Evaluation of Efficiency for Miniscale Thermoelectric Converter under the Influence of Electrical and Thermal Resistance of Contacts
Abstract
1. Introduction
2. Impact of Electrical and Thermal Contacts on Miniaturization of Thermoelectric Converters
3. Method for Designing and Calculating the Performance of TE Converter in Cooling and Generating Modes
3.1. Converter Physical Model
3.2. Generating Converter
3.3. Cooling Converter
3.4. Algorithm for Designing and Calculating the Performance of TE Converter
4. Results and Discussion
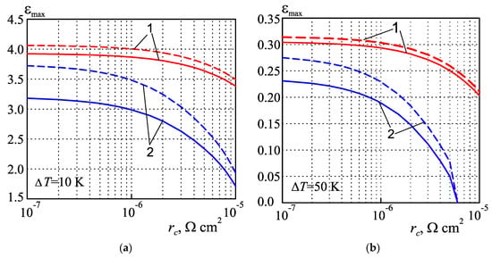
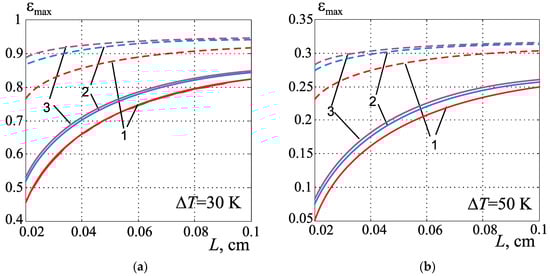
4.1. Cooling Converter
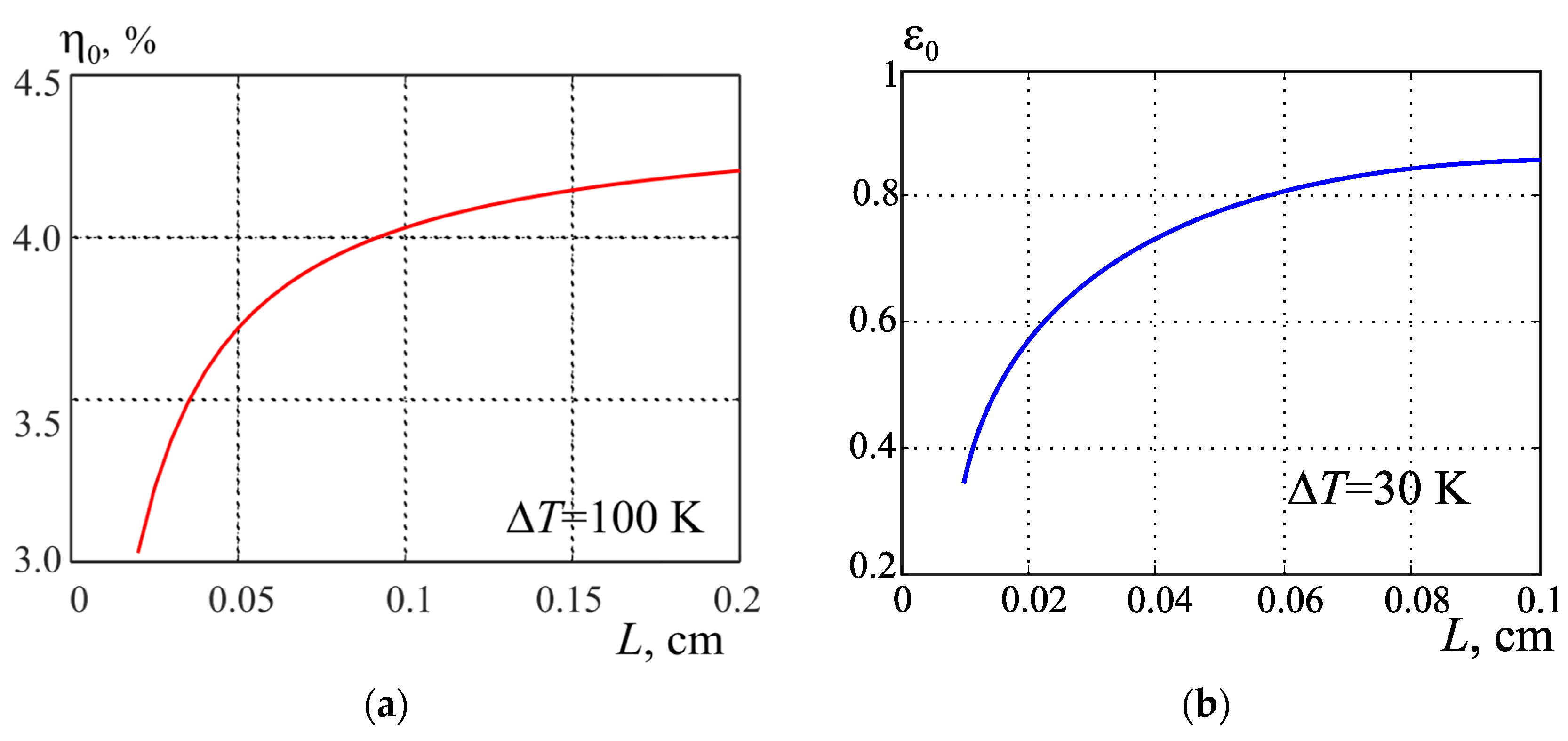
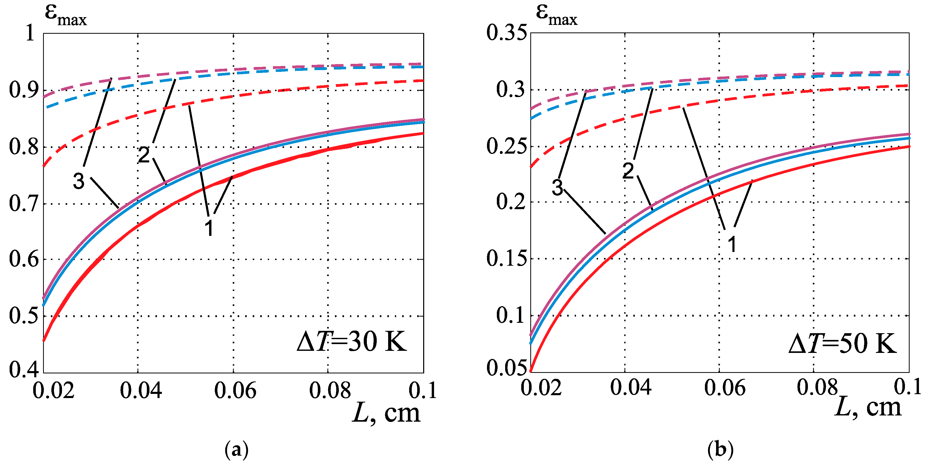
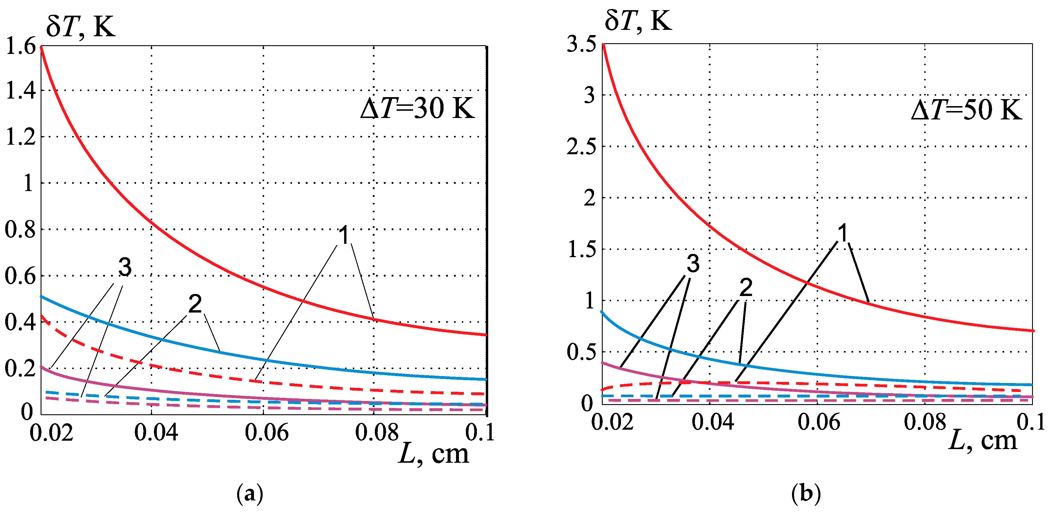
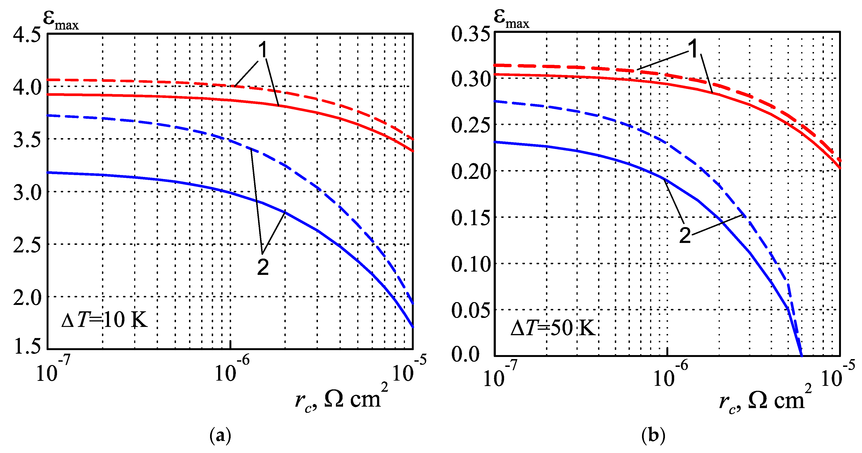
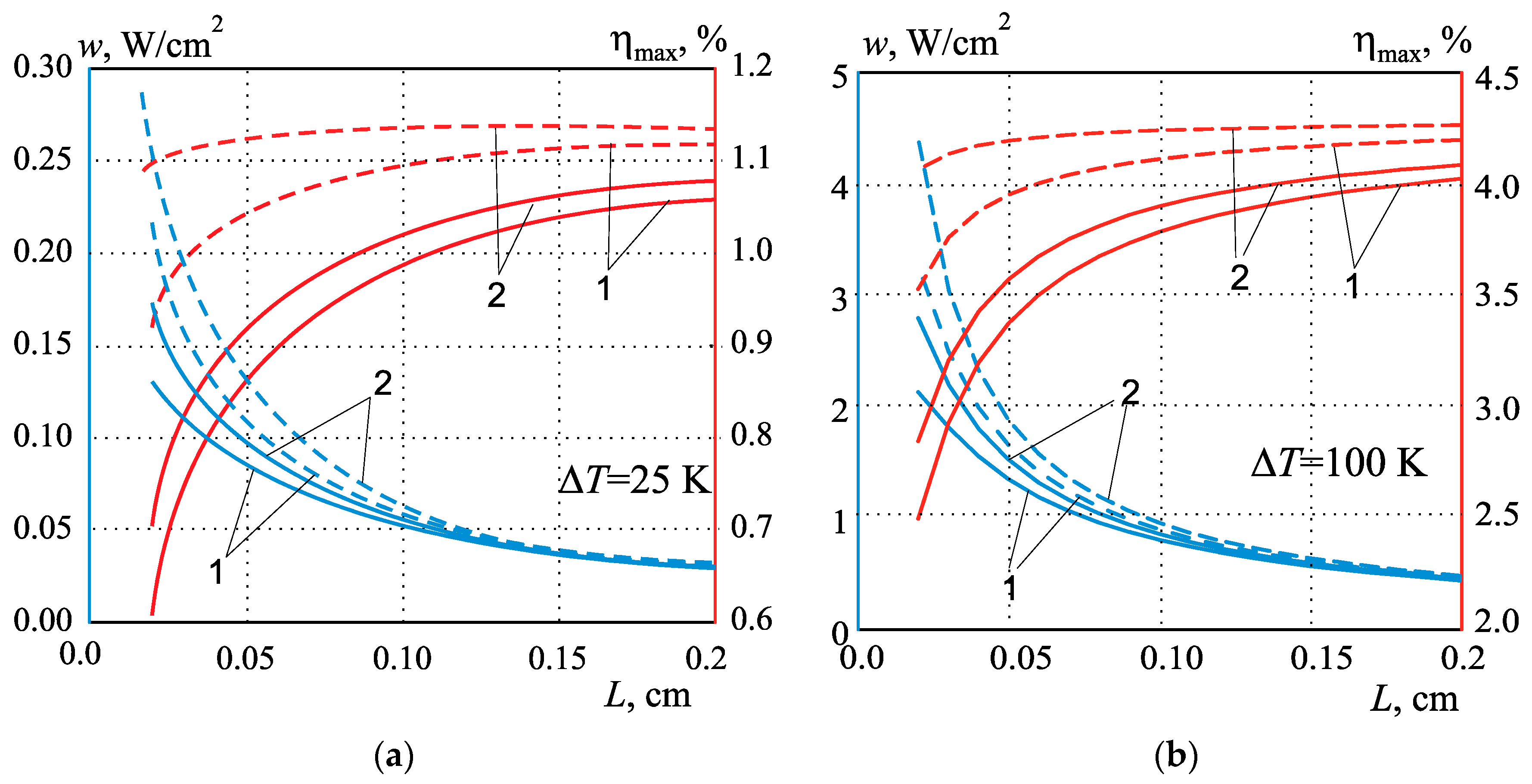
4.2. Generating Converter
5. Conclusions
- A new numerical method is proposed for designing cooling modules in the maximum COP mode and generating modules with maximum efficiency, with regard to the electrical and thermal resistances of contacts, interconnectors, insulating plates and other factors. The negative effect of these undesirable resistances on the performance of miniscale converters has been estimated. The results prove that the electrical contact resistance becomes the predominant reason for the decrease in the efficiency of converters at the miniaturization of thermoelements.
- A commercial Bi2Te3-based module has insulating plates made of Al2O3 material and a contact resistivity of about 5 × 10−6 Ω cm2. The maximum COP of such a cooling module with a leg length of 0.02 cm is about 2–6 times (depending on temperature drop) less than its possible value for the ideal model of the module (without undesirable electrical and thermal resistances). The efficiency of such modules for generators is about 1.5–2 times less as compared to the ideal model.
- An improvement in the energy efficiency of miniature modules is achieved by decreasing the undesirable resistances to their limit values. Such a limit for the electrical contact resistance is its rational value, which depends on thermoelement length. The rational values for the Bi2Te3-based modules both for cooling and generation have been determined and are given in this paper. For miniscale converters with leg lengths from 0.05 cm to 0.02 cm, they vary in the range from 10−6 Ω·cm2 to 3·10−7 Ω·cm2 and correlate well with the experimental data obtained in [51]. It is expedient to follow these rational values of contact resistance in the fabrication of miniature modules. To reduce the undesirable thermal resistance, it is preferable to use AlN ceramics instead of insulating plates made of Al2O3.
Author Contributions
Funding
Data Availability Statement
Acknowledgments
Conflicts of Interest
References
- Champier, D. Thermoelectricity Engineering (Modules, Performance, Applications). 2019. Available online: https://hal.archives-ouvertes.fr/hal-02367539 (accessed on 23 March 2023).
- Thermoelectric Modules Market. Available online: https://www.maximizemarketresearch.com/market-report/thermoelectric-modules-market/2622/ (accessed on 23 March 2023).
- Dzumedzey, R.O.; Boryk, V.V. Performance specifications of thermoelectric modules on the example of the system “solar collector–thermoelectric generator”. Phys. Chemistry Solid State 2013, 14, 659–661. Available online: http://page.if.ua/uploads/pcss/vol14/!1403-35.pdf (accessed on 23 March 2023).
- Selenium and Tellurium Statistics and Information. Available online: https://www.usgs.gov/centers/national-minerals-information-center/selenium-and-tellurium-statistics-and-information (accessed on 23 March 2023).
- Zhao, D.; Tan, G. A review of thermoelectric cooling: Materials, modeling and applications. Appl. Therm. Eng. 2014, 66, 15–24. [Google Scholar] [CrossRef]
- Nolas, G.S.; Morelli, D.T.; Tritt, T.M. Skutterudites: A phonon-glass-electron crystal approach to advanced thermoelectric energy conversion applications. Annu. Rev. Mater. Sci. 1999, 29, 89–116. [Google Scholar] [CrossRef]
- Shevelkov, A.V.; Kovnir, K. Zintl clathrates. In Zintl Phases; Fassler, T.F., Ed.; Springer: Berlin/Heidelberg, Germany, 2011; pp. 97–142. [Google Scholar] [CrossRef]
- Shi, X.; Chen, L.; Uher, C. Recent advances in high performance bulk thermoelectric materials. Int. Mater. Rev. 2016, 61, 379–415. [Google Scholar] [CrossRef]
- Shi, X.; Yang, J.; Salvador, J.R.; Chi, M.; Cho, Y.J.; Wang, H.; Bai, S.; Yang, J.; Zhang, W.; Chen, L. Multiple-filled skutterudites: High thermoelectric figure of merit through separately optimizing electrical and thermal transports. J. Am. Chem. Soc. 2011, 133, 7837–7846. [Google Scholar] [CrossRef] [PubMed]
- Morelli, D.T.; Meisner, G.P.; Chen, B.X.; Hu, S.Q.; Uher, C. Cerium filling and doping of cobalt triantimonide. Phys. Rev. B 1997, 56, 7376–7383. [Google Scholar] [CrossRef]
- Saramat, A.; Svensson, G.; Palmqvist, A.E.C.; Stiewe, C.; Mueller, E.; Platzek, D.; Williams, S.G.K.; Rowe, D.M.; Bryan, J.D.; Stucky, G.D. Large thermoelectric figure of merit at high temperature in Czochralski-grown clathrate Ba8Ga16Ge30. J. Appl. Phys. 2006, 99, 023708. [Google Scholar] [CrossRef]
- You, S.W.; Shin, D.K.; Ur, S.C.; Kim, I.H. Solid-state synthesis and thermoelectric properties of Mg2Si0.5Ge0.5Sbm. J. Electron. Mater. 2015, 44, 1504–1508. [Google Scholar] [CrossRef]
- Zhang, Q.; He, J.; Zhu, T.J.; Zhang, S.N.; Zhao, X.B.; Tritt, T.M. High figures of merit and natural nanostructures in Mg2Si0.4Sn0.6 based thermoelectric materials. Appl. Phys. Lett. 2008, 93, 102109. [Google Scholar] [CrossRef]
- Khan, A.U.; Vlachos, N.V.; Hatzikraniotis, E.; Polymeris, G.S.; Lioutas, C.B.; Stefanaki, E.C.; Paraskevopoulos, K.M.; Giapintzakis, I.; Kyratsi, T. Thermoelectric properties of highly efficient Bi-doped Mg2Si1−x−ySnxGey materials. Acta Mater. 2014, 77, 43–53. [Google Scholar] [CrossRef]
- Aoyama, I.; Fedorov, M.I.; Zaitsev, V.K.; Solomkin, F.Y.; Eremin, I.S.; Samunin, A.Y.; Mukojima, M.; Sano, S.; Tsuji, T. Effects of Ge doping on micromorphology of MnSi in MnSi∼1.7 and on their thermoelectric transport properties. Jpn. J. Appl. Phys. 2005, 44, 8562–8570. [Google Scholar] [CrossRef]
- Aoyama, I.; Kaibe, H.; Rauscher, L.; Kanda, T.; Mukojima, M.; Sano, S.; Tsuji, T. Doping effects on thermoelectric properties of higher manganese silicides (HMSs, MnSi1.74) and characterization of thermoelectric generating module using p-type (Al, Ge and Mo)-doped HMSs and n-type Mg2Si0.4Sn0.6 legs. Jpn. J. Appl. Phys. 2005, 44, 4275–4281. [Google Scholar] [CrossRef]
- Pedersen, B.L.; Iversen, B.B. Thermally stable thermoelectric Zn4Sb3 by zone-melting synthesis. Appl. Phys. Lett. 2008, 92, 161907. [Google Scholar] [CrossRef]
- Rhyee, J.-S.; Kim, H. Chemical potential tuning and enhancement of thermoelectric properties in indium selenides. Materials 2015, 8, 1283–1324. [Google Scholar] [CrossRef] [PubMed]
- Bottner, H.; Nurnus, J.; Schubert, A. Miniaturized thermoelectric converters. In Thermoelectrics Handbook: Macro to Nano; Rowe, D.M., Ed.; Taylor & Francis: London, UK, 2006; pp. 1–16. Available online: https://www.taylorfrancis.com/chapters/mono/10.1201/9781420038903-46/miniaturized-thermoelectric-converters-rowe (accessed on 23 March 2023).
- Sarbu, I.; Dorca, A. A comprehensive review of solar thermoelectric cooling systems. Int. J. Energy Res. 2018, 42, 395–415. [Google Scholar] [CrossRef]
- Salah, W.A.; Abuhelwa, M. Review of thermoelectric cooling devices recent applications. J. Eng. Sci. Technol. 2020, 15, 455–476. [Google Scholar]
- Sharp, J.; Bierschenk, J.; Lyon, H.B. Overview of solid-state thermoelectric refrigerators and possible applications to on-chip thermal management. Proc. IEEE 2006, 94, 1602–1612. [Google Scholar] [CrossRef]
- Redmond, M.; Kumar, S. Optimization of thermoelectric coolers for hotspot cooling in three-dimensional stacked chips. J. Electron. Packag. 2015, 137, 011006. [Google Scholar] [CrossRef]
- Bar-Cohen, A.; Wang, P. On-chip hot spot remediation with miniaturized thermoelectric coolers. Microgravity Sci. Technol. 2009, 21 (Suppl. S1), S351–S359. [Google Scholar] [CrossRef]
- Wang, J.; Zhao, X.-J.; Cai, Y.-J.; Zhang, C.; Bao, W.-W. Experimental study on the thermal management of high-power LED headlight cooling device integrated with thermoelectric cooler package. Energy Convers. Manag. 2015, 101, 532–540. [Google Scholar] [CrossRef]
- Li, J.; Ma, B.; Wang, R.; Han, L. Study on a cooling system based on thermoelectric cooler for thermal management of high-power LEDs. Microelectron. Reliab. 2011, 51, 2210–2215. [Google Scholar] [CrossRef]
- Qin, H.; Zhong, D.; Wang, C.H. Thermal performance evaluation and economic analysis of LED integrated with thermoelectric cooler package. Adv. Mater. Res. 2011, 216, 106–110. [Google Scholar] [CrossRef]
- Shen, L.; Chen, H.; Xiao, F.; Yang, Y.; Wang, S. The step-change cooling performance of miniature thermoelectric module for pulse laser. Energy Convers. Manag. 2014, 80, 9–45. [Google Scholar] [CrossRef]
- Zhang, W.; Shen, L.; Yang, Y.; Chen, H. Thermal management for a micro semiconductor laser based on thermoelectric cooling. Appl. Therm. Eng. 2015, 90, 664–673. [Google Scholar] [CrossRef]
- Piotrowski, A.; Piotrowski, J.; Gawron, W.; Pawluczyk, J.; Pedzinska, M. Extension of usable spectral range of Peltier cooled photodetectors. Acta Phys. Pol. A 2009, 116, s52–s55. [Google Scholar] [CrossRef]
- Anatychuk, L.I.; Vikhor, L.M. The limits of thermoelectric cooling for photodetectors. J. Thermoelectr. 2013, 5, 54–58. [Google Scholar]
- Nordin, L.; Muhowski, A.J.; Wasserman, D. High operating temperature plasmonic infrared detectors. Appl. Phys. Lett. 2022, 120, 101103. [Google Scholar] [CrossRef]
- Parashchuk, T.; Sidorenko, N.; Ivantsov, L.; Sorokin, A.; Maksymuk, M.; Dzundza, B.; Dashevsky, Z. Development of a solid-state multi-stage thermoelectric cooler. J. Power Sources 2021, 496, 229821. [Google Scholar] [CrossRef]
- Vullers, R.J.M.; Schaijk, R.; Visser, H.J.; Penders, J.; Hoof, C.V. Energy Harvesting for Autonomous Wireless Sensor Networks. IEEE Solid State Circuits Mag. 2010, 2, 29–38. [Google Scholar] [CrossRef]
- Dunham, M.T.; Barako, M.T.; LeBlanc, S.; Asheghi-Roudheni, M.; Chen, B.; Goodson, K. Modeling and Optimization of Small Thermoelectric Generators for Low-Power Electronics. In Proceedings of the ASME 2013 International Technical Conference and Exhibition on Packaging and Integration of Electronic and Photonic Microsystems, Burlingame, CA, USA, 16–18 July 2013; Volume 1. [Google Scholar] [CrossRef]
- Parsonnet, V. A Lifetime Pacemaker Revisited. N. Engl. J. Med. 2007, 357, 2638–2639. [Google Scholar] [CrossRef]
- Scott, A.; Whalen, C.A.; Apblett, T.L. Improving power density and efficiency of miniature radioisotopic thermoelectric generators. J. Power Sources 2008, 180, 657–663. [Google Scholar] [CrossRef]
- Leonov, V.; Vullers, R. Wearable electronics self-powered by using human body heat: The state of the art and the perspective. J. Renew. Sustain. Energy 2009, 1, 62701. [Google Scholar] [CrossRef]
- Hong, S.; Gu, Y.; Seo, J.K.; Wang, J.; Liu, P.; Shirley Meng, Y.; Xu, S.; Chen, R. Wearable thermoelectrics for personalized thermoregulation. Sci. Adv. 2019, 5, eaaw0536. [Google Scholar] [CrossRef]
- Wei, R.; Sun, Y.; Zhao, D.; Aili, A.; Zhang, S.; Shi, C.; Zhang, J.; Geng, H.; Zhang, J.; Zhang, L.; et al. High-performance wearable thermoelectric generator with self-healing, recycling, and Lego-like reconfiguring capabilities. Sci. Adv. 2021, 7, eabe0586. [Google Scholar] [CrossRef]
- Torfs, T.; Leonov, V.; Vullers, R. Pulse oximeter fully powered by human body heat. Sens. Transducers J. 2007, 80, 1230–1238. [Google Scholar]
- Van Bavel, M.; Leonov, V.; Yazicioglu, R.F.; Torfs, T.; van Hoof, C.; Posthuma, N.; Vullers, R. Wearable battery-free wireless 2-channel EEG systems powerd by energy scavengers. Sens. Transducers J. 2008, 94, 103–115. [Google Scholar]
- Kim, C.S.; Yang, H.M.; Lee, J.; Lee, G.S.; Choi, H.; Kim, Y.J.; Lim, S.H.; Cho, S.H.; Cho, B.J. Self-powered wearable electrocardiography using a wearable thermoelectric power generator. ACS Energy Lett. 2018, 3, 501–507. [Google Scholar] [CrossRef]
- Leonov, V.; Torfs, T.; van Hoof, C.; Vullers, R.J. Smart wireless sensors integrated in clothing: An electrocardiography system in a shirt powered using human body heat. Sens. Transducers J. 2009, 107, 165. [Google Scholar]
- Vondrak, J.; Schmidt, M.; Proto, A.; Penhaker, M.; Jargus, J.; Peter, L. Using Miniature Thermoelectric Generators for Wearable Energy Harvesting. In Proceedings of the 2019 4th International Conference on Smart and Sustainable Technologies (SpliTech), Split, Croatia, 18–21 June 2019; pp. 1–6. [Google Scholar] [CrossRef]
- Xu, Q.; Deng, B.; Zhang, L.; Lin, S.; Han, Z.; Zhou, Q.; Li, J.; Zhu, Y.; Jiang, F.; Li, Q.; et al. High-performance, flexible thermoelectric generator based on bulk materials. Cell Rep. Phys. Sci. 2022, 3, 100780. [Google Scholar] [CrossRef]
- Bahk, J.-H.; Fang, H.; Yazawa, K.; Shakouri, A. Flexible thermoelectric materials and device optimization for wearable energy harvesting. J. Mater. Chem. C 2015, 3, 10362–10374. [Google Scholar] [CrossRef]
- Du, Y.; Xu, J.; Paul, B.; Eklund, P. Flexible thermoelectric materials and devices. Appl. Mater. Today 2018, 12, 366–388. [Google Scholar] [CrossRef]
- Semenyuk, V.A. Thermoelectric Cooling of Electro-Optic Components. In Thermoelectrics Handbook: Macro to Nano; Rowe, D.M., Ed.; Taylor & Francis: London, UK, 2006; pp. 1–20. [Google Scholar] [CrossRef]
- Anatychuk, L.I. Thermoelectricity. Volume 2. Thermoelectric Energy Convertors; Institute of Thermoelectricity: Chernivtsi, Ukraine, 2003; Available online: http://library.lol/main/9D47871457FBA3B0F47B88ACB76589E1 (accessed on 23 March 2023).
- Taylor, P.J.; Maddux, J.R.; Meissner, G.; Venkatasubramanian, R.; Bulman, G.; Pierce, J.; Gupta, R.; Bierschenk, J.; Caylor, C.; D’Angelo, J.; et al. Controlled improvement in specific contact resistivity for thermoelectric materials by ion implantation. Appl. Phys. Lett. 2013, 103, 043902. [Google Scholar] [CrossRef]
- Ioffe, A.F. Semiconductor Thermoelements and Thermoelectric Cooling; Infoserch Limited: London, UK, 1957; Available online: http://library.lol/main/957FA64C64DACD34F22E31B2035B549B (accessed on 23 March 2023).
- Chen, L.; Mei, D.; Wang, Y.; Li, Y. Ni barrier in Bi2Te3-based thermoelectric modules for reduced contact resistance and enhanced power generation properties. J. Alloys Compd. 2019, 796, 314–320. [Google Scholar] [CrossRef]
- Joshi, G.; Mitchell, D.; Ruedin, J.; Hoover, K.; Guzman, R.; McAleer, M.; Wood, L.; Savoy, S. Pulsed-light surface annealing for low contact resistance interfaces between metal electrodes and bismuth telluride thermoelectric materials. J. Mater. Chem. C 2019, 7, 479–483. [Google Scholar] [CrossRef]
- Gupta, R.P.; Xiong, K.; White, J.B.; Cho, K.; Alshareef, H.N.; Gnade, B.E. Low Resistance Ohmic Contacts to Bi2Te3 Using Ni and Co Metallization. J. Electrochem. Soc. 2010, 157, H666. [Google Scholar] [CrossRef]
- Gupta, R.P.; McCarty, R.; Sharp, J. Practical contact resistance measurement method for bulk Bi2Te3 based thermoelectric devices. J. Electron. Mater. 2014, 43, 1608–1612. [Google Scholar] [CrossRef]
- Kuznetsov, G.D.; Polystanskiy, Y.G.; Evseev, V.A. The metallization of the thermoelement branches by ionic sputtering of the nickel and cobalt. In Proceedings of the XIV International Conference on Thermoelectrics, St. Petersburg, Russia, 27–30 June 1995; pp. 166–167. Available online: https://books.google.com.ua/books/about/Proceedings_of_the_XIV_International_Con.html?id=P7jrAQAACAAJ&redir_esc=y (accessed on 23 March 2023).
- Vikhor, L.M.; Anatychuk, L.I.; Gorskyi, P.V. Electrical resistance of metal contact to Bi2Te3 based thermoelectric legs. J. Appl. Phys. 2019, 126, 164503. [Google Scholar] [CrossRef]
- Gupta, R.; White, J.; Iyore, O.; Chakrabati, U.; Alshareef, H.; Gnade, B. Determination of contact resistivity by the Cox and Strack method for metal contacts to bulk bismuth antimony telluride. Electrochem. Solid State Lett. 2009, 12, H302–H304. [Google Scholar] [CrossRef]
- Min, G.; Rowe, D.M. Improved model for calculating the coefficient of performance of a Peltier module. Energy Convers. Manag. 2000, 41, 163–171. [Google Scholar] [CrossRef]
- Xuan, X.C. Investigation of thermal contact effect on thermoelectric coolers. Energy Convers. Manag. 2003, 44, 399–410. [Google Scholar] [CrossRef]
- Gou, X.; Xiao, H.; Yang, S. Modeling, experimental study and optimization on low-temperature waste heat thermoelectric generator system. Appl. Energy 2010, 87, 3131–3136. [Google Scholar] [CrossRef]
- Shen, Z.-G.; Wu, S.-Y.; Xiao, L.; Yin, G. Theoretical modeling of thermoelectric generator with particular emphasis on the effect of side surface heat transfer. Energy 2016, 95, 367–379. [Google Scholar] [CrossRef]
- He, H.; Liu, W.; Wu, Y.; Rong, M.; Zhao, P.; Tang, X. An approximate and efficient characterization method for temperature-dependent parameters of thermoelectric modules. Energy Convers. Manag. 2019, 180, 584–597. [Google Scholar] [CrossRef]
- He, H.; Wu, Y.; Liu, W.; Rong, M.; Fang, Z.; Tang, X. Comprehensive modeling for geometric optimization of a thermoelectric generator module. Energy Convers. Manag. 2019, 183, 645–659. [Google Scholar] [CrossRef]
- Montecucco, A.; Buckle, A.R.; Knox, V. Solution to the 1-D unsteady heat conduction equation with internal Joule heat generation for thermoelectric devices. Appl. Thermal Eng. 2012, 35, 177–184. [Google Scholar] [CrossRef]
- Huang, M.-J.; Yen, R.-H.; Wang, A.-B. The influence of the Thomson effect on the performance of a thermoelectric cooler. Int. J. Heat Mass Transfer. 2005, 48, 413–418. [Google Scholar] [CrossRef]
- Meng, F.; Chen, L.; Sun, F. A numerical model and comparative investigation of a thermoelectric generator with multi-irreversibilities. Energy 2011, 36, 3513–3522. [Google Scholar] [CrossRef]
- Chen, W.-H.; Liao, C.-Y.; Hung, C.-I. A numerical study on the performance of miniature thermoelectric cooler affected by Thomson effect. Appl. Energy 2012, 89, 464–473. [Google Scholar] [CrossRef]
- Zhu, W.; Deng, Y.; Wang, Y.; Wang, A. Finite element analysis of miniature thermoelectric coolers with high cooling performance and short response time. Microelectron. J. 2013, 44, 860–868. [Google Scholar] [CrossRef]
- Wang, X.-D.; Huang, Y.-X.; Cheng, C.-H.; Lin, D.T.-W.; Kang, C.-H. A three-dimensional numerical modeling of thermoelectric device with consideration of coupling of temperature field and electric potential field. Energy 2012, 47, 488–497. [Google Scholar] [CrossRef]
- Jang, B.; Han, S.; Kim, J.-Y. Optimal design for micro-thermoelectric generators using finite element analysis. Microelectron. Eng. 2011, 88, 775–778. [Google Scholar] [CrossRef]
- Wang, X.; Qi, J.; Deng, W.; Li, G.; Gao, X.; He, L.; Zhang, S. An optimized design approach concerning thermoelectric generators with frustum-shaped legs based on three-dimensional multiphysics model. Energy 2021, 233, 120810. [Google Scholar] [CrossRef]
- Anatychuk, L.I.; Havrylyuk, N.V.; Lysko, V.V. Methods and equipment for quality control of thermoelectric materials. J. Electron. Mater. 2012, 41, 1680–1685. [Google Scholar] [CrossRef]
- Anatychuk, L.I.; Havrylyuk, N.V.; Lysko, V.V. Absolute method for measuring of thermoelectric properties of materials. Mater. Today Proc. 2015, 2, 737–743. [Google Scholar] [CrossRef]
- Anatychuk, L.I.; Vikhor, L.M.; Mitskaniuk, N.V. Contact resistance due to potential barrier at thermoelectric material–metal boundary. J. Thermoelectr. 2019, 4, 74–88. [Google Scholar]
















| Year | 2015 | 2016 | 2017 | 2018 | 2019 | 2020 | 2021 | 2022 |
| Production, tons | 400 | 400 | 420 | 460 | 520 | 562 | 610 | 640 |
| Price, $/kg | 77 | 34 | 40 | 74 | 60 | 56 | 68 | 68 |
| Contact | Features of Contact Technique | Contact Resistivity rc, Ω cm2 | Reference |
|---|---|---|---|
| Calculation data | |||
| p-type Bi2Te3/Ni | - | (3.0–3.2) × 10−6 | [57] |
| n-type Bi2Te2.7Se0.3/Ni, p-type Bi0.5Sb1.5Te3/Ni | - | (0.25–2.5) × 10−6 | [58] |
| Experimental data | |||
| p-type BiSbTe/Ni | - | 3.7 × 10−6 | [59] |
| n-type Bi2Te2.7Se0.3/ anti-diffusion barrier | Fabrication of contact under the standard technology. Improved technology of surface treatment and cleaning. | 2.74 × 10−6 1.12 × 10−6 | [56] |
| p-type Bi0.5Sb1.5Te3/ anti-diffusion barrier | Fabrication of contact under the standard technology. Improved technology of surface treatment and cleaning. | 3.59 × 10−6 1.3 × 10−6 | [56] |
| n-type (Bi,Sb)2(Se,Te)3/Ni | Processing and cleaning of the TEM surface. Ion implantation of impurities for increasing the carrier concentration at the TEM–metal boundary. | 1.7 × 10−6 4.5 × 10−7 | [51] |
| p-type (Bi,Sb)2(Se,Te)3/Ni | Processing and cleaning of the TEM surface. Ion implantation of impurities for increasing the carrier concentration at the TEM–metal boundary. | 7.7 × 10−7 2.7 × 10−7 | [51] |
| Parameter | Value |
|---|---|
| Leg length L, cm | 0.02–0.2 |
| Ratio | 1.25 |
| Ratio | 2.25 |
| Thickness of the insulating plate lins, cm | 0.02 |
| Thickness of the copper interconnector lcon, cm | 0.02 |
| Current in a circuit I, A | 1.0 |
| Thermal conductivity of insulating plate materials κins, W/cm K: | |
| Al2O3 | 0.24 |
| AlN | 1.25 |
| Pressed diamond powder | 10.0 |
| Leg Length L, cm | ε0/εmax rc = 10−7 Ω cm2, AlN Insulating Plates | ε0/εmax rc = 10−7 Ω cm2, Al2O3 Insulating Plates | ε0/εmax rc = 5 × 10−6 Ω cm2, AlN Insulating Plates | ε0/εmax rc = 5 × 10−6 Ω cm2, Al2O3 Insulating Plates |
|---|---|---|---|---|
| Temperature difference across a module ΔT = 10 K, ε0 = 4.149 | ||||
| 0.1 | 1.02 | 1.06 | 1.10 | 1.14 |
| 0.05 | 1.04 | 1.12 | 1.21 | 1.29 |
| 0.02 | 1.11 | 1.30 | 1.54 | 1.77 |
| Temperature difference across a module ΔT = 30 K, ε0 = 0.961 | ||||
| 0.1 | 1.02 | 1.05 | 1.14 | 1.17 |
| 0.05 | 1.04 | 1.10 | 1.29 | 1.35 |
| 0.02 | 1.11 | 1.26 | 1.85 | 2.11 |
| Temperature difference across a module ΔT = 50 K, ε0 = 0.324 | ||||
| 0.1 | 1.03 | 1.07 | 1.25 | 1.29 |
| 0.05 | 1.07 | 1.14 | 1.59 | 1.72 |
| 0.02 | 1.18 | 1.40 | 4.18 | 6.47 |
| Thermoelement length L, cm | 0.15 | 0.1 | 0.075 | 0.05 | 0.02 |
| Rational contact resistivity rc opt, Ω·cm2 | 2·10−6 | 10−6 | 9·10−7 | 7·10−7 | 3·10−7 |
| Leg Length L, cm | rc = 10−7Ω cm2, AlN Insulating Plate | rc = 10−7Ω cm2, Al2O3 Insulating Plate | rc = 5 × 10−6Ω cm2, AlN Insulating Plate | rc = 5 × 10−6Ω cm2, Al2O3 Insulating Plate | ||||
|---|---|---|---|---|---|---|---|---|
| η0/ηmax | w0/w | η0/ηmax | w0/w | η0/ηmax | w0/w | η0/ηmax | w0/w | |
| Temperature difference across a module ΔT = 10 K, η0 = 0.4838 | ||||||||
| 0.2 | 1.12 | 1.14 | 1.14 | 1.19 | 1.19 | 1.22 | 1.2 | 1.27 |
| 0.1 | 1.13 | 1.15 | 1.17 | 1.23 | 1.26 | 1.32 | 1.3 | 1.42 |
| 0.05 | 1.14 | 1.18 | 1.23 | 1.35 | 1.4 | 1.52 | 1.5 | 1.74 |
| 0.025 | 1.17 | 1.24 | 1.35 | 1.615 | 1.7 | 1.96 | 1.93 | 2.49 |
| Temperature difference across a module ΔT = 25 K, η0 = 1.1946 | ||||||||
| 0.2 | 1.05 | 1.06 | 1.07 | 1.1 | 1.11 | 1.14 | 1.13 | 1.17 |
| 0.1 | 1.06 | 1.07 | 1.1 | 1.15 | 1.17 | 1.22 | 1.21 | 1.31 |
| 0.05 | 1.07 | 1.1 | 1.14 | 1.25 | 1.3 | 1.41 | 1.39 | 1.6 |
| 0.025 | 1.1 | 1.15 | 1.25 | 1.48 | 1.56 | 1.79 | 1.76 | 2.26 |
| Temperature difference across a module ΔT = 100 K, η0 = 4.3363 | ||||||||
| 0.2 | 1.02 | 1.02 | 1.03 | 1.06 | 1.06 | 1.08 | 1.08 | 1.12 |
| 0.1 | 1.02 | 1.03 | 1.05 | 1.1 | 1.11 | 1.16 | 1.15 | 1.23 |
| 0.05 | 1.03 | 1.06 | 1.1 | 1.2 | 1.21 | 1.3 | 1.28 | 1.47 |
| 0.025 | 1.06 | 1.1 | 1.18 | 1.4 | 1.42 | 1.61 | 1.58 | 2.02 |
| Temperature difference across a module ΔT = 100 K, η0 = 4.3363 | ||||||||
| 0.2 | 1.01 | 1.02 | 1.02 | 1.05 | 1.05 | 1.07 | 1.06 | 1.1 |
| 0.1 | 1.02 | 1.03 | 1.04 | 1.1 | 1.09 | 1.12 | 1.12 | 1.2 |
| 0.05 | 1.03 | 1.05 | 1.08 | 1.19 | 1.16 | 1.25 | 1.23 | 1.41 |
| 0.025 | 1.04 | 1.1 | 1.15 | 1.4 | 1.33 | 1.5 | 1.47 | 1.89 |
| Thermoelement length L, cm | 0.15 | 0.1 | 0.075 | 0.05 | 0.02 |
| Rational contact resistivity rc opt, Ω·cm2 | 3·10−6 | 2·10−6 | 1.5·10−6 | 10−6 | 6·10−7 |
Disclaimer/Publisher’s Note: The statements, opinions and data contained in all publications are solely those of the individual author(s) and contributor(s) and not of MDPI and/or the editor(s). MDPI and/or the editor(s) disclaim responsibility for any injury to people or property resulting from any ideas, methods, instructions or products referred to in the content. |
© 2023 by the authors. Licensee MDPI, Basel, Switzerland. This article is an open access article distributed under the terms and conditions of the Creative Commons Attribution (CC BY) license (https://creativecommons.org/licenses/by/4.0/).
Share and Cite
Vikhor, L.; Kotsur, M. Evaluation of Efficiency for Miniscale Thermoelectric Converter under the Influence of Electrical and Thermal Resistance of Contacts. Energies 2023, 16, 4082. https://doi.org/10.3390/en16104082
Vikhor L, Kotsur M. Evaluation of Efficiency for Miniscale Thermoelectric Converter under the Influence of Electrical and Thermal Resistance of Contacts. Energies. 2023; 16(10):4082. https://doi.org/10.3390/en16104082
Chicago/Turabian StyleVikhor, Lyudmyla, and Maxim Kotsur. 2023. "Evaluation of Efficiency for Miniscale Thermoelectric Converter under the Influence of Electrical and Thermal Resistance of Contacts" Energies 16, no. 10: 4082. https://doi.org/10.3390/en16104082
APA StyleVikhor, L., & Kotsur, M. (2023). Evaluation of Efficiency for Miniscale Thermoelectric Converter under the Influence of Electrical and Thermal Resistance of Contacts. Energies, 16(10), 4082. https://doi.org/10.3390/en16104082

