Research on Operation Optimization of LNG Submerged Pump System in LNG Receiving Terminals
Abstract
:1. Introduction
2. Methodology
2.1. LNG Submerged Pump Characteristic Curve Fitting
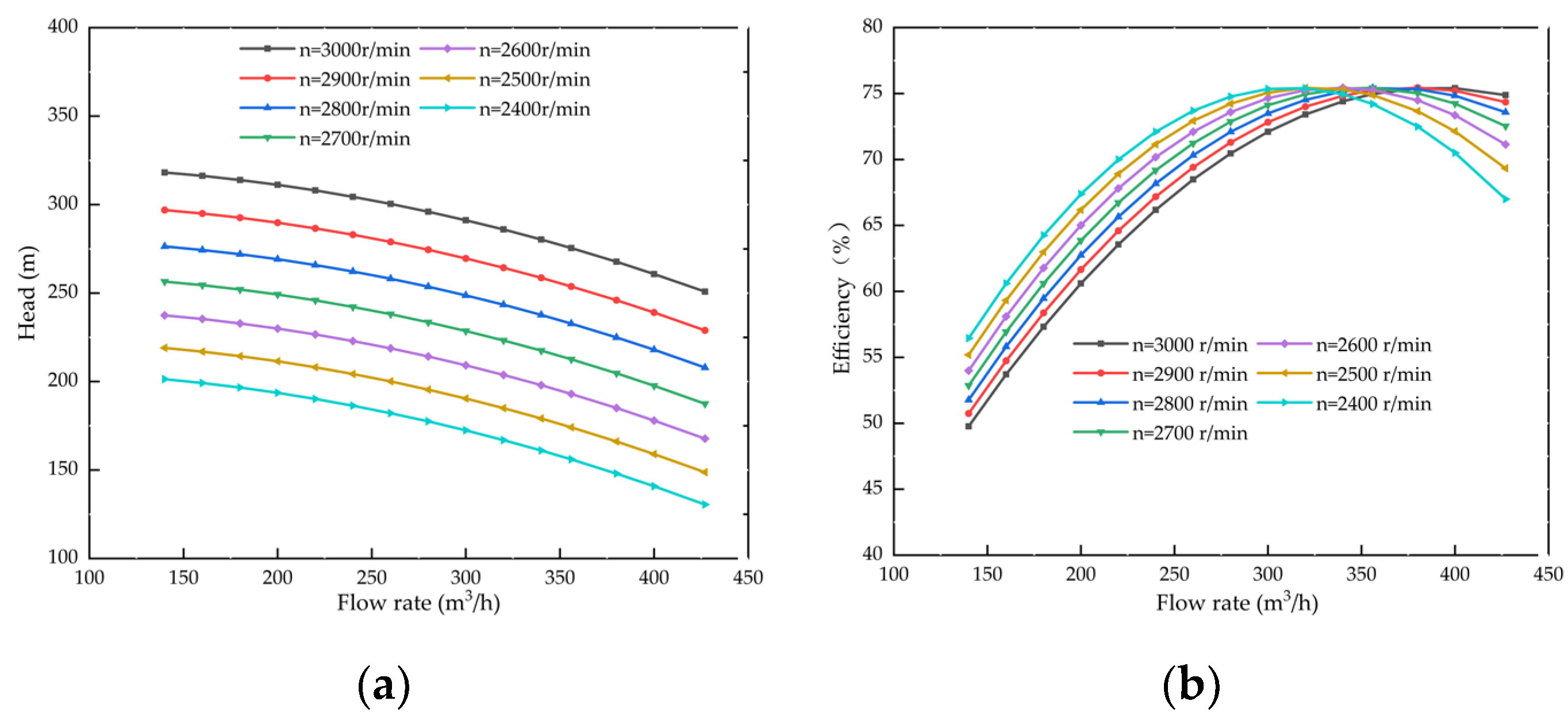
2.1.1. General LNG Submerged Pump
2.1.2. Variable Frequency LNG Submerged Pump
2.2. Mathematical Models
2.2.1. Model Assumptions
- Since the influence of variable frequency speed regulation on the performance of the LNG submerged pump motor is small, this influence is ignored;
- Do not consider the impact of LNG submerged pump maintenance on the pump open plan;
- During a period of operation, gas phase pressure and LNG density of the LNG storage tank remain unchanged, LNG tank level changes are negligible.
2.2.2. Objective Function
2.2.3. Energy Consumption of LNG Submerged Pump
2.2.4. Restrictions
- Hydraulic constraints
- Running flow constraints
- External transportation flow constraints
- Variable frequency speed regulation constraints
3. Model Solving
4. Case Study
4.1. Boundary Conditions
4.2. Operation Optimization of LNG Submerged Pump System
4.2.1. Operation Optimization based on Historical Production Data
4.2.2. On-Site Production Application of LNG Receiving Terminal
5. Conclusions
Author Contributions
Funding
Data Availability Statement
Conflicts of Interest
References
- Zhao, G.G. LNG receiving terminal Construction and Future Development in China. Petrochem. Saf. Environ. Prot. Technol. 2020, 36, 1–6. [Google Scholar]
- Zhou, S.W.; Zhu, J.L.; Shan, T.W.; Fu, Q.; Zhang, D.; Wang, J.P. Development status and outlook of natural gas and LNG industry in China. China Offshore Oil Gas 2022, 34, 1–8. [Google Scholar]
- Ai, C.L.; Huang, Y.F.; Wang, H.F.; Gu, G.B. Research on the Operating Performance of a Frequency converter-driven Cryogenic Induction Motor for a Submerged LNG Pump. Diangong Jishu Xuebao 2015, 30, 138–145. [Google Scholar]
- Boukouvala, F.; Misener, R.; Floudas, C.A. Global optimization advances in Mixed-Integer Nonlinear Programming, MINLP, and Constrained Derivative-Free Optimization, CDFO. Eur. J. Oper. Res. 2015, 252, 701–727. [Google Scholar] [CrossRef] [Green Version]
- Zhuan, X.T.; Li, W.; Yang, F. Optimal operation scheduling of a pumping station in east route of South-to-North water diversion project. Energy Procedia 2017, 105, 3031–3037. [Google Scholar] [CrossRef]
- Zhuan, X.T.; Xia, X.H. Optimal operation scheduling of a pumping station with multiple pumps. Appl. Energy 2013, 104, 250–257. [Google Scholar] [CrossRef]
- Zhuan, X.T.; Zhang, L.; Li, W.; Yang, F. Efficient operation of the fourth Huaian pumping station in east route of South-to-North Water Diversion Project. Int. J. Electr. Power Energy Syst. 2018, 98, 399–408. [Google Scholar] [CrossRef]
- Rrcan, A.; Dieter, P.; Stefan, P.A.; Liever, H. Optimal control approaches for analysis of energy use minimization of hybrid Ground-Coupled heat pump systems. IEEE Trans. Control Syst. Technol. 2016, 24, 525–540. [Google Scholar]
- Zhang, T.Y.; Cheng, Q.L.; Li, Z.M.; Zhang, J.; Meng, F.Q. Study on Optimization of Oil Pump System Deployment Based on Dynamic Programming and Similarity Theory. J. Xi’an Shiyou Univ. Nat. Sci. Ed. 2020, 35, 77–85. [Google Scholar]
- Feng, X.L.; Wang, Y.X.; Qiu, B.Y. Optimization of pumping station group operation based on optimized parameters using hybrid wolf pack algorithm. Trans. CSAE 2020, 36, 30–36. [Google Scholar]
- Meng, X.P.; Wang, H.; Liu, S.; Zhang, H. Applications of Hybrid Genetic Algorithm in Frequency Speed Control Pumping Station. In Proceedings of the 4th International Conference on Natural Computation, Jinan, China, 18–20 October 2008; pp. 337–341. [Google Scholar]
- Zhou, M.; Zhang, Y.; Jin, S.J. Dynamic optimization of heated oil pipeline operation using PSO–DE algorithm. Measurement 2015, 59, 344–351. [Google Scholar] [CrossRef]
- Chen, W.P.; Tao, T.; Zhou, A.J.; Zhang, L.; Liao, L.; Wu, X.M.; Yang, K.; Li, C.X.; Zhang, T.; Li, Z. Genetic optimization toward operation of water intake-supply pump stations system. J. Clean. Prod. 2021, 279, 123573. [Google Scholar] [CrossRef]
- Yuan, Y.; Liu, C. Pump Operation Optimization and Projection Pursuit Evaluation Strategy Based on Ant Colony Optimization. Trans. Chin. Soc. Agric. Mach. 2013, 3, 38–44. [Google Scholar]
- Wang, P.; Wang, Y.Z.; Zhang, J.; Wang, Y. Application of LINGO in the Water-supply Pumping Station in middle and small Cities. Water Wastewater Eng. 2015, 2, 115–120. [Google Scholar]
- Wang, T.; Liu, X.; Wei, B.; Ye, G.Q.; Liu, H.; Li, J.J.; Zhu, D.L. Optimal Operation and Dispatch of Water Supply Pump Station in T City. Water Resour. Power 2021, 39, 120–123, 132. [Google Scholar]
- Ye, Z.C.; Mo, X.Y.; Zhao, L. MINLP Model for Operational Optimization of LNG receiving terminals. Processes 2021, 9, 599. [Google Scholar] [CrossRef]
- Li, K.R.; Zuo, K.; Wang, J.N.; Gao, W.Y. Dynamic Programming Example Analysis of a Pump Station. In Proceedings of the International Colloquium on Computing, Communication, Control, and Management (CCCM 2010), Yangzhou, China, 20–22 August 2010; pp. 1796–1800. [Google Scholar]
- Bernier, M.A.; Bourret, B. Pumping energy and variable frequency drives. ASHRAE J. 1999, 41, 37–40. [Google Scholar]
- Zhu, J.; Zhu, Z. Shear wall structural optimization study based on LINGO and virtual work principle. Build. Sci. 2020, 36, 52–58. [Google Scholar]
- Costa, M.F.P.; Rocha, A.M.A.C.; Fernandes, E.M.G.P. Continuous Relaxation of MINLP Problems by Penalty Functions: A Practical Comparison. In Proceedings of the 17th International Conference on Computational Science and its Applications (ICCSA), Trieste, Italy, 3–6 July 2017; pp. 107–118. [Google Scholar]







| Process Parameter | Boundary Conditions |
|---|---|
| LNG storage tank pressure Ptank (kPa) | 15~22 |
| LNG storage tank level L (m) | 2.4~33.5 |
| LNG submerged pump outlet pressure P (kPa) | 1150~1350 |
| Submerged Pump Number | q (m3/h) | η (%) | N (kW) | |||
|---|---|---|---|---|---|---|
| Before Optimization | Optimized | Before Optimization | Optimized | Before Optimization | Optimized | |
| 1 | ~ | ~ | ~ | ~ | ~ | ~ |
| 2 | ~ | ~ | ~ | ~ | ~ | ~ |
| 3 | 263.17 | 237.07 | 68.82 | 65.82 | 155.87 | 149.62 |
| 4 | 254.70 | ~ | 67.91 | ~ | 153.87 | |
| 5 | 307.38 | 393.13 | 72.62 | 75.44 | 166.09 | 185.34 |
| 6 | ~ | 273.07 | ~ | 65.82 | ~ | 149.62 |
| 7 | ~ | ~ | ~ | ~ | ~ | |
| 8 | 269.35 | ~ | 69.45 | ~ | 157.33 | |
| 9 | ~ | ~ | ~ | ~ | ~ | |
| 10 | 269.35 | ~ | 69.45 | ~ | 157.33 | |
| 11 | ~ | 393.13 | ~ | 75.44 | ~ | 185.34 |
| 12 | 270.96 | 393.13 | 69.61 | 75.44 | 157.70 | 185.34 |
| Total | 1634.91 | 1653.53 | ~ | ~ | 948.19 | 855.26 |
| Submerged Pump Number | Qm: 713 t/h | Qm: 843 t/h | Qm: 1047 t/h | Qm: 1133 t/h | ||||
|---|---|---|---|---|---|---|---|---|
| n (r/min) | q (m3/h) | n (r/min) | q (m3/h) | n (r/min) | q (m3/h) | n (r/min) | q (m3/h) | |
| 1 | 3000 | 371.6 | 3000 | 371.7 | 3000 | 374.0 | 3000 | 370.6 |
| 2 | 3000 | 371.6 | 3000 | 371.7 | 3000 | 374.0 | 3000 | 370.6 |
| 3 | ~ | ~ | ~ | ~ | 3000 | 374.0 | 3000 | 370.6 |
| 4 | ~ | ~ | ~ | ~ | 3000 | 374.0 | 3000 | 370.6 |
| 5 | ~ | ~ | ~ | ~ | ~ | ~ | 3000 | 370.6 |
| 6 | ~ | ~ | ~ | ~ | ~ | ~ | 3000 | 370.6 |
| 7 | ~ | ~ | ~ | ~ | ~ | ~ | ~ | ~ |
| 8 | ~ | ~ | ~ | ~ | ~ | ~ | ~ | ~ |
| 9 | ~ | ~ | 2900 | 296.8 | ~ | ~ | ~ | ~ |
| 10 | 2900 | 296.6 | 2900 | 296.8 | 2900 | 300.6 | ~ | ~ |
| 11 | 2900 | 296.6 | 2900 | 296.8 | 2900 | 300.6 | 2800 | 185.5 |
| 12 | 2900 | 296.6 | 2900 | 296.8 | 2900 | 300.6 | 2800 | 185.5 |
| Qm (t/h) | Operating Plan | F (kW) | Operating Efficiency (%) | Energy Saving (%) | ||||
|---|---|---|---|---|---|---|---|---|
| Before Optimization | Optimized | Before Optimization | Optimized | Before Optimization | Optimized | |||
| g | v | g | ||||||
| 713 | 6 | 3 | 2 | 919.8 | 818.2 | 62.82 | 64.16 | 11.05 |
| 843 | 7 | 4 | 2 | 1079.0 | 970.6 | 62.53 | 63.93 | 10.05 |
| 1047 | 9 | 3 | 4 | 1362.3 | 1172.0 | 62.62 | 65.56 | 13.97 |
| 1133 | 9 | 2 | 6 | 1417.3 | 1289.0 | 61.85 | 63.25 | 9.05 |
| Submerged Pump Number | q (m3/h) | n (r/min) | N (kW) | |||||
|---|---|---|---|---|---|---|---|---|
| Optimized | Applied | Historical | Optimized | Applied | Optimized | Applied | Historical | |
| 1 | 372.34 | 356.23 | ~ | 3000 | 3000 | 158.66 | 155.53 | ~ |
| 2 | 372.34 | 361.93 | 265.28 | 3000 | 3000 | 158.66 | 156.69 | 156.37 |
| 3 | ~ | ~ | 243.56 | ~ | ~ | ~ | ~ | 151.20 |
| 4 | 372.34 | 352.98 | ~ | 3000 | 3000 | 158.66 | 154.87 | ~ |
| 5 | ~ | ~ | ~ | ~ | ~ | ~ | ~ | ~ |
| 6 | 372.34 | 351.59 | 257.98 | 3000 | 3000 | 158.66 | 154.59 | 154.65 |
| 7 | ~ | ~ | 241.18 | ~ | ~ | ~ | ~ | 150.62 |
| 8 | ~ | ~ | 250.13 | ~ | ~ | ~ | ~ | 152.78 |
| 9 | 194.40 | 189.35 | ~ | 2800 | 2800 | 100.74 | 99.81 | ~ |
| 10 | 194.40 | 186.29 | 272.58 | 2800 | 2800 | 100.74 | 99.17 | 158.08 |
| 11 | ~ | ~ | ~ | ~ | ~ | ~ | ~ | ~ |
| 12 | ~ | ~ | 268.07 | ~ | ~ | ~ | ~ | 157.03 |
| Total | 1878.15 | 1798.37 | 1798.78 | ~ | ~ | 969.02 | 951.84 | 1080.723 |
Publisher’s Note: MDPI stays neutral with regard to jurisdictional claims in published maps and institutional affiliations. |
© 2022 by the authors. Licensee MDPI, Basel, Switzerland. This article is an open access article distributed under the terms and conditions of the Creative Commons Attribution (CC BY) license (https://creativecommons.org/licenses/by/4.0/).
Share and Cite
Wang, B.; Chen, K.; Huang, C.; Zhao, J.; Zhang, Y.; Li, D.; Wang, L. Research on Operation Optimization of LNG Submerged Pump System in LNG Receiving Terminals. Energies 2022, 15, 3299. https://doi.org/10.3390/en15093299
Wang B, Chen K, Huang C, Zhao J, Zhang Y, Li D, Wang L. Research on Operation Optimization of LNG Submerged Pump System in LNG Receiving Terminals. Energies. 2022; 15(9):3299. https://doi.org/10.3390/en15093299
Chicago/Turabian StyleWang, Baoqing, Kun Chen, Cheng Huang, Jinrui Zhao, Yaotong Zhang, Dequan Li, and Lin Wang. 2022. "Research on Operation Optimization of LNG Submerged Pump System in LNG Receiving Terminals" Energies 15, no. 9: 3299. https://doi.org/10.3390/en15093299
APA StyleWang, B., Chen, K., Huang, C., Zhao, J., Zhang, Y., Li, D., & Wang, L. (2022). Research on Operation Optimization of LNG Submerged Pump System in LNG Receiving Terminals. Energies, 15(9), 3299. https://doi.org/10.3390/en15093299
