Next Article in Journal
Electric Vehicle Charging Modes, Technologies and Applications of Smart Charging
Previous Article in Journal
Characteristics of Wastewater from Municipal Waste Bio-Drying and Its Impact on Aquatic Environment—Long-Term Research on a Technical Scale
Previous Article in Special Issue
Performance of Thermoelectric Power-Generation System for Sufficient Recovery and Reuse of Heat Accumulated at Cold Side of TEG with Water-Cooling Energy Exchange Circuit
 
 
Font Type:
Arial Georgia Verdana
Font Size:
Aa Aa Aa
Line Spacing:
Column Width:
Background:
Article

Energy Harvesting Using a Nonlinear Resonator with Asymmetric Potential Wells

1
Faculty of Mechanical Engineering, Lublin University of Technology, Nadbystrzycka 36, 20-618 Lublin, Poland
2
Faculty of Transport and Aviation Engineering, Silesian University of Technology, Krasińskiego 8, 40-019 Katowice, Poland
3
School of Aeronautics, Northwestern Polytechnical University, Xi’an 710072, China
*
Author to whom correspondence should be addressed.
Energies 2022, 15(24), 9469; https://doi.org/10.3390/en15249469
Submission received: 30 October 2022 / Revised: 25 November 2022 / Accepted: 10 December 2022 / Published: 14 December 2022
(This article belongs to the Special Issue Advances in Thermoelectric Energy Harvesting and Power Generation)

Abstract

This paper presents the results of numerical simulations of a nonlinear bistable system for harvesting energy from ambient vibrating mechanical sources. Detailed model tests were carried out on an inertial energy harvesting system consisting of a piezoelectric beam with additional springs attached. The mathematical model was derived using the bond graph approach. Depending on the spring selection, the shape of the bistable potential wells was modified including the removal of wells’ degeneration. Consequently, the broken mirror symmetry between the potential wells led to additional solutions with corresponding voltage responses. The probability of occurrence for different high voltage/large orbit solutions with changes in potential symmetry was investigated. In particular, the periodicity of different solutions with respect to the harmonic excitation period were studied and compared in terms of the voltage output. The results showed that a large orbit period-6 subharmonic solution could be stabilized while some higher subharmonic solutions disappeared with the increasing asymmetry of potential wells. Changes in frequency ranges were also observed for chaotic solutions.

1. Introduction

Wireless sensor networks and microelectronic equipment are widely used in daily life and industrial production, which is the key to technological progress [1,2]. However, conventional power supply methods (such as chemical batteries) cannot meet the energy demand of the above devices due to the problems of inconvenient replacement and environmental pollution [3,4]. With the development of materials science and microelectronics, the power consumption of these electronic devices has decreased to range from several milliwatts to tens of milliwatts, which makes it possible to power such devices with energy harvested from the environment.
Distributed energy harvesting technology is vital to powering small devices and/or recharging their batteries. Finally, such a technology would lead to designing autonomic sensors for the structural health monitoring of various technical structures, including bridges and railway infrastructure. In small centimeter-size systems, piezoelectric transducers are checked to ensure good performance [5]. To improve the environmental adaptability and energy supply efficiency of the technology, researchers have proposed many energy harvesters, such as flow-induced vibration [6,7] and base vibration energy harvesters [8,9]. In early studies, researchers proposed and designed many linear vibration energy harvesters, and their dynamic characteristics and operating performance were thoroughly analyzed [10,11]. However, the operating frequency band of linear harvesters is narrow and thus insufficient for their practical application in the environment [12].
To solve this problem, many researchers introduced a nonlinear force into an energy harvesting system to improve its operating performance [13,14]. Solutions based on kinetic energy harvesting from ambient sources are becoming the most effective among systems with nonlinear effects. They enable broad frequency input to obtain a fairly large power output [15,16]. Numerous numerical and experimental investigations have been conducted on nonlinear energy harvesters [17,18,19].
Harne et al. [20] reviewed and summarized the research status and challenges of nonlinear bistable vibration energy harvesters. Huguet et al. [21] analyzed the dynamic characteristics and output response of a bistable energy harvesting system. Lan et al. [22] enhanced the operating performance of a bistable energy harvester by adding a small magnet between two fixed magnets. The experimental results indicated that the proposed harvester outperformed the conventional bistable energy harvester under weak excitation conditions. Zhou et al. [23,24] and Kim et al. [25,26] studied the nonlinear dynamic characteristics of a tristable energy harvester, and the results showed that the operating frequency of the harvester was wide and that the output voltage of the harvester was influenced by potential barriers to the harvester. Zhou et al. [27] constructed a nonlinear penta-stable energy harvester by introducing a magnetic force, and the results confirmed that the harvester could easily ensure interwell motion and large voltage output.
Although nonlinear energy harvesters have, in general, excellent energy harvesting performance, the shapes of their potential wells should be optimized [15]. The nonlinear dynamic characteristics of asymmetric energy harvesters are more complex. They have usually more than one oscillating orbit and can thus oscillate more easily on high-energy orbits than symmetric harvesters under weak excitation conditions. Giri and Ali [28] classified nonlinear energy harvesters based on the symmetric and asymmetric potential wells; they discussed the enhancement methods for the symmetric section, while for the asymmetric section, they studied the influence of asymmetries on the harvesters. He and Daqaq [29] studied the influence of asymmetric potential wells on nonlinear monostable and bistable energy harvesters under white noise excitation. Zhou et al. [30] analyzed the enhancement of asymmetric potential wells in tristable energy harvesters and proposed the design scheme of potential energy for a high-performance energy harvester. Ma et al. [31] investigated the threshold of chaotic motion for asymmetric tristable energy harvesters using the Melnikov method, and they compared the operating performance of asymmetric and symmetric tristable energy harvesters. The above studies have demonstrated that the construction of asymmetric potential wells in energy harvesters provides a significant enhancement to the output response of these harvesters. However, the systematic studies on the solution periodicity were not complete.
This study proposes an asymmetric double-well potential system because it has an additional frequency in the small amplitude limit, which automatically ensures the extension of the transmission frequency, including one per each potential well. The large orbit of the solution follows the broken mirror symmetry. It should be noted that the large orbit solution is associated with a stronger interaction (due to the stronger deformation in spring elements). In this limit, the resonance curve is inclined and smeared to a larger interval of frequencies [15]. This study analyses the nonlinear dynamic characteristics of the system, including the solution periodicities. The paper is organized as follows. In Section 2, a mathematical model of the system is formulated. The operating performance and nonlinear dynamic characteristics of the system are analyzed by numerical simulations in Section 3. Section 4 provides the conclusions from the study.

2. Formulation of a Mathematical Model

The object of the model studies is a double-well potential energy harvesting system in which the wells are located asymmetrically to the origin of the coordinate system. From a technical point of view, asymmetric potential characteristics can be achieved by the appropriate asymmetric arrangement of permanent magnets with respect to the straight, coinciding axis of a flexible cantilever beam. An analogous effect can be obtained through the distribution of appropriately oriented elastic springs (Figure 1). The starting point for this design solution is an energy harvesting system with a star-shaped structure of connections between the linear elastic elements [4]. The asymmetric potential is obtained by changing the angular orientation of the selected elastic elements. A design solution reflecting the asymmetric potential well characteristics is shown in the schematic diagram below (Figure 1a). In this solution, the stationary attachment points of the elastic elements imitate a five-point star. On the other hand, in the symmetric double-well potential structure, the shape of the linear elastic elements resembles the mathematical addition symbol “+”, as shown in the figure (Figure 1b). The proposed design solution of an energy harvesting system consists of a flexible cantilever beam I at the end of which is mounted an inertial element m. The beam with an attached piezoelectric energy transducer II is fixed in a rigid, non-deformable frame IV, wherein connecting points for the springs define the shape potential barriers. Frame IV is screwed to the vibrating object by means of screws III.
The formal basis for identifying the potential barrier of a system composed of elastic elements is to reproduce the mechanical characteristics describing a cause-and-effect relationship between the displacement of the inertial element m and the forces excited in the springs. This is performed by neglecting the inertial and dissipative forces occurring in the tested design of an energy harvesting system. From a mechanical point of view, the external load acting on the inertial element is balanced by the forces induced in the main spring c3 and other compensation springs. The compensation springs are mounted symmetrically as a1 = a11 = a12 and a3 = a31 = a32 with respect to the axis of the flexible cantilever beam I. Therefore, for the identification of equivalent mechanical characteristics, the following simplifications were made: c3 = c31 + c32 and c1 = c11 + c12 (by analyzing the vertical and horizontal force projections, respectively). The equivalent mechanical characteristics of the tested design of an energy harvesting system were identified based on the schematic diagram presented in Figure 2. Here, c2 = c21 + c22 by analyzing the vertical spring force projections. In connection with this, it is necessary to add that the starting point for its derivation was a schematic diagram of a star-shaped system of connections between the elastic elements provided in [4]. As a result of this approach, we were able to derive (through theoretical considerations) the general mathematical relationships describing the dependence between external load and inertial element displacement.
Bearing in mind the above-simplified assumptions, the equation of static equilibrium reflecting the cause-and-effect relationship between the external load F and the inertial element displacement, i.e., q = y1y2, takes the form:
F = F B + F 1 sin φ 1 + F 2 sin φ 2 + F 3 sin φ 3 , F = c B q + c 1 Δ L 1 sin φ 1 + c 2 Δ L 2 sin φ 2 + c 3 Δ L 3 sin φ 3 , F = c B q + c 1 1 a 1 2 a 1 2 + q 2 q + c 2 1 a 2 2 + h 2 2 a 2 2 + h 2 q 2 h 2 q + + c 3 1 a 3 2 + h 3 2 a 3 2 + h 3 + q 2 h 3 + q .
The equivalent mechanical characteristics identified in this way are then expanded into the Taylor series, leaving terms up to q3. As a result of such simplification, the equation representing the relation between the force and displacement takes the following form, where only the first three terms are taken into account during the Taylor expansion:
F = d 1 q + d 2 q 2 + d 3 q 3 , where d 1 = c B h 2 2 c 2 a 2 2 + h 2 2 + h 3 2 c 3 a 3 2 + h 3 2 d 2 = 3 a 2 2 h 2 c 2 2 a 2 2 + h 2 2 2 + 3 a 3 2 h 3 c 3 2 a 3 2 + h 3 2 2 d 3 = c 1 2 a 1 2 + 4 a 2 2 h 2 2 c 2 a 2 4 c 2 2 a 2 2 + h 2 2 3 4 a 3 2 h 3 2 c 3 + a 3 4 c 3 2 a 3 2 + h 3 2 3 .
The equation defining the potential barrier is obtained directly as a result of integrating Equation (2) with respect to the generalized coordinate q as follows:
V = F d q = c B q 2 2 h 2 2 c 2 q 2 2 a 2 2 + h 2 2 + h 3 2 c 3 q 2 2 a 3 2 + h 3 2 + a 2 2 h 2 c 2 q 3 2 a 2 2 + h 2 2 2 + + a 3 2 h 3 c 3 q 3 2 a 3 2 + h 3 2 2 + c 1 q 4 8 a 1 2 + 4 a 2 2 h 2 2 c 2 q 4 a 2 4 c 2 q 4 8 a 2 2 + h 2 2 3 4 a 3 2 h 3 2 c 3 q 4 + a 3 4 c 3 q 4 8 a 3 2 + h 3 2 3 .
It should be noted that when dealing with a symmetric potential energy function where the d2 coefficient is equal to zero, the dynamics of an energy harvesting system are represented by the Duffing equation. However, when d2 assumes non-zero values, the symmetry of the potential collapses. A visual representation of the relationship between the d2 coefficient, mechanical characteristics, and potential barrier is shown in Figure 3.
Geometric and physical parameters describing the energy harvesting system with elastic elements were selected in such a way as to reflect the symmetric double-well potential (Table 1). The particular selection of parameter values made it possible to reproduce the potential’s characteristics as accurate as possible. A similar polynomial expression was provided in a study by Erturk et al. [18] for a system with magnetic interactions.
By assuming the above values for the geometrical and physical parameters, the coefficients of the mechanical characteristics (Equation (2)) take the following values: d1 = −8.67, d2 = 0, d3 = 5202. Since the aim of this study is to determine the effect of the asymmetry of potential wells while deriving the differential equations of motion, we took into account the d2 parameter because the change in its value induces asymmetry of the potential wells, as shown in the three-dimensional graphs (Figure 3a).
From a mechanical point of view, the differential equations of motion can be derived in many ways. In classical terms, this problem most often comes down to the application of type II Lagrange equations. An alternative approach is to use topological methods based on graph theory. As far as energy recovery systems are concerned, it is most convenient to use the bond graph method proposed by Paynter [32] and popularized by Karnopp and Rossenberg [33,34]. This method is applicable to modeling dynamic systems of a different technical nature. Its unquestionable advantage is that it allows numerical simulations to be performed without explicit knowledge of the differential equations of motion. At the same time, the structure of a mathematical model was obtained by the equations of state. With this approach, however, it is necessary to use specialized computer programs. The corresponding software for system modeling [35,36,37,38] can be run in the toolboxes of Matlab, Mathematica, and/or Pyton. In this paper, the equations of motion were generated in an explicit form because they constituted the formal basis to determine the dimensionless model, on the basis of which quantitative and qualitative computer simulations would be carried out. In the bond graph method, the edges are assigned two variables: flow and effort. In electrical subsystems, the flow variable is the current flowing through the conductor, while the voltage difference is assigned to the effort variable. It is worth mentioning that originally the bond graph method was used to model electrical circuits. Nevertheless, bearing in mind electro-mechanical analogies, it came to be used in time for modeling systems of differing technical natures. Numerical simulations for electromechanical systems are usually carried out with the use of current analogies. That is to say, speed is used as an analogy of current (the flow variable), while forces are represented by effort variables. From a physical point of view, the product of flow and effort defines the power of the edge. In other words, the structure of a bond graph is a graphical representation of power flow in a dynamic system.
For the derivation of a mathematical model, the bond graph method was modified, which enabled a system of second-order differential equations to be obtained. This was achieved by introducing additional dummy edges, which represented the sources of the variables’ flow  S f : q ˙ 1 and effort  S e : u . These edges were not subject to numbering. Their role was to assign appropriate physical quantities to incident one nodes. As a result of such modification, it was possible to assign the property of differential causation to the elements storing kinetic energy J without creating a causality conflict. In the classical method of bond graphs, elements that store kinetic energy are assigned integral causality. A topological structure mapped to the so-called Lagrange bond graph is shown in Figure 4.
At this point, one could ask how to identify the edges of a bond graph (i.e., how to define the sense of a half-arrow). The easiest way to conduct this is to treat the edges of a bond graph as hydraulic lines; in effect, the half-arrows define the direction of liquid flow along these fictitious lines. To determine the direction of power flow in a graph with respect to each structure of the graph, one must start from the source of the effort variable, and if there is none in the graph, then the power flow is determined based on the source of a flow type variable. In the considered bond graph, there are no real sources of the effort variable; therefore, the power flow is determined based on the source of a flow type variable. In the first stage of the derivation of the mathematical model, the cause-and-effect relationships in the one and zero nodes of the bond graph were determined (Figure 4). In the case under analysis, there were two one-nodes and two zero-nodes. As for the one node, there was a super-position of the effort variable, and additionally, all edges of an incident with node one were assigned the same flow variable. From a mathematical point of view, the cause-and-effect relationship occurring in node one (see the bond graph in Figure 4) is given by the equations:
{ e 1 = e 2 , e 4 = e 5 + e 6 + e 7 , { f 1 = f 2 = y ˙ 1 , f 4 = f 5 = f 6 = f 7 ,
On the other hand, regarding the zero nodes, all incident edges with the null node are assigned the same value of the effort variable while the flow type variables are summed as:
{ f 4 = f 3 f 2 , f 8 = f 9 + f 10 , { e 3 = e 2 = e 4 , e 8 = e 9 = e 10 = u ,
where:
f 3 = y ˙ 0
Whatever the node type, the rule is that the edges “entering” the node are written with the sign “+”, whereas when the edge “leaves” the node, then the sign “-” is used. The cause-and-effect relationship between the flow and effort variables in the elements of the bond graph ultimately takes the form:
e 1 = m 1 d f 1 d t , e 5 = b B f 4 , e 6 = ( d 3 f 4 3 + d 2 f 4 2 d 1 f 4 ) d t , f 3 = y ˙ 0 , f 9 = 1 R Z e 9 , f 10 = C P d e 10 d t .
In the formulated bond graph, there is an additional element modeling energy transformation, “TF”, which was used to model the transformation of energy in a piezoelectric transducer. The cause-and-effect relationships occurring in this piezoelectric element are given by the equations:
e 7 = k P e 8 = k P u , f 8 = k P f 7 = k P f 4 .
After substituting the aforementioned causeeffect relationships to a system of equations (Equation (4)), we obtained the following differential equation:
m 1 d f 1 d t = e 2 , e 2 = e 4 = b B f 4 + d 3 f 4 3 + d 2 f 4 2 d 1 f 4 d t + k P u , where f 1 = y ˙ 1 and f 4 = y ˙ 0 y ˙ 1 m 1 d y ˙ 1 d t b B y ˙ 0 y ˙ 1 d 3 y 0 y 1 3 d 2 y 0 y 1 2 + d 1 y 0 y 1 k P u = 0 .
At the same time, the equation describing the dynamics of an electrical subsystem was obtained from the dependencies corresponding to the null nodes (Equation (5)):
{ f 4 = y ˙ 0 y ˙ 1 , k P f 4 = 1 R Z e 9 + C P d e 10 d t ,   where   e 9 = e 10 = u ,   k P ( y ˙ 0 y ˙ 1 ) = 1 R Z u + C P d u d t .
After applying elementary transformations to the derived equations (Equations (8) and (9)), we finally obtained an explicit representation of the mathematical model modeling the dynamics of the energy recovery system:
{ m 1 d 2 y 1 d t 2 + b B ( d y 1 d t d y 0 d t ) + d 3 ( y 1 y 0 ) 3 d 1 ( y 1 y 0 ) + d 2 ( y 1 y 0 ) 2 k P u = 0 , C P d u d t + 1 R Z u + k P ( d y 1 d t d y 0 d t ) = 0 .
In the numerical calculations, it was assumed that the energy recovery system was affected by external mechanical vibrations modeled by the harmonic function y 0 = A cos ( ω W t ) . Additionally, we introduced a new coordinate, which we defined as a difference in the displacement of the ends of a flexible cantilever beam: q = y 1 y 0 .
{ x ¨ + 2 ζ x ˙ x ( 1 α x 2 ) + δ x 2 χ u = ω 2 p cos ( ω τ ) , u ˙ + λ u + κ x ˙ = 0 ,
where:
ω 0 2 = d 1 m 1 , τ = ω 0 t , ω = ω W ω 0 , x = q q 0 , p = A q 0 , 2 ζ = b B ω 0 m 1 , α = d 3 q 0 2 d 1 , δ = d 2 q 0 ω 0 2 m 1 , χ = k P ω 0 2 m 1 q 0 , λ = 1 C P R Z ω 0 , κ = k P q 0 C P , q 0 0.0288 .
It should be noted that the value of the scaling parameter q0 defines the position of the minimum well of the symmetric potential barrier.

3. Numerical Results

The calculations that follow are based on Equation (11). Figure 5 shows the results of simulations conducted for selected values of δ (δ = 0, 0.15, 0.3, 0.6). The numerical results reveal the sensitivity of the effective voltage value induced on the piezoelectric electrodes and the exciting solutions to the asymmetric location of the potential well. The diagrams were plotted for 200 randomly selected initial conditions taken from the area of the phase plane:   x ϵ [−2, 2] and x ˙ ϵ [−2, 2].
For each plotted branch, the periodicity of the solution was identified based on the intersection points between the phase stream and the control plane of the Poincaré cross-section. Additionally, the lower index indicates the number of coexisting solutions with the same periodicity. Regardless of the size of the potential asymmetry defined by δ, it can be observed that periodic solutions with a periodicity (response period) of 1T dominate in the range of low values ω < 1 (where T is the excitation period). When increasing the asymmetry of the potential barrier, this area widens towards higher values of the dimensionless excitation frequency. Similar behavior was observed for the zones with chaotic solutions. In the plotted diagrams, for the bands indicating the occurrence of chaotic solutions, the RMS voltage values are marked in yellow. Periodic solutions with a response period of TR > 1T are excited in the range of high values of ω. These solutions are subharmonic [19,21]. At this point, it should be highlighted that by “high frequencies”, we mean the areas located on the right to the areas where the chaotic solutions occur. In these areas, we deal with periodic solutions of different periodicity, which are characterized by stable large and small orbits of the mechanical resonator. By “large orbit“, we understand a solution whose trajectory runs around both wells of the potential barrier. From the point of view of energy harvesting, only large orbits are of interest because their presence significantly increases the efficiency of energy harvesting. In other words, we are not interested in solutions with small orbits, which are represented by the branches located in the area marked in bright orange, i.e., uRMS < 0.3.
The plotting of effective value diagrams for a large number of initial conditions is a time-consuming process. For this reason, it is justified to make a choice between the accuracy of calculations and the time spent on performing a required number of computer simulations. To obtain relatively accurate results, we performed additional numerical simulations, which were carried out for five times as many of the analyzed initial conditions. In addition, we extended the time in which transient processes were extinguished and non-permanent solutions occurred.
The diagrams below (Figure 6) show examples of orbits of the coexisting solutions characterized by efficient energy harvesting. For each solution with a given periodicity, the probability of its occurrence was calculated. For the sake of clarity, the visualization of the stable periodic orbits was limited to presenting one of the coexisting solutions with the same periodicity.
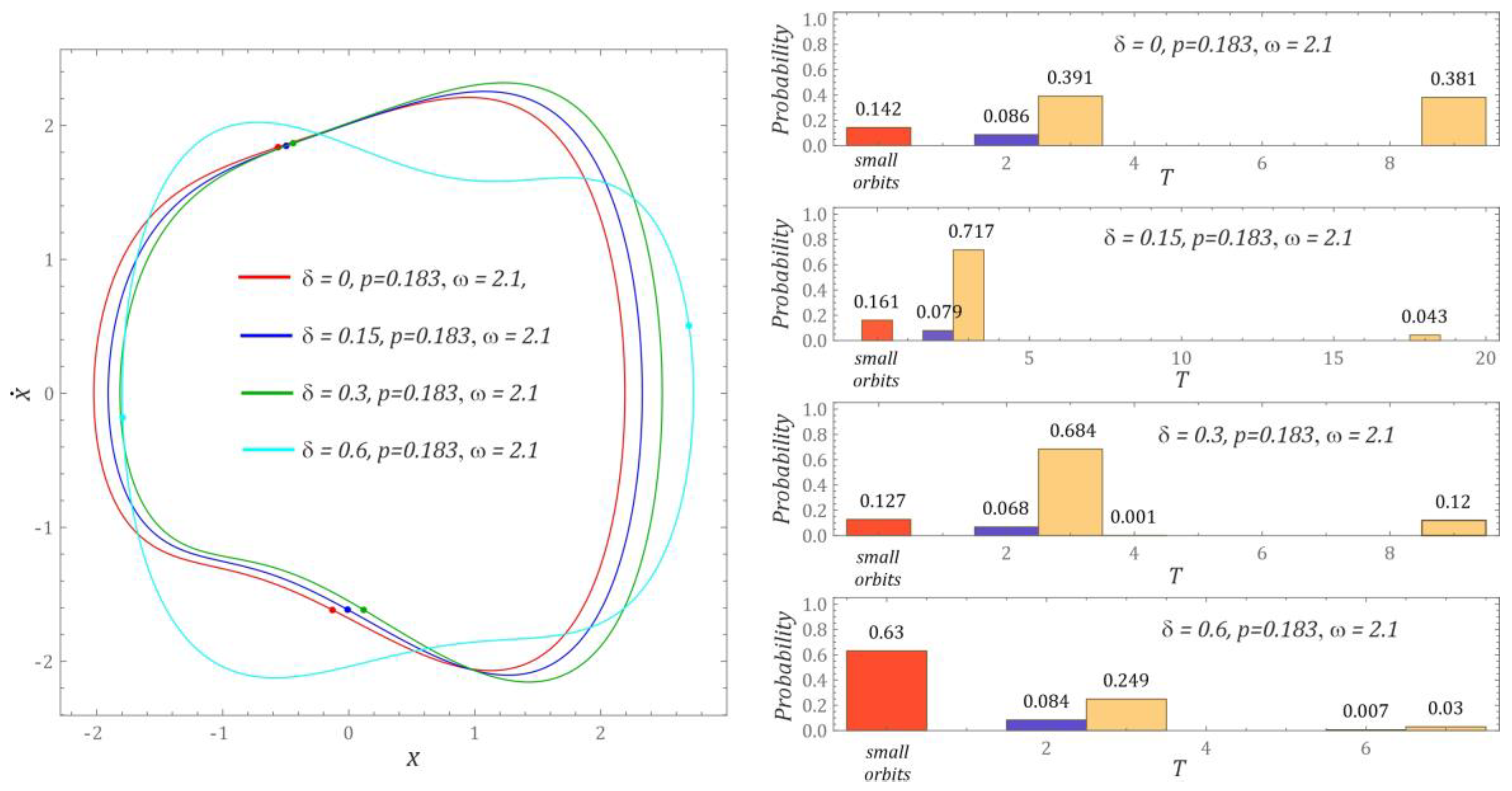
For the frequency ω = 1.9 (Figure 6a), there are two periodic solutions with a periodicity of 2T (T stands for the excitation period) and 3T, the trajectories of which run around the potential barrier wells. The 2T-periodic solution is characterized by a higher energy harvesting efficiency. Although the 2T-periodic solutions were characterized by increased energy harvesting efficiency, they occurred almost six times less frequently than the 3T-periodic responses. If the energy recovery system is affected by external excitation with the frequency ω = 2.1 (Figure 6b), there exist three large solutions with the following periodicities: 2T, 3T, and 9T. Detailed numerical analyzes also showed the presence of 7T-period responses. Nevertheless, for the considered phase space, the probability of achieving this solution is approx. 0.002. At this point, it should also be noted that in the plotted diagram of the effective values of the voltage induced on the piezoelectric electrodes, a branch with such periodicity does not appear at all. This situation is most likely caused by the lower accuracy of the numerical calculations associated with plotting the diagrams of RMS voltage values. Another explanation is the attraction of the 7T-period orbit by the 9T-periodic solution, the probability of which is approx. 0.349. In the case under consideration, we are dealing with low-energy solutions, and the probability of achieving them is approx. 0.163. Let us recall that these solutions are located in the memories that are marked in light orange in the diagrams (Figure 5). In the case under consideration, the solutions with the highest efficiency of 2T-period energy harvesting occur relatively rarely, and the probability of their achievement is about 0.077. Regarding the excitation frequency ω = 2.1, the greatest probability amounts to approx. 0.409 was identified for the solution with an odd 3T periodicity.
In the example of coexisting solutions that occur at an external load acting with a frequency of ω = 2.6 (Figure 6c), the probability of achieving a low-energy solution is approximately 0.179. From the point of view of energy recovery, in this particular example, there are three effective orbits with three periodicities: 2T, 3T, and 6T. The solutions with the highest efficiency of energy harvesting (2T-periodic) occur sporadically because the probability of their achievement is about 0.005. This low probability value means, in fact, that the excitation frequency value is basically at the end of the branch where these solutions occur. The highest probability (0.614) of achieving a stable periodic orbit was observed for the 3T-periodic solution. On the other hand, an orbit characterized by a periodicity of 6T is achievable with a probability of 0.202. At this point, it is worth noting that the 6T-the periodic solution has better energy harvesting properties than the 3T-periodic solution. Even periodic solutions (which are the subject matter of this study) also occur in the range of high excitation frequency values. An example of such a case is shown in the diagram (Figure 6d). It is worth noting that in terms of high excitation frequencies, the solutions with low energy recovery efficiencies are dominant, as the probability of their achievement is over 28.95%. In the analyzed example and among the stable periodic solutions, the probability of achieving a solution with an even periodicity of 4T is approx. 0.087.
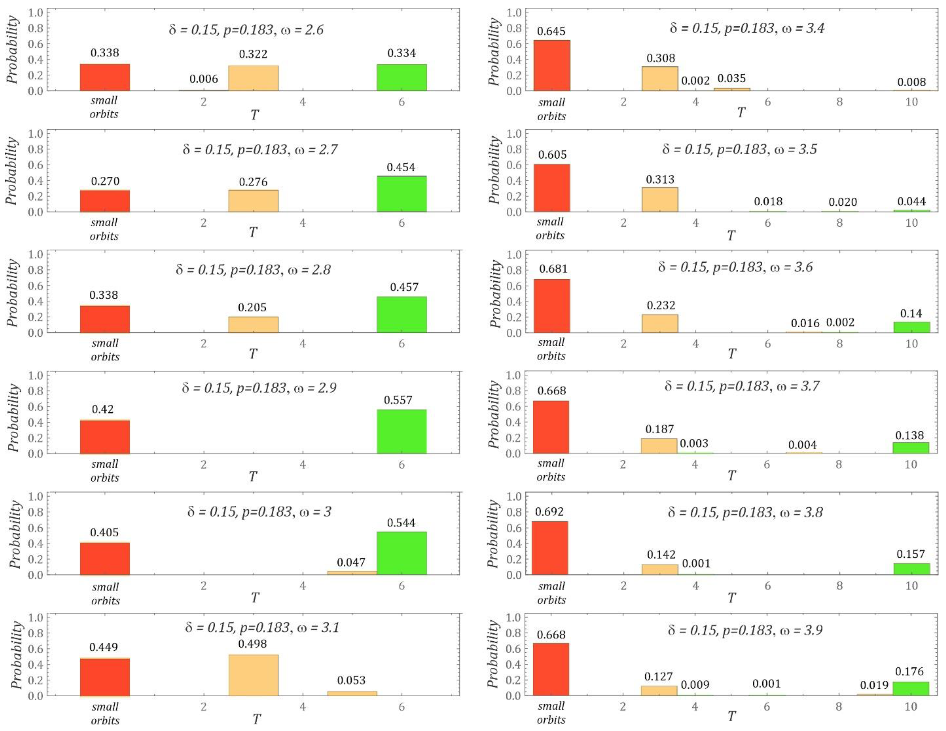
Additionally, in Figure 7, we present the results for two selected subharmonic solutions (solutions with periodicity 2T). It must be noted that the original solution for δ = 0 is asymmetric. Interestingly, the probabilities of particular solutions indicate that the inclusion of asymmetry to the potential does not stabilize that solution in the investigated cases. Namely, δ = 0.15 and 0.3 seem to favor the 3T solution significantly. On the other hand, δ = 0.6 favors the 1T solution. Further results (in Figure 8) summarize the probability of achieving an asymmetric potential while increasing the excitation frequency ω. The solutions of corresponding periodicities follow the related subharmonic branches given in Figure 5b. The diagrams in the figure show the probability of their occurrence. It should be stressed that the T = 6 solution is dominant for the large interval of ω ϵ [2.7, 3]. This could be an effect of asymmetry. It should be noted that the resonator orbits plotted in Figure 6c (for ω = 2.6), corresponding to the solutions 3T and 6T, are similar in terms of both voltage output (Figure 5) and the Poincaré statistics using a ratio of the number of loops to the number of Poincaré points.

4. Conclusions

The asymmetric potential removes frequency degeneration for the particular solutions pinned to the stable equilibria. This effect is relevant mainly to the small orbits, but it could also be applied to the large orbits, provided that they are distributed unequally with respect to both sides of the potential barrier. Namely, the asymmetric potential leads to the richer dynamical response of the system, including solutions of various characteristic frequencies. Consequently, the system is sensitive to a wider interval of input excitation frequencies.
This study investigated the probability of the occurrence of different solutions with the change from a symmetric double well to an asymmetric double well. The results have shown that the stability of particular solutions changes insignificantly for most cases of small-periodicity solutions (subharmonic solutions 2T, 3T). Our preliminary results have demonstrated that the solution of periodicity for 3T is relatively strong, but the 6T solution could become more stable than the 3T solution and other solutions for the asymmetric potential in some regions of the excitation frequency. Furthermore, our calculations have shown that the higher periodicity solutions of 5T, 7T, 9T, and 10T disappear gradually while increasing the asymmetry of the double-well potential. It should be noted that this effect makes other solutions stable. Nevertheless, to provide more information about the subharmonic branches (Figure 5), their stability, and their impact on the power input, one should study the corresponding basins of attraction. The study has also indicated the extension of chaotic intervals in terms of frequency (see the corresponding branches in Figure 5) with an increase in potential asymmetry. In fact, the chaotic solutions could also be useful for energy harvesting, as they belong to high-energy transmission solutions. Nevertheless, any irregular change in the voltage might cause problems in more advanced electrical circuits. Their chaotic nature should also be confirmed by estimating the Lyapunov exponent. This is left for the next part of our studies.
Note that the large vibration amplitude limit is not relevant in the present model because higher polynomial order terms in the nonlinear potential were neglected. On the other hand, the asymmetric system designed by springs can have some limitations in miniaturization, where mechanical springs can be substituted by magnets to create similar potential wells.

Author Contributions

Conceptualization, J.M. and G.L.; methodology, J.M., J.C., P.W., X.M., S.Z. and G.L.; software, J.M. and D.G.; validation, J.M., J.C., P.W., G.L. and D.G.; formal analysis, J.M. and G.L.; investigation, J.M., D.G., P.W., X.M., S.Z. and G.L.; resources, S.Z.; data curation, J.M., J.C., X.M. and S.Z.; writing—original draft preparation, J.M., D.G., X.M., S.Z. and G.L.; writing—review and editing, G.L., P.W., J.C., J.M., D.G. and S.Z.; visualization, J.M.; supervision, G.L., S.Z. and J.M.; project administration, G.L. and J.M.; funding acquisition, G.L. and S.Z. All authors have read and agreed to the published version of the manuscript.

Funding

This research was funded by National Science Centre, Poland under the project SHENG-2, No. 2021/40/Q/ST8/00362 and the National Natural Science Foundation of China (Grant No. 52161135106).

Institutional Review Board Statement

Not applicable.

Informed Consent Statement

Not applicable.

Data Availability Statement

Data are contained within the article.

Conflicts of Interest

The authors declare no conflict of interest.

References

  1. Mitcheson, P.D.; Yeatman, E.M.; Rao, G.K.; Holmes, A.S.; Green, T.C. Energy harvesting from human and machine motion for wireless electronic devices. Proc. IEEE 2008, 96, 1457–1486. [Google Scholar] [CrossRef]
  2. Iannacci, J. Microsystem based Energy Harvesting (EH-MEMS): Powering pervasivity of the Internet of Things (IoT)–A review with focus on mechanical vibrations. J. King Saud. Univ. Sci. 2019, 31, 66–74. [Google Scholar] [CrossRef]
  3. Ma, X.; Zhou, S. A review of flow-induced vibration energy harvesters. Energy Convers. Manag. 2022, 254, 115223. [Google Scholar] [CrossRef]
  4. Zhang, Z.; Xiang, H.; Shi, Z.; Zhan, J. Experimental investigation on piezoelectric energy harvesting from vehicle-bridge coupling vibration. Energy Convers. Manag. 2018, 163, 169–179. [Google Scholar] [CrossRef]
  5. Shahruz, S.M. Design of mechanical band-pass filters for energy scavenging. J. Sound. Vib. 2006, 292, 987–998. [Google Scholar] [CrossRef]
  6. Haryanto, I.; Widodo, A.; Prahasto, T.; Satrijo, D.; Pradiptya, I.; Ouakad, H. Simulation and analysis of the aeroelastic-galloping-based piezoelectric energy harvester utilizing FEM and CFD. MATEC Web. Conf. 2018, 159, 01052. [Google Scholar] [CrossRef][Green Version]
  7. Younesian, D.; Alam, M.R. Multi-stable mechanisms for high-efficiency and broadband ocean wave energy harvesting. Appl. Energy 2017, 197, 292–302. [Google Scholar] [CrossRef]
  8. Keshmiri, A.; Deng, X.; Wu, N. New energy harvester with embedded piezoelectric stacks. Compos. Part B Eng. 2019, 163, 303–313. [Google Scholar] [CrossRef]
  9. Erturk, A.; Inman, D.J. Piezoelectric Energy Harvesting; John Wiley and Sons: Chichester, UK, 2011. [Google Scholar] [CrossRef]
  10. Kumar, A.; Balpande, S.S.; Anjankar, S.C. Electromagnetic Energy Harvester for Low Frequency Vibrations Using MEMS. Procedia Comput. Sci. 2016, 79, 785–792. [Google Scholar] [CrossRef]
  11. Aljadiri, R.T.; Taha, L.Y.; Ivey, P. Electrostatic Energy Harvesting Systems: A Better Understanding of Their Sustainability Electrostatic Energy Harvesting Systems. J. Clean. Energy Technol. 2017, 5, 409–416. [Google Scholar] [CrossRef]
  12. Kim, I.-H.; Jung, H.-J.; Lee, B.M.; Jang, S.-J. Broadband energy-harvesting using a two degree-of-freedom vibrating body. Appl. Phys. Lett. 2011, 98, 214102. [Google Scholar] [CrossRef]
  13. Blokhina, E.; El Aroudi, A.; Alarcon, E.; Galayko, D. Nonlinearity in Energy Harvesting Systems: Micro- and Nanoscale Applications; Springer: Cham, Switzerland, 2016. [Google Scholar] [CrossRef]
  14. Twiefel, J.; Westermann, H. Survey on broadband techniques for vibration energy harvesting. J. Intell. Mater. Syst. Struct. 2013, 24, 1291–1302. [Google Scholar] [CrossRef]
  15. Daqaq, M.F.; Masana, R.; Erturk, A.; Quinn, D.D. On the role of nonlinearities in vibratory energy harvesting: A critical review and discussion. Appl. Mech. Rev. 2014, 66, 040801. [Google Scholar] [CrossRef]
  16. Friswell, M.I.; Ali, S.F.; Bilgen, O.; Adhikari, S.; Lees, A.W.; Litak, G. Non-linear piezoelectric vibration energy harvesting from a vertical cantilever beam with tip mass. J. Intell. Mater. Syst. Struct. 2012, 23, 1505–1521. [Google Scholar] [CrossRef]
  17. Litak, G.; Manoach, E.; Halvorsen, E. Nonlinear and multiscale dynamics of smart materials in energy harvesting. Eur. Phys. J. Spec. Top. 2015, 224, 2671–2673. [Google Scholar] [CrossRef][Green Version]
  18. Erturk, A.; Hoffmann, J.; Inman, D.J. A piezomagnetoelastic structure for broadband vibration energy harvesting. Appl. Phys. Lett. 2009, 94, 254102. [Google Scholar] [CrossRef]
  19. Litak, G.; Ambrożkiewicz, B.; Wolszczak, P. Dynamics of a nonlinear energy harvester with subharmonic responses. J. Phys.Conf. Ser. 2021, 1736, 012032. [Google Scholar] [CrossRef]
  20. Harne, R.L.; Wang, K.W. A review of the recent research on vibration energy harvesting via bistable systems. Smart Mater. Struct. 2013, 22, 023001. [Google Scholar] [CrossRef]
  21. Huguet, T.; Lallart, M.; Badel, A. Orbit jump in bistable energy harvesters through buckling level modification. Mech. Syst. Signal. Process. 2019, 128, 202–215. [Google Scholar] [CrossRef]
  22. Lan, C.; Qin, W. Enhancing ability of harvesting energy from random vibration by decreasing the potential barrier of bistable harvester. Mech. Syst. Signal. Process. 2017, 85, 71–81. [Google Scholar] [CrossRef]
  23. Zhou, S.; Cao, J.; Inman, D.J.; Lin, J.; Liu, S.; Wang, Z. Broadband tristable energy harvester: Modeling and experiment verification. Appl. Energy 2014, 133, 33–39. [Google Scholar] [CrossRef]
  24. Zhou, S.; Cao, J.; Litak, G.; Lin, J. Numerical analysis and experimental verification of broadband tristable energy harvesters. Tm-Tech. Messen. 2018, 85, 521–532. [Google Scholar] [CrossRef]
  25. Kim, P.; Seok, J. Dynamic and energetic characteristics of a tri-stable magnetopiezoelastic energy harvester. Mech. Mach. Theory 2015, 94, 41–63. [Google Scholar] [CrossRef]
  26. Kim, P.; Son, D.; Seok, J. Triple-well potential with a uniform depth: Advantageous aspects in designing a multi-stable energy harvester. Appl. Phys. Lett. 2016, 108, 243902. [Google Scholar] [CrossRef]
  27. Zhou, Z.; Qin, W.; Yang, Y.; Zhu, P. Improving efficiency of energy harvesting by a novel penta-stable configuration. Sens. Actuators A Phys. 2017, 265, 297–305. [Google Scholar] [CrossRef]
  28. Giri, A.M.; Ali, S.F.; Arockiarajan, A. Dynamics of symmetric and asymmetric potential well-based piezoelectric harvesters: A comprehensive review. J. Intell. Mater. Syst. Struct. 2020, 32, 1881–1947. [Google Scholar] [CrossRef]
  29. He, Q.; Daqaq, M.F. Influence of potential function asymmetries on the performance of nonlinear energy harvesters under white noise. In Proceedings of the International Design Engineering Technical Conferences and Computers and Information in Engineering Conference, Buffalo, NY, USA, 17–20 August 2014. [Google Scholar]
  30. Zhou, S.; Zuo, L. Nonlinear dynamic analysis of asymmetric tristable energy harvesters for enhanced energy harvesting. Commun. Nonlinear Sci. Numer. Simul. 2018, 61, 271–284. [Google Scholar] [CrossRef]
  31. Ma, X.; Li, H.; Zhou, S.; Yang, Z.; Litak, G. Characterizing nonlinear characteristics of asymmetric tristable energy harvesters. Mech. Syst. Signal. Process. 2022, 168, 108612. [Google Scholar] [CrossRef]
  32. Paynter, H.M. Analysis and Design of Engineering Systems; MIT Press: Cambridge, MA, USA, 1961. [Google Scholar]
  33. Karnopp, D.C.; Rosenberg, R.C. Analysis and Simulation of Multiport Systems; MIT Press: Cambridge, MA, USA, 1968. [Google Scholar]
  34. Karnopp, D.C.; Margolis, D.L.; Rosenberg, R.C. System Dynamics: Modeling and Simulation of Mechatronic Systems, 3rd ed.; Horizon: New York, NY, USA, 2000. [Google Scholar]
  35. Gawthrop, P.; Smith, L. Metamodelling: For Bond Graphs and Dynamic Systems; Prentice Hall: London, UK, 1996. [Google Scholar]
  36. Gawthrop, P.J.; Bevan, G.P. Bond-graph modeling. IEEE Contr. Syst. 2007, 27, 24–45. [Google Scholar] [CrossRef]
  37. Umarikar, A.C.; Mishra, T.; Umanand, L. Bond graph simulation and symbolic extraction toolbox in matlab/Simulink. J. Indian Inst. Sci. 2006, 86, 45–68. [Google Scholar]
  38. Zawislak, S.; Rysinski, J. Graph-Based Modelling in Science, Technology and Art, (Mechan. Machine Science); Springer: Cham, Switzerland, 2022; Volume 107. [Google Scholar] [CrossRef]
Figure 1. Schematic diagram showing the tested design solutions of an energy harvesting system: (a) Asymmetric, (b) Symmetric (with respect to the vertical direction).
Figure 1. Schematic diagram showing the tested design solutions of an energy harvesting system: (a) Asymmetric, (b) Symmetric (with respect to the vertical direction).
Energies 15 09469 g001
Figure 2. Schematic diagram which was used for identifying effective mechanical characteristics. The system parameters provided in the figure are discussed in the text.
Figure 2. Schematic diagram which was used for identifying effective mechanical characteristics. The system parameters provided in the figure are discussed in the text.
Energies 15 09469 g002
Figure 3. Three-dimensional visualization of the relationship between parameter δ~d2 (see the dimensionless equation in Equations (11) and (12)) and: (a) Potential wells and barrier, (b) Mechanical characteristics (restoring force).
Figure 3. Three-dimensional visualization of the relationship between parameter δ~d2 (see the dimensionless equation in Equations (11) and (12)) and: (a) Potential wells and barrier, (b) Mechanical characteristics (restoring force).
Energies 15 09469 g003
Figure 4. Bond graph of the analyzed energy harvesting system.
Figure 4. Bond graph of the analyzed energy harvesting system.
Energies 15 09469 g004
Figure 5. Diagrams of the rms values of voltage induced on piezoelectric electrodes for p = 0.183 and randomly selected initial conditions: (a) δ = 0, (b) δ = 0.15, (c) δ = 0.3, (d) δ = 0.6, κ = 0.5. The branches of broadly distributed points correspond to non-regular (chaotic) solutions. The corresponding frequency bands are marked in yellow. The bright orange color stripe denotes the region of low-energy solutions for the resonator motion located in a single potential well. The response periods nT are with respect to the excitation period T. For n = 1, the response frequency (period) is the same as the excitation frequency. For n > 1 the solutions represented are the small and large orbit solutions with subharmonic nature.
Figure 5. Diagrams of the rms values of voltage induced on piezoelectric electrodes for p = 0.183 and randomly selected initial conditions: (a) δ = 0, (b) δ = 0.15, (c) δ = 0.3, (d) δ = 0.6, κ = 0.5. The branches of broadly distributed points correspond to non-regular (chaotic) solutions. The corresponding frequency bands are marked in yellow. The bright orange color stripe denotes the region of low-energy solutions for the resonator motion located in a single potential well. The response periods nT are with respect to the excitation period T. For n = 1, the response frequency (period) is the same as the excitation frequency. For n > 1 the solutions represented are the small and large orbit solutions with subharmonic nature.
Energies 15 09469 g005
Figure 6. Examples of orbits of the coexisting periodic solutions together with the probability diagrams illustrating the probability of their achievement: (a) ω = 1.9, (b) ω = 2.1, (c) ω = 2.6, (d) ω = 3.8. Note that the Poincaré points denoted by the black circles correspond to the numbers of excitation input periods for a single output period of system response. The horizontal axis T is related to the excitation period, and it is the unit of the response periodicity in the response probability diagrams.
Figure 6. Examples of orbits of the coexisting periodic solutions together with the probability diagrams illustrating the probability of their achievement: (a) ω = 1.9, (b) ω = 2.1, (c) ω = 2.6, (d) ω = 3.8. Note that the Poincaré points denoted by the black circles correspond to the numbers of excitation input periods for a single output period of system response. The horizontal axis T is related to the excitation period, and it is the unit of the response periodicity in the response probability diagrams.
Energies 15 09469 g006
Figure 7. Numerical results showing the influence of potential asymmetry on the probability of occurrence of particular solutions for different values of δ (δ = 0.0, 0.15, 0.30, and 0.60, respectively). The horizontal axis T is related to the excitation period, and it is the unit of the response periodicity in the response probability diagrams. The colors represent the different orbits of δ parameter.
Figure 7. Numerical results showing the influence of potential asymmetry on the probability of occurrence of particular solutions for different values of δ (δ = 0.0, 0.15, 0.30, and 0.60, respectively). The horizontal axis T is related to the excitation period, and it is the unit of the response periodicity in the response probability diagrams. The colors represent the different orbits of δ parameter.
Energies 15 09469 g007
Figure 8. Numerical results showing the influence of potential asymmetry on the probability of occurrence (periodicity diagrams) of individual solutions for different values of ω (ω = 2.6, 2.7, 2.8, 2.9, 3.0, 3.1, 3.4, 3.5, 3.6, 3.7, 3.8, and 3.9, respectively). The colors represent the different orbits of δ parameter.
Figure 8. Numerical results showing the influence of potential asymmetry on the probability of occurrence (periodicity diagrams) of individual solutions for different values of ω (ω = 2.6, 2.7, 2.8, 2.9, 3.0, 3.1, 3.4, 3.5, 3.6, 3.7, 3.8, and 3.9, respectively). The colors represent the different orbits of δ parameter.
Energies 15 09469 g008
Table 1. Geometric and elastic parameters describing the tested system.
Table 1. Geometric and elastic parameters describing the tested system.
Parameter NameSymbolValue
Upper main springsc21 = c2252.02 Nm−1
Bottom main springsc31 = c3225 Nm−1
Compensation springsc11 = c128.83 Nm−1
Horizontal attachment points for upper main springsa21 = a220 m
Horizontal mounting points for bottom main springsa31 = a320 m
Horizontal attachment points for compensation springsa11 = a120.05 m
Vertical mounting points for upper main springsh20.1 m
Vertical mounting points for lower main springsh30.1 m
Publisher’s Note: MDPI stays neutral with regard to jurisdictional claims in published maps and institutional affiliations.

Share and Cite

MDPI and ACS Style

Litak, G.; Wolszczak, P.; Caban, J.; Margielewicz, J.; Gąska, D.; Ma, X.; Zhou, S. Energy Harvesting Using a Nonlinear Resonator with Asymmetric Potential Wells. Energies 2022, 15, 9469. https://doi.org/10.3390/en15249469

AMA Style

Litak G, Wolszczak P, Caban J, Margielewicz J, Gąska D, Ma X, Zhou S. Energy Harvesting Using a Nonlinear Resonator with Asymmetric Potential Wells. Energies. 2022; 15(24):9469. https://doi.org/10.3390/en15249469

Chicago/Turabian Style

Litak, Grzegorz, Piotr Wolszczak, Jacek Caban, Jerzy Margielewicz, Damian Gąska, Xiaoqing Ma, and Shengxi Zhou. 2022. "Energy Harvesting Using a Nonlinear Resonator with Asymmetric Potential Wells" Energies 15, no. 24: 9469. https://doi.org/10.3390/en15249469

APA Style

Litak, G., Wolszczak, P., Caban, J., Margielewicz, J., Gąska, D., Ma, X., & Zhou, S. (2022). Energy Harvesting Using a Nonlinear Resonator with Asymmetric Potential Wells. Energies, 15(24), 9469. https://doi.org/10.3390/en15249469

Note that from the first issue of 2016, this journal uses article numbers instead of page numbers. See further details here.

Article Metrics

Back to TopTop