Abstract
The space Brayton nuclear reactor system usually adopts the helium–xenon gas mixture (He–Xe) as the working fluid. The flow of He–Xe in the micro channel regenerator of the system is generally laminar. Since the properties of He–Xe are significantly different from those of common pure gases, the impact of this difference on the laminar flow and heat transfer needs to be evaluated. In present study, the numerical simulations of laminar convective heat transfer for helium, nitrogen and He–Xe are conducted by Ansys Fluent. Compared with simulation results, the applicability of existing laminar friction factor (f) and Nusselt number correlations is evaluated. By establishing the functions of property ratios with the temperature ratio and the mixing ratio, a new laminar f correlation for property-variable He–Xe is proposed. Results show that the calculation error of existing f correlations for He–Xe is obviously large, exceeding 13%. With the new f correlation, the predictions of laminar f for He–Xe are in good agreement with the simulation results in the fully developed region, and the calculation error is reduced to 3%.
1. Introduction
To meet the growing demand of space exploration, it is necessary to develop a more advanced and reliable space power system [1,2,3]. In comparison with common space power sources, such as chemical fuel cells or solar photovoltaic arrays, the high-power space nuclear reactor system can provide long-term, stable and efficient energy for nuclear-powered spacecrafts and planetary bases [4,5,6,7,8]. A gas-cooled reactor using the helium–xenon gas mixture (He–Xe) as coolant, combined with a direct Brayton cycle, can achieve a scheme for space nuclear power system with a lower specific mass and more compact design [9,10,11,12]. To reduce the aerodynamic loads of compressor and obtain an acceptable convective heat transfer coefficient, the He–Xe with molecular weight of 14.5–40.0 g/mol is generally recommended [13,14,15,16].
The high-temperature He–Xe regenerator is an important component of the space Brayton cycle system [17]. Due to the small size of heat exchange unit in the regenerator, the flow of He–Xe inside is usually laminar. Under the condition of constant properties, there exist theoretical solutions to the laminar friction factor (f) and Nusselt (Nu) number in the fully developed region in a smooth tube (fRe = 64, Nu = 48/11) [18]. However, when the wall temperature (Tw) differs greatly from the mainstream temperature (Tb), the cross-section properties in the tube will be different. Due to the influence of variable properties, the new law of the flow and heat transfer different from that of constant properties may appear [19,20,21,22]. Correlations derived from constant properties might not be applicable to the condition of variable properties [23,24]. The variation of properties for He–Xe is related to the mixing ratio, temperature, etc., and is different from that of common pure gases [25,26]. Additionally, the Prandtl (Pr) number of the recommended He–Xe with 14.5–40 g/mol will be as low as about 0.2, which is significantly lower than that of air, water and other conventional fluids (Pr > 0.70) [14,27]. In order to better evaluate the influence of property difference on the laminar flow and heat transfer, it is necessary to carry out in-depth research.
Our research is a traditional research topic about the gas flow and heat transfer with variable properties, and predecessors have conducted lots of studies on it. Maxwell et al. [28] numerically investigated the laminar convective heat transfer of air with variable properties in a rectangular channel, and the thermal entrance effect was analyzed. Taylor et al. [29] studied the gas laminar flow and heat transfer in the range of large temperature ratio (0.35 < Tw/Tb < 7.35) through experiments, obtaining a new f correlation by fitting experimental data. Additionally, Kays et al. [18] reviewed lots of researches on the gas laminar flow and heat transfer with variable properties, by which the modified f and Nu number correlations with temperature ratio were proposed. Herwig et al. [30] theoretically studied the laminar flow and heat transfer of gases under the small uniform heat flux; the expressions of f and Nu number in form of the property ratios were presented. By fitting the relevant experimental data, simplified correlations with the temperature ratio were also proposed by Herwig. However, the above studies mainly focused on single-component gases, not involving the gas mixtures with lower Pr numbers. Additionally, since most of the existing f and Nu number correlations for property-variable laminar flow are obtained by fitting experimental data, lacking theoretical basis, the application scope of the correlations is limited. In terms of laminar flow and heat transfer of He–Xe, Kurganov et al. [19] numerically compared the property-variable laminar f for monoatomic gases, diatomic gases, polyatomic gases and He–Xe, finding that the f of He–Xe was greater than that of other gases under the same conditions. Yang et al. [17] also investigated the He–Xe laminar flow and heat transfer in the high-temperature microchannel regenerator. However, the above two studies did not give the suitable f correlation for He–Xe. Therefore, the laminar flow and heat transfer characteristics of He–Xe with variable properties have yet to be revealed, and the suitable laminar f correlation for He–Xe still needs to be proposed.
In the present paper, the numerical simulations are firstly conducted to compare the difference in laminar flow and heat transfer between the He–Xe and conventional helium, nitrogen. The applicability of existing property-variable laminar f and Nu number correlations for He–Xe is evaluated. Thereafter, based on the theoretical expression of property-variable laminar flow, the quantitative analysis is conducted to explain the difference in laminar flow f between He–Xe and conventional gases. Additionally, by establishing the functions of property ratios with the temperature ratio and the gas mixing ratio, a new laminar f correlation for property-variable He–Xe is proposed. This new model can be used for the subsequent thermal hydraulics calculation and analysis of the micro-channel regenerator in space nuclear reactor systems.
2. Numerical Simulation Method
2.1. Calculation Model
For laminar flow, the numerical simulation based on the computational fluid dynamics (CFD) method is to directly solve the governing equations without introducing any assumptions and empirical coefficients. Under the premise of ensuring grid independence, numerical simulation results can be used as benchmark values. Therefore, the applicability of existing laminar f and Nu number correlations for He–Xe can be verified by comparing with the CFD simulation results.
As shown in Figure 1, the calculation model is a straight circular tube with a diameter (D) of 5.87 mm. The total length is 680.92 mm, of which the first part (L1 = 56D) is adiabatic while the remaining (L2 = 60D) is heated by uniform heat flux. In terms of the boundary conditions, the inlet is set to ‘mass-flow-inlet’, the outlet is set to ‘pressure-out’, and the wall surface adopts a non-slip boundary. The parameters of the specific calculation case are shown in Table 1. The setting of heat flux in Table 1 is to obtain different Tw/Tb, so as to better explore the influence of gas variable properties. The flow setting of different gases is to keep the inlet Reynolds number consistent. It is noted that four helium–xenon gas mixtures of different molecular weights have been selected in previous studies [25,26], among which the He–Xe of 14.5 g/mol and 40.0 g/mol are commonly used as the working fluid in space reactor systems [6,13,15,31]. In the present paper, the He–Xe of 14.5, 28.3, 40.0 and 83.8 g/mol are also chosen.
Figure 1.
The calculation model of numerical simulation.
Table 1.
The boundary conditions of numerical simulation.
The properties of helium and nitrogen refer to the National Institute of Standards and Technology (NIST) database, which can be called by functions in ANSYS Fluent. Additionally, Tournier et al. [32] proposed semi-empirical correlations for calculating the properties of binary noble gases mixtures based on the Chapman–Enskog method. The accuracy of those property correlations was verified by comparing with experimental data [13,14,15]. In our previous papers [2,25,26], the variation in property for He–Xe was also analyzed in detail. Therefore, the properties of He–Xe continue using the semi-empirical correlations by Tournier in the present paper. Through user-defined functions (UDF), the correlation properties of He–Xe are imported into Ansys Fluent.
2.2. Grid Independence Test
As Gr/Re2 ≪ 1 is satisfied for all cases in Table 1, the gravitational effect is neglected and a two-dimensional calculation domain can be adopted [33]. Firstly, three meshes are used for the grid independence test (mesh 1: 40 × 3000 = 120,000, mesh 2: 60 × 4000 = 240,000, mesh 3: 80 × 6000 = 480,000). The test is carried out with case 9, and the calculation results are shown in Table 2.
Table 2.
The grid independence test.
It can be calculated that the numerical deviation between mesh 2 and mesh 3 is less than 0.01%, thus the grid of mesh 2, as shown in Figure 2, can be considered sufficient. What is more, the laminar flow and heat transfer of constant properties is also simulated with mesh 2. It is found that the deviation of calculated f compared with 64/Re and the calculated Nu number compared with 48/11 in the fully developed region is less than 0.1%, which further verifies the rationality of mesh 2.
Figure 2.
The grid of mesh 2.
3. Applicability of Existing Property-Variable Correlations
As shown in Table 3, the Nu number and f of laminar flow and heat transfer for three gases are calculated using Kays and Herwig correlations. The constant property correlations are also introduced for comparison. The applicability of existing variable property correlations to different gases are evaluated by comparing with CFD simulation results. The simulated local Nu number and f of gases are obtained by the following Equations (1) and (2), where λ denotes the cross-section average thermal conductivity, τw denotes the local wall shear and ub denotes the average velocity.
Table 3.
Existing variable property correlations of laminar flow and heat transfer.
3.1. Applicability of Existing f Correlations
As shown in Figure 3 and Figure 4, the laminar f of helium and nitrogen in the fully developed region of tube (x = 0.6 m) is calculated. As the x/D increases, the Re number decreases, and thus the laminar f increases. Compared with the CFD simulation results, calculations by the constant property correlation are obviously underestimated. The predictions by Kays and Herwig correlations for helium and nitrogen are found to be in good agreement with the simulation results. This is because the coefficients of Kays and Herwig correlations are determined mainly by fitting the experimental data of conventional gases, thus these correlations have good applicability to helium and nitrogen.
Figure 3.
Calculations by existing f correlations for helium. (a) case 1; (b) case 2.
Figure 4.
Calculations by existing f correlations for nitrogen. (a) case 3; (b) case 4.
As shown in Table 4 and Table 5, the prediction errors of the three f correlations for helium and nitrogen are calculated based on case 1 and case 3, respectively. It can be found that the prediction error of the constant property correlation is close to 30% in the region of Δx/D ≥ 46.2. Under the conditions of different Tw/Tb and Re number, the calculation errors of Herwig correlation for helium and nitrogen are less than 2.5% and that of Kays correlation is less than 2.0%, which further indicates that the two correlations have good applicability to the f calculation for conventional helium and nitrogen.
Table 4.
Calculation errors of helium by laminar flow f correlations.
Table 5.
Calculation errors of nitrogen by laminar flow f correlations.
Correspondingly, the He–Xe with a molecular mass of 14.5 g/mol (HeXe14.5) is selected [13,15], and the laminar f of HeXe14.5 is calculated. As shown in Figure 5, the prediction error of constant property correlation is still large. It is worth noting that, unlike conventional gases, the predictions by Kays and Herwig correlations are significantly smaller than the CFD simulation results. As shown in Table 6, the prediction errors of Kays and Herwig correlations for HeXe14.5 are also presented based on case 6. It can be seen that the error of Herwig correlation is larger than 13% and that of Kays correlation also exceeds 11%. To explain the above deviations and propose a more applicable property-variable laminar f correlation for He–Xe, it is necessary to conduct in-depth studies.
Figure 5.
Calculations by existing f correlations for HeXe14.5. (a) case 5; (b) case 6.
Table 6.
Calculation errors of HeXe14.5 by laminar f correlations with case 6.
3.2. Applicability of Existing Nu Number Correlations
As shown in Figure 6 and Figure 7, the Nu numbers of property-variable laminar convective heat transfer for helium and nitrogen are calculated. At the beginning of heating, the thermal boundary layer is very thin and the thermal resistance is small, thus the surface convective heat transfer coefficient is large, resulting in the Nu number of gases being relatively high. As the thermal boundary layer becomes thicker, the heat transfer coefficient gradually decreases as the x/D increases, thus the Nu number decreases accordingly. When the gas flow reaches the fully developed state, the thickness of the boundary layer is stable, and the change of Nu number tends to be gentle. What is more, it is found that in the region of Δx/D ≥ 46.2, all the calculations by the constant property correlation, Kays correlation and Herwig correlation are in good agreement with the CFD simulation results, indicating that the three existing correlations are suitable for Nu number calculation of laminar convective heat transfer for conventional helium and nitrogen in the fully developed region. Since the above three correlations do not consider the influence of the thermal entrance, there exists significant deviation between calculations by correlations and the CFD simulation results when Δx/D ≤ 46.2. Additionally, predictions by the two property-variable correlations are very close to those by the constant property correlation, which illustrates that the variable property has a weak influence on the Nu number calculation for the laminar convection heat transfer. In order to further describe the calculation accuracy, the error of Nu number for the corresponding correlations is calculated. As shown in Table 7 and Table 8, when Δx/D ≥ 46.2, the calculation error of the three correlations is close, basically within 5.0%.
Figure 6.
Calculations by existing Nu correlations for helium. (a) case 1; (b) case 2.
Figure 7.
Calculations by existing Nu correlations for nitrogen. (a) case 3; (b) case 4.
Table 7.
Calculation errors of helium by Nu number correlations with case 1.
Table 8.
Calculation errors of nitrogen by Nu number correlations with case 3.
Continuing to explore the applicability of the existing correlations to the Nu number calculation of He–Xe laminar convective heat transfer, as shown in Figure 8, it is found that the calculations by three correlations are still in good agreement with CFD simulation results in the fully developed region. As shown in Table 9, the calculation errors of Nu number correlations for HeXe14.5 are presented. Results show that the calculation errors of Herwig and Kays correlations are close to those of constant property correlation and are less than 3.0%. Therefore, in the subsequent thermal hydraulic design, the Nu number of He–Xe laminar convective heat transfer can still be calculated by existing correlations.
Figure 8.
Calculations by existing Nu correlations for HeXe14.5. (a) case 5; (b) case 6.
Table 9.
Calculation errors of HeXe14.5 by Nu correlations with case 6.
4. Analysis and Discussion
4.1. Impact Factor Analysis
When the gas flows through the heated tube, the density, thermal conductivity and viscosity will change at the same time. It is difficult to directly theoretically derive the control equations of laminar flow and obtain the property-variable laminar f correlation. Herwig [30] used the Taylor expansion method to decompose the variable properties into the constant property term and linear difference term. By solving the zero-order and first-order equations respectively, a theoretical f correlation for the laminar flow with variable properties was derived, as shown in Equation (3).
Based on Equation (3), the reason why the existing correlations underestimate the laminar f of He–Xe can be explained. It can be seen that the Equation (3) is composed of the property ratio term and the exponent item, thus these impact factors in Equation (3) can be quantificationally analyzed one by one. As shown in Figure 9 and Figure 10, the variation of property ratio items with Tw/Tb is calculated.
Figure 9.
Variation of ρw/ρb with Tw/Tb for different gases.
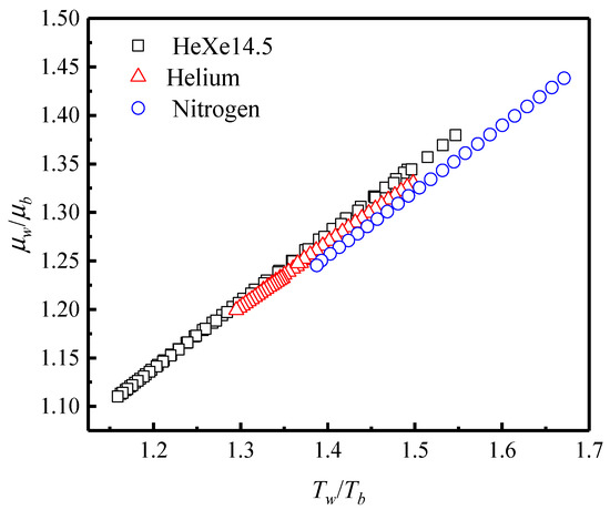
Figure 10.
Variation of μw/μb with Tw/Tb for different gases.
It can be found that the variation trend of property ratios with Tw/Tb for different gases is basically similar. The gas laminar f is jointly affected by the density term and dynamic viscosity term. As shown in Table 10, the values of viscosity term for different gases are close under the same Tw/Tb. However, due to the difference in Pr numbers, the exponent of density term of HeXe14.5 is smaller than that of other gases, making the value of density term of HeXe14.5 is significantly larger. Therefore, under the same working conditions, the value of laminar flow f for He–Xe is larger than that of the conventional gases. Since Kays and Herwig correlations in Table 3 are proposed by fitting the experimental data of conventional gases, their predictions of laminar f for He–Xe are lower.
Table 10.
Analysis of impact factors of property-variable laminar flow f.
4.2. Modified with Temperature Ratio
Equation (3) is in the form of property ratios, which is difficult to be directly applied to engineering problems. Although Herwig subsequently tried to establish a simplified correlation with the temperature ratio correction, only the experimental data of air with a reference temperature of 20 °C was used in the actual formula fitting, which limited the application range of the simplified correlation. In terms of calculation accuracy, Herwig’s simplified correlation is actually not good for He–Xe laminar f calculation. From Table 6, it can be seen that the Herwig’s simplified laminar f correlation has a prediction error of more than 13% for He–Xe in the fully-developed region. Therefore, it is still necessary to propose a more applicable laminar f correlation for He–Xe. Since the property ratio of He–Xe show an obvious relationship with Tw/Tb, the function between the property ratio and the temperature ratio can be fitted to obtain a modified f correlation. As shown in Figure 11, the variation of density ratio with Tw/Tb for He–Xe under different cases is firstly calculated. It is found that the ρw/ρb of He–Xe is almost independent of the gas mixing ratios, but only varies with Tw/Tb. By numerically fitting the data points, the expression of ρw/ρb for He–Xe can be obtained:
Figure 11.
Variation of ρw/ρb with Tw/Tb for He–Xe.
As shown in Figure 12, the μw/μb of He–Xe is related to Tw/Tb, the mixing ratio x1 and the heat flux q. When Tw/Tb is small, μw/μb is basically not affected by x1 and q. However, when Tw/Tb is large, μw/μb changes slightly with x1 and heat fluxes, which is mainly caused by the fact that the viscosity of He–Xe does not vary monotonously with the x1 and temperature. Since the deviation caused by different heat fluxes is small in the range of 0 < x1 < 0.30 (4.003 < M < 42.5), the influence of x1 and Tw/Tb on the μw/μb can be considered for simplification. By fitting the data points, the expression of μw/μb for He–Xe can be obtained as follows:
Figure 12.
Variation of μw/μb with Tw/Tb for He–Xe.
Combining Equations (3)–(5), the modified f correlation with temperature ratio for property-variable He–Xe laminar flow is obtained:
4.3. Error Analysis of Modified f Correlation
As shown in Figure 13, calculations by the new laminar f correlation are compared with the corresponding CFD simulation values of He–Xe. It is found that in the fully developed region, calculations by the new f correlation are in good agreement with the simulated results, which is obviously improved compared with the existing laminar f correlations. At the thermal entrance, the calculated value of new f correlation is slightly higher than simulation results; this is because the thermal entrance effect is not considered in the derivation of Equation (3). However, compared with Kays correlation, the prediction of Equation (6) proposed in the present paper is more conservative.
Figure 13.
Applicability of the modified f correlation to He–Xe. (a) case 6; (b) case 7.
As shown in Table 11 and Table 12, the calculation accuracy of the new f correlation for He–Xe laminar flow is presented. The calculation error is found to be less than 3% for Δx/D ≥ 46.2, indicating that the new f correlation has good applicability to the laminar f calculation for property-variable He–Xe in the fully developed region.
Table 11.
Calculation error of modified f correlation for HeXe14.5 with case 6.
Table 12.
Calculation error of modified f correlation for HeXe28.3 with case 7.
5. Conclusions
This paper numerically investigates the differences in laminar flow and heat transfer between He–Xe and conventional gases. The applicability of existing f and Nu number correlations to the property-variable He–Xe is evaluated. It is found that Kays and Herwig correlations have good prediction accuracy for conventional gases, but obviously underestimate the laminar f for He–Xe. The calculation error of Herwig correlation is more than 13% and that of Kays correlation also exceeds 11% in the fully developed region. Theoretical analysis shows that the Pr number is a key factor affecting laminar f with variable properties. By fitting the numerical simulation results, the functions of property ratios with Tw/Tb and x1 for He–Xe are established, based on which a new f correlation modified with the temperature ratio is proposed. The results show that the calculation error of the new f correlation for He–Xe in the fully developed region is less than 3%, which is obviously improved compared with the existing correlations. The model proposed in the present paper can provide a reference for the subsequent thermal-hydraulic calculation of the He–Xe cooled nuclear reactor system.
Author Contributions
Conceptualization, B.Z. and J.S.; methodology, J.S.; software, B.Z.; validation, B.Z.; formal analysis, B.Z.; investigation, B.Z.; resources, J.S. and Y.S.; data curation, B.Z.; writing—original draft preparation, B.Z.; writing—review and editing, B.Z., J.S. and Y.S.; visualization, B.Z.; supervision, Y.S.; project administration, J.S.; funding acquisition, J.S. All authors have read and agreed to the published version of the manuscript.
Funding
This research was funded by the National Key R&D Program of China (2020YFE0202500).
Data Availability Statement
Not applicable.
Conflicts of Interest
The authors declare no conflict of interest.
Nomenclature
| D | diameter of tube (m) |
| f | friction factor |
| G | mass flux (kg/m2·s) |
| M | molar weight (g/mol) |
| Nu | Nusselt number |
| Pr | Prandtl number |
| q | heat flux (W/m2) |
| Re | Reynolds number |
| T | temperature |
| u | velocity |
| x | axial distance from inlet |
| x1 | molar fraction of xenon |
| Δx | axial distance from starting heated point |
| Greek letters | |
| μ | dynamic viscosity |
| λ | thermal conductivity |
| ρ | density |
| Subscripts | |
| b | average |
| i | inlet |
| o | outlet |
| w | wall |
| cp | constant property |
References
- Ji, Y.; Liu, Z.; Sun, J.; Shi, L. Analysis of the flow distribution in a particle bed reactor for nuclear thermal propulsion. Energies 2019, 12, 3590. [Google Scholar] [CrossRef]
- Zhou, B.; Ji, Y.; Sun, J.; Sun, Y. Nusselt number correlation for turbulent heat transfer of helium-xenon gas mixtures. Nucl. Sci. Tech. 2021, 32, 12811. [Google Scholar] [CrossRef]
- Howe, T.; Howe, S.; Miller, S. Novel deep space nuclear electric propulsion spacecraft. Nucl. Technol. 2021, 207, 866–875. [Google Scholar] [CrossRef]
- Li, H.; Tian, X.; Ge, L.; Kang, X.; Zhu, L.; Chen, S.; Chen, L.; Jiang, X.; Shan, J. Development of a performance analysis model for free-piston stirling power convertor in space nuclear reactor power systems. Energies 2022, 15, 915. [Google Scholar] [CrossRef]
- Krecicki, M.; Kotlyar, D. Full-core coupled neutronic, thermal-hydraulic, and thermo-mechanical analysis of low-enriched uranium nuclear thermal propulsion reactors. Energies 2022, 15, 7007. [Google Scholar] [CrossRef]
- Meng, T.; Cheng, K.; Zhao, F.; Xia, C.; Tan, S. Computational flow and heat transfer design and analysis for 1/12 gas-cooled space nuclear reactor. Ann. Nucl. Energy 2020, 135, 106986. [Google Scholar] [CrossRef]
- Peakman, A.; Gregg, R. The challenges of gas-cooled reactor technology for space propulsion and the development of the JANUS space reactor concept. Prog. Nucl. Energy 2020, 125, 103340. [Google Scholar] [CrossRef]
- Meng, T.; Cheng, K.; Zeng, C.; He, Y.; Tan, S. Preliminary control strategies of megawatt-class gas-cooled space nuclear reactor with different control rod configurations. Prog. Nucl. Energy 2019, 113, 135–144. [Google Scholar] [CrossRef]
- Dragunov, Y.; Romadova, E.; Gabaraev, B.; Belyakov, M.; Derbenev, D. Recommendations on calculation of transport coefficients and thermodynamic properties of helium-xenon gas mixtures. Nucl. Eng. Des. 2019, 354, 110196. [Google Scholar] [CrossRef]
- Zhou, B.; Ji, Y.; Sun, J.; Sun, Y. Research on space nuclear reactor power demand analysis. At. Energy Sci. Technol. 2020, 54, 1912–1923. [Google Scholar]
- King, J.; El-Genk, M. Thermal-hydraulic and neutronic analyses of the submersion-subcritical, safe space (S4) reactor. Nucl. Eng. Des. 2009, 239, 2809–2819. [Google Scholar] [CrossRef]
- Ashcroft, J.; Eshelman, C. Summary of NR program Prometheus efforts. In USA: The Space Technology and Applications International Forum; STAIF: Niskayuna, NY, USA, 2007. [Google Scholar]
- El-Genk, M.; Tournier, J. Noble gas binary mixtures for closed-Brayton-cycle space reactor power systems. J. Propuls. Power 2007, 23, 863–873. [Google Scholar] [CrossRef]
- Tournier, J.; El-Genk, M. Properties of noble gases and binary mixtures for closed Brayton cycle applications. Energy Convers. Manag. 2008, 49, 469–492. [Google Scholar] [CrossRef]
- El-Genk, M.; Tournier, J. Noble gas binary mixtures for gas-cooled reactor power plants. Nucl. Eng. Des. 2008, 238, 1353–1372. [Google Scholar] [CrossRef]
- Li, Z.; Sun, J.; Liu, M.; Lang, M.; Shi, L. Design of a hundred-kilowatt level integrated gas-cooled space nuclear reactor for deep space application. Nucl. Eng. Des. 2020, 361, 110569. [Google Scholar] [CrossRef]
- Yang, Y.; Huo, H. Analysis of heat transfer and flow characteristic for high temperature helium-xenon gas microchannel regenerator. At. Energy Sci. Technol. 2018, 52, 2156–2163. [Google Scholar]
- Kays, W.; Crawford, M.; Weigand, B. Convective Heat and Mass Transfer, 4th ed.; McGraw-Hill College: New York, NY, USA, 2004. [Google Scholar]
- Kurganov, V.; Martynov, S. Calculation of heat transfer and drag in tubes under conditions of laminar flow of gases with varying properties. High Temp. 2002, 40, 881–891. [Google Scholar] [CrossRef]
- Leontiev, A.; Lushchik, V.; Makarova, M. Distinctive features of heat transfer on a permeable surface in a laminar compressible gas flow at Prandtl number Pr<1. Int. J. Heat Mass Transf. 2020, 147, 118959. [Google Scholar]
- Sakhnov, A. Effect of gas properties on accelerated laminar boundary layer over a heated wall. Int. J. Heat Mass Transf. 2017, 111, 1121–1128. [Google Scholar] [CrossRef]
- Sakhnov, A.; Naumkin, V. Velocity overshoot within the accelerated subsonic boundary layer over the heated wall. Int. J. Heat Mass Transf. 2020, 161, 120249. [Google Scholar] [CrossRef]
- Zhao, H.; Li, X.; Wu, Y.; Wu, X. Friction factor and Nusselt number correlations for forced convection in helical tubes. Int. J. Heat Mass Transf. 2020, 155, 119759. [Google Scholar] [CrossRef]
- Zhao, H.; Li, X.; Wu, X. New friction factor and Nusselt number equations for laminar forced convection of liquid with variable properties. Sci. China-Technol. Sci. 2018, 61, 98–109. [Google Scholar] [CrossRef]
- Zhou, B.; Ji, Y.; Sun, J.; Sun, Y. Modified turbulent Prandtl number model for helium-xenon gas mixture with low Prandtl number. Nucl. Eng. Des. 2020, 366, 110738. [Google Scholar] [CrossRef]
- Zhou, B.; Zhang, H.; Ji, Y.; Sun, J.; Sun, Y. Numerical investigation on turbulent flow and heat transfer of helium-xenon gas mixture in a circular tube. Sci. Technol. Nucl. Install. 2021, 2021, 8356893. [Google Scholar] [CrossRef]
- Vitovsky, O.; Nakoryakov, V.; Kekalov, A. Heat exchange of a mixture of gases with different Prandtl numbers under a swirl flow in a circular heated channel. J. Phys. Conf. Ser. 2018, 1105, 012016. [Google Scholar] [CrossRef]
- Maxwell, M.; Ghajar, A. Laminar forced-convective heat transfer with varying properties in the entrance region of flat rectangular ducts. Heat Transf. Eng. 1985, 6, 31–38. [Google Scholar] [CrossRef]
- Taylor, M. A method of correlating local and average friction coefficients for both laminar and turbulent flow of gases through a smooth tube with surface to fluid bulk temperature ratios from 0.35 to 7.35. Int. J. Heat Mass Transf. 1967, 10, 1123–1128. [Google Scholar] [CrossRef]
- Herwig, H. The effect of variable properties on momentum and heat-transfer in a tube with constant heat-flux across the wall. Int. J. Heat Mass Transf. 1985, 28, 423–431. [Google Scholar] [CrossRef]
- Schriener, T.; El-Genk, M. Effects of decreasing fuel enrichment on the design of the Pellet Bed Reactor (PeBR) for lunar outposts. Prog. Nucl. Energy 2018, 104, 288–297. [Google Scholar] [CrossRef]
- Tournier, J.; El-Genk, M.; Gallo, B. Best estimates of binary gas mixtures properties for closed Brayton cycle space applications. In Proceedings of the 4th International Energy Conversion Engineering Conference and Exhibit (IECEC), San Diego, CA, USA, 26–29 June 2006. [Google Scholar]
- Hewitt, G.; Bott, T.; Shires, G. Process Heat Transfer; Begell House: Boca Raton, FL, USA; CRC Press: Boca Raton, FL, USA, 1994. [Google Scholar]
Disclaimer/Publisher’s Note: The statements, opinions and data contained in all publications are solely those of the individual author(s) and contributor(s) and not of MDPI and/or the editor(s). MDPI and/or the editor(s) disclaim responsibility for any injury to people or property resulting from any ideas, methods, instructions or products referred to in the content. |
© 2023 by the authors. Licensee MDPI, Basel, Switzerland. This article is an open access article distributed under the terms and conditions of the Creative Commons Attribution (CC BY) license (https://creativecommons.org/licenses/by/4.0/).












