Abstract
This paper proposes a battery state of charge (SOC)-based energy management strategy using hierarchical distributed model predictive control (HDMPC) for a standalone microgrid on solar-powered long-endurance aircraft. The microgrid was innovatively designed as a two-layer structure in which the first layer consists of a photovoltaic generation and battery storage system named the PV battery module (PBM). The second layer, named the microgrid subsystem (MGSS), consists of several PBMs, each of which supplies power to a specific DC load on the aircraft. The control system is divided into two levels: the grid-level model predictive control (MPC) and the converter-level MPC. The grid-level MPC adopts a distributed model predictive control strategy to obtain the reference power of each module. The converter-level MPC calculates the control variables of converters using a supervisory model predictive control (SMPC) strategy. The new microgrid structure and the proposed control strategy have improved the reliability of the energy system and increased its energy utilization rate.
1. Introduction
DC standalone microgrids play important roles in application scenarios where AC power grids are not available. This type of microgrid often consists of renewable power sources, such as a photovoltaic generation system (PVGS), a wind power generation system (WPGS), a battery energy storage system (BESS), a fuel cell system (FCS) or a DC load [1].
Typical DC standalone microgrid architecture is divided into three control levels [2]: primary, secondary and tertiary control. The primary control manages the local power, voltage and current and thus solves problems of power sharing among distributed generations (DGs). The secondary control deals with power quality, such as voltage/frequency restoration [3] and voltage imbalance, while enabling power exchanges with other DC microgrids. An optimal fractional order proportional integral derivative controller has been implemented in the control loops of IBPPs for low-frequency oscillation damping in power systems [4]. Tertiary control is mainly used for the power flow between different clusters in a microgrid, where the communication bandwidth is very low, resulting in slow response times, usually on the levels of seconds or even hours.
Droop control pertains to the primary control strategy, offering a short response time to adjust bus voltage, the power allocation of each load and the power flow of the energy storage module [5,6,7]. This control method does not need too much gathered information or calculation of control quantity and can realize real-time adaptive control and reduce the demand for communication bandwidth [8,9,10]. Secondary and tertiary control often use specific optimization algorithms to optimize the operation of the microgrid structure. In recent years, the application of MPC in the control systems of standalone DC microgrids has attracted extensive attention [11]. This method determines the optimal control parameters of a system according to predefined cost functions or control objectives under different constraints. MPC enables the operation of a standalone DC microgrid to be controlled from both the converter level and the grid level, while converter-level MPC controls bus voltage and the power flow between various modules by controlling the power converters in the microgrid and grid-level MPC achieves optimal energy scheduling by controlling the power flow between different microgrids [12,13,14].
Over decades, many energy management strategies for microgrids have been proposed [15]. Ref. [16] features a determinist energy management system for a microgrid. In Ref. [17], a fuzzy controller was adopted to manage the desired SOC, controlling charge and discharge currents in order to extend the battery life cycle. In Ref. [18], battery packs were used as extra energy sources to reduce generator sizing (and onboard weight). In Ref. [19], a novel design based on second-order sliding mode control and uniting control was used for energy management policies in aeronautic applications.
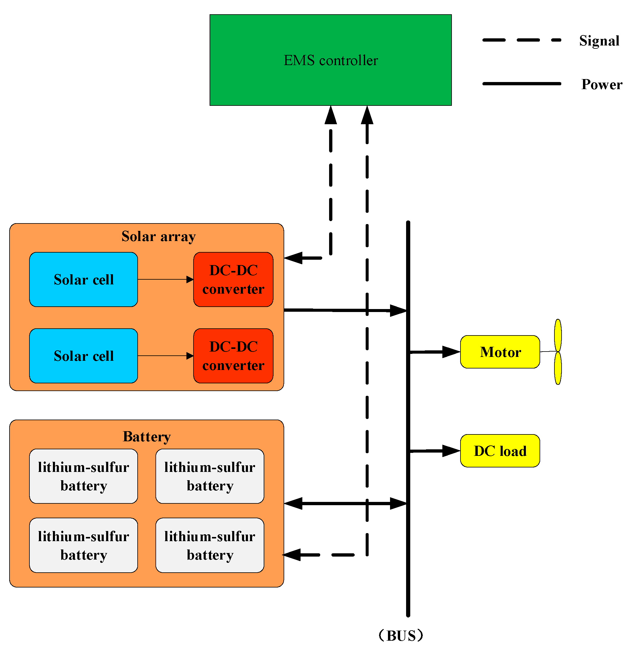
The energy systems of solar-powered aircraft are typically standalone microgrids consisting of PVGSs, BESSs and loads [20,21,22]. As a vital part of the aircraft, the energy system determines the flight duration for days, weeks or even months. At present, the energy system of a solar-powered aircraft usually has a single bus structure, as shown in Figure 1. The advantage of this structure is the simplicity of its control. It also has some disadvantages, as follows: (a) Each module interacts with others. This might cause serious consequences to the aircraft if one of the modules has a fault. (b) The centralized configuration of a BESS will lead to low reliability. (c) The PV module of a PVGS will often deviate from the best working point, which is caused by the unstable voltage of the DC bus.
Figure 1.
Conventional signal bus structure of the energy system on solar-powered aircraft.
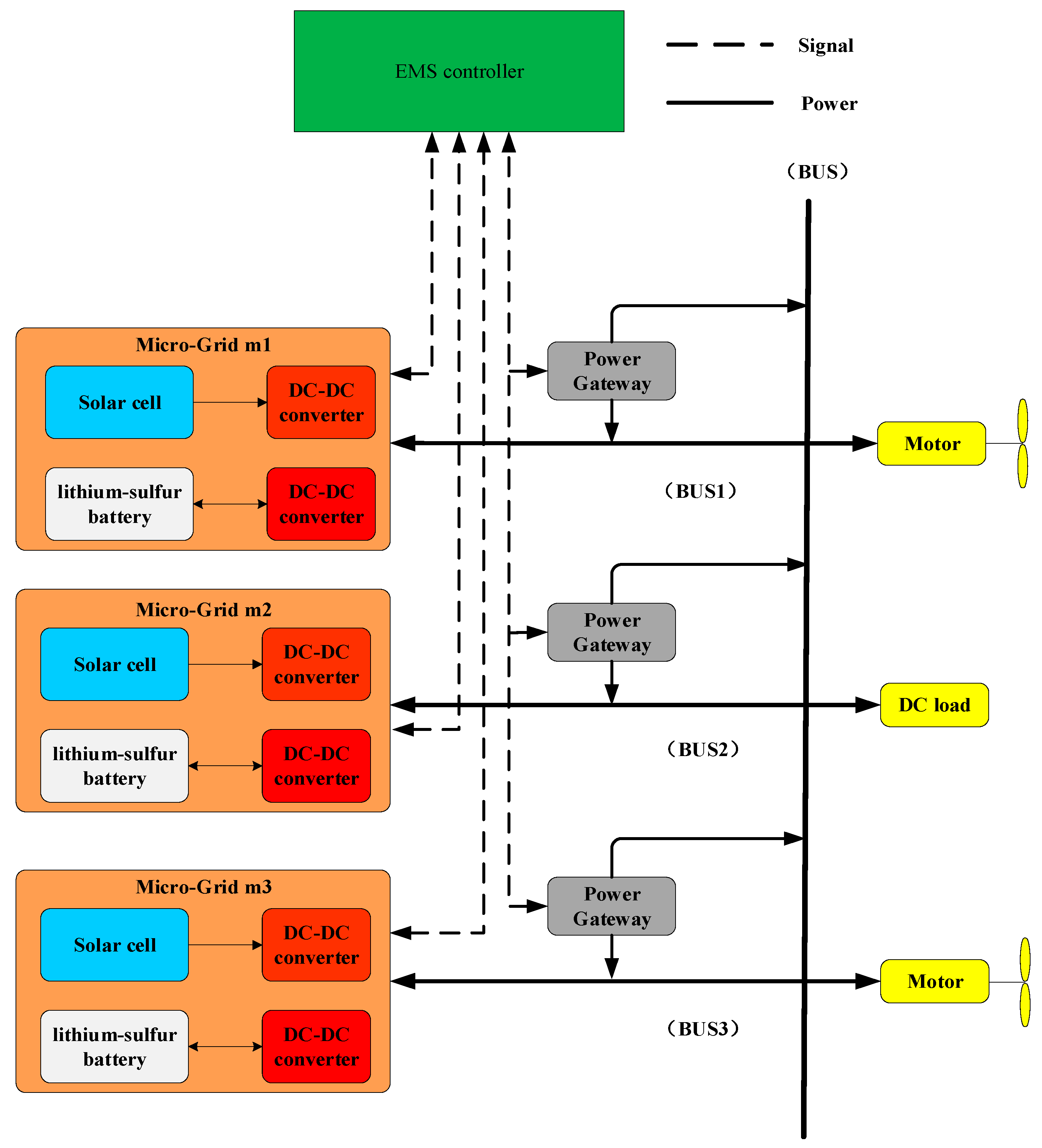
This work is focused on improving the efficiency of the energy management of a distributed energy system for solar-powered aircraft. A networked structure is proposed for a standalone DC microgrid of an aircraft power system. This microgrid is divided into three MGSSs—a PVGS, a BESS and loads—and the power flow between each is optimized by the control system. A two-layer control scheme is adopted for the entire microgrid, which is regarded as a cluster composed of several MGSSs. An upper-level, named power-grid-level MPC, was adopted for the distributed MPC in order to obtain the reference power of each module. A lower-level, named converter-level MPC, was adopted for the SMPC in order to obtain the control variables of the converter. The new networked structure and the HDMPC strategy are expected to realize fast and accurate tracking of load demand [9].
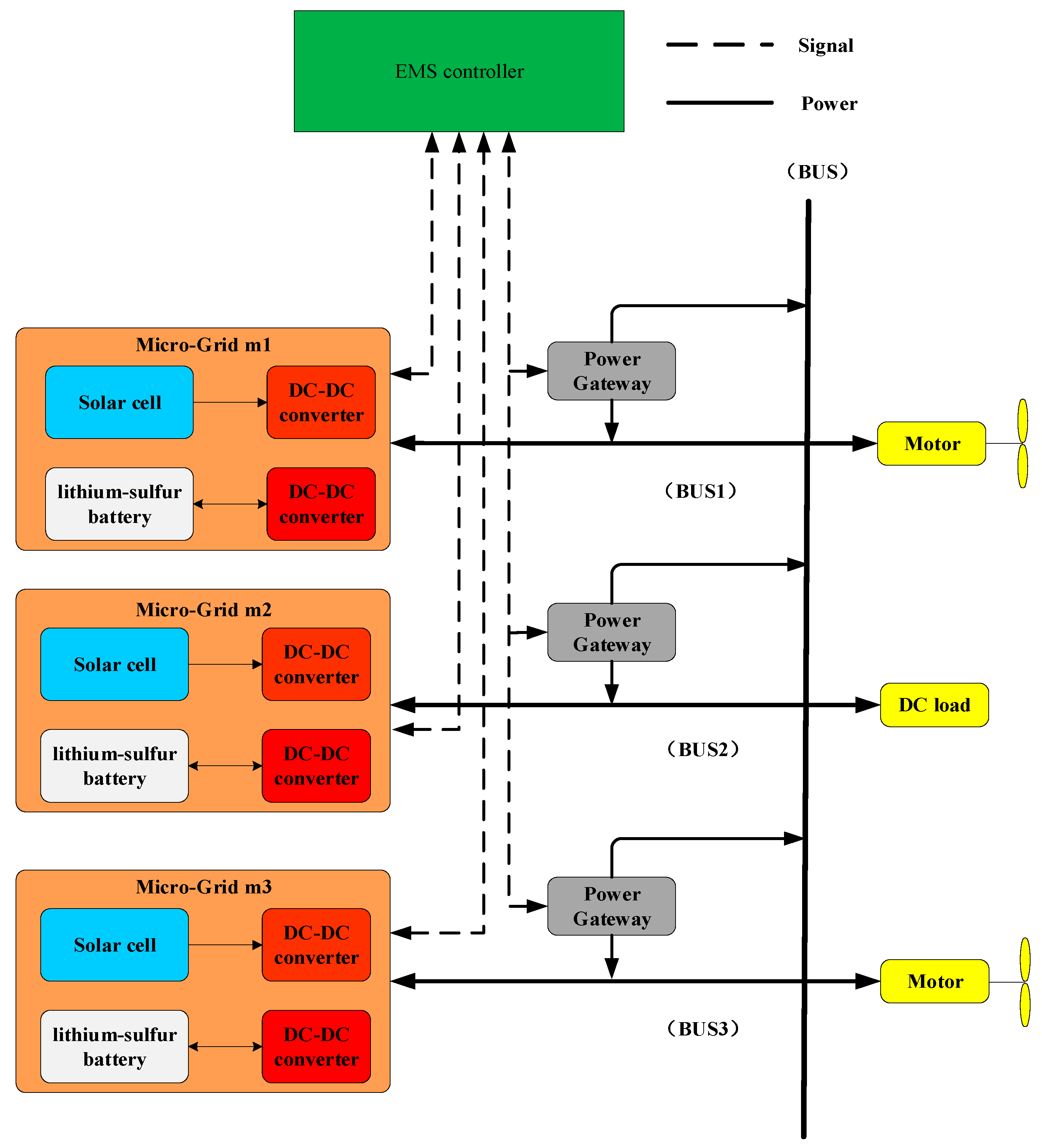
2. Configuration of the Energy System
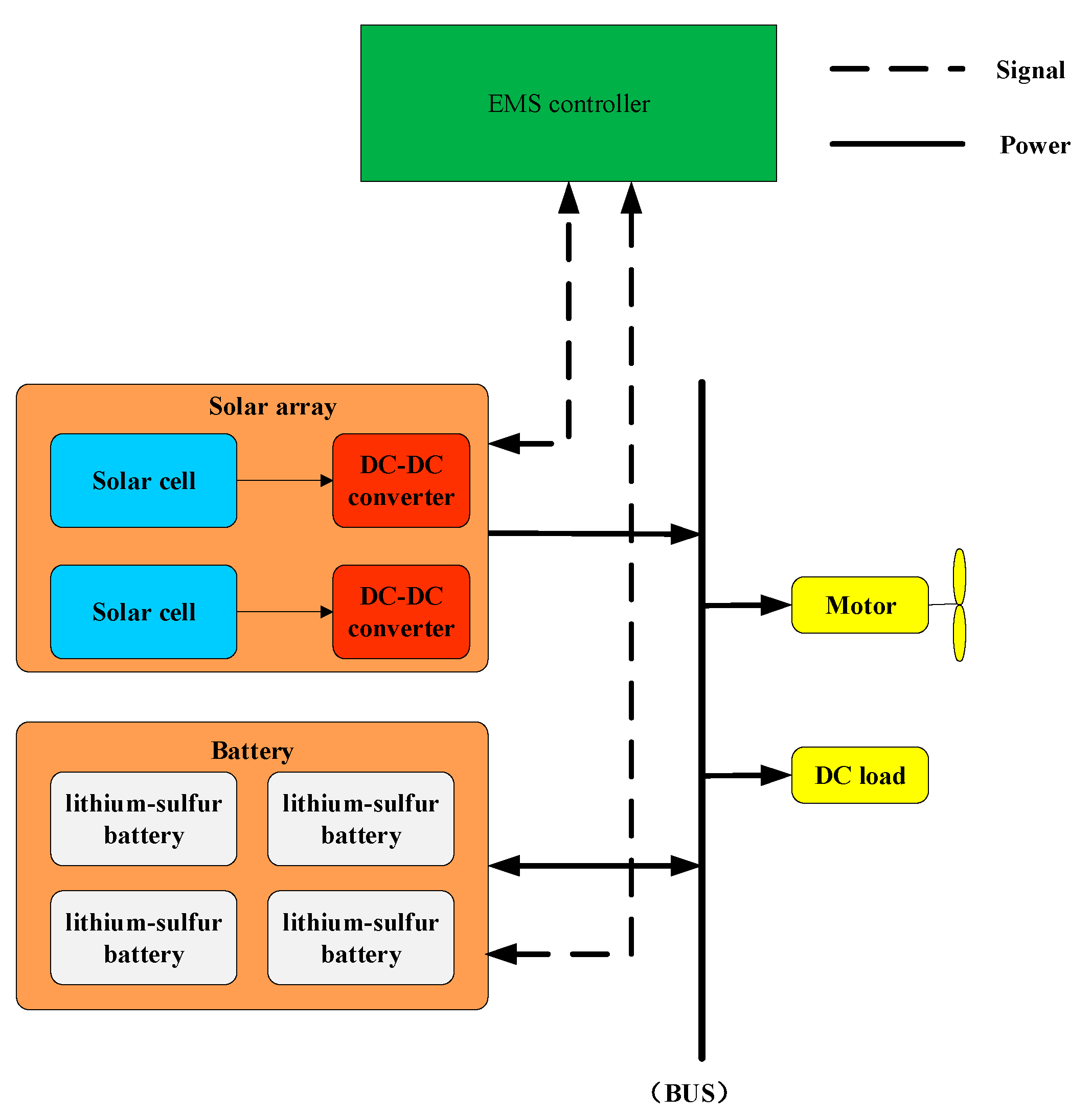
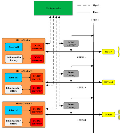
The network structure of the energy system topology proposed in this paper is shown in Figure 2. The standalone PV battery hybrid generation system includes three MGSSs; m1 and m3 are responsible for supplying power to the left and the right motors of the aircraft, respectively, and m2 is responsible for supplying power to the DC loads.
Figure 2.
Networked structure of the solar-powered aircraft energy system.
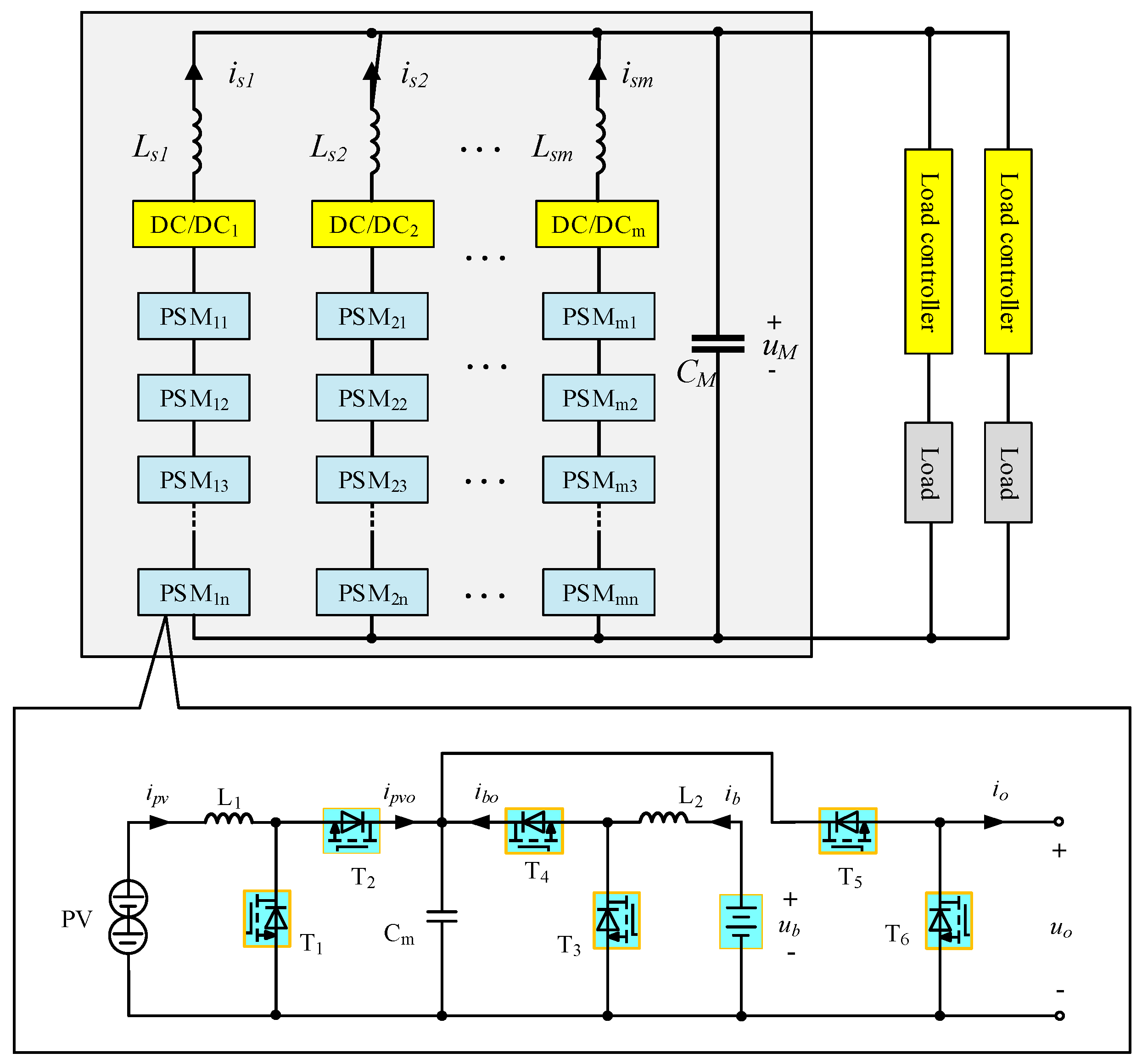
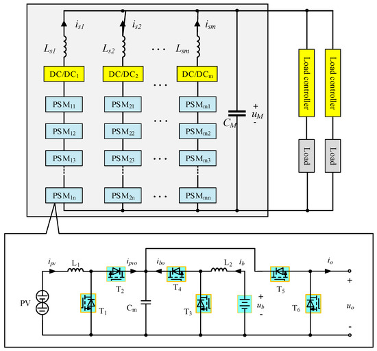
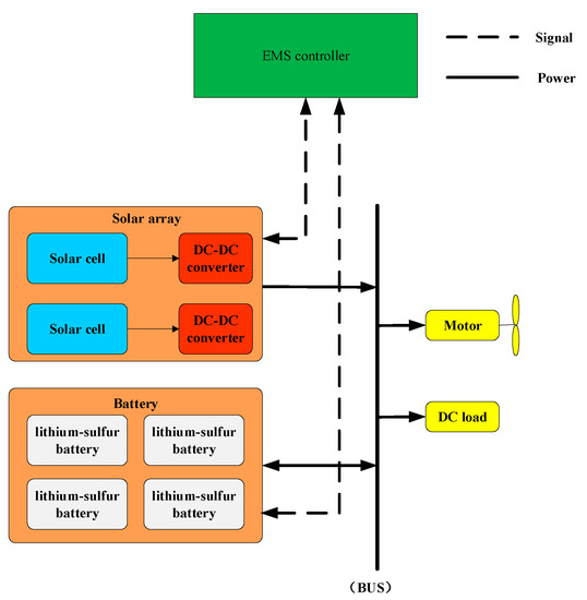
The DC microgrid is divided into three MGSSs; each is composed of a PV storage battery module (PSM), a DC/DC converter and the corresponding load. The power flow between each MGSS is optimized by the control system. When one of the MGSSs cannot meet its own load power demand, it can obtain power from nearby MGSSs through the power gateway. The MGSS is composed of an ns series of cells and an np parallel of PSMs. Its structure is shown in Figure 3.
Figure 3.
The structure of the MGSS.
The PSM is composed of PV modules and batteries, which are connected to a DC/DC converter and, externally, to a bidirectional DC/DC converter to realize the charging and discharging of the battery, as shown in Figure 3.
The rest of this paper is as follows: Section 3 gives the mathematical model of the microgrid. In Section 4, a model predictive control strategy based on the SOC values for the secondary and tertiary control is proposed. Section 5 gives the simulation results and analysis. In Section 6, the proposed scheme is summarized.
3. Mathematical Model of the Microgrid
In order to develop the MPC strategy of the energy system on the solar-powered aircraft, the discrete PV and battery mathematical models, which needed to be input into the model for predictive control, were first designed [21,22].
3.1. Photovoltaic Module Modeling
A single photovoltaic cell is represented by a single-diode model [23,24]. The light-generated current, Iph, is proportional to the solar irradiance, ψ. The relationship between Iph and ψ is as in Equation (1):
where Isc is the short-circuit current, ki is the temperature coefficient, Tref is the nominal temperature and ψref is the nominal irradiance. The photovoltaic module model, consisting of an np series and np parallel cells, is expressed as follows [25]:
where I0 is the reverse saturation current of a PV cell, q is the charge of an electron, A is the ideality factor, kB is Boltzmann’s constant, Eg is the band gap energy of the PV cell material and k0 is the constant coefficient. The model parameter values used for the photovoltaic simulation in this work are given in Table 1 [26].
Table 1.
PV model parameters.
Each photovoltaic subarray is equipped with a maximum power point tracking (MPPT) controller to achieve the maximum power output. The mathematical model of the PV system is expressed as follows [26]:
where Ppv is the output power of the photovoltaic module, C is the capacitance parameter, Lc is the inductance parameter of the DC/DC converter in the MPPT and upv is the duty cycle of the MPPT as a control signal. Equations (3) and (4) can be rewritten in compact form as follows:
where is the state variable of the photovoltaic power generation unit; ; and .
Equation (5) was discretized within one sampling period, Ts, to obtain the following state equation:
This discrete mathematical model of the photovoltaic module was used to implement the control algorithm.
3.2. Battery Modeling
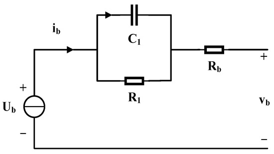
As some of the most widely used energy storage batteries, lithium batteries have many advantages, such as high working voltage, high energy density, low self-discharge rates and no memory effect [26,27]. The BESS of the aircraft in our study used lithium batteries. The circuit model of one of these batteries is shown in Figure 4, where Ub is the open circuit voltage, Rb is the internal resistance of the lithium battery and the parallel RC circuit is used to describe the charge transfer and diffusion processes between the electrode and the electrolyte. The mathematical model for the lithium battery is expressed as follows [26]:
where ib is the output/input current and ic is the current flowing through the C1. By transforming Equation (7) into a discrete state space model in the sampling time, Ts, we obtained
where , is the state variable of the lithium battery model, , , presents the output power of the battery and , is the maximum output/input current.
Figure 4.
Lithium battery dynamic model.
The SOC value of the battery is described in Equation (10). In order to prolong the life of the battery and ensure the reliability of normal charging/discharging, the range of the SOC in this control model was limited to the region of 0.2~0.8;
where η is the charging/discharging efficiency, ksoc is the conversion factor of the battery’s energy to its SOC and Pb is the output power of the battery.
In order to establish the control model more conveniently, the battery energy was used to replace the SOC in Equation (11):
where Ts is the sampling time, Eb is the energy of the battery and Ebmax is the maximum energy of the battery. Equation (11) was used to implement the control algorithm.
The model parameter values used for the lithium battery simulation in this paper are given in Table 2 [11].
Table 2.
The lithium battery model parameters.
The discrete mathematical model of the photovoltaic module, Equation (8), was used to implement the control algorithm.
4. SOC-Based Model Predictive Control
The mathematical model of the PV and battery was used to construct the cost function of the MPC. The structure of the MPC strategy based on the SOC of the battery is shown in Figure 5. The grid-level MPC at the top layer scheduled energy between microgrid subarrays based on the power demand of the whole system and the discharge state of each subarray. The converter-level MPC at the bottom layer was used for power management within the microgrid subarrays to ensure the SOC balance of the battery in each subarray [28]. The upper grid-level MPC provided the reference power, Pref, for each distributed microgrid subarray. In the simulation model, the whole day was divided into 96 time nodes, which means that the data were read every 15 min, and all parameters were fixed values in this time period. In order to ensure the smooth operation of the independent microgrid, the following control strategy objectives were assumed:
Figure 5.
Control structure of PV battery hybrid generation system.
- (1)
- The output power of the energy system meets the current and power required for the load;
- (2)
- The capacities of all of the batteries are fully utilized, i.e., the sum of the SOCs of all of the batteries at the end of the scheduling cycle is larger than that at the beginning of the cycle, and the differences between the SOCs of the batteries are small. Additionally, the battery power of each module at the end of the scheduling cycle is well-balanced;
- (3)
- The power generation capacity of all of the PV modules is fully utilized. The light rejection rate of the PV modules is small and ignored.
In order to achieve the three control objectives above, the MPC mode of the system was designed based on the independent microgrid level and the microgrid subarray level, namely the power converter-level MPC and the power grid-level MPC, respectively.
4.1. Converter-Level MPC
The converter-level MPC was used to control the power flow of the microgrid subarray of the standalone PV battery microgrid. SMPC enabled the lower level’s energy system to accurately track the reference power issued by EMS without modifying the PI controller of the converter. The PI controller in the ith MGSS is expressed as
For the ith MGSS, the optimization problem is expressed as
s.t.
The SMPC at the converter level gave the reference power, ri, to the PI controller, which calculated the control variable, u, to control the converter.
4.2. Power-Grid-Level MPC
The purpose of grid-level MPC is to ensure the normal operation of a standalone PV battery hybrid generation system. It ensures safe and reliable microgrid operation based on the following control strategies: first, that the output power of the power generation unit meets the power consumption of the load; second, improvement of the PV system’s utilization rate; and third, reducing the deep charge/discharge cycle in order to maintain the battery’s state of health (SOH). Thus, the objective function of the grid-level MPC is expressed as
where
where N is the control and prediction domains and n is the number of MGSSs. In Equations (21)–(24), J1 presents the reliability of the system. It is equal to the difference between the power demand of the load and the output power of photovoltaic and battery; the smaller the value of J1 is, the safer and more reliable the system is. J2 indicates that the photovoltaic output has the highest priority, meaning the system needs an improved photovoltaic power generation utilization rate and reduced power loss. J3 indicates that the SOC of the battery is well-balanced, which is conducive to making full use of the battery capacity, preventing the overcharge and discharge of the battery and extending the life of the energy storage battery. In Equation (24),
shows that, in this case, the objective function of the power-grid-level MPC and the converter-level MPC are relatively independent, and the constraints of each layer are only restrained by the physical characteristics of the current layer. In this way, when the reference power calculated by the grid-level MPC is transferred to the converter-level MPC, the constraints may conflict with each other. Therefore, by recalculating [11], the converter-level constraints to the grid level should be considered in order to ensure the consistency of the two levels’ constraints.
The constraints of the photovoltaic generation unit were recalculated to the power grid level:
where
The constraints of the lithium battery unit were recalculated for the power-grid-level MPC:
Therefore, considering the recalculation between the grid and converter levels, the optimization problem at the grid level can be expressed as
with regard to Equations (6), (10), (26) and (29), and where
make up the reference power for optimization.
With the global cost function in Equation (21), the global optimal solution of the reference power can be obtained and the priority of each control objective can be adjusted through the weight matrix. The specific optimization algorithm steps are shown in Figure 6.
Figure 6.
Optimization algorithm steps.
5. Simulation Results
Considering the practical application background of the standalone PV battery hybrid generation system, MATLAB 2018/Simulink was used to simulate the actual work of the energy system control strategy on solar-powered aircraft. At present, these aircraft generally use batteries and PV systems as power supplies. Due to the special working environments of solar-powered aircraft and large fluctuations of load power demand, the PV battery hybrid generation system used for the aircraft ensures not only higher energy conversion efficiency but also the reliability of the system. This whole simulation was carried out under three different flight conditions: the climb, descent and level flight phases. In order to verify the performance of the proposed energy management strategy, the case of the conventional control strategy was simulated. In this case, the CMPC was used for the grid-level MPC, and the SMPC was used for the power-converter-level MPC. The conventional control strategy does not consider the SOCs of batteries, so the objective function of the grid-level MPC, in this case, was expressed as
The power of the PV system is given in Figure 7. Ppv1,2 are the PV system power values of MGSSs #1 and 2, which supply power to the motors of the aircraft, and Ppv3 is the PV system power of MGSS #3, which supplies power to the other loads of the aircraft.
Figure 7.
Power of the PV system. Ppv1–3 are the powers of the systems of MGSSs #1, 2 and 3, respectively.
In one flight cycle (24 h in 1 day), the sampling time of the EMS-level MPC was set at τs = 15 min, and the sampling time of the power-converter-level MPC was set at Ts = 10 s. The control and prediction domains were set at N = Np = Nc = 10.
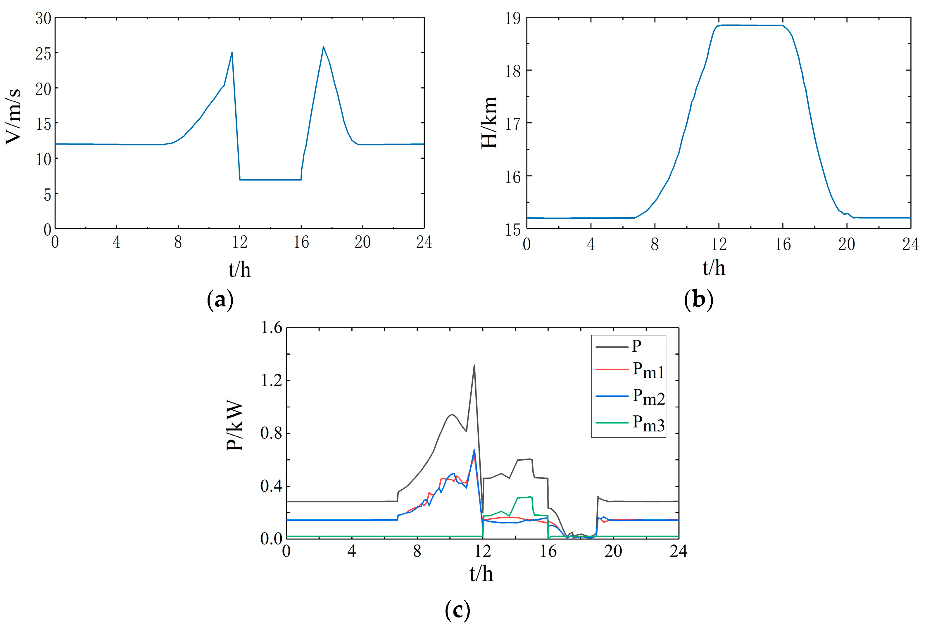
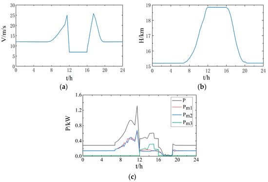
The flight conditions and power consumption of the aircraft are given in Figure 8. The corresponding climbing phase is 7–12 h. During this time, the power was mainly consumed by the motors and increased with the altitude. The level flight phases of the aircraft were 0–7 h, 12–16 h and 19–24 h. Between 0–7 h and 19–24 h, the power was mainly consumed by the motors in a relatively stable fashion. Between 12 and 16 h, the power was consumed by the motors and the DC loads, and the power consumption of the DC loads fluctuated the whole time. The aircraft was in the descent phase at 16–19 h when the power consumed by the motor was almost zero.
Figure 8.
Flight conditions and power consumption of aircraft: (a) the flight speed, V; (b) the flight altitude, H; and (c) the power consumptions of three MGSSs.
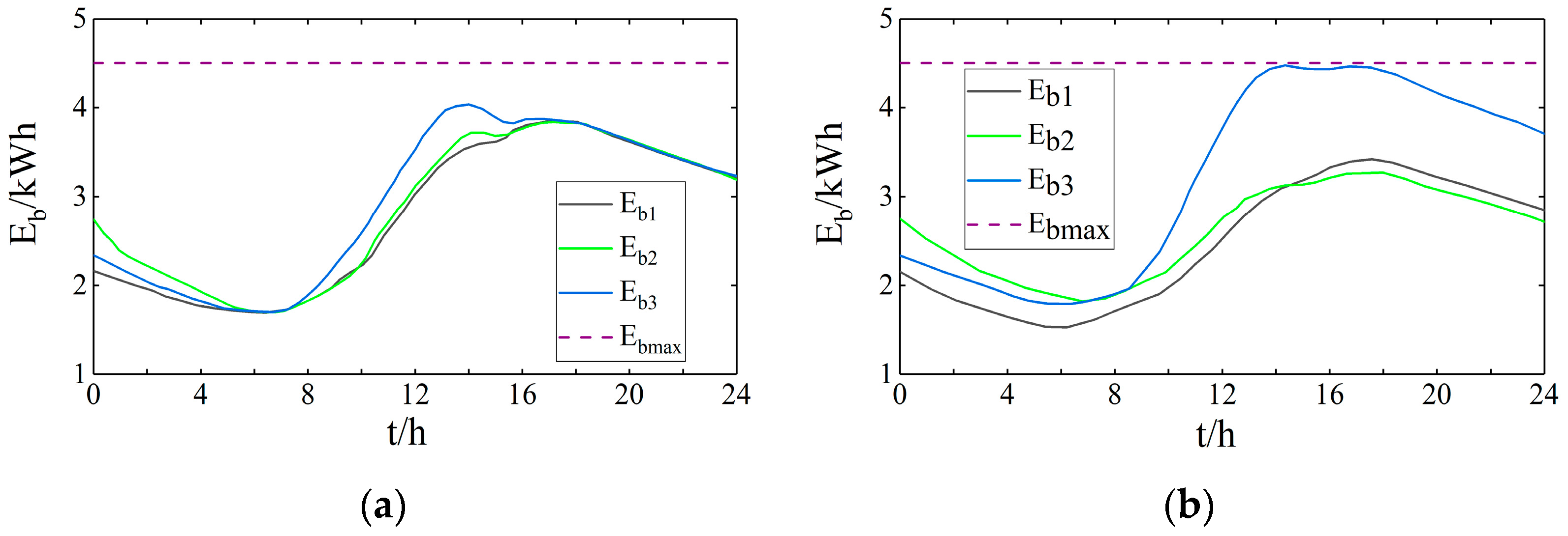
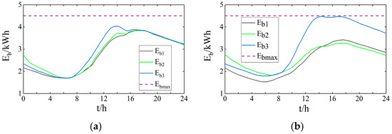
In order to compare the differences between the HDMPC-based control strategy and conventional control methods in the SOC equalization of battery units, the energy curves of batteries under the two control strategies are given in Figure 9.
Figure 9.
Battery energies under two different control strategies; Eb1–3 are the energy curves of the batteries of MGSSs #1–3, respectively. (a) HDMPC-based control strategy. (b) Common control strategy.
The battery energy and its standard deviation under the two different control strategies are given in Table 3 and Table 4 for comparison of the battery energy consistency. The standard deviation is expressed as
where
Table 3.
The standard deviation of the battery energy under the common control strategy.
Table 4.
The standard deviation of the battery energy under the HDMPC strategy.
The standard deviations of the battery energy under the HDMPC and common control strategies are also given in Figure 10.
Figure 10.
Standard deviations of battery energy, σEb, under the HDMPC and common control strategies.
As shown in Figure 9, the consistency of the battery under the HDMPC-based control strategy was higher than that of the common control strategy.
In Figure 9b, from 14 h to 18 h, battery #3 is overcharged, which means that part of the PV of MGSS #3 was turned off, and the photovoltaic light rejection rate was higher than that of the HDMPC-based control strategy. However, in Figure 9a, the batteries in the three MGSSs are charged/discharged at a basically consistent rate, even when the power consumption fluctuates violently. From Table 3 and Table 4, the total battery energy at the end of the day under the common control strategy can be calculated as EbC = 9.28 kWh, and under the HDMPC-based control strategy, this value is EbH = 9.64 kWh. After one cycle, the total energy under the HDMPC-based control strategy was 3.9% higher than that under the common control strategy.
The HDMPC-based control strategy obviously ensures that battery SOCs are maintained at the same level, but battery overcharge/discharge times are reduced. This reduces the waste of solar energy and ensures the high SOHs of batteries.
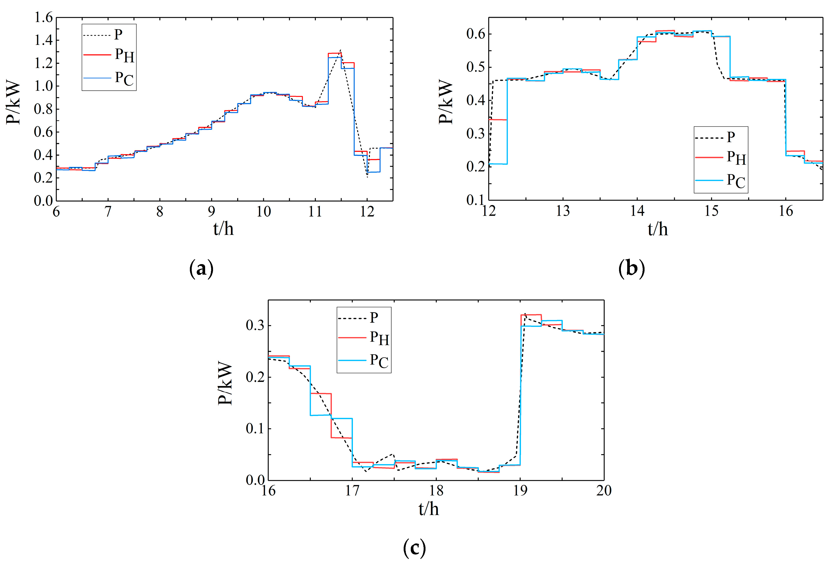
In order to verify whether HDMPC can guarantee the power balance of the system, the power responses of the HDMPC-based and conventional control strategies have been compared. Three flight phases were selected for simulation. Figure 11a shows the power response of the climbing phase. The slope of the motor power is particularly large between 11 h and 12 h, which caused the output power of the PV battery energy system to respond poorly to the power demand of the load when the sampling time was τs = 15 min. This situation can be improved by reducing the sampling time of grid-level MPC.
Figure 11.
The power responses of two strategies in different aircraft flight phases: (a) climbing, (b) level flight and (c) descent. PH is the HDMPC-based control strategy and PC is the common control strategy.
Figure 11 also shows that the power responses of the HDMPC-based and common control strategies are basically the same, with both responding to the demands of loads accurately and quickly in reasonable sampling times.
6. Conclusions
In this work, a new networked energy system topology for solar-powered aircraft and an HDMPC strategy based on battery SOC has been proposed. This new structure has higher reliability than traditional structures. The HDMPC strategy could reduce photovoltaic light rejection rates and increase the utilization rates of energy storage. For the same aircraft structure, a higher energy utilization rate enabled the aircraft to lay fewer photovoltaic modules and reduced the capacity of the lithium batteries, thus reducing the weight of the energy system, meaning that the solar-powered aircraft could carry more equipment. At the same time, the SOC-based energy system control strategy can prevent battery overcharge and overdischarge, improve battery lifetime and extend the working time of solar-powered aircraft.
Author Contributions
Conceptualization, methodology and validation, T.X.; software, T.X. and M.L.; writing—review and editing, Z.L. and W.L.; supervision, F.M. and L.Z.; project administration, D.L., W.H., C.L. and Z.L.; funding acquisition, Z.L. All authors have read and agreed to the published version of the manuscript.
Funding
This research was funded by the Strategic Priority Research Program of the Chinese Academy of Science, grant number XDA17020403, and the National Natural Science Foundation of China, grant numbers 62004208 and 62074153.
Data Availability Statement
The data presented in this study are available on request from the corresponding author. The data are not publicly available due to privacy.
Conflicts of Interest
The authors declare no conflict of interest.
References
- Li, X.; Hui, D.; Lai, X.; Ouyang, M.; Min, Y. Fuzzy logic based coordinated controller for wind/battery/IDSMS hybrid micro-grid power sys-tem. In Proceedings of the International Conference on Computer Engineering & Technology, Chengdu, China, 16–18 April 2010. [Google Scholar]
- Guerrero, J.M.; Vasquez, J.C.; Matas, J.; De Vicuña, L.G.; Castilla, M. Hierarchical Control of Droop-Controlled AC and DC Microgrids—A General Ap-proach Toward Standardization. IEEE Trans. Ind. Electron. 2011, 58, 158–172. [Google Scholar] [CrossRef]
- Hu, J.; Shan, Y.; Guerrero, J.M.; Ioinovici, A.; Chan, K.W.; Rodriguez, J. Model predictive control of microgrids—An overview. Renew. Sustain. Energy Rev. 2021, 136, 110422. [Google Scholar] [CrossRef]
- Saadatmand, M.; Mozafari, B.; Gharehpetian, G.B.; Soleymani, S. Optimal fractional-order PID controller of inverter-based power plants for power systems LFO damping. Turk. J. Electr. Eng. Comput. Sci. 2020, 28, 485–499. [Google Scholar] [CrossRef]
- Guerrero, J.M. Hierarchical control of droop controlled DC and AC microgrids—A general approach towards stand-ardization. In Proceedings of the 2009 35th Annual Conference of IEEE Industrial Electronics, Porto, Portugal, 3–5 November 2009. [Google Scholar]
- Meng, N.; Libei; Jiahao, L.; Jianhui, H. Coordinated operation control strategy and droop improvement method for DC microgrid. In Proceedings of the 2018 International Conference on Power System Technology (POWERCON), Guangzhou, China, 6–8 November 2018. [Google Scholar]
- Oukkacha, I.; Camara, M.B.; Dakyo, B. Energy Management in Electric Vehicle based on Frequency sharing approach, using Fuel cells, Lithium batteries and Supercapacitors. In Proceedings of the 2018 7th International Conference on Renewable Energy Research and Applications (ICRERA), Paris, France, 14–17 October 2018. [Google Scholar]
- Wang, Z.; Jia, Y.; Yang, Y.; Cai, C.; Chen, Y. Optimal Configuration of an Off-Grid Hybrid Wind-Hydrogen Energy System: Comparison of Two Systems. Energy Eng. 2021, 118, 1641–1658. [Google Scholar] [CrossRef]
- Hatti, M. (Ed.) Artificial Intelligence in Renewable Energetic Systems; Springer Science and Business Media LLC: Berlin/Heidelberg, Germany, 2018. [Google Scholar]
- Christensen, G.; Soliman, S.A. Optimal Long- Term Operation of Electric Power Systems; Springer Science and Business Media LLC: Berlin/Heidelberg, Germany, 1988. [Google Scholar]
- Deng, W. Application of Capacitive- Coupling Inverter for Implementation of Low-Cost Reactive Power Conditioning in a Hybrid Microgrid. Ph.D. Thesis, University of Macau, Macau, China, 2021. [Google Scholar]
- Sinha, A.; Malo, P.; Deb, K. Test Problem Construction for Single-Objective Bilevel Optimization. Evol. Comput. 2014, 22, 439–477. [Google Scholar] [CrossRef] [PubMed]
- Kupzik, D.; Ding, J.; Coutandin, S.; Fleischer, J. Digital Process Management for the Integrated Bending of Thermoplastic CFRP Tapes. Procedia CIRP 2020, 93, 514–519. [Google Scholar] [CrossRef]
- Zhu, M.; Luo, F.L. Enhanced Self-Lift Cûk Converter for Negative-to-Positive Voltage Conversion. IEEE Trans. Power Electron. 2010, 25, 2227–2233. [Google Scholar] [CrossRef]
- Elmouatamid, A.; Ouladsine, R.; Bakhouya, M.; El Kamoun, N.; Khaidar, M.; Zine-Dine, K. Review of Control and Energy Management Approaches in Micro-Grid Systems. Energies 2020, 14, 168. [Google Scholar] [CrossRef]
- Kanchev, H.; Lu, D.; Colas, F.; Lazarov, V.; Francois, B. Energy Management and Operational Planning of a Microgrid With a PV-Based Active Generator for Smart Grid Applications. IEEE Trans. Ind. Electron. 2011, 58, 4583–4592. [Google Scholar] [CrossRef]
- Hosseinzadeh, M.; Salmasi, F.R. Power management of an isolated hybrid AC/DC micro-grid with fuzzy control of battery banks. IET Renew. Power Gener. 2015, 9, 484–493. [Google Scholar] [CrossRef]
- Canciello, G.; Russo, A.; Guida, B.; Cavallo, A. Supervisory Control for Energy Storage System Onboard Aircraft. In Proceedings of the 2018 IEEE International Conference on Environment and Electrical Engineering and 2018 IEEE Industrial and Com-mercial Power Systems Europe (EEEIC/I&CPS Europe), Palermo, Italy, 12–15 June 2018; pp. 1–6. [Google Scholar]
- Russo, A.; Cavallo, A. Stability and Control for Buck–Boost Converter for Aeronautic Power Management. Energies 2023, 16, 988. [Google Scholar] [CrossRef]
- Wang, X.; Kong, X.; Liu, X. Distributed Economic Model Predictive Control of Standalone Wind/Solar/Battery Power System. In Proceedings of the 2014 33rd Chinese Control Conference (CCC 2014), Nanjing, China, 28–30 July 2014. [Google Scholar]
- Tamrakar, U.; Copp, D.A.; Nguyen, T.A.; Hansen, T.M.; Tonkoski, R. Optimization-Based Fast-Frequency Estimation and Control of Low-Inertia Microgrids. IEEE Trans. Energy Convers. 2020, 36, 1459–1468. [Google Scholar] [CrossRef]
- Sattar, F.; El Moursi, M.; Al Durra, A.; El-Fouly, T.H.M. Modeling and Control of Multi-functional Grid-Connected Photovoltaic Power System. In Proceedings of the 2021 IEEE Industry Applications Society Annual Meeting (IAS), Vancouver, BC, Canada, 10–14 October 2021. [Google Scholar]
- Ullah, Z.; Wang, S.; Wu, G.; Xiao, M.; Lai, J.; Elkadeem, M.R. Advanced energy management strategy for microgrid using real-time monitoring interface. J. Energy Storage 2022, 52, 104814. [Google Scholar] [CrossRef]
- Yin, C.; Wu, H.; Sechilariu, M.; Locment, F. Power Management Strategy for an Autonomous DC Microgrid. Appl. Sci. 2018, 8, 2202. [Google Scholar] [CrossRef]
- Singh, S.; Singh, M.; Kaushik, S.C. Optimal power scheduling of renewable energy systems in microgrids using distributed energy storage system. IET Renew. Power Gener. 2016, 10, 1328–1339. [Google Scholar] [CrossRef]
- Tani, A.; Camara, M.B.; Dakyo, B. Energy Management in the Decentralized Generation Systems Based on Renewable Ener-gy—Ultracapacitors and Battery to Compensate the Wind/Load Power Fluctuations. Ind. Appl. IEEE Transac-Tionson 2015, 51, 1817–1827. [Google Scholar] [CrossRef]
- Ghosh, S.K.; Roy, T.K.; Pramanik, A.H.; Sarkar, A.K.; Mahmud, A. An Energy Management System-Based Control Strategy for DC Microgrids with Dual Energy Storage Systems. Energies 2020, 13, 2992. [Google Scholar] [CrossRef]
- Soliman, R.; Bierhoff, M. Sizing and Operation of a Hybrid Energy Storage System to Compensate Forecast Errors of Wind Farms—An Approach. In Proceedings of the 2022 IEEE 31st International Symposium on Industrial Electronics (ISIE), Anchorage, AK, USA, 1–3 June 2022. [Google Scholar]
Disclaimer/Publisher’s Note: The statements, opinions and data contained in all publications are solely those of the individual author(s) and contributor(s) and not of MDPI and/or the editor(s). MDPI and/or the editor(s) disclaim responsibility for any injury to people or property resulting from any ideas, methods, instructions or products referred to in the content. |
© 2023 by the authors. Licensee MDPI, Basel, Switzerland. This article is an open access article distributed under the terms and conditions of the Creative Commons Attribution (CC BY) license (https://creativecommons.org/licenses/by/4.0/).










