873. [Google Scholar] [CrossRef]
- Hannan, M.A.; Abu, S.M.; Al-Shetwi, A.Q.; Mansor, M.; Ansari, M.N.M.; Muttaqi, K.M.; Dong, Z.Y. Hydrogen energy storage integrated battery and supercapacitor based hybrid power system: A statistical analysis towards future research directions. Int. J. Hydrog. Energy 2022, 47, 39523–39548. [Google Scholar] [CrossRef]
- Grbovic, P.J.; Delarue, P.; Le Moigne, P.; Bartholomeus, P. Modeling and Control of the Ultracapacitor-Based Regenerative Controlled Electric Drives. IEEE Trans. Ind. Electron. 2011, 58, 3471–3484. [Google Scholar] [CrossRef]
- Gyawali, N.; Ohsawa, Y. Integrating fuel cell/electrolyzer/ultracapacitor system into a stand-alone microhydro plant. IEEE Trans. Energy Convers. 2010, 25, 1092–1101. [Google Scholar] [CrossRef]
- Zhang, L.; Hu, X.; Wang, Z.; Sun, F.; Deng, J.; Dorrell, D.G. Multiobjective Optimal Sizing of Hybrid Energy Storage System for Electric Vehicles. IEEE Trans. Veh. Technol. 2018, 67, 1027–1035. [Google Scholar] [CrossRef]
- Zhao, C.; Yin, H.; Yang, Z.; Ma, C. Equivalent series resistance-based energy loss analysis of a battery semiactive hybrid energy storage system. IEEE Trans. Energy Convers. 2015, 30, 1081–1091. [Google Scholar] [CrossRef]
- Rawa, M.; Alghamdi, S.; Milyani, A.H.; Hariri, F.; Alghamdi, B.; Ajour, M.; Ćalasan, M.; Ali, Z.M.; Hasanien, H.M.; Popovic, B.; et al. Thermal model of supercapacitors operating in constant power applications: New mathematical expressions for precise calculation of temperature change. J. Energy Storage 2022, 49, 104121. [Google Scholar] [CrossRef]
- Fouda, M.E.; Allagui, A.; Elwakil, A.S.; Eltawil, A.; Kurdahi, F. Supercapacitor discharge under constant resistance, constant current and constant power loads. J. Power Sources 2019, 435, 226829. [Google Scholar] [CrossRef]
- Ahmad, F.F.; Ghenai, C.; Hamid, A.K.; Bettayeb, M. Application of sliding mode control for maximum power point tracking of solar photovoltaic systems: A comprehensive review. Annu. Rev. Control 2020, 49, 173–196. [Google Scholar] [CrossRef]
- Sedaghat, M.; Siadatan, A.; Taheri, B. Photovoltaic Systems with Sliding Mode Control for Working in Maximum Power Point. Comput. Intell. Electr. Eng. 2018, 9, 77–90. [Google Scholar] [CrossRef]
- Elwakil, A.S.; Allagui, A.; Maundy, B.J.; Psychalinos, C. A low frequency oscillator using a super-capacitor. AEU Int. J. Electron. Commun. 2016, 70, 970–973. [Google Scholar] [CrossRef]
- Pedrayes, J.F.; Melero, M.G.; Cano, J.M.; Norniella, J.G.; Duque, S.B.; Rojas, C.H.; Orcajo, G.A. Lambert W function based closed-form expressions of supercapacitor electrical variables in constant power applications. Energy 2021, 218, 119364. [Google Scholar] [CrossRef]
- Ćalasan, M.; Zobaa, A.F.; Hasanien, H.M.; Abdel Aleem, S.H.E.; Ali, Z.M. Towards accurate calculation of supercapacitor electrical variables in constant power applications using new analytical closed-form expressions. J. Energy Storage 2021, 42, 102998. [Google Scholar] [CrossRef]
- Christen, T.; Carlen, M.W. Theory of ragone plots. J. Power Sources 2000, 91, 210–216. [Google Scholar] [CrossRef]
- Zobaa, A.F.; Aleem, S.H.E.A.; Abdelaziz, A.Y. Classical and Recent Aspects of Power System Optimization; Academic Press: Cambridge, MA, USA, 2018; ISBN 9780128124420. [Google Scholar]
- Aulisa, E.; Bnà, S.; Bornia, G. A monolithic ALE Newton–Krylov solver with Multigrid-Richardson–Schwarz preconditioning for incompressible Fluid-Structure Interaction. Comput. Fluids 2018, 174, 213–228. [Google Scholar] [CrossRef]
- Zhang, H.; Guo, J.; Lu, J.; Niu, J.; Li, F.; Xu, Y. The comparison between nonlinear and linear preconditioning JFNK method for transient neutronics/thermal-hydraulics coupling problem. Ann. Nucl. Energy 2019, 132, 357–368. [Google Scholar] [CrossRef]
- Sereeter, B.; Vuik, C.; Witteveen, C. On a comparison of Newton–Raphson solvers for power flow problems. J. Comput. Appl. Math. 2019, 360, 157–169. [Google Scholar] [CrossRef]
- Pedrayes, J.F.; Melero, M.G.; Norniella, J.G.; Cano, J.M.; Cabanas, M.F.; Orcajo, G.A.; Rojas, C.H. A novel analytical solution for the calculation of temperature in supercapacitors operating at constant power. Energy 2019, 188, 116047. [Google Scholar] [CrossRef]
- Rawa, M.; Al-Turki, Y.; Sindi, H.; Ćalasan, M.; Ali, Z.M.; Abdel Aleem, S.H.E. Current-voltage curves of planar heterojunction perovskite solar cells—Novel expressions based on Lambert W function and Special Trans Function Theory. J. Adv. Res. 2022, 44, 91–108. [Google Scholar] [CrossRef] [PubMed]
- Ćalasan, M.; Abdel Aleem, S.H.E.; Zobaa, A.F. A new approach for parameters estimation of double and triple diode models of photovoltaic cells based on iterative Lambert W function. Sol. Energy 2021, 218, 392–412. [Google Scholar] [CrossRef]














| Parameter | Value |
|---|---|
| U0 (V) | 2.7 |
| C (kF) | 1.2 |
| R (mΩ) | 0.58 |
| t (s) | u (V) | i (A) | ib (A) | ||
|---|---|---|---|---|---|
| 0.0 | 0.985500293824554 | 70.1423 | 2.7000 | 18.8628 | 0.2700 |
| 0.5 | 0.985582422271010 | 70.5505 | 2.6921 | 18.9168 | 0.2692 |
| 1.0 | 0.985664557561789 | 70.9634 | 2.6842 | 18.9713 | 0.2684 |
| 1.5 | 0.985746699697461 | 71.3813 | 2.6763 | 19.0263 | 0.2676 |
| 2.0 | 0.985828848678595 | 71.8042 | 2.6684 | 19.0817 | 0.2668 |
| 2.5 | 0.985911004505764 | 72.2322 | 2.6604 | 19.1377 | 0.2660 |
| 3.0 | 0.985993167179537 | 72.6653 | 2.6524 | 19.1942 | 0.2652 |
| 3.5 | 0.986075336700484 | 73.1038 | 2.6444 | 19.2512 | 0.2644 |
| 4.0 | 0.986157513069177 | 73.5476 | 2.6364 | 19.3088 | 0.2636 |
| 4.5 | 0.986239696286186 | 73.9968 | 2.6283 | 19.3668 | 0.2628 |
| 5.0 | 0.986321886352082 | 74.4517 | 2.6203 | 19.4255 | 0.2620 |
| 5.5 | 0.986404083267435 | 74.9122 | 2.6121 | 19.4846 | 0.2612 |
| 6.0 | 0.986486287032816 | 75.3785 | 2.6040 | 19.5444 | 0.2604 |
| 6.5 | 0.986568497648797 | 75.8507 | 2.5959 | 19.6047 | 0.2596 |
| 7.0 | 0.986650715115948 | 76.3289 | 2.5877 | 19.6655 | 0.2588 |
| 7.5 | 0.986732939434840 | 76.8133 | 2.5795 | 19.7270 | 0.2579 |
| 8.0 | 0.986815170606045 | 77.3038 | 2.5712 | 19.7891 | 0.2571 |
| 8.5 | 0.986897408630131 | 77.8008 | 2.5630 | 19.8517 | 0.2563 |
| 9.0 | 0.986979653507673 | 78.3042 | 2.5547 | 19.9150 | 0.2555 |
| 9.5 | 0.987061905239239 | 78.8142 | 2.5464 | 19.9790 | 0.2546 |
| 10.0 | 0.987144163825403 | 79.3310 | 2.5380 | 20.0435 | 0.2538 |
| t (s) | ·1000 | u (V) | i (A) | ib (A) | |
|---|---|---|---|---|---|
| 0.0 | 0.999850256058536 | 6.9148 | 2.7000 | 18.5955 | 0.002700000000001 |
| 0.5 | 0.999851089267431 | 6.9551 | 2.6922 | 18.6495 | 0.002692240647929 |
| 1.0 | 0.999851922477020 | 6.9958 | 2.6845 | 18.7040 | 0.002684458692096 |
| 1.5 | 0.999852755687302 | 7.0370 | 2.6767 | 18.7589 | 0.002676653933216 |
| 2.0 | 0.999853588898279 | 7.0786 | 2.6688 | 18.8144 | 0.002668826169019 |
| 2.5 | 0.999854422109949 | 7.1208 | 2.6610 | 18.8704 | 0.002660975194265 |
| 3.0 | 0.999855255322315 | 7.1635 | 2.6531 | 18.9268 | 0.002653100800589 |
| 3.5 | 0.999856088535375 | 7.2067 | 2.6452 | 18.9838 | 0.002645202776528 |
| 4.0 | 0.999856921749130 | 7.2504 | 2.6373 | 19.0413 | 0.002637280907384 |
| 4.5 | 0.999857754963579 | 7.2947 | 2.6293 | 19.0993 | 0.002629334975200 |
| 5.0 | 0.999858588178722 | 7.3395 | 2.6214 | 19.1578 | 0.002621364758679 |
| 5.5 | 0.999859421394559 | 7.3848 | 2.6134 | 19.2169 | 0.002613370033081 |
| 6.0 | 0.999860254611090 | 7.4307 | 2.6054 | 19.2766 | 0.002605350570184 |
| 6.5 | 0.999861087828317 | 7.4772 | 2.5973 | 19.3368 | 0.002597306138192 |
| 7.0 | 0.999861921046237 | 7.5243 | 2.5892 | 19.3976 | 0.002589236501677 |
| 7.5 | 0.999862754264852 | 7.5720 | 2.5811 | 19.4589 | 0.002581141421454 |
| 8.0 | 0.999863587484160 | 7.6203 | 2.5730 | 19.5209 | 0.002573020654567 |
| 8.5 | 0.999864420704164 | 7.6692 | 2.5649 | 19.5834 | 0.002564873954097 |
| 9.0 | 0.999865253924862 | 7.7187 | 2.5567 | 19.6465 | 0.002556701069188 |
| 9.5 | 0.999866087146254 | 7.7689 | 2.5485 | 19.7103 | 0.002548501744906 |
| 10.0 | 0.999866920368341 | 7.8198 | 2.5403 | 19.7747 | 0.002540275722114 |
| t (s) | X | u (V) | i (A) | ib (A) | |
|---|---|---|---|---|---|
| 0.0 | 1.014666570664325 | 67.0507 | 2.7000 | 18.1754 | 0.2700 |
| 0.5 | 1.014751129735126 | 66.6741 | 2.7076 | 18.1236 | 0.2708 |
| 1.0 | 1.014835695852810 | 66.3016 | 2.7151 | 18.0721 | 0.2715 |
| 1.5 | 1.014920269017964 | 65.9333 | 2.7226 | 18.0211 | 0.2723 |
| 2.0 | 1.015004849231176 | 65.5689 | 2.7301 | 17.9705 | 0.2730 |
| 2.5 | 1.015089436493032 | 65.2086 | 2.7376 | 17.9203 | 0.2738 |
| 3.0 | 1.015174030804120 | 64.8521 | 2.7451 | 17.8705 | 0.2745 |
| 3.5 | 1.015258632165028 | 64.4995 | 2.7525 | 17.8211 | 0.2752 |
| 4.0 | 1.015343240576344 | 64.1506 | 2.7599 | 17.7721 | 0.2760 |
| 4.5 | 1.015427856038654 | 63.8055 | 2.7673 | 17.7235 | 0.2767 |
| 5.0 | 1.015512478552546 | 63.4640 | 2.7747 | 17.6753 | 0.2775 |
| 5.5 | 1.015597108118608 | 63.1262 | 2.7820 | 17.6274 | 0.2782 |
| 6.0 | 1.015681744737428 | 62.7918 | 2.7894 | 17.5800 | 0.2789 |
| 6.5 | 1.015766388409594 | 62.4610 | 2.7967 | 17.5329 | 0.2797 |
| 7.0 | 1.015851039135692 | 62.1336 | 2.8040 | 17.4861 | 0.2804 |
| 7.5 | 1.015935696916312 | 61.8096 | 2.8113 | 17.4398 | 0.2811 |
| 8.0 | 1.016020361752041 | 61.4889 | 2.8185 | 17.3937 | 0.2819 |
| 8.5 | 1.016105033643467 | 61.1715 | 2.8257 | 17.3481 | 0.2826 |
| 9.0 | 1.016189712591178 | 60.8573 | 2.8330 | 17.3027 | 0.2833 |
| 9.5 | 1.016274398595761 | 60.5463 | 2.8402 | 17.2578 | 0.2840 |
| 10.0 | 1.016359091657807 | 60.2384 | 2.8473 | 17.2131 | 0.2847 |
| t (s) | X∙1000 | u (V) | i (A) | ib (A) | |
|---|---|---|---|---|---|
| 0.0 | 1.000141859861932 | 6.8037 | 2.7000 | 18.4427 | 0.002700000000007 |
| 0.5 | 1.000142693313829 | 6.7655 | 2.7077 | 18.3909 | 0.002707673649208 |
| 1.0 | 1.000143526766421 | 6.7277 | 2.7153 | 18.3394 | 0.002715325775111 |
| 1.5 | 1.000144360219706 | 6.6903 | 2.7230 | 18.2884 | 0.002722956557277 |
| 2.0 | 1.000145193673687 | 6.6534 | 2.7306 | 18.2378 | 0.002730566172834 |
| 2.5 | 1.000146027128362 | 6.6168 | 2.7382 | 18.1876 | 0.002738154796433 |
| 3.0 | 1.000146860583733 | 6.5807 | 2.7457 | 18.1379 | 0.002745722600371 |
| 3.5 | 1.000147694039798 | 6.5449 | 2.7533 | 18.0885 | 0.002753269754584 |
| 4.0 | 1.000148527496555 | 6.5095 | 2.7608 | 18.0396 | 0.002760796426700 |
| 4.5 | 1.000149360954010 | 6.4745 | 2.7683 | 17.9910 | 0.002768302782151 |
| 5.0 | 1.000150194412157 | 6.4399 | 2.7758 | 17.9428 | 0.002775788984090 |
| 5.5 | 1.000151027871000 | 6.4056 | 2.7833 | 17.8950 | 0.002783255193553 |
| 6.0 | 1.000151861330537 | 6.3718 | 2.7907 | 17.8476 | 0.002790701569405 |
| 6.5 | 1.000152694790770 | 6.3382 | 2.7981 | 17.8006 | 0.002798128268451 |
| 7.0 | 1.000153528251695 | 6.3050 | 2.8055 | 17.7539 | 0.002805535445412 |
| 7.5 | 1.000154361713316 | 6.2722 | 2.8129 | 17.7076 | 0.002812923253052 |
| 8.0 | 1.000155195175632 | 6.2397 | 2.8203 | 17.6617 | 0.002820291842097 |
| 8.5 | 1.000156028638642 | 6.2075 | 2.8276 | 17.6161 | 0.002827641361340 |
| 9.0 | 1.000156862102347 | 6.1757 | 2.8350 | 17.5708 | 0.002834971957704 |
| 9.5 | 1.000157695566744 | 6.1442 | 2.8423 | 17.5259 | 0.002842283776184 |
| 10.0 | 1.000158529031839 | 6.1130 | 2.8496 | 17.4814 | 0.002849576959995 |
Disclaimer/Publisher’s Note: The statements, opinions and data contained in all publications are solely those of the individual author(s) and contributor(s) and not of MDPI and/or the editor(s). MDPI and/or the editor(s) disclaim responsibility for any injury to people or property resulting from any ideas, methods, instructions or products referred to in the content. |
© 2023 by the authors. Licensee MDPI, Basel, Switzerland. This article is an open access article distributed under the terms and conditions of the Creative Commons Attribution (CC BY) license (https://creativecommons.org/licenses/by/4.0/).
Share and Cite
Ali, Z.M.; Calasan, M.; Aleem, S.H.E.A.; Hasanien, H.M. On the Exact Analytical Formulas of Leakage Current-Based Supercapacitor Model Operating in Industrial Applications. Energies 2023, 16, 1903. https://doi.org/10.3390/en16041903
Ali ZM, Calasan M, Aleem SHEA, Hasanien HM. On the Exact Analytical Formulas of Leakage Current-Based Supercapacitor Model Operating in Industrial Applications. Energies. 2023; 16(4):1903. https://doi.org/10.3390/en16041903
Chicago/Turabian StyleAli, Ziad M., Martin Calasan, Shady H. E. Abdel Aleem, and Hany M. Hasanien. 2023. "On the Exact Analytical Formulas of Leakage Current-Based Supercapacitor Model Operating in Industrial Applications" Energies 16, no. 4: 1903. https://doi.org/10.3390/en16041903
APA StyleAli, Z. M., Calasan, M., Aleem, S. H. E. A., & Hasanien, H. M. (2023). On the Exact Analytical Formulas of Leakage Current-Based Supercapacitor Model Operating in Industrial Applications. Energies, 16(4), 1903. https://doi.org/10.3390/en16041903
