Static and Dynamic Magnetic Pull in Modular Spoke-Type Permanent Magnet Motors
Abstract
1. Introduction
2. Structure of Non-Magnetic Supports for Spoke-Type Permanent Magnet Motor and Motor Parameters
3. Static Magnetic Pull in Different Magnet Assembly Processes
3.1. The Description of the Motor Assembly Scheme
3.2. The Static Magnetic Pull Description of Motor Assembly Scheme A
- (1)
- The magnetic pull caused by axial end flux is ignored, and 2D simulation is used.
- (2)
- The value of magnetic pull shown in the below figures is the maximum magnetic pull among the whole mechanical rotation circle.
- (3)
- The eccentricities of motor and inconsistencies of permanent magnet performance are not considered.
- (1)
- When the left or right adjacent magnet grooves insert magnets, that is, when (Nrotor_left, Nrotor_right) = (1, 0) or (0, 1) as in Step A1, the tangential magnetic pull of one modular rotor core (FtMR) is at the maximum, as shown in Figure 8a.
- (2)
- The radial magnetic pull of one modular rotor core (FrMR) is at the maximum when the assembly process is in A2, which is shown in Figure 9a.
- (3)
- Through increasing the thickness of the magnetic isolated pad, FrMR, FWS, and FMS can be reduced significantly.
3.3. The Static Magnetic Pull Description of Motor Assembly Scheme B
- (1)
- When the left or right adjacent filled-groove magnets are (Nrotor_left, Nrotor_right) = (1, 0), or (0, 1), as in Step B1, then the tangential magnetic pull of one modular rotor core (FtMR) is at the maximum. This is shown in Figure 10a–c.
- (2)
- Through increasing the radian of the magnetic bond, the FrMR, FWS, and FMS can be smaller than what is found in Scheme A with the same magnetic isolated pad, especially when the magnetic isolated pad is thin. Figure 11d,e show that the value of FWS and FMS with 1.5° radian of magnetic bond can be reduced to 50% value of FWS and FMS without magnetic bond.
4. Dynamic Magnetic Pull in Different Operating States
4.1. Full Stator Module Operation
- (1)
- Ψ mainly influences the FrMR, FWS, FrMS, and FMS. The influence degree is directly proportional to the magnitude of the stator current.
- (2)
- When Ψ is close to −90° and the value of iwhole is at the maximum, then FrMR, FMS, and FrMS can be at the maximum for different load currents and Ψ.
4.2. Partial Stator Module Operation
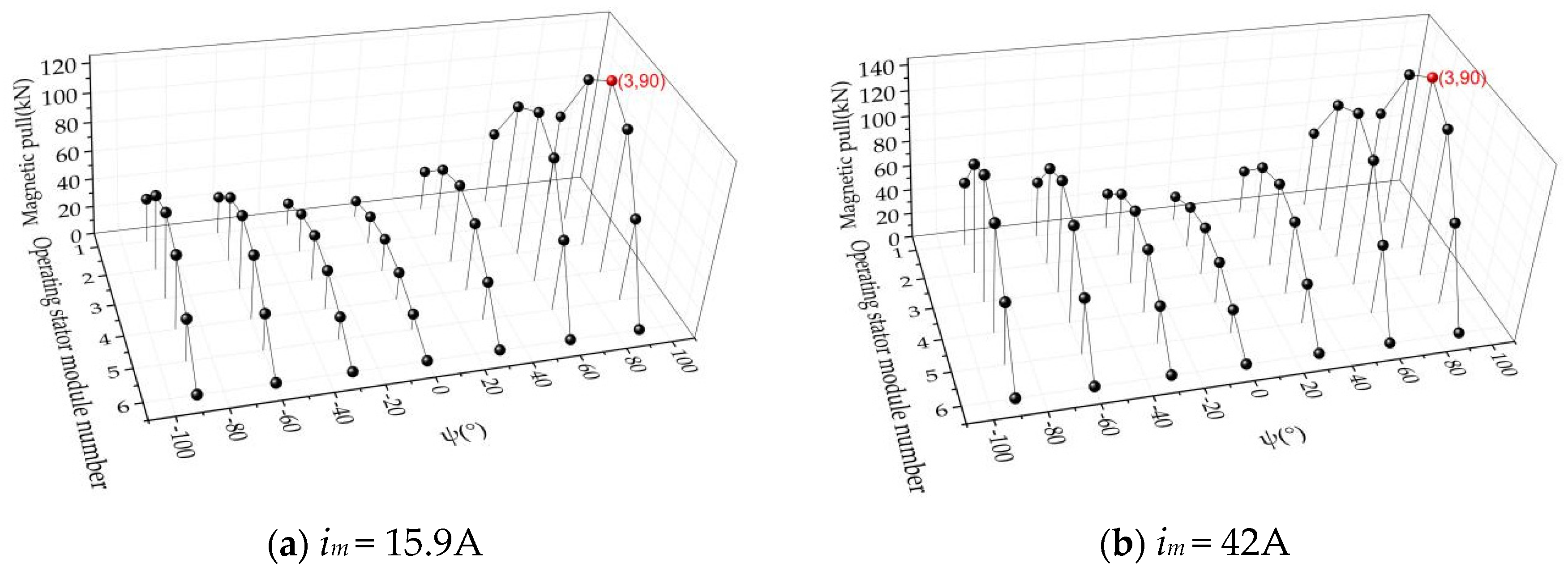
- (1)
- With the same number of adjacent stator modules operating, when Ψ is close to 90° and the value of im is at the maximum, then the magnetic pull of the whole stator (FWS) can be at the maximum;
- (2)
- With the same current and Ψ, and when half of the stator is operating (i.e., the number of adjacent modular stators is three), then the magnetic pull of the stator (FWS) can be at the maximum.
5. A Method for Reducing the Unbalanced Magnetic Pull of the Whole Stator
5.1. One Operating Modular Stator
- (1)
- The magnetic pull is a function associated to id2, id, iq2, and iq, and with the same (id2 + iq2) and iq, the absolute value of FrWS with id < 0 is higher than the absolute value of FrWS with id > 0;
- (2)
- The load torque is a function associated to iq and idiq, and with same iq, the maximum torque is in the area of id < 0;
- (3)
- The stator copper loss is a function associated to (id2 + iq2);
- (4)
- The stator iron loss is mildly influenced by the current with the same i.
5.2. Several Modular Stators Operating
- (1)
- With the same whole current (iwhole) and the same number operating modular stator, sorted by the value of the load torque, the stator combined scheme number is: 2A > 2C > 2B, 3A > 3C > 3B, 4A > 4B > 4C; sorted by the value of core loss, the stator combined scheme number is: 2A < 2C < 2B, 3A < 3C < 3B, 4A < 4B < 4C;
- (2)
- With same whole current (iwhole), the value of loss is inversely proportional to the number of operating stator modules, especially with respect to copper loss.
6. Discussion
7. Conclusions
- (1)
- proposing two assembly scheme for motors, in which the out diameter of bearings is smaller than the out diameter of the air gap, especially in Scheme B for a spoke-type permanent magnet motor.
- (2)
- finding out the maximum static magnetic pull during the motor final assembly process.
- (3)
- a method to reduce the unbalanced radial magnetic pull of the whole stator, which is caused by part of the stator modules operating.
Author Contributions
Funding
Data Availability Statement
Conflicts of Interest
References
- Lee, S.G.; Bae, J.; Kim, W.-H. A Study on the Maximum Flux Linkage and the Goodness Factor for the Spoke-Type PMSM. IEEE Trans. Appl. Supercond. 2017, 28, 1–5. [Google Scholar] [CrossRef]
- Ren, X.; Li, D.; Qu, R.; Yu, Z.; Gao, Y. Investigation of Spoke Array Permanent Magnet Vernier Machine with Alternate Flux Bridges. IEEE Trans. Energy Convers. 2018, 33, 2112–2121. [Google Scholar] [CrossRef]
- Sun, L.; Cheng, M.; Tong, M. Key Issues in Design and Manufacture of Magnetic-Geared Dual-Rotor Motor for Hybrid Vehicles. IEEE Trans. Energy Convers. 2017, 32, 1492–1501. [Google Scholar] [CrossRef]
- Jun, C.; Kwon, B. Performance comparison of a spoke-type PM motor with different permanent magnet shapes and the same magnet volume. IET Electr. Power Appl. 2017, 11, 1196–1204. [Google Scholar] [CrossRef]
- Madani, S.; Lipo, T.; Nino, C.; Lugo, D. Modeling of a radial permanent magnet motor with trapezoidal shaped poles. In Proceedings of the IEEE International Conference on Electric Machines and Drives, San Antonio, TX, USA, 15 May 2005; pp. 1715–1719. [Google Scholar] [CrossRef]
- Kakihara, W.; Takemoto, M.; Ogasawara, S. Rotor structure in 50 kW spoke-type interior permanent magnet synchronous motor with ferrite permanent magnets for automotive applications. In Proceedings of the 2013 IEEE Energy Conversion Congress and Exposition, Denver, CO, USA, 15–19 September 2013; pp. 606–613. [Google Scholar] [CrossRef]
- Boughrara, K.; Ibtiouen, R.; Takorabet, N. Analytic calculation of magnetic field and electromagnetic performances of spoke type IPM topologies with auxiliary magnets. In Proceedings of the 2014 International Conference on Electrical Machines (ICEM), Berlin, Germany, 2–5 September 2014; pp. 51–57. [Google Scholar]
- El-Refaie, A.M.; Alexander, J.P.; Galioto, S.; Reddy, P.B.; Huh, K.-K.; de Bock, P.; Shen, X. Advanced High-Power-Density Interior Permanent Magnet Motor for Traction Applications. IEEE Trans. Ind. Appl. 2014, 50, 3235–3248. [Google Scholar] [CrossRef]
- Galioto, S.J.; Reddy, P.B.; El-Refaie, A.M.; Alexander, J.P. Effect of Magnet Types on Performance of High-Speed Spoke Interior-Permanent-Magnet Machines Designed for Traction Applications. IEEE Trans. Ind. Appl. 2014, 51, 2148–2160. [Google Scholar] [CrossRef]
- Kimiabeigi, M.; Mecrow, B.C.; Widmer, J.D.; Long, R.; Gao, Y.; Goss, J.; Martin, R.; Lisle, T.; Vizan, J.M.S.; Michaelides, A. On Selection of Rotor Support Material for a Ferrite Magnet Spoke-Type Traction Motor. IEEE Trans. Ind. Appl. 2016, 52, 2224–2233. [Google Scholar] [CrossRef]
- Yoon, K.-Y.; Kwon, B.-I. Optimal Design of a New Interior Permanent Magnet Motor Using a Flared-Shape Arrangement of Ferrite Magnets. IEEE Trans. Magn. 2016, 52, 7. [Google Scholar] [CrossRef]
- Volpe, G.; Marignetti, F.; Roggia, S.; Popescu, M.; Goss, J. Modified 2-D Model for 3-D Rotor Magnet Leakage Effects in PM Spoke Machines. IEEE Trans. Ind. Appl. 2019, 55, 3087–3096. [Google Scholar] [CrossRef]
- Zhang, H.; Hua, W.; Gerada, D.; Xu, Z.; Gerada, C. Analytical Model of Modular Spoke-Type Permanent Magnet Machines for In-Wheel Traction Applications. IEEE Trans. Energy Convers. 2020, 35, 1289–1300. [Google Scholar] [CrossRef]
- Chen, Q.; Xu, G.; Zhai, F.; Liu, G. A Novel Spoke-Type PM Motor with Auxiliary Salient Poles for Low Torque Pulsation. IEEE Trans. Ind. Electron. 2019, 67, 4762–4773. [Google Scholar] [CrossRef]
- Xiao, Y.; Zhu, Z.Q.; Jewell, G.W.; Chen, J.; Wu, D.; Gong, L. A Novel Spoke-Type Asymmetric Rotor Interior Permanent Magnet Machine. IEEE Trans. Ind. Appl. 2021, 57, 4840–4851. [Google Scholar] [CrossRef]
- Chen, Q.; Xu, G.; Liu, G.; Zhai, F.; Eduku, S. Reduction of Torque Ripple Caused by Slot Harmonics in FSCW Spoke-Type FPM Motors by Assisted Poles. IEEE Trans. Ind. Electron. 2019, 67, 9613–9622. [Google Scholar] [CrossRef]
- Fontana, M.; Bianchi, N. Design and Analysis of Normal Saliency IPM Spoke Motor. IEEE Trans. Ind. Appl. 2020, 56, 3625–3635. [Google Scholar] [CrossRef]
- Nagano, S.; Takemoto, M.; Ogasawara, S. An examination for improvement of constant output characteristics at high-speed region in a spoke-type IPMSM using ferrite permanent magnet by changing the shape of rotor surface. In Proceedings of the 2016 IEEE Energy Conversion Congress and Exposition (ECCE), Milwaukee, WI, USA, 18–22 September 2016; pp. 1–8. [Google Scholar]
- Ge, X.; Zhu, Z.Q.; Li, J.; Chen, J. A Spoke-Type IPM Machine with Novel Alternate Airspace Barriers and Reduction of Unipolar Leakage Flux by Step-Staggered Rotor. IEEE Trans. Ind. Appl. 2016, 52, 4789–4797. [Google Scholar] [CrossRef]
- Yoo, J.S.; Jang, H.; Cho, S.; Lee, G.S.; Ko, S.J.; Bae, S.; So, H. Design of rotor with novel barrier for power improvement of spoke-type permanent magnet synchronous motor. In Proceedings of the 2018 21st International Conference on Electrical Machines and Systems (ICEMS), Jeju, Republic of Korea, 7–10 October 2018; pp. 2090–2094. [Google Scholar]
- Castano, S.M.; Sayed, E.; Jiang, J.W.; Liang, J.; Bilgin, B.; Sathyan, A.; Emadi, A. Design of a spoke-type ferrite magnet generator for a hybrid electric vehicle application. In Proceedings of the 2019 IEEE Transportation Electrification Conference and Expo (ITEC), Detroit, MI, USA, 19–21 June 2019; pp. 1–6. [Google Scholar]





























| Parameter | Values and Units |
|---|---|
| Rated power | 160 kW |
| Rated voltage | 1140 V |
| Rated speed | 30 rpm |
| Rated torque | 50,933 N·m |
| Rated frequency | 15 Hz |
| Stack length (La) | 1000 mm |
| Stator outer diameter (D1) | 1149.4 mm |
| Thickness of stator yoke | 40 mm |
| Air gap (g1) | 2.3 mm |
| Magnet magnetization direction dimension (hm) | 10 mm |
| Magnet width (bm) | 40 mm |
| Thickness of non-magnetic stainless steel (h3) | 30 mm |
| Number of stator slots (z)/rotor pole pairs (p) | 72/30 |
| Iron core material | DW470_50 |
| PM material | N42UH |
| Number of modular stators | 6 |
| Number of modular rotors | 60 |
| Combined Operating Stator Scheme Number | Expression |
|---|---|
| 1 | FrWS1 = 0; id1 < 0 |
| 2A | FrWS1 = FrWS4 < 0; id1 = id4 < 0; iq1 = iq4 |
| 2B | FrWS1 = FrWS2 = 0; id1 = id2 < 0; iq1 = iq2 |
| 2C | FrWS1 = FrWS3 = 0; id1 = id3 < 0; iq1 = iq3 |
| 3A | FrWS1 = FrWS3 = FrWS5 < 0; id1 = id3 = id5 < 0; iq1 = iq3 = iq5 |
| 3B | FrWS1 = FrWS3 = −0.5FrWS2 ≤ 0; FrWS2 ≧ 0; id1 = id3 ≤ 0; id2 ≧ 0; iq1 = iq3 |
| 3C | FrWS1 = FrWS4 < 0; FrWS2 = 0; id1 = id4 < 0; id5 > 0; iq1 = iq4 |
| 4A | FrWS1 = FrWS2 = FrWS4 = FrWS5 < 0; id1 = id2 = id4 = id5 < 0; iq1 = iq2 = iq4 = iq5 |
| 4B | FrWS1= FrWS4 < 0; id1 = id4 < 0; iq1 = iq4; FrWS2 = FrWS3 = 0; id2 = id3 > 0; iq2 = iq3 |
| 4C | FrWS1 + FrWS2 = FrWS5 < 0; FrWS1 = FrWS3 ≤ 0; id1 = id3 ≤ 0; id2 ≤0; id5 < 0; iq1 = iq3 |
| 5 | FrWS1 = FrWS2 = FrWS4 = FrWS5< 0; FrWS3 = 0; id1 = id2 = id4 = id5 ≤ 0; id3 > 0; iq1 = iq2 = iq4 = iq5 |
| 6 | FrWS1 = FrWS2 = FrWS3 = FrWS4 = FrWS5 = FrWS6 = 0; id1 = id2 = id3 = id4 = id5 = id6 < 0; iq1 = iq2 = iq3 = iq4 = iq5 = iq6 |
Disclaimer/Publisher’s Note: The statements, opinions and data contained in all publications are solely those of the individual author(s) and contributor(s) and not of MDPI and/or the editor(s). MDPI and/or the editor(s) disclaim responsibility for any injury to people or property resulting from any ideas, methods, instructions or products referred to in the content. |
© 2023 by the authors. Licensee MDPI, Basel, Switzerland. This article is an open access article distributed under the terms and conditions of the Creative Commons Attribution (CC BY) license (https://creativecommons.org/licenses/by/4.0/).
Share and Cite
Sun, S.; Feng, G.; Li, Y.; Zhang, B. Static and Dynamic Magnetic Pull in Modular Spoke-Type Permanent Magnet Motors. Energies 2023, 16, 4078. https://doi.org/10.3390/en16104078
Sun S, Feng G, Li Y, Zhang B. Static and Dynamic Magnetic Pull in Modular Spoke-Type Permanent Magnet Motors. Energies. 2023; 16(10):4078. https://doi.org/10.3390/en16104078
Chicago/Turabian StyleSun, Shaonan, Guihong Feng, Yan Li, and Bingyi Zhang. 2023. "Static and Dynamic Magnetic Pull in Modular Spoke-Type Permanent Magnet Motors" Energies 16, no. 10: 4078. https://doi.org/10.3390/en16104078
APA StyleSun, S., Feng, G., Li, Y., & Zhang, B. (2023). Static and Dynamic Magnetic Pull in Modular Spoke-Type Permanent Magnet Motors. Energies, 16(10), 4078. https://doi.org/10.3390/en16104078

