Thermal Energy and Exhaust Emissions of a Gasifier Stove Feeding Pine and Hemp Pellets
Abstract
1. Introduction
2. Materials and Methods
- Q—heat obtained [MJ],
- cw—water specific heat [4.2 kJ·(kg⋅K)−1],
- m—water weight [kg],
- ΔT—water temperature difference [K].
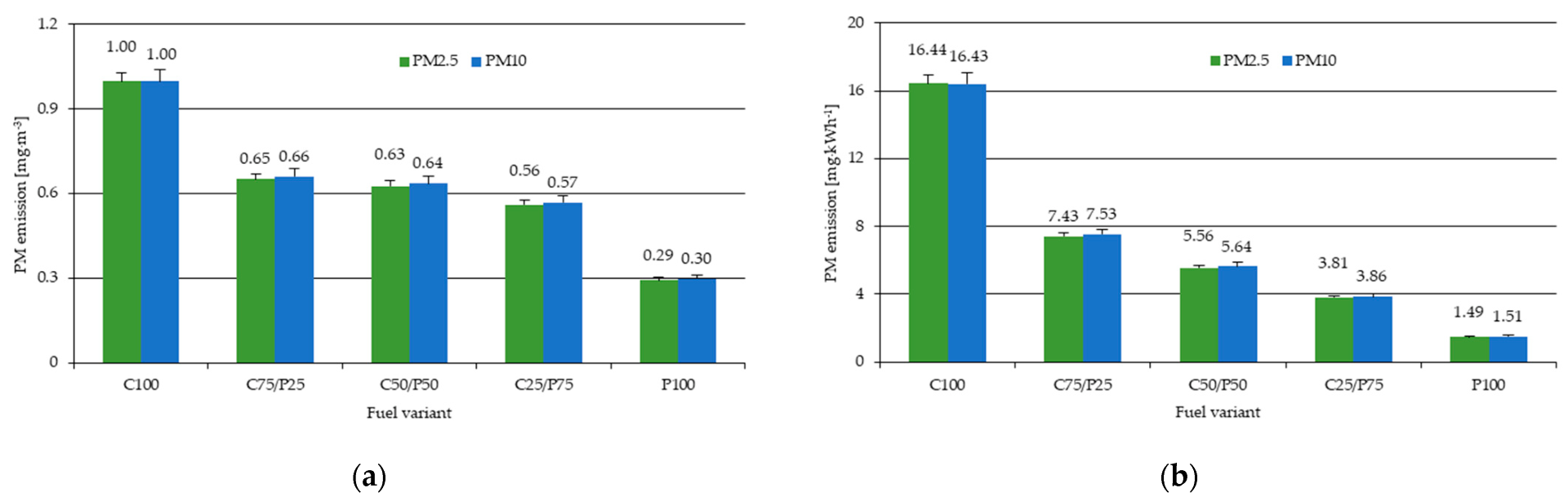
3. Results and Discussion
4. Conclusions
Author Contributions
Funding
Data Availability Statement
Conflicts of Interest
References
- World Bioenergy Association. Global Bioenergy Statistics 2020; World Bioenergy Association: Stockholm, Sweden, 2020; Volume 3, p. 49. [Google Scholar]
- IEA. Biofuels. In Renewables 2021; IEA: Paris, France, 2021; Available online: https://www.iea.org/reports/renewables-2021 (accessed on 17 November 2022).
- Papadopoulou, E.; Bikiaris, D.; Chrysafis, K.; Wladyka-Przybylak, M.; Wesolek, D.; Mankowski, J.; Kolodziej, J.; Baraniecki, P.; Bujnowicz, K.; Gronberg, V. Value-added industrial products from bast fiber crops. Ind. Crop. Prod. 2015, 68, 116–125. [Google Scholar] [CrossRef]
- Schneider, T.; Müller, D.; Karl, J. A review of thermochemical biomass conversion combined with Stirling engines for the small-scale cogeneration of heat and power. Renew. Sustain. Energy Rev. 2020, 134, 110288. [Google Scholar] [CrossRef]
- Usmani, Z.; Sharma, M.; Awasthi, A.K.; Sivakumar, N.; Lukk, T.; Pecoraro, L.; Thakur, V.K.; Roberts, D.; Newbold, J.; Gupta, V.K. Bioprocessing of waste biomass for sustainable product development and minimising environmental impact. Bioresour. Technol. 2021, 322, 124548. [Google Scholar] [CrossRef] [PubMed]
- Voća, N.; Leto, J.; Karažija, T.; Bilandžija, N.; Peter, A.; Kutnjak, H.; Šuri’c, J.; Poljak, M. Energy Properties and Biomass Yield of Miscanthus x Giganteus Fertilized by Municipal Sewage Sludge. Molecules 2021, 26, 4371. [Google Scholar] [CrossRef]
- Winkler, B.; Mangold, A.; von Cossel, M.; Clifton-Brown, J.; Pogrzeba, M.; Lewandowski, I.; Iqbal, Y.; Kiesel, A. Implementing miscanthus into farming systems: A review of agronomic practices, capital and labour demand. Renew. Sustain. Energy Rev. 2020, 132, 110053. [Google Scholar] [CrossRef]
- Liu, X.; Shen, J.; Guo, Y.; Wang, S.; Chen, B.; Luo, L.; Zhang, H. Technical progress and perspective on the thermochemical conversion of kitchen waste and relevant applications: A comprehensive review. Fuel 2023, 331, 125803. [Google Scholar] [CrossRef]
- Swetha, A.T.; Mohanrasu, K.; Sudhakar, M.; Raja, R.; Ponnuchamy, K.; Muthusamy, G.; Arun, A. A comprehensive review on techniques used in conversion of biomass into bioeconomy. Sustain. Energy Technol. Assess. 2022, 53, 102682. [Google Scholar] [CrossRef]
- Wiśniewski, D.; Siudak, M.; Piechocki, J. Small-Scale Energy Use of Agricultural Biogas Plant Wastes by Gasification. In Gasification for Low-Grade Feedstock; Yun, Y., Ed.; IntechOpen: London, UK, 2017; pp. 191–206. [Google Scholar] [CrossRef]
- Przydatek, G.; Wota, A.K. Analysis of the comprehensive management of sewage sludge in Poland. J. Mater. Cycles Waste 2020, 22, 80–88. [Google Scholar] [CrossRef]
- Vávrová, K.; Solcova, O.; Knápek, J.; Weger, J.; Soukup, K.; Humešová, T.; Králík, T.; Bím, J. Economic evaluation of Hemp’s (Cannabis sativa) residual biomass for production of direct energy or biochar. Fuel 2022, 329, 125435. [Google Scholar] [CrossRef]
- Mańkowski, J.; Kołodziej, J.; Baraniecki, P.; Kubacki, A.; Pniewska, I.; Pudełko, K. Przywrócenie wartości rolniczej terenów zdegradowanych przemysłowo przez uprawę konopi włóknistych. In Innowacyjne Rozwiązania Rewitalizacji Terenów Zdegradowanych; Skowronek, J., Ed.; Instytut Ekologii Terenów Uprzemysłowionych: Katowice, Poland, 2016; Volume 8, pp. 183–197. Available online: https://www.researchgate.net/publication/316172134 (accessed on 23 November 2022).
- Ajanovic, A. Biofuels versus food production: Does biofuels production increase food prices? Energy 2011, 36, 2070–2076. [Google Scholar] [CrossRef]
- Bora, B.J.; Dai Tran, T.; Shadangi, K.P.; Sharma, P.; Said, Z.; Kalita, P.; Buradi, A.; Ngyen van, N.; Niyas, H.; Pham, M.T.; et al. Improving combustion and emission characteristics of a biogas/biodiesel-powered dual-fuel diesel engine through trade-off analysis of operation parameters using response surface methodology. Sustain. Energy Technol. Assess. 2022, 53, 102455. [Google Scholar] [CrossRef]
- Said, Z.; Le, D.T.N.; Sharma, P.; Dang, V.H.; Le, H.S.; Nguyen, D.T.; Bui, T.A.E.; Nguyen, V.G. Optimization of combustion, performance, and emission characteristics of a dual-fuel diesel engine powered with microalgae-based biodiesel/diesel blends and oxyhydrogen. Fuel 2022, 326, 124987. [Google Scholar] [CrossRef]
- Krieger, M.; Kurek, K.A.; Brommer, M. Global geothermal industry data collection: A systematic review. Geothermics 2022, 104, 102457. [Google Scholar] [CrossRef]
- Usman, I.M.T.; Ho, J.C.; Baloo, L.; Lam, M.K.; Sujarwo, W. A comprehensive review on the advances of bioproducts from biomass towards meeting net zero carbon emissions (NZCE). Bioresour. Technol. 2022, 366, 128167. [Google Scholar] [CrossRef] [PubMed]
- Luo, X.; Wu, T.; Shi, K.; Song, M.; Rao, Y. Biomass Gasification: An Overview of Technological Barriers and Socio-Environmental Impact. In Gasification for Low-Grade Feedstock; Yun, Y., Ed.; IntechOpen: London, UK, 2018; pp. 1–15. [Google Scholar] [CrossRef]
- Kpalo, S.Y.; Zainuddin, M.F.; Manaf, L.A.; Roslan, A.M. A Review of Technical and Economic Aspects of Biomass Briquetting. Sustainability 2020, 12, 4609. [Google Scholar] [CrossRef]
- Obi, O.F.; Pecenka, R.; Clifford, M.J. A Review of Biomass Briquette Binders and Quality Parameters. Energies 2022, 15, 2426. [Google Scholar] [CrossRef]
- Afif, M.K.; Biradar, C.H. Production of Biodiesel from Cannabis sativa (Hemp) Seed oil and its Performance and Emission Characteristics on DI Engine Fueled with Biodiesel Blends. Int. Res. J. Eng. Technol. 2019, 6, 246–253. [Google Scholar]
- Prade, T.; Finell, M.; Svensson, S.E.; Mattsson, J.E. Effect of harvest date on combustion related fuel properties of industrial hemp (Cannabis sativa L.). Fuel 2012, 102, 592–604. [Google Scholar] [CrossRef]
- Jasinskas, A.; Streikus, D.; Vonzodas, T. Fibrous hemp (Felina 32, USO 31, Finola) and fibrous nettle processing and usage of pressed biofuel for energy purposes. Renew. Energ. 2020, 149, 11–21. [Google Scholar] [CrossRef]
- Jarosz, Z.; Faber, A. Possibility of fulfilment of the European Union requirements in the field of sustainable biofuels production. Rocz. Nauk. Stowarzyszenia Ekon. Rol. I Agrobiz. 2015, 17, 85–90. Available online: http://biomasa.pw.iung.pl/pdf/publikacjeghg/1-Jarosz_SERIA_2015.pdf (accessed on 10 November 2022).
- DeCicco, J.M.; Liu, D.Y.; Heo, J.; Krishnan, R.; Kurthen, A.; Wang, L. Carbon balance effects of U.S. biofuel production and use. Clim. Chang. 2016, 138, 667–680. [Google Scholar] [CrossRef]
- IRENA. Bioenergy for the Energy Transition: Ensuring Sustainability and Overcoming Barriers; International Renewable Energy Agency: Abu Dhabi, United Arab Emirates, 2022; ISBN 978-92-9260-451-6. [Google Scholar]
- Bora, B.J.; Saha, U.K. Theoretical Performance Limits of a Biogas–Diesel Powered Dual Fuel Diesel Engine for Different Combinations of Compression Ratio and Injection Timing. J. Energ. Eng. 2016, 142, 2. [Google Scholar] [CrossRef]
- Wałowski, G. Development of biogas and biorafinery systems in Polish rural communities. J. Water Land Dev. 2021, 49, 156–168. [Google Scholar] [CrossRef]
- Sharma, S.; Kundu, A.; Basu, S.; Shetti, N.P.; Aminabhavi, T.M. Sustainable environmental management and related biofuel technologies. J. Environ. Manage. 2020, 273, 111096. [Google Scholar] [CrossRef]
- Stolarski, M.J.; Stachowicz, P.; Dudziec, P. Wood pellet quality depending on dendromass species. Renew. Energ. 2022, 199, 498–508. [Google Scholar] [CrossRef]
- Palmer, R. Identification and Comparison. In Encyclopedia of Forensic Sciences, 2nd ed.; Jay, A., Siegel, J.A., Saukko, P.J., Houck, M.M., Eds.; Academic Press: Cambridge, MA, USA; Elsevier: Amsterdam, The Netherlands, 2013; pp. 129–137. [Google Scholar] [CrossRef]
- Ram, M.; Mondal, M.K. Biomass gasification: A step toward cleaner fuel and chemicals. In Biofuels and Bioenergy; Gurunathan, B., Sahadevan, R., Zakaria, Z.A., Eds.; Elsevier: Amsterdam, The Netherlands, 2022; Volume 13, pp. 253–276. [Google Scholar] [CrossRef]
- Herdem, M.S. Performance investigation of a non-combustion heat carrier biomass gasifier for various reforming methods of pyrolysis products. Int. J. Green Energy 2022, 19, 62–71. [Google Scholar] [CrossRef]
- Sikarwar, V.S.; Zhao, M. Biomass Gasification. Encycl. Sustain. Technol. 2017, 3, 205–2016. [Google Scholar] [CrossRef]
- Available online: https://globalsyngas.org/syngas-technology/syngas-production/biomass-gasification/ (accessed on 23 November 2022).
- Sansaniwal, S.K.; Pal, K.; Rosen, M.A.; Tyagi, S.K. Recent advances in the development of biomass gasification technology: A comprehensive review. Renew. Sust. Energ. Rev. 2017, 72, 363–384. [Google Scholar] [CrossRef]
- Champion, W.M.; Grieshop, A.P. Pellet-Fed Gasifier Stoves Approach Gas-Stove Like Performance during in-Home Use in Rwanda. Environ. Sci. Technol. 2019, 53, 6570–6579. [Google Scholar] [CrossRef]
- Eurostat 2022. Available online: https://ec.europa.eu/eurostat (accessed on 14 November 2022).
- Eurostat 2021. Available online: Htps://agriculture.ec.europa.eu/system/files/2021-03/cdg-arable-crops-2020-02-03-minutes_en_0.pdf (accessed on 14 November 2022).
- GUS. Rocznik Statystyczny Rolnictwa = Statistical Yearbook of Agriculture; Statistics Poland: Warszawa, Poland, 2021; p. 225. [Google Scholar]
- Internetowy System Aktów Prawnych. Dz.U. 2022 poz. 764. In Ustawa z Dnia 24 Marca 2022 r. o Zmianie Ustawy o Przeciwdziałaniu Narkomanii oraz Niektórych Innych Ustaw; Internetowy System Aktów Prawnych: Warszawa, Poland, 2022. [Google Scholar]
- Internetowy System Aktów Prawnych. Dz.U. 2005 nr 179 poz. 1485. In Ustawa z Dnia 29 Lipca 2005 r. o Przeciwdziałaniu Narkomanii; Internetowy System Aktów Prawnych: Warszawa, Poland, 2005. [Google Scholar]
- Makowski, J.; Kołodziej, J.; Pudełko, K.; Kozłowski, R.M. 2020. Bast fibres: The role of hemp (Cannabis sativa L.) in remediation of degraded lands. In Handbook of Natural Fibres; Kozłowski, R.M., Mackiewicz-Talarczyk, M., Eds.; Elsevier: Amsterdam, The Netherlands; Woodhead Publishing: Sawston, UK, 2020; pp. 393–417. ISBN 978-0-12-818782-1. [Google Scholar]
- Petlickait, R.; Jasinskas, A.; Mieldažys, R.; Romaneckas, K.; Praspaliauskas, M.; Balandait, J. Investigation of Pressed Solid Biofuel Produced from Multi-Crop Biomass. Sustainability 2022, 14, 799. [Google Scholar] [CrossRef]
- Cintura, E.; Nunes, L.; Esteves, B.; Faria, P. Agro-industrial wastes as building insulation materials: A review and challenges for Euro-Mediterranean countries. Ind. Crops Prod. 2021, 171, 113833. [Google Scholar] [CrossRef]
- Konieczna, A.; Roman, K.; Roman, M.; Śliwiński, D.; Roman, M. Energy Efficiency of Maize Production Technology: Evidence from Polish Farms. Energies 2021, 14, 170. [Google Scholar] [CrossRef]
- Konieczna, A.; Roman, K.; Borek, K.; Grzegorzewska, E. GHG and NH3 Emissions vs. Energy Efficiency of Maize Production Technology: Evidence from Polish Farms; a Further Study. Energies 2021, 14, 5574. [Google Scholar] [CrossRef]
- European Commission. Agriculture and Rural Development. 2022. Available online: https://agriculture.ec.europa.eu/farming/crop-productions-and-plant-based-products/hemp_en (accessed on 15 November 2022).
- Gill, A.R.; Loveys, B.R.; Cowley, J.M.; Hall, T.; Cavagnaro, T.R.; Burton, R.A. Physiological and morphological responses of industrial hemp (Cannabis sativa L.) to water deficit. Ind. Crops Prod. 2022, 187, 115331. [Google Scholar] [CrossRef]
- Kraszkiewicz, A.; Kachel, M.; Parafiniuk, S.; Zając, G.; Niedziółka, I.; Sprawka, M. Assessment of the Possibility of Using Hemp Biomass (Cannabis Sativa L.) for Energy Purposes: A Case Study. Appl. Sci. 2019, 9, 4437. [Google Scholar] [CrossRef]
- Trey, R.; Jared, N.; Patrick, F. Hemp Fibers. In Industrial Hemp as a Modern Commodity Crop; Williams, D.W., Ed.; ASA: Washington, DC, USA, 2019. [Google Scholar] [CrossRef]
- Žydelis, R.; Herbst, M.; Weihermüller, L.; Ruzgas, R.; Volungevičius, J.; Barčauskaitė, K.; Tilvikienė, V. Yield potential and factor influencing yield gap in industrial hemp cultivation under nemoral climate conditions. Eur. J. Agron. 2022, 139, 126576. [Google Scholar] [CrossRef]
- Baldini, T.M.; Ferfuia, C.; Piani, B.; Sepulcri, A.; Dorigo, G.; Zuliani, F.; Danuso, F.; Cattivello, C. The Performance and Potentiality of Monoecious Hemp (Cannabis sativa L.) Cultivars as a Multipurpose Crop. Agronomy 2018, 8, 162. [Google Scholar] [CrossRef]
- Voicea, I.; Găgeanu, I.; Cujbescu, D.; Persu, C.; Dumitru, I.; Oprescu, R.; Voicu, G.; Ungureanu, N.; Dilea, M. Energetic capitalization of biomass residues resulted after extracting fibers from Cannabis sativa L. In Proceedings of the International Symposium, ISB-INMA TEH’ 2017, Agricultural and Mechanical Engineering, Bucharest, Romania, 26–28 October 2017; Available online: https://www.researchgate.net/publication/321276229 (accessed on 28 November 2022).
- Obernberger, I.; Brunner, T.; Bärnthaler, G. Chemical properties of solid biofuels—Significance and impact. Biomass Bioenerg. 2006, 30, 973–982. [Google Scholar] [CrossRef]
- Zhang, H.; Zhang, X.; Wang, Y.; Bai, P.; Hayakawa, K.; Zhang, L.; Tang, N. Characteristics and Influencing Factors of Polycyclic Aromatic Hydrocarbons Emitted from Open Burning and Stove Burning of Biomass: A Brief Review. Int. J. Environ. Res. Public Health 2022, 19, 3944. [Google Scholar] [CrossRef]
- Parvez, A.M.; Lewis, J.D.; Afzal, M.T. Potential of industrial hemp (Cannabis sativa L.) for bioenergy production in Canada: Status, challenges and outlook. Renew. Sustain. Energy Rev. 2021, 141, 110784. [Google Scholar] [CrossRef]
- Hannah, R. CO₂ Emissions Dataset: Our Sources and Methods. Our World in Data org. 2022. Available online: https://ourworldindata.org/co2-dataset-sources (accessed on 17 November 2022).
- IPCC. Mitigation Pathways Compatible with 1.5 °C in the Context of Sustainable Development. In Global Warming of 1.5 °C; Cambridge University Press: Cambridge, UK, 2022; pp. 93–174. [Google Scholar] [CrossRef]
- Biel, W.; Jaroszewska, A.; Zapałowska, A.; Łysoń, E.; Hury, G. Wpływ nawożenia popiołem z biomasy drzew iglastych oraz osadem ściekowym na wybrane składniki odżywcze bulw topinamburu (Helianthus Tuberosus L.). Acta Agroph. 2017, 24, 17–28. Available online: https://www.researchgate.net/publication/316740361_WPLYW_NAWOZENIA_POPIOLEM_Z_BIOMASY_DRZEW_IGLASTYCH_ORAZ_OSADEM_SCIEKOWYM_NA_WYBRANE_SKLADNIKI_ODZYWCZE_BULW_TOPINAMBURU_HELIANTHUS_TUBEROSUS_L (accessed on 23 November 2022).
- Wang, K.; Nakao, S.; Thimmaiah, D.; Hopke, P.K. Emissions from in-use residential wood pellet boilers and potential emissions savings using thermal storage. Sci. Total Environ. 2019, 676, 564–576. [Google Scholar] [CrossRef] [PubMed]
- PN-EN ISO 17225-2:2021-10; Biopaliwa Stałe—Specyfikacje Paliw i Klasy—Część 2: Klasy Peletów Drzewnych. Polski Komitet Normalizacyjny: Warsaw, Poland, 2021.
- Janczy, L.; Zagrodnik, S. Palnik na Pelety do Kotła Centralnego. Ogrzewania. Patent Pat.208551, 11 April 2007. Available online: https://ewyszukiwarka.pue.uprp.gov.pl/search/pwp-details/P.382179 (accessed on 21 November 2022).
- Operating Instruction 2019. (In Polish). Available online: http://www.mru-instruments.pl/produkty/analizatory-przemyslowe/varioplus-iv (accessed on 21 May 2019).
- Koniuszy, A.; Hawrot-Paw, M.; Podsiadło, C.; Sędłak, P.; Możdżer, E. Gasification of Cup Plant (Silphium perfoliatum L.) Biomass-Energy Recovery and Environmental Impacts. Energies 2020, 13, 4960. [Google Scholar] [CrossRef]
- PN-EN 50270:2015-04; Kompatybilność Elektromagnetyczna—Elektryczne Przyrządy do Wykrywania i Pomiaru Gazów Palnych, Gazów Toksycznych Lub Tlenu. Polski Komitet Normalizacyjny: Warsaw, Poland, 2015.
- PN-EN 50271:2018-08; Elektryczne Przyrządy do Wykrywania i Pomiaru Gazów Palnych, Gazów Toksycznych Lub Tlenu—Wymagania i Badania Dotyczące Przyrządów Wykorzystujących Oprogramowanie i/lub Techniki Cyfrowe. Polski Komitet Normalizacyjny: Warsaw, Poland, 2018.
- Directive 2004/108/CE of the European Parliament and the Council of 13 December 2004 on the approximation of the laws of the Member States relating to electromagnetic compatibility and repealing Directive 89/336/EEC. OJ L 390.24 from 31.12.2004. Available online: https://eur-lex.europa.eu/legal-content/EN/TXT/HTML/?uri=CELEX:32004L0108&from=PL (accessed on 21 November 2022).
- Polish Standard PN-ISO 1928:2020-05. Paliwa Stałe—Oznaczanie Ciepła Spalania Metoda Spalania w Bombie Kalorymetrycznej i Obliczanie Wartości Opałowej/Solid Fuels—Determination of the Calorific Value by the Calorimetric Method of Combustion and Calculation of the Calorific Value. (In Polish). Available online: https://sklep.pkn.pl/catalogsearch/advanced (accessed on 21 September 2022).
- Yang, W.; Lv, L.; Han, Y.; Li, Y.; Liu, H.; Zhu, Y.; Zhang, W.; Yang, H. Effect of Densification on Biomass Combustion and Particulate Matter Emission Characteristics. Atmosphere 2022, 13, 1582. [Google Scholar] [CrossRef]
- Deshannavar, U.B.; Hegde, P.G.; Dhalayat, Z.; Patil, V.; Gavas, S. Production and characterization of agro-based briquettes and estimation of calorific value by regression analysis: An energy application. Mater. Sci. Energy Technol. 2018, 1, 175–181. [Google Scholar] [CrossRef]
- Skibko, Z.; Romaniuk, W.; Borusiewicz, A.; Porwisiak, H.; Lisowski, J. Use of pellets from agricultural biogas plants in fertilisation of oxytrees in Podlasie, Poland. J. Water Land Dev. 2021, 51, 124–128. [Google Scholar] [CrossRef]
- Khan, A.A.; de Jong, W.; Jansens, P.J.; Spliethoff, H. Biomass combustion in fluidized bed boilers: Potential problems and remedies. Fuel Process. Technol. 2009, 90, 21–50. [Google Scholar] [CrossRef]
- Wisz, J.; Matwiejew, A. Biomasa—Badania w laboratorium w aspekcie przydatności do energetycznego spalania. Bio-Mass—Laboratory Tests Concerning It Usefulness for Power Combustion. Energetyka 2005, 9, 631–637. [Google Scholar]
- Hałuzo, M.; Musiał, R. Ocena Zasobów i Potencjalnych Możliwości Pozyskania Surowców dla Energetyki Odnawialnej w Województwie Pomorskim; Biuro Planowania Przestrzennego w Słupsku: Słupsk, Poland, 2004; p. 59. [Google Scholar]
- Vassilev, S.V.; Baxter, D.; Andersen, L.K.; Vassileva, C.G. An overview of the chemical composition of biomass. Fuel 2010, 89, 913–933. [Google Scholar] [CrossRef]
- Burczyk, H. Konopie włókniste uprawiane w poplonach ścierniskowych—źródłem olejków eterycznych i włókna lub biogazu. Probl. Inżynierii Rol. 2015, 3, 29–38. [Google Scholar]
- Cichy, W. Skład Chemiczny Wybranych Roślin Energetycznych; Instytut Technologii Drewna. UP w Poznaniu, Maszynopis: Poznań, Poland, 2013; p. 4. [Google Scholar]
- Brazdausks, P.; Tupciauskas, R.; Andzs, M.; Rizhikovs, J.; Puke, M.; Paze, A.; Meile, K.; Vedernikovs, N. Preliminary study of the biorefinery concept to obtain furfural and binder-less panels from hemp (Cannabis Sativa L.) shives. Energy Procedia 2015, 72, 34–41. [Google Scholar] [CrossRef]
- Aleksiejczuk, A.; Teleszewski, T.J. Estimation of Sulfur Dioxide Emissions in an Automatic Boiler with a Retort Burner for Coal and Biomass in a Single-Family House Based on the Measurement of the Heat Consumed. Environ. Sci. Proc. 2022, 18, 10. [Google Scholar] [CrossRef]
- Knutel, B.; Gaze, B.; Wojtko, P.; Dębowski, M.; Bukowski, P. Multifaceted Analysis of the Use of Catalytic Additives for Combustion with Hemp Pellets in a Low-Power Boiler. Energies 2022, 15, 2034. [Google Scholar] [CrossRef]
- Gaze, B.; Noszczyk, T.; Romański, L.; Dyjakon, A.; Kułażynski, M. Determination of the dominant mechanism for NOx formation in low power boilers fed with biomass. Przem. Chem. 2020, 99, 228–233. [Google Scholar] [CrossRef]
- Frankowski, J.; Sieracka, D. Possibilities for Using Waste Hemp Straw for Solid Biofuel Production. Environ. Sci. Proc. 2021, 9, 18. [Google Scholar] [CrossRef]
- Kaur, A.; Madhuka, R.; Krishnendu, K. Densification of biomass by briquetting: A review. Int. J. Recent Sci. Res. 2017, 8, 20561–20568. [Google Scholar] [CrossRef]
- Roman, K.; Borek, K.; Mazur, K. The characteristics of briquetting process with resistance sensors usage. Prz. Elektrotechniczny 2019, 95, 98–101. [Google Scholar] [CrossRef]
- Roman, K.; Grzegorzewska, E.; Zatoń, P.; Konieczna, A.; Oleńska, S.; Borek, K.; Świętochowski, A. Dispersed Power Production in Terms of the Potential of Briquettes Made from Straw and Willow as Renewable Sources of Energy. Materials 2022, 15, 5235. [Google Scholar] [CrossRef]
- Pudełko, J.; Mańkowski, J.; Kołodziej, J. Efektywność energetyczna czterech gatunków roślin uprawnych na tle konopi włóknistych. Biul. Inf. Polskiej Izby Lnu i Konopi 2010, 15, 17–24. [Google Scholar]
- Kakitis, A.; Berzins, R.; Bērziņš, U. Cutting Energy Assessment of Hemp Straw. In Proceedings of the 15th International Scientific Conference Engineering for Rural Development, Jelgava, Latvia, 25–27 May 2016; pp. 1255–1259. Available online: https://www.tf.llu.lv/conference/proceedings2016/Papers/N250.pdf (accessed on 23 November 2022).













| Process | Amount of Oxygen | Process Temperature [°C] | Useful Products |
|---|---|---|---|
| combustion | excess | above 800 | heat |
| pyrolysis | absence | 350–550 | char, bio-oil |
| gasification | limited | 700–1100 | syngas |
| Fuel Type | C100 | C75/P25 | C50/P50 | C25/P75 | P100 |
|---|---|---|---|---|---|
| Heating value [MJ·kg−1] | 17.34 | - | - | - | 19.87 |
| Pellet weight in the period [kg·h−1] | 0.99 | 1.56 | 1.83 | 2.31 | 2.98 |
| Exhaust gas temp. [K] | 361.95 | 381.81 | 393.26 | 396.10 | 406.61 |
| Water temp. difference [K] | 3.45 | 4.98 | 6.44 | 7.97 | 10.20 |
| Water flow [kg·h−1] | 1222.44 | 1254.24 | 1254.29 | 1265.46 | 1287.32 |
| H2 [% vol.] | 0.17 | 0.31 | 0.43 | 0.61 | 0.75 |
| O2 [% vol.] | 19.28 | 18.38 | 16.95 | 15.61 | 14.06 |
| CO2 [% vol.] | 1.33 | 2.34 | 3.22 | 4.61 | 5.72 |
| SO2 [ppm] | 9.97 | 11.79 | 12.15 | 13.71 | 16.39 |
| NO2 [ppm] | 0.16 | 0.02 | 0.00 | 0.00 | 0.00 |
| PM10 [μg·m−3] | 998.00 | 661.00 | 636.00 | 568.00 | 298.00 |
| PM2.5 [μg·m−3] | 999.00 | 652.00 | 627.00 | 560.00 | 293.00 |
Publisher’s Note: MDPI stays neutral with regard to jurisdictional claims in published maps and institutional affiliations. |
© 2022 by the authors. Licensee MDPI, Basel, Switzerland. This article is an open access article distributed under the terms and conditions of the Creative Commons Attribution (CC BY) license (https://creativecommons.org/licenses/by/4.0/).
Share and Cite
Konieczna, A.; Mazur, K.; Koniuszy, A.; Gawlik, A.; Sikorski, I. Thermal Energy and Exhaust Emissions of a Gasifier Stove Feeding Pine and Hemp Pellets. Energies 2022, 15, 9458. https://doi.org/10.3390/en15249458
Konieczna A, Mazur K, Koniuszy A, Gawlik A, Sikorski I. Thermal Energy and Exhaust Emissions of a Gasifier Stove Feeding Pine and Hemp Pellets. Energies. 2022; 15(24):9458. https://doi.org/10.3390/en15249458
Chicago/Turabian StyleKonieczna, Anita, Kamila Mazur, Adam Koniuszy, Andrzej Gawlik, and Igor Sikorski. 2022. "Thermal Energy and Exhaust Emissions of a Gasifier Stove Feeding Pine and Hemp Pellets" Energies 15, no. 24: 9458. https://doi.org/10.3390/en15249458
APA StyleKonieczna, A., Mazur, K., Koniuszy, A., Gawlik, A., & Sikorski, I. (2022). Thermal Energy and Exhaust Emissions of a Gasifier Stove Feeding Pine and Hemp Pellets. Energies, 15(24), 9458. https://doi.org/10.3390/en15249458

