Characteristics of Wastewater from Municipal Waste Bio-Drying and Its Impact on Aquatic Environment—Long-Term Research on a Technical Scale
Abstract
1. Introduction
2. Materials and Methods
2.1. Characteristics of the Object under Study
2.2. Characteristics of the Biological Waste Disposal Section
2.3. Characteristics of the Water and Wastewater Management of the Object under Study
2.4. Organisation and Analytical Scope of the Study
- –
- basic physico-chemical parameters with high sampling frequency, i.e., ammonium nitrogen (PN ISO 5664:2002), temperature (PN-C-04584:1977), and the pH (PN-EN ISO 10523:2012);
- –
- basic physico-chemical parameters with low sampling frequency, i.e., chemical oxygen demand (PN-ISO 6060:2006), biological oxygen demand (PN-EN 1899-1:2002), nitrites (PN-EN 26777:1999), fluorides (PN-78/C-04588/03), and total phosphorus (PN-ISO 13730:1999);
- –
- contents of heavy metals, i.e., arsenic, chromium, zinc, copper, nickel, silver, titanium (PN-EN ISO 11885:2009) and mercury (PN-EN ISO 1483:2007, Chapter 4);
- –
- contents of other elements and toxic substances, i.e., barium, boron (PN-EN ISO 11885:2009), free cyanides, bound cyanides (PN-EN ISO 14403-2:2012), and oil-derived hydrocarbons (PN-EN ISO 9377-2:2003).
- –
- total suspended solids (PN-EN 872:2007 + Ap1:2007),
- –
- oil-derived hydrocarbons (PN-EN ISO 9377-2:2003).
- –
- general: the pH (PN-EN ISO 10523:2012), temperature (PN-C-04584:1977), electrolytic conductivity (PN-EN 27888:1999), dissolved oxygen (PN-EN 25813:1997), total organic carbon (PN EN 1484:1997);
- –
- ions: calcium, chlorine, magnesium, and sulphates (PN-EN ISO 10304-1:2009 + AC:2012);
- –
- inorganic: nitrates, nitrites (PN-78/C-04588/03);
- –
- heavy metals: cadmium, chromium, copper, iron, lead, manganese, zinc (PN-EN ISO 11885:2009), and mercury (PN-EN ISO 1483:2007, Chapter 4);
- –
- oil-derived hydrocarbons: polycyclic aromatic hydrocarbons, C6-C12 hydrocarbons, and the mineral oil index (PN-EN ISO 9377-2:2003).
- –
- classes I–III designate waters of very good, good, and satisfactory quality, respectively,
- –
- class IV designates waters of unsatisfactory quality, in which the physico-chemical parameter values are elevated due to the natural processes occurring in groundwater and the pronounced impact of human activities,
- –
- class V designates waters of poor quality, in which the physico-chemical parameter values confirm the significant impact of human activities.
2.5. Statistical Analysis
3. Results
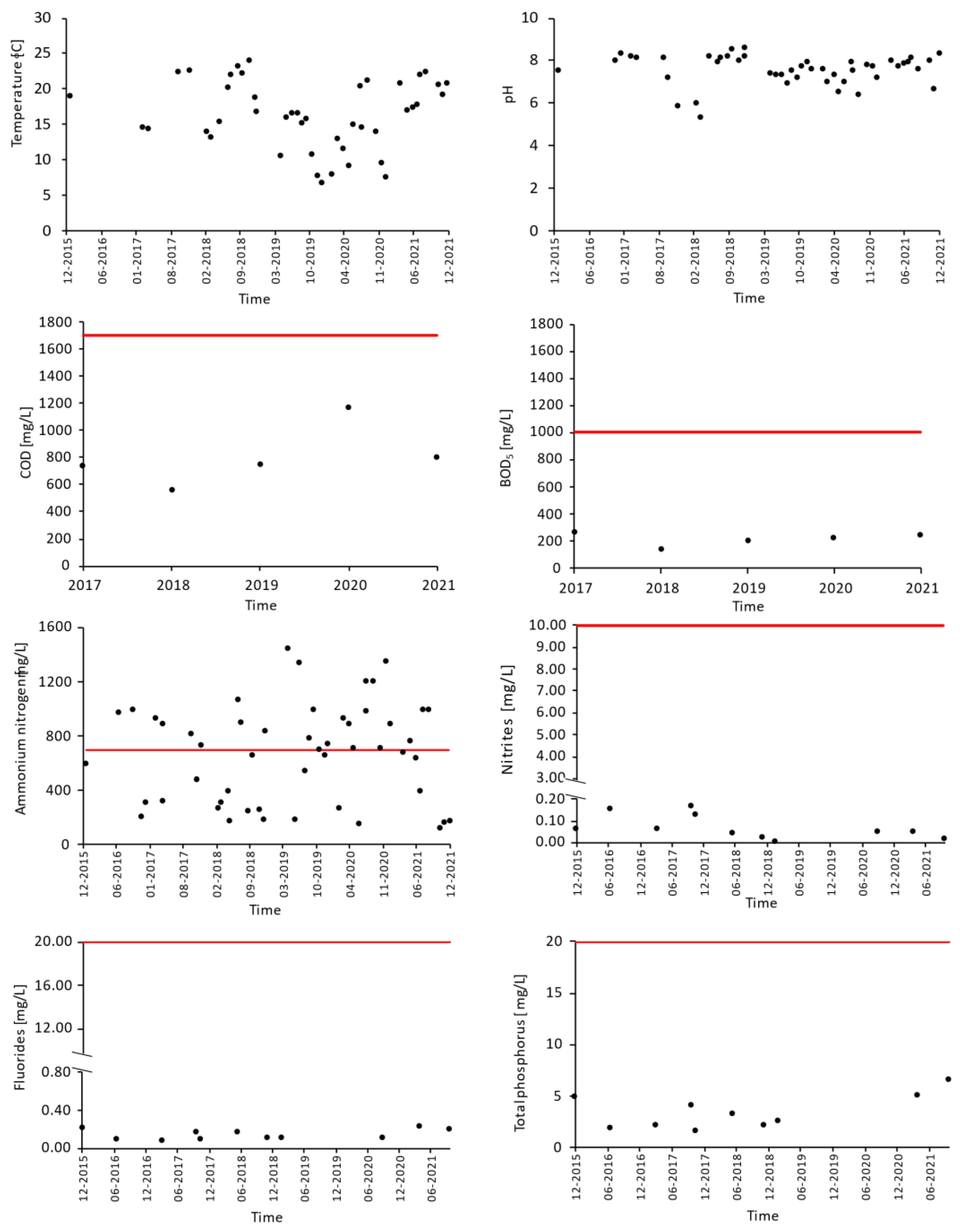
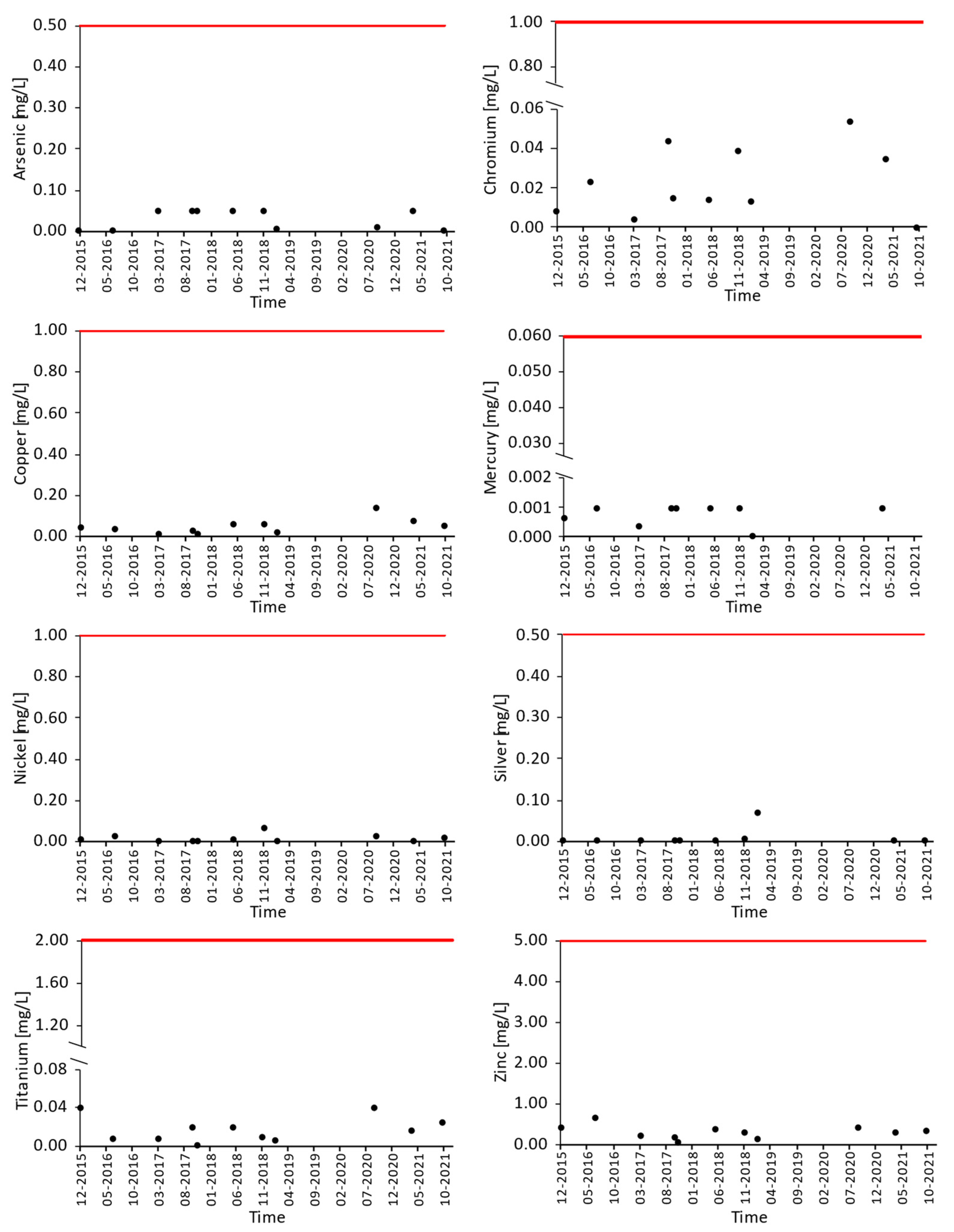
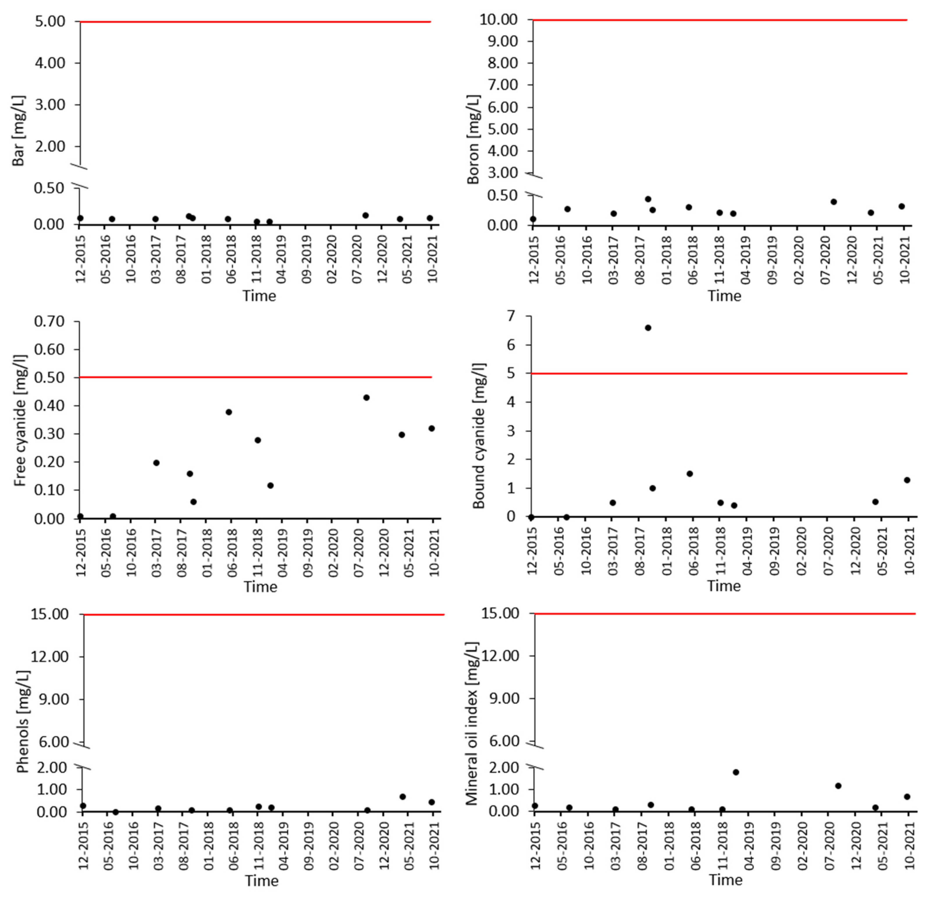
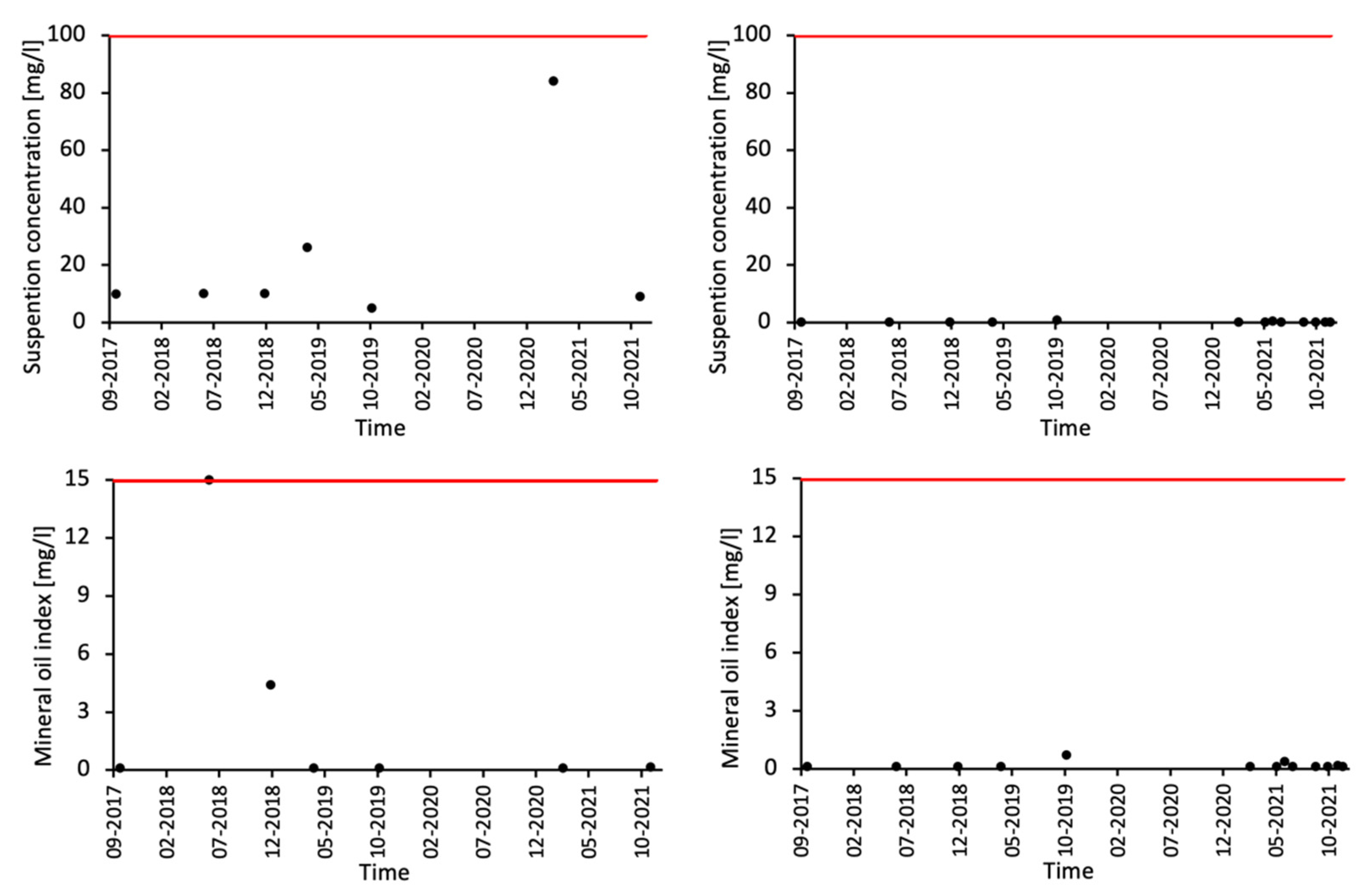
3.1. Industrial Wastewater
3.2. Precipitation Wastewater
3.3. Groundwater
4. Discussion
5. Conclusions
Author Contributions
Funding
Data Availability Statement
Conflicts of Interest
References
- Hemidat, S.; Achouri, O.; El Fels, L.; Elagroudy, S.; Hafidi, M.; Chaouki, B.; Ahmed, M.; Hodgkinson, I.; Guo, J. Solid Waste Management in the Context of a Circular Economy in the MENA Region. Sustainability 2022, 14, 480. [Google Scholar] [CrossRef]
- Jaligot, R.; Chenal, J. Decoupling municipal solid waste generation and economic growth in the canton of Vaud, Switzerland. Resour. Conserv. Recycl. 2018, 130, 260–266. [Google Scholar] [CrossRef]
- Kazimierowicz, J.; Zieliński, M.; Dębowski, M. Influence of the Heating Method on the Efficiency of Biomethane Production from Expired Food Products. Fermentation 2021, 7, 12. [Google Scholar] [CrossRef]
- Czatzkowska, M.; Harnisz, M.; Korzeniewska, E.; Rusanowska, P.; Bajkacz, S.; Felis, E.; Jastrzębski, J.P.; Paukszto, Ł.; Koniuszewska, I. The impact of antimicrobials on the efficiency of methane fermentation of wastewater sludge, changes in microbial biodiversity and the spread of antibiotic resistance. J. Hazard. Mater. 2021, 416, 125773. [Google Scholar] [CrossRef] [PubMed]
- Kazimierowicz, J. Organic Waste Used in Agricultural Biogas Plants. J. Ecol. Eng. 2014, 15, 88–92. [Google Scholar] [CrossRef]
- Kazimierowicz, J. Biogas acquisition from selected mixtures of expired food products. J. Ecol. Eng. 2017, 18, 118–122. [Google Scholar] [CrossRef][Green Version]
- Barañano, L.; Unamunzaga, O.; Garbisu, N.; Briers, S.; Orfanidou, T.; Schmid, B.; Martínez de Arano, I.; Araujo, A.; Garbisu, C. Assessment of the Development of Forest-Based Bioeconomy in European Regions. Sustainability 2022, 14, 4747. [Google Scholar] [CrossRef]
- Ulloa-Murillo, L.M.; Villegas, L.M.; Rodríguez-Ortiz, A.R.; Duque-Acevedo, M.; Cortés-García, F.J. Management of the Organic Fraction of Municipal Solid Waste in the Context of a Sustainable and Circular Model: Analysis of Trends in Latin America and the Caribbean. Int. J. Environ. Res. Public Health 2022, 19, 6041. [Google Scholar] [CrossRef]
- Cucchiella, F.; D’Adamo, I.; Gastaldi, M. Sustainable Italian Cities: The Added Value of Biomethane from Organic Waste. Appl. Sci. 2019, 9, 2221. [Google Scholar] [CrossRef]
- Kazimierowicz, J. Depletion Efficiency of Selected Expired Food Products in the Process of Methane Fermentation. J. Ecol. Eng. 2019, 20, 132–137. [Google Scholar] [CrossRef]
- Shrestha, B.; Hernandez, R.; Fortela, D.L.B.; Sharp, W.; Chistoserdov, A.; Gang, D.; Revellame, E.; Holmes, W.; Zappi, M.E. A Review of Pretreatment Methods to Enhance Solids Reduction during Anaerobic Digestion of Municipal Wastewater Sludges and the Resulting Digester Performance: Implications to Future Urban Biorefineries. Appl. Sci. 2020, 10, 9141. [Google Scholar] [CrossRef]
- Wojnowska-Baryła, I.; Kulikowska, D.; Bernat, K. Effect of Bio-Based Products on Waste Management. Sustainability 2020, 12, 2088. [Google Scholar] [CrossRef]
- Kazimierowicz, J.; Dzienis, L.; Dębowski, M.; Zieliński, M. Optimisation of methane fermentation as a valorisation method for food waste products. Biomass Bioenergy 2021, 144, 105913. [Google Scholar] [CrossRef]
- Mazzucco, W.; Costantino, C.; Restivo, V.; Alba, D.; Marotta, C.; Tavormina, E.; Cernigliaro, A.; Macaluso, M.; Cusimano, R.; Grammauta, R.; et al. The Management of Health Hazards Related to Municipal Solid Waste on Fire in Europe: An Environmental Justice Issue? Int. J. Environ. Res. Public Health 2020, 17, 6617. [Google Scholar] [CrossRef] [PubMed]
- Morris, B.L.; Lawrence, A.R.L.; Chilton, P.J.C.; Adams, B.; Calow, R.C.; Klinck, B.A. Groundwater and Its Susceptibility to Degradation: A Global Assessment of the Problem and Options for Management; Early Warning and Assessment Report Series, RS. 03-3; United Nations Environment Programme: Nairobi, Kenya, 2003; Volume 53, ISBN 9788578110796. [Google Scholar]
- Siebert, S.; Burke, J.; Faures, J.M.; Frenken, K.; Hoogeveen, J.; Döll, P.; Portmann, F.T. Groundwater use for irrigation—A global inventory. Hydrol. Earth Syst. Sci. 2010, 14, 1863–1880. [Google Scholar] [CrossRef]
- Aeschbach-Hertig, W.; Gleeson, T. Regional strategies for the accelerating global problem of groundwater depletion. Nat. Geosci. 2012, 5, 853–861. [Google Scholar] [CrossRef]
- Bierkens, M.F.P.; Wada, Y. Non-Renewable groundwater use and groundwater depletion: A review. Environ. Res. Lett. 2019, 14, 63002. [Google Scholar] [CrossRef]
- Foster, S.; Chilton, P.J. Groundwater: The processes and global significance of aquifer degradation. Philos. Trans. R. Soc. B Biol. Sci. 2003, 358, 1957–1972. [Google Scholar] [CrossRef]
- Lall, U.; Josset, L.; Russo, T. A snapshot of the world’s groundwater: Change and the unknown. Annu. Rev. Environ. Resour. 2020, 45, 171–194. [Google Scholar] [CrossRef]
- Council of the European Communities. Directive 2000/60/EC of the European Parliament and of the Council of 23 October 2000 establishing a framework for Community action in the field of water policy. Off. J. Eur. Communities 2000, 327, 1–72. [Google Scholar]
- Alexakis, D.E. Meta-Evaluation of Water Quality Indices. Application into Groundwater Resources. Water 2020, 12, 1890. [Google Scholar] [CrossRef]
- Kania, J.; Witczak, S.; Różański, K. Classification of groundwater quality based on variability of hydrogeochemical environment. In Climate Change and its Effects on Water Resources; Springer: Dordrecht, The Netherlands, 2011; pp. 247–257. [Google Scholar]
- Hosseinifard, S.J.; Aminiyan, M.M. Hydrochemical Characterization of Groundwater Quality for Drinking and Agricultural Purposes: A Case Study in Rafsanjan Plain, Iran. Water Qual. Expo. Health 2015, 7, 531–544. [Google Scholar] [CrossRef] [PubMed]
- Hussein, M.T. Hydrochemical evaluation of groundwater in the Blue Nile Basin, Eastern Sudan, using conventional and multivariate techniques. Hydrogeol. J. 2004, 12, 144–158. [Google Scholar] [CrossRef]
- Chen, J.; Huang, Q.; Lin, Y.; Fang, Y.; Qian, H.; Liu, R.; Ma, H. Hydrogeochemical Characteristics and Quality Assessment of Groundwater in an Irrigated Region, Northwest China. Water 2019, 11, 96. [Google Scholar] [CrossRef]
- Khan, M.R.; Hasan, F.; Islam, M.; Chowdhury, M.; Sadeak, S.; Amin, A.; Hossain, F.; Ahmed, K.M. Potential Impacts of Industrialization on Coastal Fresh Groundwater Resources in Bangladesh. Sustainability 2022, 14, 8704. [Google Scholar] [CrossRef]
- Aleem, M.; Shun, C.J.; Li, C.; Aslam, A.M.; Yang, W.; Nawaz, M.I.; Ahmed, W.S.; Buttar, N.A. Evaluation of Groundwater Quality in the Vicinity of Khurrianwala Industrial Zone, Pakistan. Water 2018, 10, 1321. [Google Scholar] [CrossRef]
- Singh, D.D.; Thind, P.S.; Sharma, M.; Sahoo, S.; John, S. Environmentally Sensitive Elements in Groundwater of an Industrial Town in India: Spatial Distribution and Human Health Risk. Water 2019, 11, 2350. [Google Scholar] [CrossRef]
- Meng, L.; Zhang, Q.; Liu, P.; He, H.; Xu, W. Influence of Agricultural Irrigation Activity on the Potential Risk of Groundwater Pollution: A Study with Drastic Method in a Semi-Arid Agricultural Region of China. Sustainability 2020, 12, 1954. [Google Scholar] [CrossRef]
- Slack, R.J.; Gronow, J.R.; Voulvoulis, N. Household hazardous waste in municipal landfills: Contaminants in leachate. Sci. Total Environ. 2005, 337, 119–137. [Google Scholar] [CrossRef]
- Baumann, T.; Fruhstorfer, P.; Klein, T.; Niessner, R. Colloid and heavy metal transport at landfill sites in direct contact with groundwater. Water Res. 2006, 40, 2776–2786. [Google Scholar] [CrossRef]
- Prechthai, T.; Parkpian, P.; Visvanathan, C. Assessment of heavy metal contamination and its mobilization from municipal solid waste open dumping site. J. Hazard. Mater. 2008, 156, 86–94. [Google Scholar] [CrossRef] [PubMed]
- Wdowczyk, A.; Szymańska-Pulikowska, A. How to Choose Pollution Indicators for Monitoring Landfill Leachates. Proceedings 2020, 51, 23. [Google Scholar]
- Adhikari, K.; Pal, S. Assessment of Pollution Potential of Soil and Groundwater in a Non-Engineered MSW Landfill Site. Intern. J. Environ. Sci. Dev. 2016, 7, 207–210. [Google Scholar] [CrossRef]
- Kasiński, S.; Dębowski, M.; Olkowska, M.; Rudnicki, M. Analysis of the Long-Term Mass Balance and Efficiency of Waste Recovery in a Municipal Waste Biodrying Plant. Energies 2021, 14, 7711. [Google Scholar] [CrossRef]
- Shao, L.M.; He, X.; Yang, N.; Fang, J.J.; Lü, F.; He, P.J. Biodrying of municipal solid waste under different ventilation modes: Drying efficiency and aqueous pollution. Waste Manag. Res. 2012, 30, 1272–1280. [Google Scholar] [CrossRef]
- Yuan, H.; Deng, L.; Chen, Y. Optimization of biodrying pretreatment of municipal solid waste and microbial fuel cell treatment of leachate. Biotechnol. Bioprocess Eng. 2014, 19, 668–675. [Google Scholar] [CrossRef]
- Rada, E.C.; Franzinelli, A.; Taiss, M.; Ragazzi, M.; Panaitescu, V.; Apostol, T. Lower heating value dynamics during municipal solid waste bio-drying. Environ. Technol. 2007, 28, 463–469. [Google Scholar] [CrossRef]
- Zhang, D.Q.; Zhang, H.; Wu, C.L.; Shao, L.M.; He, P.J. Evolution of heavy metals in municipal solid waste during bio-drying and implications of their subsequent transfer during combustion. Waste Manag. 2011, 31, 1790–1796. [Google Scholar] [CrossRef]
- Fudala-Książek, S.; Łuczkiewicz, A.; Kulbat, E.; Remiszewska-Skwarek, A. Characteristics of Liquid By-Products Generated at Municipal Solid Waste Plants (MSWP) in Terms of Treatment Method Choice. Annu. Set Environ. Prot. 2016, 18, 952–963. (In Polish) [Google Scholar]
- Teng, C.; Zhou, K.; Peng, C.; Chen, W. Characterization and treatment of landfill leachate: A review. Water Res. 2021, 203, 117525. [Google Scholar] [CrossRef]
- Vialkova, E.; Zemlyanova, M.; Vorotnikova, A.; Cherkashin, D.; Voronov, A.; Maksimov, L. The protection of urban areas from surface wastewater pollutions. MATEC Web Conf. 2017, 106, 07008. [Google Scholar] [CrossRef]
- Wang, H.; Nie, L.; Xu, Y.; Du, C.; Zhang, T.; Wang, Y. Effects of Highway-Related Pollutant on the Groundwater Quality of Turfy Swamps in the Changbai Mountain Area. Int. J. Environ. Res. Public Health 2018, 15, 1652. [Google Scholar] [CrossRef] [PubMed]
- Clymo, R.S. Ion exchange in Sphagnum and its relation to bog ecology. Ann. Bot. 1963, 27, 309–324. [Google Scholar] [CrossRef]
- Gorham, E.; Eisenreich, S.J.; Ford, J.; Santlemann, M.V. The chemistry of bog water. In Chemical Processes of Lakes; Stumm, W., Ed.; John Wiley and Sons: New York, NY, USA, 1985; pp. 339–362. ISBN 978-0471882619. [Google Scholar]
- Zhai, Y.; Han, Y.; Xia, X.; Li, X.; Lu, H.; Teng, Y.; Wang, J. Anthropogenic Organic Pollutants in Groundwater Increase Releases of Fe and Mn from Aquifer Sediments: Impacts of Pollution Degree, Mineral Content, and pH. Water 2021, 13, 1920. [Google Scholar] [CrossRef]
- Avila, D.S.; Puntel, R.L.; Aschner, M. Manganese in health and disease. Met Ions Life Sci. 2013, 13, 199–227. [Google Scholar]









| Phase Number | Aeration | Temperature | Duration |
|---|---|---|---|
| 1 | 6000 m³/h | 65 °C | 1 day |
| 2 | 8000 m³/h | 60 °C | 4 days |
| 3 | 8000 m³/h | 55 °C | 3 days |
| 4 | 11,000 m³/h | 55 °C | 1 day |
| 5 | 11,000 m³/h | 35 °C | 12 h |
| Characteristic | Value | Unit |
|---|---|---|
| pH | 6.5–9.5 | |
| BOD5 | ≤1000 | mg O2/L |
| COD | ≤1700 | mg O2/L |
| Ammonium nitrogen | ≤200 | mg NNH4/L |
| Nitrites | ≤10 | mg NNO3/L |
| Total phosphorus | ≤20 | mg P/L |
| Chlorides | ≤1000 | mg/L |
| Sulphates | ≤500 | mg/L |
| Cadmium | ≤0.4 | mg Cd/L |
| Chrome (total) | ≤1 | mg Cr/L |
| Mercury | ≤0.06 | mg Hg/L |
| No | Parameter | Unit | P-1 | P-2 | P-3 | ||||||||
|---|---|---|---|---|---|---|---|---|---|---|---|---|---|
| September 2015 | December 2015 | May 2018 | September 2015 | December 2015 | May 2018 | March 2020 | September-2015 | December 2015 | May 2018 | March 2020 | |||
| 1 | Water level | m | 7.5 | 8.3 | - | 7.52 | 7.9 | - | - | 6.75 | 7.3 | - | - |
| 2 | pH | pH | 7.6 | 7.5 | 7.2 | 6 | 6.2 | 5.9 | 6.8 | 7.5 | 6.8 | 7.2 | 7.4 |
| 3 | Specific electrolytic conductivity | µS/cm | 463 | 441 | 1707 | 134 | 196 | 380 | 670 | 434 | 454 | 669 | 498 |
| 4 | Total organic carbon (TOC) | mg/L | 7.44 | 5.7 | 5.8 | 8.31 | 7.2 | 15.3 | 13.2 | 3.85 | 2.6 | 3.93 | 2.4 |
| 1 | Calcium | mg/L | 72 | 329 | 26 | 56 | 110 | 78 | 106 | 91.3 | |||
| 2 | Chlorides | mg/L | 10.9 | 9.2 | 21 | 2.4 | 2.7 | 15 | 151 | 4.1 | 3.1 | 9 | 47 |
| 3 | Magnesium | mg/L | 7.5 | 49 | 3.5 | 8.3 | 14.2 | 7.5 | 8.6 | 6.7 | |||
| 4 | Sulphur (VI) | mg/L | 21.9 | 59 | 223 | 11.3 | 11 | 25 | 29 | 16.1 | 18 | 86 | 27 |
| 1 | Nitrates | mg/L | 6.21 | 1.1 | 74 | 2.41 | 4.5 | 0.7 | 1.2 | 25.6 | 37 | 33 | 15 |
| 2 | Nitrites | mg/L | 0.143 | <0.066 | 0.01 | <0.02 | <0.066 | <0.01 | <0.01 | 0.0514 | <0.066 | <0.01 | <0.01 |
| 3 | Cadmium | mg/L | <0.0005 | <0.0002 | <0.0001 | <0.0005 | <0.0002 | 0.00033 | 0.0006 | <0.0005 | <0.0002 | <0.0001 | 0.0006 |
| 4 | Chromium (VI) | mg/L | <0.005 | <0.01 | <0.003 | <0.005 | <0.01 | 0.004 | <0.013 | <0.005 | <0.01 | 0.005 | <0.013 |
| 5 | Copper | mg/L | 0.00513 | <0.004 | 0.073 | 0.0156 | <0.004 | 0.072 | 0.025 | 0.0075 | 0.004 | 0.046 | <0.019 |
| 6 | Iron | mg/L | 0.08 | 2.1 | 0.13 | 2.6 | 0.273 | 0.015 | 0.25 | 0.581 | |||
| 7 | Lead | mg/L | <0.005 | 0.004 | 0.0053 | <0.005 | <0.004 | 0.0028 | <0.006 | <0.005 | <0.004 | 0.0017 | <0.006 |
| 8 | Manganese | mg/L | 0.38 | 0.25 | 1.9 | 8.7 | 2.54 | 0.013 | 0.0097 | 0.015 | |||
| 9 | Mercury | mg/L | <0.0001 | <0.0001 | 0.00069 | <0.0001 | <0.0001 | 0.0013 | <0.00001 | <0.0001 | <0.0001 | 0.00022 | <0.0001 |
| 10 | Zinc | mg/L | <0.02 | <0.005 | 0.047 | 0.06 | <0.005 | 0.077 | 0.024 | <0.02 | 0.005 | 0.046 | 0.023 |
| 1 | Total PAH | mg/L | <0.00008 | <0.000005 | <0.00001 | 0.00049 | <0.000005 | <0.00001 | <0.00001 | <0.00008 | <0.000005 | <0.00001 | <0.00001 |
| 2 | Hydrocarbons C6-C12/petrol | mg/L | <0.05 | <0.05 | <0.050 | <0.05 | <0.050 | <0.050 | <0.05 | <0.050 | |||
| 3 | Mineral oil index | mg/L | 0.041 | 0.45 | <0.1 | 0.041 | <0.10 | <0.1 | <0.1 | 0.086 | <0.10 | <0.1 | 2.3 |
| Description: | |||||||||
| Class I | Class II | Class III | Class IV | Class V | |||||
| Wastewater Characteristics | Wastewater Characteristics | Daily Data | Monthly Data | |||
|---|---|---|---|---|---|---|
| pH | Temperature | Total Daily Precipitation | Average Air Temperature | Total Monthly Precipitation | Average Air Temperature | |
| pH | - | 0.234 | −0.159 | 0.240 | 0.159 | 0.190 |
| Temperature | 0.234 | - | −0.008 | 0.297 | 0.463 | 0.395 |
| Ammonium nitrogen | −0.074 | −0.134 | 0.172 | 0.285 | 0.035 | 0.282 |
Publisher’s Note: MDPI stays neutral with regard to jurisdictional claims in published maps and institutional affiliations. |
© 2022 by the authors. Licensee MDPI, Basel, Switzerland. This article is an open access article distributed under the terms and conditions of the Creative Commons Attribution (CC BY) license (https://creativecommons.org/licenses/by/4.0/).
Share and Cite
Kasiński, S.; Dębowski, M.; Tylus, G.; Rudnicki, M. Characteristics of Wastewater from Municipal Waste Bio-Drying and Its Impact on Aquatic Environment—Long-Term Research on a Technical Scale. Energies 2022, 15, 9467. https://doi.org/10.3390/en15249467
Kasiński S, Dębowski M, Tylus G, Rudnicki M. Characteristics of Wastewater from Municipal Waste Bio-Drying and Its Impact on Aquatic Environment—Long-Term Research on a Technical Scale. Energies. 2022; 15(24):9467. https://doi.org/10.3390/en15249467
Chicago/Turabian StyleKasiński, Sławomir, Marcin Dębowski, Gabriela Tylus, and Marcin Rudnicki. 2022. "Characteristics of Wastewater from Municipal Waste Bio-Drying and Its Impact on Aquatic Environment—Long-Term Research on a Technical Scale" Energies 15, no. 24: 9467. https://doi.org/10.3390/en15249467
APA StyleKasiński, S., Dębowski, M., Tylus, G., & Rudnicki, M. (2022). Characteristics of Wastewater from Municipal Waste Bio-Drying and Its Impact on Aquatic Environment—Long-Term Research on a Technical Scale. Energies, 15(24), 9467. https://doi.org/10.3390/en15249467

