A New Short Term Electrical Load Forecasting by Type-2 Fuzzy Neural Networks
Abstract
:1. Introduction
- Introducing a new structure of type-2 RFNN with high accuracy for time series forecasting;
- The practical extraction of electricity load data in Kermanshah and its documentation;
- The ability to enter new data without calculations from the beginning.
2. Load Forecasting Theory
- Multivariate simulation for large systems with multiple and varied data, providing accurate results;
- Fitting and extrapolating load growth from past to future, which is a more general approach than the first method.
Time Domain Forecasting
- Long-term (5 to 30 years), economic statistical forecasting that plays a key role in the economic planning of production capacity and transmission networks;
- Mid-term (1 month to 5 years), mainly used for fuel consumption planning, maintenance and maintenance planning, financing, and tariff planning;
- Short-term (1 day to several weeks), for daily and weekly scheduling, optimum power generation (voltage-reactive power optimization, scheduling for the reserved power required, storage pump operation time) and electricity exchange partners are used;
- Very-short-term (minutes to several hours), providing the information needed to distribute the economic burden and estimate the reliability. Very-short-term forecasts (minutes to hours) are also useful for scheduling power switches between companies and studying transmission imputations.
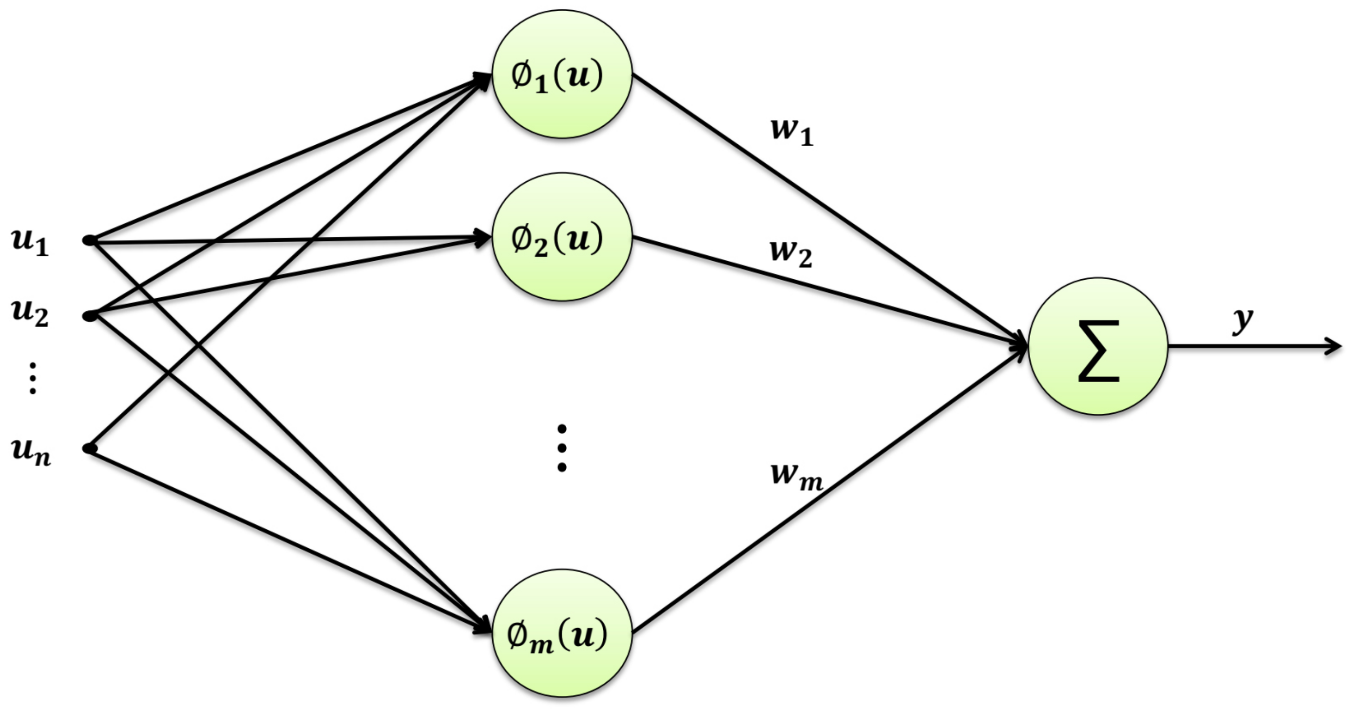
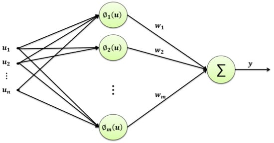
3. Recurrent Fuzzy Neural Network
4. Recurrent Type-2 Fuzzy RBFN for Load Forecasting
5. Results and Discussion
6. Conclusions
Author Contributions
Funding
Institutional Review Board Statement
Informed Consent Statement
Data Availability Statement
Conflicts of Interest
References
- Hora, C.; Dan, F.C.; Bendea, G.; Secui, C. Residential Short-Term Load Forecasting during Atypical Consumption Behavior. Energies 2022, 15, 291. [Google Scholar] [CrossRef]
- Sowinski, J. The Impact of the Selection of Exogenous Variables in the ANFIS Model on the Results of the Daily Load Forecast in the Power Company. Energies 2021, 14, 345. [Google Scholar] [CrossRef]
- Secui, D.C.; Bendea, G.; Cristina, H. A modified harmony search algorithm for the economic dispatch problem. Stud. Inform. Control 2014, 23, 144. [Google Scholar] [CrossRef] [Green Version]
- Zhou, M.; Hu, T.; Bian, K.; Lai, W.; Hu, F.; Hamrani, O.; Zhu, Z. Short-Term Electric Load Forecasting Based on Variational Mode Decomposition and Grey Wolf Optimization. Energies 2021, 14, 4890. [Google Scholar] [CrossRef]
- Hu, T.; Zhou, M.; Bian, K.; Lai, W.; Zhu, Z. Short-Term Load Probabilistic Forecasting Based on Improved Complete Ensemble Empirical Mode Decomposition with Adaptive Noise Reconstruction and Salp Swarm Algorithm. Energies 2022, 15, 147. [Google Scholar] [CrossRef]
- Li, M.; Dizaji, H.S.; Asaadi, S.; Jarad, F.; Anqi, A.E.; Wae-hayee, M. Thermo-economic, exergetic and mechanical analysis of thermoelectric generator with hollow leg structure; impact of leg cross-section shape and hollow-to-filled area ratio. Case Stud. Therm. Eng. 2021, 27, 101314. [Google Scholar] [CrossRef]
- Shirzadi, N.; Nizami, A.; Khazen, M.; Nik-Bakht, M. Medium-term regional electricity load forecasting through machine learning and deep learning. Designs 2021, 5, 27. [Google Scholar] [CrossRef]
- Toloo, M.; Taghizadeh-Yazdi, M.; Mohammadi-Balani, A. Multi-objective centralization-decentralization trade-off analysis for multi-source renewable electricity generation expansion planning: A case study of Iran. Comput. Ind. Eng. 2022, 164, 107870. [Google Scholar] [CrossRef]
- Girdhar, M.; Hong, J.; Lee, H.; Song, T.j. Hidden Markov Models based Anomaly Correlations for the Cyber-Physical Security of EV Charging Stations. IEEE Trans. Smart Grid 2021. [Google Scholar] [CrossRef]
- Qiao, Q.; Yunusa-Kaltungo, A.; Edwards, R.E. Towards developing a systematic knowledge trend for building energy consumption prediction. J. Build. Eng. 2021, 35, 101967. [Google Scholar] [CrossRef]
- Kebriaei, H.; Kamalinejad, H.; Nadjar Araabi, B. Short term load forecast by using Locally Linear Embedding manifold learning and a hybrid RBF-Fuzzy network. Signal Data Process. 2019, 16, 41–56. [Google Scholar] [CrossRef] [Green Version]
- Khwaja, A.S.; Anpalagan, A.; Naeem, M.; Venkatesh, B. Joint bagged-boosted artificial neural networks: Using ensemble machine learning to improve short-term electricity load forecasting. Electr. Power Syst. Res. 2020, 179, 106080. [Google Scholar] [CrossRef]
- Dudek, G. Short-term load forecasting using neural networks with pattern similarity-based error weights. Energies 2021, 14, 3224. [Google Scholar] [CrossRef]
- Amorim, A.J.; Abreu, T.A.; Tonelli-Neto, M.S.; Minussi, C.R. A new formulation of multinodal short-term load forecasting based on adaptive resonance theory with reverse training. Electr. Power Syst. Res. 2020, 179, 106096. [Google Scholar] [CrossRef]
- Tavoosi, J.; Suratgar, A.A.; Menhaj, M.B. Stable ANFIS2 for nonlinear system identification. Neurocomputing 2016, 182, 235–246. [Google Scholar] [CrossRef]
- Tavoosi, J.; Suratgar, A.A.; Menhaj, M.B. Stability analysis of recurrent type-2 TSK fuzzy systems with nonlinear consequent part. Neural Comput. Appl. 2017, 28, 47–56. [Google Scholar] [CrossRef]
- Dudek, G. Data-Driven Learning of Feedforward Neural Networks with Different Activation Functions. In Proceedings of the International Conference on Artificial Intelligence and Soft Computing, Zakopane, Poland, 19–23 June 2021; Springer: Berlin/Heidelberg, Germany, 2021; pp. 66–77. [Google Scholar]
- Xia, G.; Xue, P.; Zhang, D.; Liu, Q. Likelihood-constrained coupled space learning for motion synthesis. Inf. Sci. 2021, 579, 72–88. [Google Scholar] [CrossRef]
- Sowinski, J. Application of Real Options Approach to Analyse Economic Efficiency of Power Plant with CCS Installation under Uncertainty. Energies 2022, 15, 1050. [Google Scholar] [CrossRef]
- Tavoosi, J. PMSM speed control based on intelligent sliding mode technique. COMPEL Int. J. Comput. Math. Electr. Electron. Eng. 2020, 39, 1315–1328. [Google Scholar] [CrossRef]
- Liu, G.; Xiao, F.; Lin, C.T.; Cao, Z. A fuzzy interval time-series energy and financial forecasting model using network-based multiple time-frequency spaces and the induced-ordered weighted averaging aggregation operation. IEEE Trans. Fuzzy Syst. 2020, 28, 2677–2690. [Google Scholar] [CrossRef]
- Lv, L.; Wang, J.; Long, J. Interval Type-2 Fuzzy Logic Anti-Lock Braking Control for Electric Vehicles under Complex Road Conditions. Sustainability 2021, 13, 11531. [Google Scholar] [CrossRef]
- Li, M.; Mahdi, J.M.; Mohammed, H.I.; Bokov, D.O.; Mahmoud, M.Z.; Naghizadeh, A.; Talebizadehsardari, P.; Yaïci, W. Solidification Enhancement in a Multi-Tube Latent Heat Storage System for Efficient and Economical Production: Effect of Number, Position and Temperature of the Tubes. Nanomaterials 2021, 11, 3211. [Google Scholar] [CrossRef] [PubMed]
- Czarnowski, I.; Jędrzejowicz, J.; Jędrzejowicz, P. Designing RBFNs structure using similarity-based and kernel-based fuzzy C-means clustering algorithms. IEEE Access 2020, 9, 4411–4422. [Google Scholar] [CrossRef]
- Ma, D.; Song, M.; Yu, P.; Li, J. Research of RBF-PID control in maglev system. Symmetry 2020, 12, 1780. [Google Scholar] [CrossRef]
- Zheng, B.; Zhong, M.; Mao, B. RBF Neural Network Based on TS Fuzzy Model Adaptive Learning Algorithm and Application. In Proceedings of the 2019 IEEE 8th Joint International Information Technology and Artificial Intelligence Conference (ITAIC), Chongqing, China, 24–26 May 2019; pp. 1084–1088. [Google Scholar]
- Wang, H.; Liu, D.H.; Yu, L.; Chen, G.J.; Yan, H.P.; Tian, M.W.; Huang, H.L.; Yan, S.R.; Wang, L.N.; Li, W.H. Analysis on the reading guidance to classics in the teaching of specialized courses in tourism undergraduate education in China. Int. J. Electr. Eng. Educ. 2020. [Google Scholar] [CrossRef]
- Long, J.; Huang, W.; Zhang, W. Lightweight investigation of extended-range electric vehicle based on collision failure using numerical simulation. Shock Vib. 2015, 2015. [Google Scholar] [CrossRef] [Green Version]
- Dahiya, S.; Gosain, A.; Gupta, S. RKT2FCM: RBF Kernel-Based Type-2 Fuzzy Clustering. In Proceedings of the International Conference on Innovative Computing & Communications (ICICC), Valladolid, Spain, 20–22 February 2020. [Google Scholar]
- Mendel, J.M. On KM algorithms for solving type-2 fuzzy set problems. IEEE Trans. Fuzzy Syst. 2012, 21, 426–446. [Google Scholar] [CrossRef]
- Tavoosi, J.; Suratgar, A.A.; Menhaj, M.B. Nonlinear system identification based on a self-organizing type-2 fuzzy RBFN. Eng. Appl. Artif. Intell. 2016, 54, 26–38. [Google Scholar] [CrossRef]












Publisher’s Note: MDPI stays neutral with regard to jurisdictional claims in published maps and institutional affiliations. |
© 2022 by the authors. Licensee MDPI, Basel, Switzerland. This article is an open access article distributed under the terms and conditions of the Creative Commons Attribution (CC BY) license (https://creativecommons.org/licenses/by/4.0/).
Share and Cite
Tian, M.-W.; Alattas, K.; El-Sousy, F.; Alanazi, A.; Mohammadzadeh, A.; Tavoosi, J.; Mobayen, S.; Skruch, P. A New Short Term Electrical Load Forecasting by Type-2 Fuzzy Neural Networks. Energies 2022, 15, 3034. https://doi.org/10.3390/en15093034
Tian M-W, Alattas K, El-Sousy F, Alanazi A, Mohammadzadeh A, Tavoosi J, Mobayen S, Skruch P. A New Short Term Electrical Load Forecasting by Type-2 Fuzzy Neural Networks. Energies. 2022; 15(9):3034. https://doi.org/10.3390/en15093034
Chicago/Turabian StyleTian, Man-Wen, Khalid Alattas, Fayez El-Sousy, Abdullah Alanazi, Ardashir Mohammadzadeh, Jafar Tavoosi, Saleh Mobayen, and Paweł Skruch. 2022. "A New Short Term Electrical Load Forecasting by Type-2 Fuzzy Neural Networks" Energies 15, no. 9: 3034. https://doi.org/10.3390/en15093034
APA StyleTian, M.-W., Alattas, K., El-Sousy, F., Alanazi, A., Mohammadzadeh, A., Tavoosi, J., Mobayen, S., & Skruch, P. (2022). A New Short Term Electrical Load Forecasting by Type-2 Fuzzy Neural Networks. Energies, 15(9), 3034. https://doi.org/10.3390/en15093034

