Electrical Transport Characteristics of Vertical GaN Schottky-Barrier Diode in Reverse Bias and Its Numerical Simulation
Abstract
1. Introduction
2. Materials and Methods
3. Results
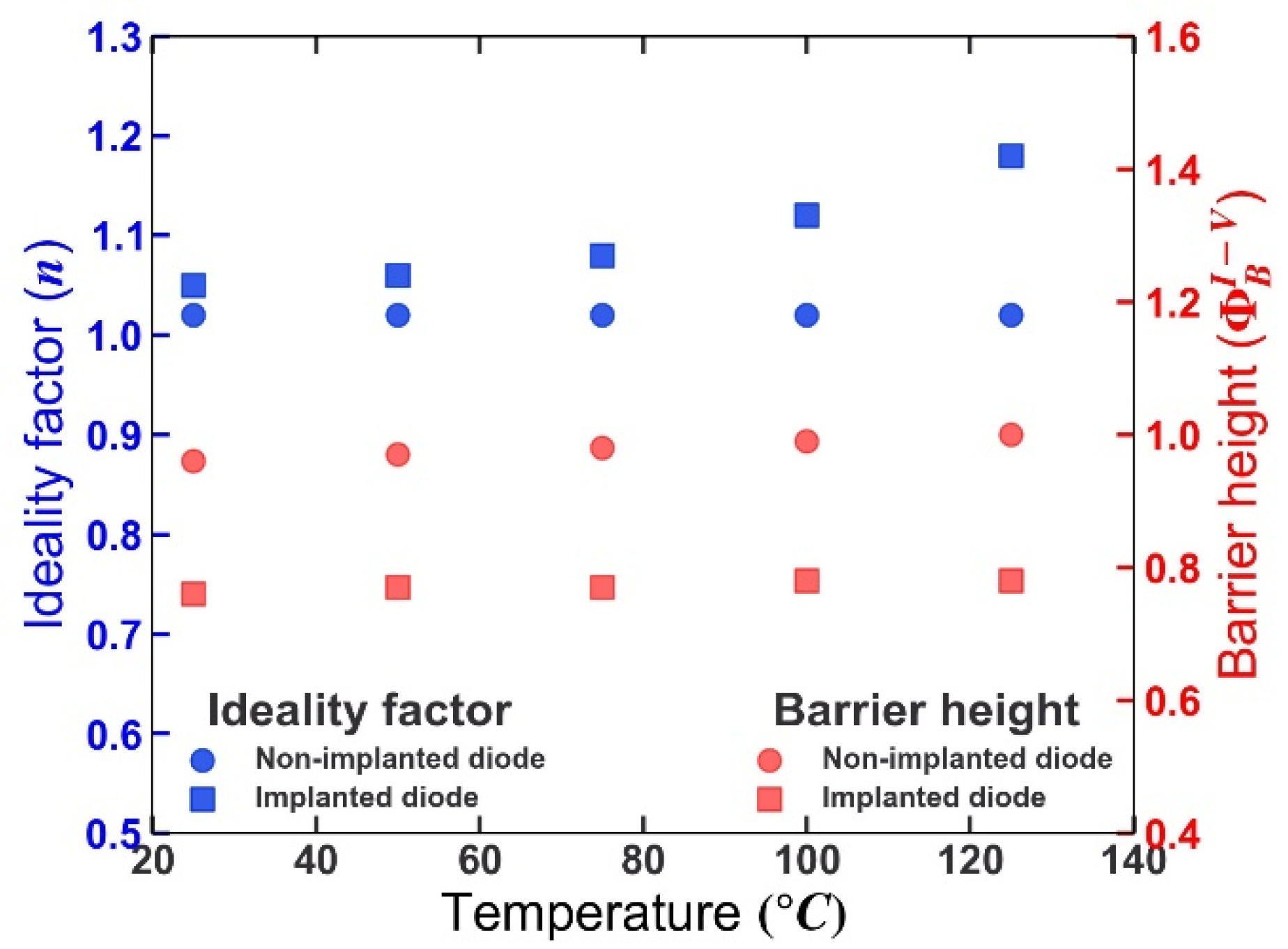
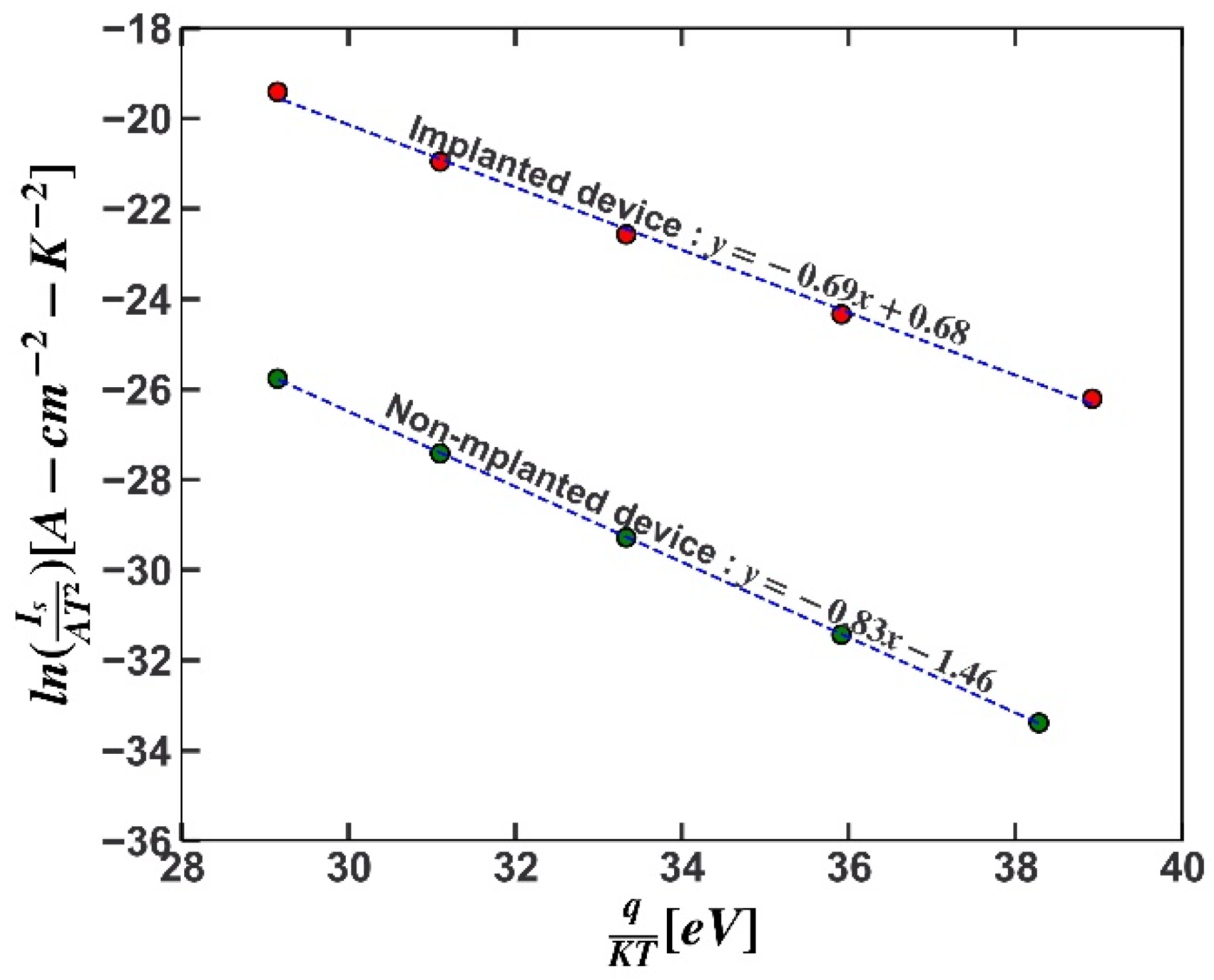
3.1. Forward Bias
3.2. Reverse Bias
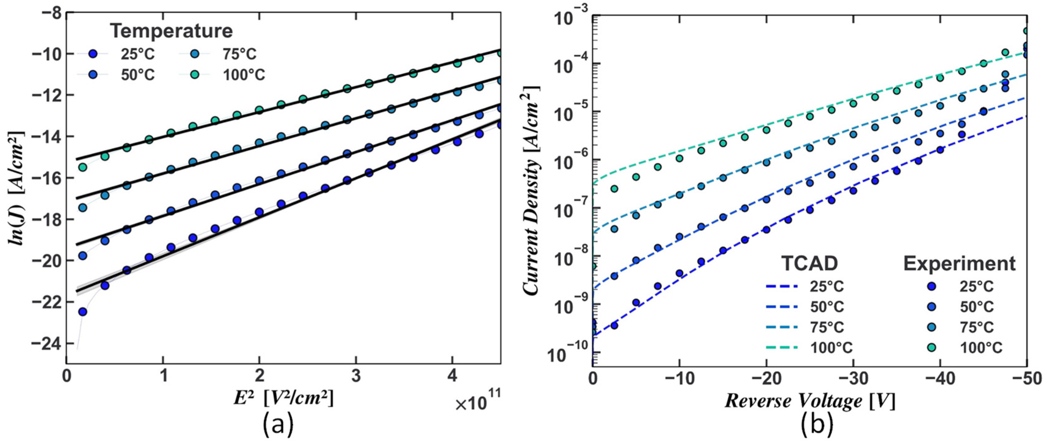
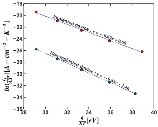
3.2.1. Non-Implanted Devices
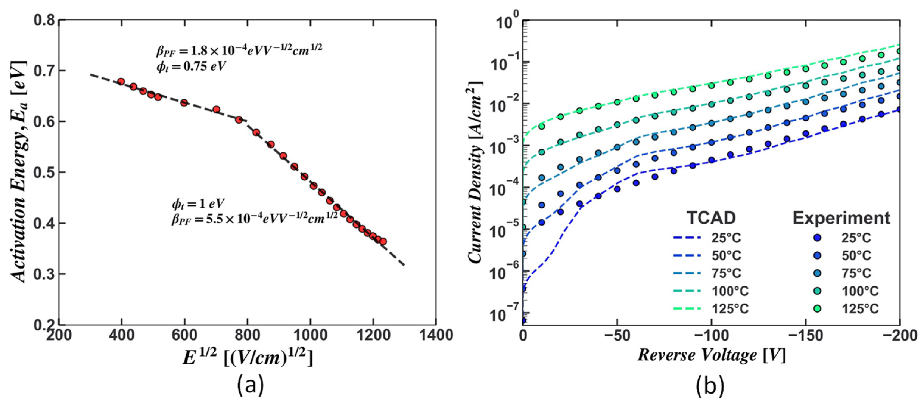
3.2.2. Implanted Devices
4. Conclusions
Supplementary Materials
Author Contributions
Funding
Institutional Review Board Statement
Informed Consent Statement
Data Availability Statement
Acknowledgments
Conflicts of Interest
References
- Roccaforte, F.; Greco, G.; Fiorenza, P.; Iucolano, F. An overview of normally-off GaN-based high electron mobility transistors. Materials 2019, 12, 1599. [Google Scholar] [CrossRef]
- Le Royer, C.; Mohamad, B.; Biscarrat, J.; Vauche, L.; Escoffier, R.; Buckley, J.; Becu, S.; Riat, R.; Gillot, C.; Charles, M.; et al. Normally-OFF 650V GaN-on-Si MOSc-HEMT Transistor: Benefits of the Fully Recessed Gate Architecture. In Proceedings of the 2022 IEEE 34th International Symposium on Power Semiconductor Devices and ICs (ISPSD), Vancouver, BC, Canada, 22–25 May 2022; pp. 49–52. [Google Scholar] [CrossRef]
- Jaud, M.A.; Baines, Y.; Charles, M.; Morvan, E.; Scheiblin, P.; Torres, A.; Plissonnier, M.; Barbe, J.C. TCAD for gate stack optimization in pGaN Gate HEMT devices. In Proceedings of the 2017 International Conference on Simulation of Semiconductor Processes and Devices (SISPAD), Kamakura, Japan, 7–9 September 2017; pp. 113–116. [Google Scholar] [CrossRef]
- Hamady, S.; Morancho, F.; Beydoun, B.; Austin, P.; Gavelle, M. A new concept of enhanced-mode GaN HEMT using fluorine implantation in the GaN layer. In Proceedings of the 2013 15th European Conference on Power Electronics and Applications (EPE), Lille, France, 2–6 September 2013; pp. 1–6. [Google Scholar] [CrossRef]
- Meneghini, M.; Chowdhury, S.; Derluyn, J.; Medjdoub, F.; Ji, D.; Chun, J.; Kabouche, R.; De Santi, C.; Zanoni, E.; Meneghesso, G. GaN-Based Lateral and Vertical Devices; Springer: Cham, Switzerland, 2023; ISBN 9783030798277. [Google Scholar]
- Ozbek, A.M.; Baliga, B.J. Planar nearly ideal edge-termination technique for GaN devices. IEEE Electron Device Lett. 2011, 32, 300–302. [Google Scholar] [CrossRef]
- Liu, X.; Zou, P.; Wang, H.; Lin, Y.; Wu, J.; Chen, Z.; Wang, X.; Huang, S. Vertical GaN Schottky Barrier Diode with Record High Figure of Merit (1.1 GW/cm2) Fully Grown by Hydride Vapor Phase Epitaxy. IEEE Trans. Electron Devices 2023, 70, 3748–3753. [Google Scholar] [CrossRef]
- Liu, X.; Liu, Q.; Li, C.; Wang, J.; Yu, W.; Xu, K.; Ao, J.P. 1.2 kV GaN Schottky barrier diodes on free-standing GaN wafer using a CMOS-compatible contact material. Jpn J. Appl. Phys. 2017, 56, 26501. [Google Scholar] [CrossRef]
- Fukushima, H.; Usami, S.; Ogura, M.; Ando, Y.; Tanaka, A.; Deki, M.; Kushimoto, M.; Nitta, S.; Honda, Y.; Amano, H. Vertical GaN p-n diode with deeply etched mesa and the capability of avalanche breakdown. Appl. Phys. Express 2019, 12, 026502. [Google Scholar] [CrossRef]
- Hsu, J.W.P.; Manfra, M.J.; Lang, D.V.; Richter, S.; Chu, S.N.G.; Sergent, A.M.; Kleiman, R.N.; Pfeiffer, L.N.; Molnar, R.J. Inhomogeneous spatial distribution of reverse bias leakage in GaN Schottky diodes. Appl. Phys. Lett. 2001, 78, 1685–1687. [Google Scholar] [CrossRef]
- Phys, J.A. Effect of threading dislocation density on Schottky diode characteristics Effect of threading dislocation density on Ni / n -GaN Schottky diode. J. Appl. Phys. 2006, 100, 023709. [Google Scholar] [CrossRef]
- Sang, L.; Ren, B.; Sumiya, M.; Liao, M.; Koide, Y.; Tanaka, A.; Cho, Y.; Harada, Y.; Nabatame, T.; Sekiguchi, T.; et al. Initial leakage current paths in the vertical-type GaN-on-GaN Schottky barrier diodes. Appl. Phys. Lett. 2017, 111, 122102. [Google Scholar] [CrossRef]
- Yao, Y.; Sugawara, Y.; Yokoe, D.; Sato, K.; Ishikawa, Y.; Okada, N.; Tadatomo, K.; Sudo, M.; Kato, M.; Miyoshi, M.; et al. Correlation between structural properties and nonradiative recombination behaviors of threading dislocations in freestanding GaN substrates grown by hydride vapor phase epitaxy. CrystEngComm 2020, 22, 8299–8312. [Google Scholar] [CrossRef]
- Usami, S.; Ando, Y.; Tanaka, A.; Nagamatsu, K.; Deki, M.; Kushimoto, M.; Nitta, S.; Honda, Y.; Amano, H.; Sugawara, Y.; et al. Correlation between dislocations and leakage current of p-n diodes on a free-standing GaN substrate. Appl. Phys. Lett. 2018, 112, 182106. [Google Scholar] [CrossRef]
- Hamachi, T.; Tohei, T.; Hayashi, Y.; Imanishi, M.; Usami, S.; Mori, Y.; Sakai, A. Comprehensive analysis of current leakage at individual screw and mixed threading dislocations in freestanding GaN substrates. Sci. Rep. 2023, 13, 2436. [Google Scholar] [CrossRef] [PubMed]
- Structures, N. Leakage mechanism in GaN and AlGaN Schottky interfaces. Appl. Phys. Lett. 2006, 4884, 10–13. [Google Scholar] [CrossRef]
- Kotani, J.; Hashizume, T.; Hasegawa, H.; Kotani, J.; Hashizume, T.; Hasegawa, H. Analysis and control of excess leakage currents in nitride-based Schottky diodes based on thin surface barrier model. J. Vac. Sci. Technol. B Microelectron. Nanometer Struct. Process. Meas. Phenom. 2006, 22, 2179–2189. [Google Scholar] [CrossRef]
- Jin Ha, W.; Chhajed, S.; Jae Oh, S.; Hwang, S.; Kyu Kim, J.; Lee, J.H.; Kim, K.S. Analysis of the reverse leakage current in AlGaN/GaN Schottky barrier diodes treated with fluorine plasma. Appl. Phys. Lett. 2012, 100, 132104. [Google Scholar] [CrossRef]
- Peta, K.R.; Kim, M.D. Leakage current transport mechanism under reverse bias in Au/Ni/GaN Schottky barrier diode. Superlattices Microstruct. 2018, 113, 678–683. [Google Scholar] [CrossRef]
- Fu, K.; Zhou, J.; Deng, X.; Qi, X.; Smith, D.J.; Goodnick, S.M.; Zhao, Y.; Fu, H.; Huang, X.; Yang, T.H.; et al. Reverse Leakage Analysis for As-Grown and Regrown Vertical GaN-on-GaN Schottky Barrier Diodes. IEEE J. Electron Devices Soc. 2020, 8, 74–83. [Google Scholar] [CrossRef]
- Mukherjee, K.; De Santi, C.; Buffolo, M.; Borga, M.; You, S.; Geens, K.; Bakeroot, B.; Decoutere, S.; Gerosa, A.; Meneghesso, G.; et al. Understanding the leakage mechanisms and breakdown limits of vertical GaN-on-Si p+ n− n diodes: The road to reliable vertical MOSFETs. Micromachines 2021, 12, 445. [Google Scholar] [CrossRef] [PubMed]
- Chen, J.; Liu, Z.; Wang, H.; Song, X.; Bian, Z.; Duan, X.; Zhao, S.; Ning, J.; Zhang, J.; Hao, Y. Determination of the leakage current transport mechanisms in quasi-vertical GaN-on-Si Schottky barrier diodes (SBDs) at low and high reverse biases and varied temperatures. Appl. Phys. Express 2021, 14, 10. [Google Scholar] [CrossRef]
- Diodes, G.; Li, S.; Ercan, B.; Ren, C.; Ikeda, H. A Study on the Impact of Dislocation Density on Leakage Current in Vertical. IEEE Trans. Electron Devices 2022, 69, 4206–4211. [Google Scholar]
- Zhang, Y.; Wong, H.Y.; Sun, M.; Joglekar, S.; Yu, L.; Braga, N.A.; Mickevicius, R.V.; Palacios, T. Design space and origin of off-state leakage in GaN vertical power diodes. In Proceedings of the Technical Digest—International Electron Devices Meeting, IEDM, Washington, DC, USA, 7–9 December 2015; Volume 2016, pp. 35.1.1–35.1.4. [Google Scholar]
- Guo, X.; Zhong, Y.; Chen, X.; Zhou, Y.; Su, S.; Yan, S.; Liu, J.; Sun, X.; Sun, Q.; Yang, H. Reverse leakage and breakdown mechanisms of vertical GaN-on-Si Schottky barrier diodes with and without implanted termination. Appl. Phys. Lett. 2021, 118, 243501. [Google Scholar] [CrossRef]
- Pipinys, P.; Lapeika, V. Analysis of reverse-bias leakage current mechanisms in metal/GaN schottky diodes. Adv. Condens. Matter Phys. 2010, 2010, 526929. [Google Scholar] [CrossRef][Green Version]
- Han, S.; Yang, S.; Sheng, K. Fluorine-implanted termination for vertical GaN schottky rectifier with high blocking voltage and low forward voltage drop. IEEE Electron Device Lett. 2019, 40, 1040–1043. [Google Scholar] [CrossRef]
- Rhoderick, P.E.H.; Sc, M.; Ph, C.; Eng, P.F. Metal-Semiconductor Contacts; Clarendon Press: Oxford, UK, 1988; pp. 1–14. [Google Scholar]
- Knap, W.; Alause, H.; Bluet, J.M.; Camassel, J.; Young, J.; Asif Khan, M.; Chen, Q.; Huant, S.; Shur, M. The cyclotron resonance effective mass of two-dimensional electrons confined at the GaN/AlGaN interface. Solid State Commun. 1996, 99, 195–199. [Google Scholar] [CrossRef]
- Werner, J.H.; Güttler, H.H. Barrier inhomogeneities at Schottky contacts. J. Appl. Phys. 1991, 69, 1522–1533. [Google Scholar] [CrossRef]
- Iucolano, F.; Roccaforte, F.; Giannazzo, F.; Raineri, V. Barrier inhomogeneity and electrical properties of PtGaN Schottky contacts. J. Appl. Phys. 2007, 102, 113701. [Google Scholar] [CrossRef]
- Li, L.; Pu, T.; Li, X.; Ao, J.P. Effect of Anode Material on the Sensitivity of GaN Schottky Barrier Diode Temperature Sensor. IEEE Sens. J. 2022, 22, 1933–1938. [Google Scholar] [CrossRef]
- Mamor, M. Interface gap states and Schottky barrier inhomogeneity at metal/n-type GaN Schottky contacts. J. Phys. Condens. Matter 2009, 21, 335802. [Google Scholar] [CrossRef] [PubMed]
- Rajagopal Reddy, V.; Janardhanam, V.; Leem, C.H.; Choi, C.J. Electrical properties and the double Gaussian distribution of inhomogeneous barrier heights in Se/n-GaN Schottky barrier diode. Superlattices Microstruct. 2014, 67, 242–255. [Google Scholar] [CrossRef]
- Roccaforte, F.; Giannazzo, F.; Alberti, A.; Spera, M.; Cannas, M.; Cora, I.; Pécz, B.; Iucolano, F.; Greco, G. Barrier inhomogeneity in vertical Schottky diodes on free standing gallium nitride. Mater. Sci. Semicond. Process. 2019, 94, 164–170. [Google Scholar] [CrossRef]
- Greco, G.; Fiorenza, P.; Schilirò, E.; Bongiorno, C.; Di Franco, S.; Coulon, P.M.; Frayssinet, E.; Bartoli, F.; Giannazzo, F.; Alquier, D.; et al. Current transport in Ni Schottky barrier on GaN epilayer grown on free standing substrates. Microelectron. Eng. 2023, 276, 112009. [Google Scholar] [CrossRef]
- Roccaforte, F.; La Via, F.; Raineri, V.; Pierobon, R.; Zanoni, E. Richardson’s constant in inhomogeneous silicon carbide Schottky contacts. J. Appl. Phys. 2003, 93, 9137–9144. [Google Scholar] [CrossRef]
- Pipinys, P.; Lapeika, V. Temperature dependence of reverse-bias leakage current in GaN Schottky diodes as a consequence of phonon-assisted tunneling. J. Appl. Phys. 2006, 99, 093709. [Google Scholar] [CrossRef]
- Pipinys, P.; Pipiniene, A.; Rimeika, A. Phonon-assisted tunneling in reverse biased Schottky diodes. J. Appl. Phys. 1999, 86, 6875–6878. [Google Scholar] [CrossRef]
- Kampen, C.; Burenkov, A.; Lorenz, J. Challenges in TCAD simulations of tunneling field effect transistors. In Proceedings of the 2011 Proceedings of the European Solid-State Device Research Conference (ESSDERC), Helsinki, Finland, 12–16 September 2011; pp. 139–142. [Google Scholar] [CrossRef]
- Racko, J.; Pecháček, J.; Mikolášek, M.; Benko, P.; Grmanová, A.; Harmatha, L.; Breza, J. Trap-Assisted Tunneling in the Schottky Barrier. Radioengineering 2013, 22, 240–244. [Google Scholar]
- Koné, S.; Cayrel, F.; Yvon, A.; Collard, E.; Alquier, D. DLTS analysis of high resistive edge termination technique-induced defects in GaN-based Schottky barrier diodes. Phys. Status Solidi Appl. Mater. Sci. 2016, 213, 2364–2370. [Google Scholar] [CrossRef]
- Auret, F.D.; Goodman, S.A.; Koschnick, F.K.; Spaeth, J.M.; Beaumont, B.; Gibart, P. Sputter deposition-induced electron traps in epitaxially grown n-GaN. Appl. Phys. Lett. 1999, 74, 2173–2175. [Google Scholar] [CrossRef]
- Choi, K.J.; Jang, H.W.; Lee, J.L. Observation of inductively coupled-plasma-induced damage on n-type GaN using deep-level transient spectroscopy. Appl. Phys. Lett. 2003, 82, 1233–1235. [Google Scholar] [CrossRef]
- Ferrandis, P.; Charles, M.; Baines, Y.; Buckley, J.; Garnier, G.; Gillot, C.; Reimbold, G. Ion-assisted gate recess process induced damage in GaN channel of AlGaN/GaN Schottky barrier diodes studied by deep level transient spectroscopy. Jpn. J. Appl. Phys. 2017, 56, 04CG01. [Google Scholar] [CrossRef]
- Kuksenkov, D.V.; Temkin, H.; Osinsky, A.; Gaska, R.; Khan, M.A. Origin of conductivity and low-frequency noise in reverse-biased GaN p-n junction. Appl. Phys. Lett. 1998, 72, 1365–1367. [Google Scholar] [CrossRef]
- Auret, F.D.; Goodman, S.A.; Koschnick, F.K.; Spaeth, J.M.; Beaumont, B.; Gibart, P. Electrical characterization of two deep electron traps introduced in epitaxially grown n-GaN during He-ion irradiation. Appl. Phys. Lett. 1998, 73, 3745–3747. [Google Scholar] [CrossRef]
- Tokuda, Y.; Matsuoka, Y.; Ueda, H.; Ishiguro, O.; Soejima, N.; Kachi, T. DLTS study of n-type GaN grown by MOCVD on GaN substrates. Superlattices Microstruct. 2006, 40, 268–273. [Google Scholar] [CrossRef]






Disclaimer/Publisher’s Note: The statements, opinions and data contained in all publications are solely those of the individual author(s) and contributor(s) and not of MDPI and/or the editor(s). MDPI and/or the editor(s) disclaim responsibility for any injury to people or property resulting from any ideas, methods, instructions or products referred to in the content. |
© 2023 by the authors. Licensee MDPI, Basel, Switzerland. This article is an open access article distributed under the terms and conditions of the Creative Commons Attribution (CC BY) license (https://creativecommons.org/licenses/by/4.0/).
Share and Cite
Maurya, V.; Buckley, J.; Alquier, D.; Irekti, M.-R.; Haas, H.; Charles, M.; Jaud, M.-A.; Sousa, V. Electrical Transport Characteristics of Vertical GaN Schottky-Barrier Diode in Reverse Bias and Its Numerical Simulation. Energies 2023, 16, 5447. https://doi.org/10.3390/en16145447
Maurya V, Buckley J, Alquier D, Irekti M-R, Haas H, Charles M, Jaud M-A, Sousa V. Electrical Transport Characteristics of Vertical GaN Schottky-Barrier Diode in Reverse Bias and Its Numerical Simulation. Energies. 2023; 16(14):5447. https://doi.org/10.3390/en16145447
Chicago/Turabian StyleMaurya, Vishwajeet, Julien Buckley, Daniel Alquier, Mohamed-Reda Irekti, Helge Haas, Matthew Charles, Marie-Anne Jaud, and Veronique Sousa. 2023. "Electrical Transport Characteristics of Vertical GaN Schottky-Barrier Diode in Reverse Bias and Its Numerical Simulation" Energies 16, no. 14: 5447. https://doi.org/10.3390/en16145447
APA StyleMaurya, V., Buckley, J., Alquier, D., Irekti, M.-R., Haas, H., Charles, M., Jaud, M.-A., & Sousa, V. (2023). Electrical Transport Characteristics of Vertical GaN Schottky-Barrier Diode in Reverse Bias and Its Numerical Simulation. Energies, 16(14), 5447. https://doi.org/10.3390/en16145447

