Sign in to use this feature.

Years

Between: -

Subjects

remove_circle_outline
remove_circle_outline
remove_circle_outline
remove_circle_outline
remove_circle_outline
remove_circle_outline
remove_circle_outline
remove_circle_outline
remove_circle_outline

Journals

remove_circle_outline
remove_circle_outline
remove_circle_outline
remove_circle_outline
remove_circle_outline
remove_circle_outline
remove_circle_outline
remove_circle_outline
remove_circle_outline

Article Types

Countries / Regions

remove_circle_outline
remove_circle_outline
remove_circle_outline
remove_circle_outline
remove_circle_outline

Search Results (2,162)

Search Parameters:
Keywords = blade design

Order results
Result details
Results per page
Select all
Export citation of selected articles as:
22 pages, 8990 KB  
Article
Rotor–Stator Configuration in Gas-Inducing Reactors: Effects of Blade Number and Thickness on Gas Holdup
by Ehsan Zamani Abyaneh, Farhad Ein-Mozaffari and Ali Lohi
Processes 2026, 14(2), 354; https://doi.org/10.3390/pr14020354 (registering DOI) - 19 Jan 2026
Abstract
Gas-inducing reactors (GIRs) are widely used in applications where external gas recycling is unsafe or operationally restricted, yet quantitative design guidelines for impeller–stator geometry remain scarce, despite its strong influence on gas dispersion and retention. This study investigates the effects of stator blade [...] Read more.
Gas-inducing reactors (GIRs) are widely used in applications where external gas recycling is unsafe or operationally restricted, yet quantitative design guidelines for impeller–stator geometry remain scarce, despite its strong influence on gas dispersion and retention. This study investigates the effects of stator blade number and blade thickness on gas holdup in a double-impeller GIR using a three-dimensional Euler–Euler CFD framework. Stator configurations with 12–48 blades and blade thicknesses of 1.5–45 mm were examined and validated against experimental data, with gas holdup predictions agreeing within 5–10%. The results show that the stator open-area fraction (ϕA) is the dominant geometric parameter governing the balance between radial dispersion and axial confinement. High-ϕA stators (fewer, thinner blades) enhance bulk recirculation and bubble residence time, increasing gas holdup by up to ~20% relative to dense stator designs, whereas low-ϕA stators suppress macro-circulation, promote axial gas transport, and reduce holdup despite higher local dissipation near the rotor–stator gap. A modified gas-holdup correlation incorporating ϕA is proposed, yielding strong agreement with CFD and experimental data (R2 = 0.96). Torque analysis further reveals competing effects between impeller gassing, which lowers hydraulic loading, and increased flow resistance at low ϕA, which elevates torque. Overall, the results provide quantitative guidance on how stator blade number and thickness influence gas holdup, enabling informed stator design and optimization in GIRs to improve gas dispersion through rational geometric selection rather than trial and error approaches. Full article
(This article belongs to the Special Issue Modeling and Optimization for Multi-scale Integration)
18 pages, 2899 KB  
Article
Numerical Investigation on Drag Reduction Mechanisms of Biomimetic Microstructure Surfaces
by Jiangpeng Liu, Jie Xu, Chaogang Ding, Debin Shan and Bin Guo
Biomimetics 2026, 11(1), 77; https://doi.org/10.3390/biomimetics11010077 (registering DOI) - 18 Jan 2026
Abstract
Biomimetic microstructured surfaces offer a promising passive strategy for drag reduction in marine and aerospace applications. This study employs computational fluid dynamics (CFD) simulations to systematically investigate the drag reduction performance and mechanisms of groove-type microstructures, addressing both geometry selection and dimensional optimization. [...] Read more.
Biomimetic microstructured surfaces offer a promising passive strategy for drag reduction in marine and aerospace applications. This study employs computational fluid dynamics (CFD) simulations to systematically investigate the drag reduction performance and mechanisms of groove-type microstructures, addressing both geometry selection and dimensional optimization. Three representative geometries (V-groove, blade-groove, and arc-groove) were compared under identical flow conditions (inflow velocity 5 m/s, Re = 7.5 × 105) using the shear-stress-transport (SST k-ω) turbulence model, and the third-generation Ω criterion was employed for threshold-independent vortex identification. The results establish a clear performance hierarchy: blade-groove achieves the highest drag reduction rate of 18.2%, followed by the V-groove (16.5%) and arc-groove (14.7%). The analysis reveals that stable near-wall microvortices form dynamic vortex isolation layers that separate the high-speed flow from the groove valleys, with blade grooves generating the strongest and most fully developed vortex structures. A parametric study of blade-groove aspect ratios (h+/s+ = 0.35–1.0) further demonstrates that maintaining h+/s+ ≥ 0.75 preserves effective vortex-isolation layers, whereas reducing h+/s+ below 0.6 causes vortex collapse and performance degradation. These findings establish a comprehensive design framework combining geometry selection (blade-groove > V-groove > arc-groove) with dimensional optimization criteria, providing quantitative guidance for practical biomimetic drag-reducing surfaces. Full article
(This article belongs to the Special Issue Adhesion and Friction in Biological and Bioinspired Systems)
Show Figures

Figure 1

24 pages, 6013 KB  
Article
Sustainable Retaining Structures Made from Decommissioned Wind Turbine Blades and Recycled Infill Materials
by Aleksander Duda and Tomasz Siwowski
Sustainability 2026, 18(2), 966; https://doi.org/10.3390/su18020966 (registering DOI) - 17 Jan 2026
Viewed by 139
Abstract
In recent years, new methods to reuse, repurpose, recycle, and recover decommissioned wind turbine blades (dWTBs) have actively been developed in the wind industry. In this study, the authors address the scientific challenge of repurposing decommissioned wind turbine blades for earthwork applications, particularly [...] Read more.
In recent years, new methods to reuse, repurpose, recycle, and recover decommissioned wind turbine blades (dWTBs) have actively been developed in the wind industry. In this study, the authors address the scientific challenge of repurposing decommissioned wind turbine blades for earthwork applications, particularly as part of retaining structures. A gravity retaining structure made entirely from recycled materials is introduced, consisting of glass fibre-reinforced polymer (GFRP) composite modular units derived from dWTBs. To improve the structure’s sustainability, a mixture of typical sand and lightweight waste materials is considered for filling and backfilling of the GFRP units. In particular, two waste materials are examined—a polymer foil derived from recycled laminated glass and tyre-derived aggregate (TDA) in the form of rubber powder—which are incorporated into the sand matrix in typical dry mass proportions ranging from 2% to 32% and 5% to 20%, respectively, reflecting practical ranges considered in geotechnical backfill applications. The research involved material testing of all recyclates and their mixtures with standard sand, as well as two-dimensional finite-element (2D FE) analysis of a retaining structure using the determined material properties. To facilitate the real-world implementation of this novel technology, a structure was designed to account for ground conditions at a specific site to protect against an existing landslide. In summary, this study presents the concept of a sustainable retaining structure along with results from material tests and an initial design for implementation, supported by FE analysis of overall stability. Full article
(This article belongs to the Section Environmental Sustainability and Applications)
Show Figures

Figure 1

20 pages, 1178 KB  
Article
Performance of the Bebé VieScope Versus Direct Laryngoscopy During Pediatric Cardiopulmonary Resuscitation: A Prospective Randomized Simulation Study
by Pawel Wieczorek, Halla Kaminska, Michal Pruc, Wojciech Wieczorek, Katarzyna Karczewska, Jacek Smereka, Şahin Çolak and Lukasz Szarpak
Children 2026, 13(1), 137; https://doi.org/10.3390/children13010137 - 17 Jan 2026
Viewed by 61
Abstract
Background/Objectives: Effective airway management during pediatric cardiopulmonary resuscitation (CPR) is crucial but technically challenging, especially during continuous chest compressions. While direct laryngoscopy with Macintosh (MAC) or Miller (MIL) blades remains the standard, optical devices such as the VieScope (VSL) may enhance performance [...] Read more.
Background/Objectives: Effective airway management during pediatric cardiopulmonary resuscitation (CPR) is crucial but technically challenging, especially during continuous chest compressions. While direct laryngoscopy with Macintosh (MAC) or Miller (MIL) blades remains the standard, optical devices such as the VieScope (VSL) may enhance performance under dynamic resuscitation conditions. This study compared first-pass success and intubation time, as well as procedural difficulty and glottic visualization, of MAC, MIL, and VSL during simulated pediatric cardiopulmonary resuscitation. Methods: This prospective, randomized crossover simulation study involved 53 medical students. Participants performed endotracheal intubation on a high-fidelity manikin simulating a 5-year-old pediatric patient using MAC, MIL, and the Bebé VieScope laryngoscope. Each technique was evaluated in two scenarios: with and without continuous chest compressions. Results: Without chest compressions, first-pass success (FPS) and intubation time varied significantly between techniques. VSL achieved the highest FPS (100%; p = 0.032) and the shortest intubation time (27.9 ± 9.2 s; p = 0.040), performing faster than MIL and achieving higher FPS than MAC. Visualization quality, ease of intubation, and optimization maneuvers were similar across techniques. During continuous chest compressions, all outcomes differed significantly. FPS increased from MAC to MIL and VSL (p = 0.001), with MAC showing the lowest success rate. VSL showed the shortest intubation time (35.9 ± 13.0 s; p < 0.001), better glottic visualization, easier intubation, and fewer optimization maneuvers, followed by MIL. Conclusions: In this simulated pediatric cardiac arrest model, the VieScope laryngoscope demonstrated superior overall performance, especially during uninterrupted chest compressions. Optical tubular laryngoscopy may therefore provide clinically relevant benefits in pediatric resuscitation where maintaining high-quality chest compressions is crucial. Given the manikin-based design of this study, confirmation of these findings in clinical pediatric cardiac arrest settings will require further prospective clinical investigation. Full article
Show Figures

Figure 1

33 pages, 5868 KB  
Article
Blade Design and Field Tests of the Orchard Lateral Grass Discharge Mowing Device
by Hao Guo, Lixing Liu, Jianping Li, Yang Li, Sibo Tian, Pengfei Wang and Xin Yang
Agriculture 2026, 16(2), 235; https://doi.org/10.3390/agriculture16020235 - 16 Jan 2026
Viewed by 165
Abstract
Targeted coverage of crushed grass segments under the fruit tree canopy synergistically achieves the agronomic goals of soil moisture conservation, weed suppression, and soil fertility improvement. To address issues like incomplete grass cutting and high risk of damaging fruit trees in complex orchard [...] Read more.
Targeted coverage of crushed grass segments under the fruit tree canopy synergistically achieves the agronomic goals of soil moisture conservation, weed suppression, and soil fertility improvement. To address issues like incomplete grass cutting and high risk of damaging fruit trees in complex orchard environments with traditional mowing devices, a lateral grass discharge blade for orchard mowers was designed. Based on airflow field theory, the dynamic basis of the airflow field, critical conditions for carrying crushed grass segments, and their movement laws on the blade and in the air were analyzed to identify key factors affecting discharge. CFD simulations were conducted using the Flow Simulation module of SolidWorks 2021 to explore the effects of the blade airfoil’s long side, short side lengths, and horizontal included angle on the outlet velocity and outlet volumetric flow rate of crushed grass segments, determining the reasonable parameter range. With these three as test factors and the two indicators above, orthogonal tests and parameter optimization were performed via Design-Expert 13.0 software, yielding optimal parameters: long side 125 mm, short side 35 mm, horizontal included angle 60°, corresponding to 9.105 m/s outlet velocity and 0.045 m3/s volume flow rate. A prototype mowing device with these parameters was fabricated for orchard field tests. Results show an average stubble stability coefficient of 94.2%, average over-stubble loss rate of 0.39%, and crushed grass segment distribution variation coefficient of 23.8%, meeting orchard mower operation requirements and providing technical support for orchard weed mowing, coverage, and utilization. Full article
(This article belongs to the Section Agricultural Technology)
Show Figures

Figure 1

19 pages, 5793 KB  
Article
Computational Study of Hybrid Propeller Configurations
by Mingtai Chen, Tianming Liu, Jack Edwards and Tiegang Fang
Aerospace 2026, 13(1), 94; https://doi.org/10.3390/aerospace13010094 - 15 Jan 2026
Viewed by 92
Abstract
This study presents the first computational investigation of hybrid propeller configurations that combine toroidal and conventional blade geometries. Using Delayed Detached Eddy Simulation (DDES) with the Shear Stress Transport (SST) kω model for flow analysis and the Ffowcs Williams and Hawkings [...] Read more.
This study presents the first computational investigation of hybrid propeller configurations that combine toroidal and conventional blade geometries. Using Delayed Detached Eddy Simulation (DDES) with the Shear Stress Transport (SST) kω model for flow analysis and the Ffowcs Williams and Hawkings (FW–H) formulation for aeroacoustic prediction, five hybrid propeller designs were evaluated: a baseline model and four variants with modified loop-element spacing. The results show that the V-Gap-S configuration achieves the highest figure of merit (FM), producing over 10% improvement in propeller performance relative to the baseline, while also exhibiting the lowest turbulence kinetic energy (TKE) levels across multiple radial planes. Aeroacoustic analysis reveals quadrupole-like directivity for primary tonal noise, primarily driven by blade tip–vortex interactions, with primary tonal noise strongly correlated with thrust. Broadband noise and overall sound pressure level (OASPL) exhibited dipole-like patterns, influenced by propeller torque and FM, respectively. Comparisons of surface pressure, vorticity, and time derivatives of acoustic pressure further elucidate the mechanisms linking blade spacing to aerodynamic loading and noise generation. The results demonstrate that aerodynamic performance and aeroacoustics are strongly coupled and that meaningful noise reduction claims require performance conditions to be matched. Full article
(This article belongs to the Section Aeronautics)
Show Figures

Figure 1

20 pages, 3938 KB  
Article
Comparative Structural and Hydraulic Assessment of a DN3000 Double Eccentric Butterfly Valve Blade Using a Coupled CFD–FEM Approach
by Xolani Prince Hadebe, Bernard Xavier Tchomeni Kouejou, Alfayo Anyika Alugongo and Desejo Filipeson Sozinando
Appl. Mech. 2026, 7(1), 7; https://doi.org/10.3390/applmech7010007 - 15 Jan 2026
Viewed by 124
Abstract
Large-diameter butterfly valves are essential control components in high-flow hydraulic systems, where blade geometry directly impacts operational reliability, energy efficiency, and lifecycle cost. This study presents an integrated structural–hydraulic optimization of a DN3000 Boving butterfly valve blade rated for a maximum operating pressure [...] Read more.
Large-diameter butterfly valves are essential control components in high-flow hydraulic systems, where blade geometry directly impacts operational reliability, energy efficiency, and lifecycle cost. This study presents an integrated structural–hydraulic optimization of a DN3000 Boving butterfly valve blade rated for a maximum operating pressure of 10 bar with comparative analysis of a conventional flat blade and an optimized curved blade. The work applies a CFD–FEM framework specifically to DN3000 Southern African valves, which is rare in the literature. Numerical simulations evaluated stress distribution, deformation, pressure losses, and flow stability under design and hydrostatic test conditions. The curved blade achieved a 58.6% reduction in peak von Mises stress, a 50% reduction in weight, a 22% reduction in load loss, and a 33% reduction in actuation torque requirements, while maintaining seal integrity. Cost analysis revealed a 50% reduction in material costs and simplification of manufacturing. The results confirm that the introduction of curvature significantly improves structural strength and hydraulic efficiency, thus providing a reproducible framework for the design of lighter and more economical valves in hydropower, municipal and industrial applications. Full article
Show Figures

Figure 1

18 pages, 5990 KB  
Article
Research on Gait Planning for Wind Turbine Blade Climbing Robots Based on Variable-Cell Mechanisms
by Hao Lu, Guanyu Wang, Wei Zhang, Mingyang Shao and Xiaohua Shi
Sensors 2026, 26(2), 547; https://doi.org/10.3390/s26020547 - 13 Jan 2026
Viewed by 186
Abstract
To address the complex surface curvature, massive dimensions, and variable pitch angles of wind turbine blades, this paper proposes a climbing robot design based on a variable-cell mechanism. By dynamically adjusting the support span and body posture, the robot adapts to the geometric [...] Read more.
To address the complex surface curvature, massive dimensions, and variable pitch angles of wind turbine blades, this paper proposes a climbing robot design based on a variable-cell mechanism. By dynamically adjusting the support span and body posture, the robot adapts to the geometric features of different blade regions, enabling stable and efficient non-destructive inspection operations. Two reconfigurable configurations—a planar quadrilateral and a regular hexagon—are proposed based on the geometric characteristics of different blade regions. The configuration switching conditions and multi-leg cooperative control mechanisms are investigated. Through static stability margin analysis, the stable gait space and maximum stride length for each configuration are determined, optimizing the robot’s motion performance on surfaces with varying curvature. Simulation and experimental results demonstrate that the proposed multi-configuration gait planning strategy exhibits excellent adaptability and climbing stability across segments of varying curvature. This provides a theoretical foundation and methodological support for the engineering application of robots in wind turbine blade maintenance. Full article
Show Figures

Figure 1

26 pages, 11216 KB  
Article
Comparative Study on the Performance of a Conventional Two-Blade and a Three-Blade Toroidal Propeller for UAVs
by Daniel Mariuta, Claudiu Ignat and Grigore Cican
Eng 2026, 7(1), 42; https://doi.org/10.3390/eng7010042 - 13 Jan 2026
Viewed by 228
Abstract
This paper presents an integrated study on the design, simulation, manufacturing, and experimental testing of a three-blade tritoroidal propeller compared to a conventional two-blade configuration for small UAVs. The aerodynamic analysis was performed in ANSYS Fluent 2022 R1 using the k–ω SST turbulence [...] Read more.
This paper presents an integrated study on the design, simulation, manufacturing, and experimental testing of a three-blade tritoroidal propeller compared to a conventional two-blade configuration for small UAVs. The aerodynamic analysis was performed in ANSYS Fluent 2022 R1 using the k–ω SST turbulence model at 6000 rpm, while structural integrity was assessed through FEM simulations in ANSYS Mechanical 2022 R1. Both propellers were fabricated via SLA additive manufacturing using Rigid 4000 resin and evaluated on an RCbenchmark 1585 test stand. The CFD results revealed smoother flow attachment and reduced tip vortex intensity for the tritoroidal geometry, while FEM analyses confirmed lower deformation and a more uniform stress distribution. Experimental tests showed that the tritoroidal propeller produces thrust comparable to the conventional one (within 1%) but at a 58% higher torque, resulting in slightly lower efficiency. However, vibration amplitude decreased by up to 70%, and the SPL was reduced by 0.1–6.2 dB at low and moderate speeds. These results validate the tritoroidal concept as a structurally robust and acoustically efficient alternative, with strong potential for optimization in low-noise UAV propulsion systems. Full article
(This article belongs to the Special Issue Interdisciplinary Insights in Engineering Research)
Show Figures

Figure 1

21 pages, 3769 KB  
Article
Response Surface Methodology-Driven Design Optimization for Ducted Fans
by Weijie Gong, Kaihua Fu and Hong Chen
Aerospace 2026, 13(1), 76; https://doi.org/10.3390/aerospace13010076 - 11 Jan 2026
Viewed by 242
Abstract
Due to the complexity of aerodynamic coupling between the duct and propeller, the overall design and optimization of ducted fans often require extensive experience and time. Meanwhile, traditional design methods based on Blade Element Momentum Theory, Lifting Surface Theory, Vortex Lattice Methods, and [...] Read more.
Due to the complexity of aerodynamic coupling between the duct and propeller, the overall design and optimization of ducted fans often require extensive experience and time. Meanwhile, traditional design methods based on Blade Element Momentum Theory, Lifting Surface Theory, Vortex Lattice Methods, and Panel Method usually exhibit certain deviations between their design results and actual outcomes. This is because these approaches struggle to accurately calculate the aerodynamic coupling effects between the duct and propeller, coupled with numerous simplifications inherent in the methods themselves. Considering the strong nonlinear coupling relationship between the duct and propeller, the Response Surface Method (RSM), which enables efficient and accurate analysis of multi-variable coupling effects, was selected for the parameter design and optimization of ducted fans. Computational Fluid Dynamics (CFD) was applied to evaluate the impact of design parameters on overall aerodynamic performance. This approach addresses the limitations of traditional methods, including low design accuracy, high computational cost, and insufficient multi–objective optimization capability. It explicitly models multi-parameter coupling and nonlinear effects using a small number of experimental points, combined with the Multi-Objective Genetic Algorithm (MOGA) to find the global optimum. Compared to the baseline duct fan, the optimized duct fan achieved a 9.6% increase in overall lift and a 9.5% improvement in lift efficiency. Full article
Show Figures

Figure 1

32 pages, 7651 KB  
Article
Comparative Experimental Performance of an Ayanz Screw-Blade Wind Turbine and a Conventional Three-Blade Turbine Under Urban Gusty Wind Conditions
by Ainara Angulo, Unai Nazabal, Fabian Rodríguez, Izaskun Rojo, Ander Zarketa, David Cabezuelo and Gonzalo Abad
Smart Cities 2026, 9(1), 11; https://doi.org/10.3390/smartcities9010011 - 9 Jan 2026
Viewed by 230
Abstract
To address the scientific gap concerning optimal urban wind turbine morphology, this work presents an experimental performance comparison between two small-scale wind turbine designs: a conventional three-blade horizontal-axis wind turbine (HAWT) and a duct-equipped Ayanz-inspired screw-blade turbine. Both configurations were tested in a [...] Read more.
To address the scientific gap concerning optimal urban wind turbine morphology, this work presents an experimental performance comparison between two small-scale wind turbine designs: a conventional three-blade horizontal-axis wind turbine (HAWT) and a duct-equipped Ayanz-inspired screw-blade turbine. Both configurations were tested in a controlled wind tunnel under steady and transient wind conditions, including synthetic gusts designed to emulate urban wind patterns. The analysis focuses on power output, aerodynamic efficiency (via the power coefficient CP), dynamic responsiveness, and integration suitability. A key novelty of this study lies in the full-scale experimental comparison between a non-conventional Ayanz screw-blade turbine and a standard three-blade turbine, since experimental data contrasting these two geometries under both steady and gusty urban wind conditions are extremely scarce in the literature. Results show that while the three-blade turbine achieves a higher CP  peak and greater efficiency near its optimal operating point, the Ayanz turbine exhibits a broader performance plateau and better self-starting behavior under low and fluctuating wind conditions. The Ayanz model also demonstrated smoother power build-up and higher energy capture under specific gust scenarios, especially when wind speed offsets were low. Furthermore, a methodological contribution is made by comparing the CP  vs. tip speed ratio λ curves at multiple wind speeds, providing a novel framework (plateau width analysis) for realistically assessing turbine adaptability and robustness to off-design conditions. These findings provide practical insights for selecting turbine types in variable or urban wind environments and contribute to the design of robust small wind energy systems for deployments in cities. Full article
Show Figures

Figure 1

20 pages, 11638 KB  
Article
Design and Assessment of Forward-Inclined Blades for a 0.5 Hub-to-Tip Ratio Tube-Axial Fan
by Massimo Masi, Piero Danieli and Sergio Rech
Energies 2026, 19(2), 327; https://doi.org/10.3390/en19020327 - 8 Jan 2026
Viewed by 222
Abstract
The paper deals with the design of forward-inclined blades, where “forward inclination” is intended as the design-dependent amount of forward sweep to be incorporated in non-free-vortex blades to restore quasi-2D flow behaviour within the rotor passages. The aim of the work is to [...] Read more.
The paper deals with the design of forward-inclined blades, where “forward inclination” is intended as the design-dependent amount of forward sweep to be incorporated in non-free-vortex blades to restore quasi-2D flow behaviour within the rotor passages. The aim of the work is to assess the effectiveness of this design modification in a 0.5 hub-to-tip ratio fan with radially stacked blades that induce a roughly constant swirl velocity at the rotor exit. To this end, the original blade has been modified by incorporation of a forward sweep amount that translates into a forward-inclined design, defined in accordance with a method suggested by the authors. Both the original and forward-inclined design were preliminary assessed by CFD and finally verified by experiments. The forward-inclined design demonstrated experimentally to improve the pressure rise and efficiency of the original fan in the whole operation range with ca. 10% gain at design operation. Full article
Show Figures

Figure 1

16 pages, 4019 KB  
Article
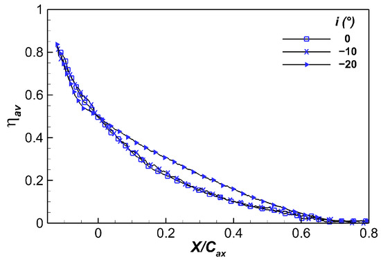
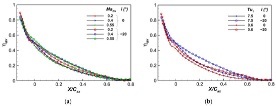
On the Impact of the Off-Design Operating Condition on the Thermal Performance of Rotor Platform Cooling
by Giovanna Barigozzi, Giovanni Brumana, Nicoletta Franchina and Elisa Ghirardi
Int. J. Turbomach. Propuls. Power 2026, 11(1), 7; https://doi.org/10.3390/ijtpp11010007 - 8 Jan 2026
Viewed by 131
Abstract
In the present work, off-design operating condition is considered to be the ability of the turbine to operate down to 50% to 20% of its nominal intake air flow rate. An important consequence of these off-design points is the change in the inlet [...] Read more.
In the present work, off-design operating condition is considered to be the ability of the turbine to operate down to 50% to 20% of its nominal intake air flow rate. An important consequence of these off-design points is the change in the inlet incidence angle, which varied from nominal to −20°. Tests were performed on a seven-blade rotor cascade with platform cooling through an upstream slot simulating the stator-to-rotor interface gap. To model the impact of rotation on purge flow injection, a set of fins were installed inside the slot to give the coolant flow a tangential direction. Different cascades’ off-design operating conditions were tested, covering downstream velocity values up to Ma2is = 0.55, with two inlet turbulence intensity levels of 0.6% a and 7%. A thermal measurement campaign was conducted with the Thermochromic Liquid Crystal technique to measure the adiabatic film cooling effectiveness at various coolant-to-main-flow mass flow ratios, different incidence angles, mainstream Mach numbers, and turbulence levels. The results describe the complexity of the turbine operating under off-design operating conditions, relating the improvement in the platform thermal protection to the reduced secondary-flows activity induced by negative incidence. Full article
Show Figures

Figure 1

18 pages, 6462 KB  
Article
Effect of Different Impeller Types on Mixing Efficiency in Mechanically Stirred Tanks with Tubular Baffles
by Jesús Eduardo Lugo Hinojosa, Juan Antonio Yáñez Varela, Alejandro Alonzo García, Gabriela Rivadeneyra Romero and Sergio Alejandro Martínez Delgadillo
Processes 2026, 14(2), 225; https://doi.org/10.3390/pr14020225 - 8 Jan 2026
Viewed by 256
Abstract
Efficient mixing in stirred tanks is essential for chemical and biochemical processes. Tubular baffles offer potential energy savings and multifunctionality (e.g., as heat exchangers); however, their interaction with common impeller types is not well understood. This study uses computational fluid dynamics (CFD) simulations [...] Read more.
Efficient mixing in stirred tanks is essential for chemical and biochemical processes. Tubular baffles offer potential energy savings and multifunctionality (e.g., as heat exchangers); however, their interaction with common impeller types is not well understood. This study uses computational fluid dynamics (CFD) simulations to evaluate the hydrodynamic performance of a novel tubular baffle design compared to conventional flat baffles with three impellers: a Rushton turbine (RT), a pitched blade turbine (PBT), and a hydrofoil (HE3). Dimensionless analysis (power number, NP; and pumping number, NQ), flow visualization, and vorticity dynamics were employed. The results show that, by attenuating large-scale recirculation, tubular baffles reduce power consumption by 64%, 13%, and 23% for the HE3, PBT, and RT, respectively. However, the HE3 impeller experienced a 30% decrease in pumping capacity, which confined the flow to the lower tank. The PBT showed a 10% increase in NQ and intensified bottom circulation. The RT uniquely generated distributed, high-intensity turbulence along the baffle height while maintaining its characteristic dual-loop structure. The analysis critiques the local pumping efficiency metric and advocates for a global flow assessment. The HE3 is optimal for efficient bulk blending at low power; the PBT is optimal for strong bottom circulation processes; and the RT is optimal for applications requiring enhanced interfacial processes, where baffles serve a dual function. This work provides a framework for selecting energy-efficient agitation systems by coupling impeller performance with global tank hydrodynamics. Full article
Show Figures

Figure 1

16 pages, 6655 KB  
Article
Microvibration Suppression for the Survey Camera of CSST
by Renkui Jiang, Wei Liang, Libin Wang, Enhai Liu, Xuerui Liu, Yongchao Zhang, Sixian Le, Zhaoyang Li, Hongyu Wang, Tonglei Jiang, Changqing Lin, Shaohua Guan, Weiqi Xu, Haibing Su, Yanqing Zhang, Junfeng Du and Ang Zhang
Aerospace 2026, 13(1), 65; https://doi.org/10.3390/aerospace13010065 - 8 Jan 2026
Viewed by 121
Abstract
The Survey Camera (SC) is the key instrument of the China Space Station Telescope (CSST), with its imaging performance significantly constrained by microvibrations from internal sources such as the shutter and cryocoolers. This paper proposes a systematic microvibration suppression scheme integrating disturbance source [...] Read more.
The Survey Camera (SC) is the key instrument of the China Space Station Telescope (CSST), with its imaging performance significantly constrained by microvibrations from internal sources such as the shutter and cryocoolers. This paper proposes a systematic microvibration suppression scheme integrating disturbance source control, payload isolation, and transfer path optimization to meet the stringent requirements. The Cryocooler Assembly (CCA) compressor adopts a symmetric piston layout and a real-time vibration cancellation algorithm to reduce the vibration. Coupled with a vibration isolator designed by combining hydraulic damping and a flexible structure, it achieves a vibration isolation efficiency of 95%. The shutter adopts dual-blade symmetric design with sinusoidal angular acceleration control, ensuring its vibrations fall within the compensable range of the Fast Steering Mirror (FSM). And the finite element optimization method is used to optimize the dynamic characteristics of the Support Structure (SST) made of M55J carbon fiber composite material, to avoid resonance in the critical frequency bands. System-level tests on the integrated SC show that the RMS values of vibration force and torque within 8–300 Hz are 0.25 N and 0.08 N·m, respectively, meeting design specifications. This scheme validates effective microvibration control, guaranteeing the SC’s high-resolution imaging capability for the CSST mission. Full article
(This article belongs to the Section Astronautics & Space Science)
Show Figures

Figure 1

Back to TopTop