Design and Optimization of a Small-Scale Horizontal Axis Wind Turbine Blade for Energy Harvesting at Low Wind Profile Areas
Abstract
:1. Introduction
2. Methods
2.1. Blade Design Equations
2.2. Design Wind Speed and Blade Diameter
2.3. Design Tip Speed Ratio, Rotational Speed, and Local Tip Speed Ratio
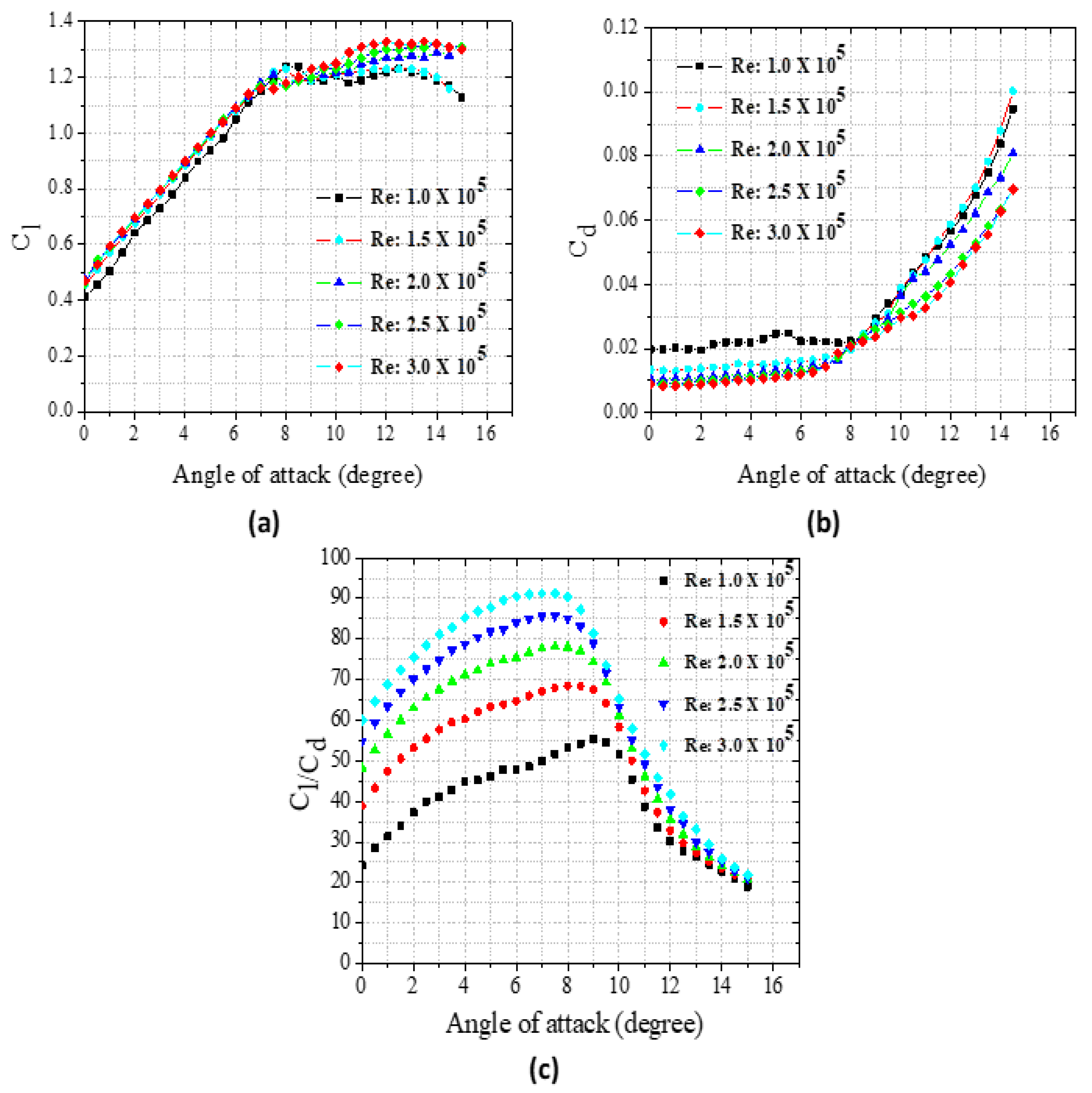
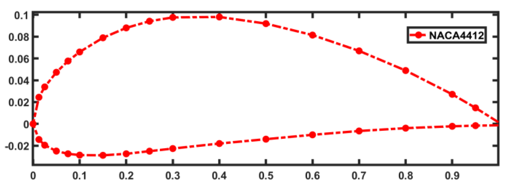
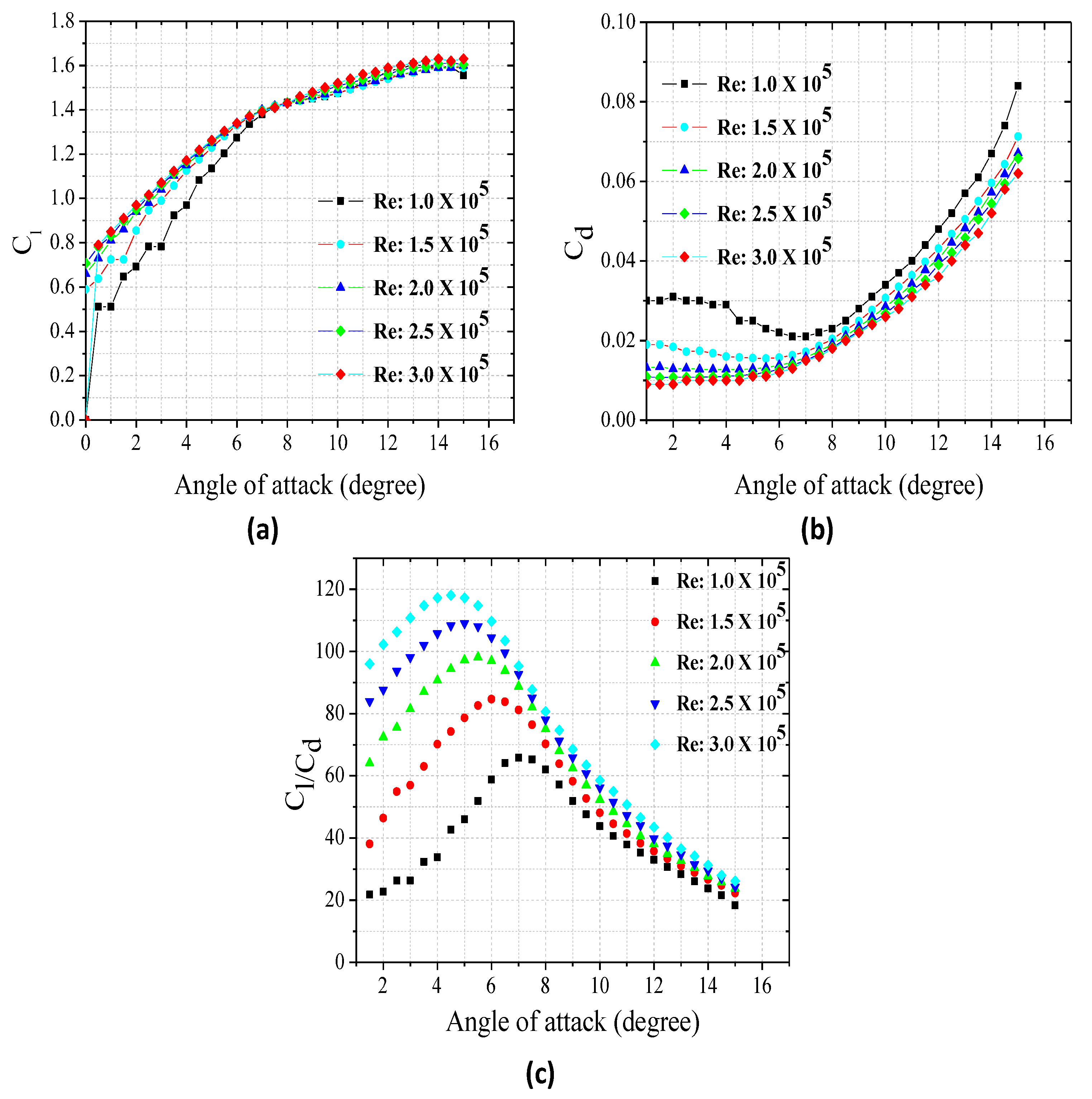
2.4. Airfoils Selection, Reynolds Numbers, and Angle of Attack
2.5. Relative Wind Angle, Twist, and Chord Distributions
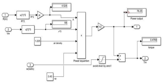
2.6. Velocity and Forces on Wind Turbine’s Blade
3. Results and Discussion
3.1. Designed Rotor Blade
3.2. Power Coefficients
3.3. Cut-in Wind Speed
3.4. Rated Powers and Rated Speeds
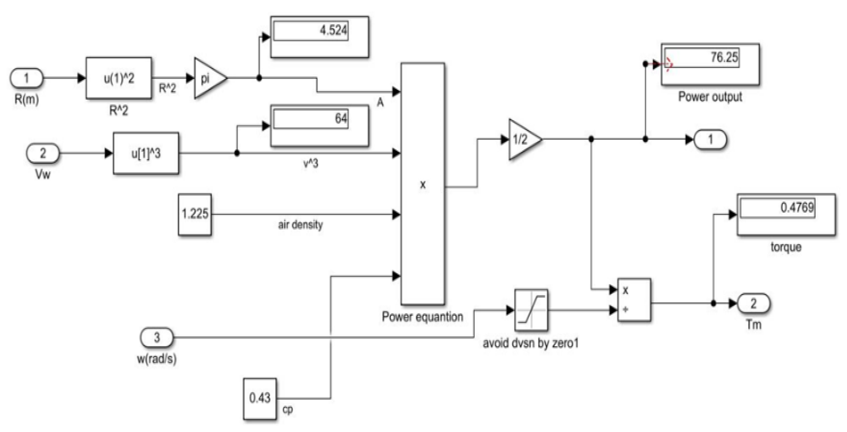
3.5. Powers Output at Design Wind Speed
3.6. Results Validation
4. Conclusions
Author Contributions
Funding
Acknowledgments
Conflicts of Interest
References
- Karthikeyan, N.; Murugavel, K.K.; Kumar, S.A.; Rajakumar, S. Review of aerodynamic developments on small horizontal axis wind turbine blade. Renew. Sustain. Energy Rev. 2015, 42, 801–822. [Google Scholar] [CrossRef]
- Buaossa, N.; Aldricy, M.; Ragab, K.; Rajab, Z.; Tahir, A.; Khalil, A. Practical design and performance evaluation of micro-wind turbine in Libya. In Proceedings of the 2018 9th International Renewable Energy Congress (IREC), Hammamet, Tunisia, 24 May 2018; pp. 1–6. [Google Scholar]
- Abbas, U.D.; Tiong, S.; Alkahtani, A.A.; Chen, C.; Alkawsi, G.; Ekanayake, J. Power Curve Evaluation of Micro-Scale Turbines for Harvesting Wind Energy in Malaysia. Appl. Math. Inf. Sci. 2021, 15, 59–71. [Google Scholar] [CrossRef]
- Muhsen, H.; Al-Kouz, W.; Khan, W. Small wind turbine blade design and optimization. Symmetry 2020, 12, 18. [Google Scholar] [CrossRef] [Green Version]
- Purusothaman, M.; Valarmathi, T.; Reddy, S.P. Selection of twist and chord distribution of horizontal axis wind turbine in low wind conditions. In IOP Conference Series: Materials Science and Engineering; IOP Publishing: Bristol, UK, 2016; Volume 149, p. 012203. [Google Scholar]
- Singh, R.K.; Ahmed, M.R. Blade design and performance testing of a small wind turbine rotor for low wind speed applications. Renew. Energy 2013, 50, 812–819. [Google Scholar] [CrossRef]
- Kale, S.A.; Varma, R.N. Aerodynamic design of a horizontal axis micro wind turbine blade using NACA 4412 profile. Int. J. Renew. Energy Res. 2014, 4, 69–72. [Google Scholar]
- Chaudhary, M.K.; Roy, A. Design & optimization of a small wind turbine blade for operation at low wind speed. World J. Eng. 2015, 12, 83–94. [Google Scholar] [CrossRef]
- Hsiao, F.-B.; Bai, C.-J.; Chong, W.-T. The performance test of three different horizontal axis wind turbine (HAWT) blade shapes using experimental and numerical methods. Energies 2013, 6, 2784–2803. [Google Scholar] [CrossRef] [Green Version]
- Rehman, S.; Alam, M.; Alhems, L.M.; Rafique, M.M. Horizontal axis wind turbine blade design methodologies for efficiency enhancement—A review. Energies 2018, 11, 506. [Google Scholar] [CrossRef] [Green Version]
- Prasad, E.N.; Janakiram, S.; Prabu, T.; Sivasubramaniam, S. Design and development of horizontal small wind turbine blade for low wind speeds. J. Eng. Sci. Adv. Technol. 2014, 4, 75–84. [Google Scholar]
- Lanzafame, R.A.; Messina, M. Fluid dynamics wind turbine design: Critical analysis, optimization and application of BEM theory. Renew. Energy 2007, 32, 2291–2305. [Google Scholar] [CrossRef]
- Scappatici, L.; Bartolini, N.; Castellani, F.; Astolfi, D.; Garinei, A.; Pennicchi, M. Optimizing the design of horizontal-axis small wind turbines: From the laboratory to market. J. Wind. Eng. Ind. Aerodyn. 2016, 154, 58–68. [Google Scholar] [CrossRef]
- Akour, S.N.; Al-Heymari, M.; Ahmed, T.; Khalil, K.A. Experimental and theoretical investigation of micro wind turbine for low wind speed regions. Renew. Energy 2018, 116, 215–223. [Google Scholar] [CrossRef]
- Manwell, J.F.; McGowan, J.G.; Rogers, A.L. Wind Energy Explained: Theory, Design and Application, 2nd ed.; John Wiley & Sons Ltd.: Chichester, UK, 2010. [Google Scholar]
- Tahani, M.; Kavari, G.; Masdari, M.; Mirhosseini, M. Aerodynamic design of horizontal axis wind turbine with innovative local linearization of chord and twist distributions. Energy 2017, 133, 572–583. [Google Scholar] [CrossRef]
- Zhu, F.; Ding, L.; Huang, B.; Bao, M.; Liu, J. Blade design and optimization of a horizontal axis tidal turbine. Ocean Eng. 2020, 195, 106652. [Google Scholar] [CrossRef]
- Khan, S.; Amin, S.; Sabir, S.; Bukhari, H. Design and Comparative Performance Analysis of Inner Rotor and Inner Stator Axial Flux Permanent Magnet Synchronous Generator for Wind turbine Applications. In Proceedings of the 2019 2nd International Conference on Computing, Mathematics and Engineering Technologies (iCoMET), Sukkur, Pakistan, 30–31 January 2019; pp. 1–7. [Google Scholar]
- Kim, T.; Lee, S.; Kim, H.; Lee, S. Design of low noise airfoil with high aerodynamic performance for use on small wind turbines. In Science in China Series E: Technological Sciences; Springer: Berlin/Heidelberg, Germany, 2010; Volume 53, pp. 75–79. [Google Scholar]
- El-Okda, Y.; Adref, K.; Chikhalsouk, M.; Al Hajjar, H. Design of a Small Horizontal Axis Wind Turbine. In Proceedings of the 2019 Advances in Science and Engineering Technology International Conferences (ASET), Dubai, United Arab Emirates, 26 March–10 April 2019; pp. 1–7. [Google Scholar] [CrossRef]
- Hassanzadeh, A.; Hassanabad, H.; Dadvand, A. Aerodynamic shape optimization and analysis of small wind turbine blades employing the Viterna approach for post-stall region. Alex. Eng. J. 2016, 55, 2035–2043. [Google Scholar] [CrossRef] [Green Version]
- Shen, X.; Yang, H.; Chen, J.; Zhu, X.; Du, Z. Aerodynamic shape optimization of non-straight small wind turbine blades. Energy Convers. Manag. 2016, 119, 266–278. [Google Scholar] [CrossRef] [Green Version]
- Sanaye, S.; Hassanzadeh, A. Multi-objective optimization of airfoil shape for efficiency improvement and noise reduction in small wind turbines. J. Renew. Sustain. Energy 2014, 6, 053105. [Google Scholar] [CrossRef] [Green Version]
- Balijepalli, R.; Chandramohan, V.; Kirankumar, K. Optimized design and performance parameters for wind turbine blades of a solar updraft tower (SUT) plant using theories of Schmitz and aerodynamics forces. Sustain. Energy Technol. Assess. 2018, 30, 192–200. [Google Scholar] [CrossRef]
- Yavuz, T.; Koç, E.; Kılkış, B.; Erol, Ö.; Balas, C.; Aydemir, T. Performance analysis of the airfoil-slat arrangements for hydro and wind turbine applications. Renew. Energy 2015, 74, 414–421. [Google Scholar] [CrossRef]
- Wen, T.W.; Palanichamy, C.; Ramasamy, G. Small wind turbines as partial solution for energy sustainability of Malaysia. Int. J. Energy Econ. Policy 2019, 9, 257–266. [Google Scholar] [CrossRef]
- Degife, W.; Sy, J.B. Design and Analysis of Small-Scale Wind Turbine as An Alternate Power Source for Addis Ababa City Residents. Int. J. Eng. Res. Technol. 2020, 9, 409–412. [Google Scholar]
- Wang, L.; Tang, X.; Liu, X. Optimized Chord and Twist Angle Distributions of Wind Turbine Blade Considering Reynolds Number Effects. Wind. Energy Mater. Eng. Policies (WEMEP). 2012. Available online: https://www.researchgate.net/publication/258994126_Optimized_chord_and_twist_angle_distributions_of_wind_turbine_blade_considering_Reynolds_number_effects (accessed on 12 March 2022).
- Chehouri, A.; Younes, R.; Ilinca, A.; Perron, J. Review of performance optimization techniques applied to wind turbines. Appl. Energy 2015, 142, 361–388. [Google Scholar] [CrossRef]
- Trchalik, J.; Gillies, E.A.; Thomson, D.G. Aeroelastic behaviour of a gyroplane rotor in axial descent and forward flight. In Proceedings of the 32nd European Rotorcraft Forum, Maastricht, The Netherlands, 12–14 September 2006. [Google Scholar]
- Pearson, C. Vertical Axis Wind Turbine Acoustics. Ph.D. Thesis, University of Cambridge, Cambridge, UK, April 2014. [Google Scholar]
























| TSR | 4 | 5 | 6 |
|---|---|---|---|
| Ω (rad/s) | 13.33 | 16.67. | 20.00 |
| Ω (rpm) | 127.3 | 152.79 | 190.99 |
Publisher’s Note: MDPI stays neutral with regard to jurisdictional claims in published maps and institutional affiliations. |
© 2022 by the authors. Licensee MDPI, Basel, Switzerland. This article is an open access article distributed under the terms and conditions of the Creative Commons Attribution (CC BY) license (https://creativecommons.org/licenses/by/4.0/).
Share and Cite
Umar, D.A.; Yaw, C.T.; Koh, S.P.; Tiong, S.K.; Alkahtani, A.A.; Yusaf, T. Design and Optimization of a Small-Scale Horizontal Axis Wind Turbine Blade for Energy Harvesting at Low Wind Profile Areas. Energies 2022, 15, 3033. https://doi.org/10.3390/en15093033
Umar DA, Yaw CT, Koh SP, Tiong SK, Alkahtani AA, Yusaf T. Design and Optimization of a Small-Scale Horizontal Axis Wind Turbine Blade for Energy Harvesting at Low Wind Profile Areas. Energies. 2022; 15(9):3033. https://doi.org/10.3390/en15093033
Chicago/Turabian StyleUmar, Dallatu Abbas, Chong Tak Yaw, Siaw Paw Koh, Sieh Kiong Tiong, Ammar Ahmed Alkahtani, and Talal Yusaf. 2022. "Design and Optimization of a Small-Scale Horizontal Axis Wind Turbine Blade for Energy Harvesting at Low Wind Profile Areas" Energies 15, no. 9: 3033. https://doi.org/10.3390/en15093033
APA StyleUmar, D. A., Yaw, C. T., Koh, S. P., Tiong, S. K., Alkahtani, A. A., & Yusaf, T. (2022). Design and Optimization of a Small-Scale Horizontal Axis Wind Turbine Blade for Energy Harvesting at Low Wind Profile Areas. Energies, 15(9), 3033. https://doi.org/10.3390/en15093033

