Subsurface Water Retention Technology Promotes Drought Stress Tolerance in Field-Grown Tomato
Abstract
1. Introduction
2. Materials and Methods
2.1. Experimental Site, Crop Material, and Treatments Applied
- (1)
- (SWRT−): Plants without SWRT.
- (2)
- (SWRT+): Plants with SWRT.
2.2. Measured Parameters
2.2.1. Growth Parameters
2.2.2. Physiological Parameters
2.2.3. Biochemical Parameters
2.2.4. Physico-Chemical Analysis of Soil
2.3. Statistical Analysis
3. Results
3.1. Physiological Changes
3.2. Osmolytes Accumulation
3.3. MDA and H2O2
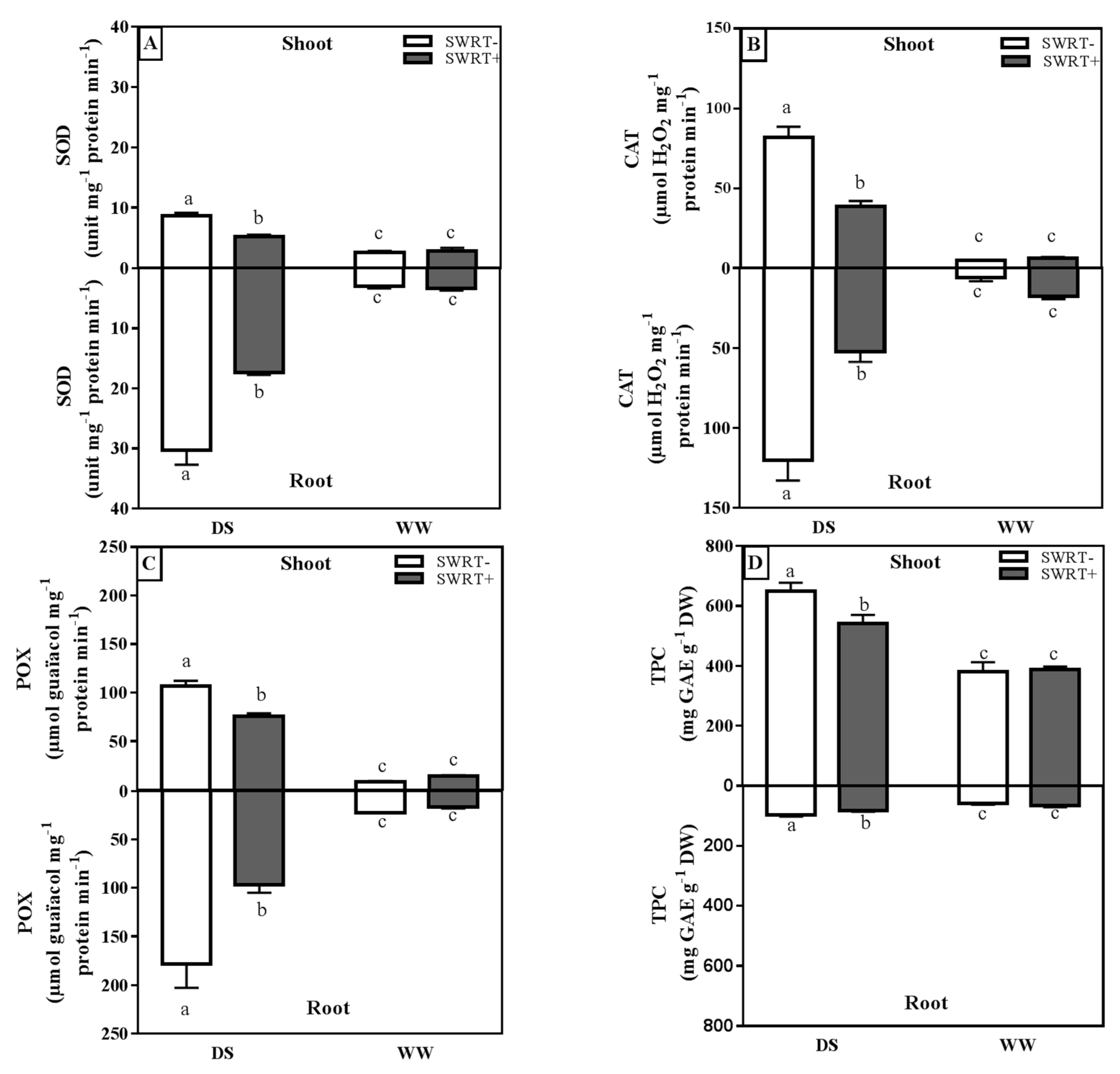
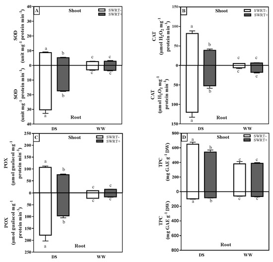
3.4. Oxidative Stress Attributes
3.5. Soil Characteristics
3.6. Principal Component Analysis (PCA)
4. Discussion
5. Conclusions
Author Contributions
Funding
Data Availability Statement
Conflicts of Interest
References
- Ahmadalipour, A.; Moradkhani, H.; Castelletti, A.; Magliocca, N. Future Drought Risk in Africa: Integrating Vulnerability, Climate Change, and Population Growth. Sci. Total Environ. 2019, 662, 672–686. [Google Scholar] [CrossRef] [PubMed]
- Zhang, C.; Dong, J.; Ge, Q. Mapping 20 Years of Irrigated Croplands in China Using MODIS and Statistics and Existing Irrigation Products. Sci. Data 2022, 9, 1–12. [Google Scholar] [CrossRef] [PubMed]
- Abdelkhalik, A.; Pascual-Seva, N.; Nájera, I.; Giner, A.; Baixauli, C.; Pascual, B. Yield Response of Seedless Watermelon to Different Drip Irrigation Strategies under Mediterranean Conditions. Agric. Water Manag. 2019, 212, 99–110. [Google Scholar] [CrossRef]
- Besser, H.; Hamed, Y. Environmental Impacts of Land Management on the Sustainability of Natural Resources in Oriental Erg Tunisia, North Africa. Environ. Dev. Sustain. 2021, 23, 11677–11705. [Google Scholar] [CrossRef]
- Ait-El-Mokhtar, M.; Boutasknit, A.; Ben-Laouane, R.; Anli, M.; El Amerany, F.; Toubali, S.; Lahbouki, S.; Wahbi, S.; Meddich, A. Vulnerability of Oasis Agriculture to Climate Change in Morocco. In Impacts of Climate Change on Agriculture and Aquaculture; IGI Global: Hershey, PA, USA, 2020; pp. 76–106. [Google Scholar]
- Boonwichai, S.; Shrestha, S.; Babel, M.S.; Weesakul, S.; Datta, A. Climate Change Impacts on Irrigation Water Requirement, Crop Water Productivity and Rice Yield in the Songkhram River Basin, Thailand. J. Clean. Prod. 2018, 198, 1157–1164. [Google Scholar] [CrossRef]
- Aoda, M.I.; Smucker, A.J.M.; Majeed, S.S.; Mohammed, H.A.; Al-Sahaf, F.H.; Robertson, G.P. Novel Root Zone Soil Water Retention Improves Production with Half the Water in Arid Sands. Agron. J. 2021, 113, 2398–2406. [Google Scholar] [CrossRef]
- Guber, A.K.; Smucker, A.J.M.; Berhanu, S.; Miller, J.M.L. Subsurface Water Retention Technology Improves Root Zone Water Storage for Corn Production on Coarse-Textured Soils. Vadose Zone J. 2015, 14, vzj2014-11. [Google Scholar] [CrossRef]
- Nkurunziza, L.; Chirinda, N.; Lana, M.; Sommer, R.; Karanja, S.; Rao, I.; Romero Sanchez, M.A.; Quintero, M.; Kuyah, S.; Lewu, F. The Potential Benefits and Trade-Offs of Using Sub-Surface Water Retention Technology on Coarse-Textured Soils: Impacts of Water and Nutrient Saving on Maize Production and Soil Carbon Sequestration. Front. Sustain. Food Syst. 2019, 3, 71. [Google Scholar] [CrossRef]
- Lahbouki, S.; Ech-chatir, L.; Er-Raki, S.; Outzourhit, A.; Meddich, A. Improving Drought Tolerance of Opuntia ficus-indica under Field Using Subsurface Water Retention Technology: Changes in Physiological and Biochemical Parameters. Can. J. Soil Sci. 2022. [Google Scholar] [CrossRef]
- Almasraf, S.A.; Hommadi, A.H. Improving Water Use Efficiency and Water Productivity for Okra Crop by Using Subsurface Water Retention Technology. J. Eng. 2018, 24, 64–74. [Google Scholar] [CrossRef]
- Kavdir, Y.; Zhang, W.; Basso, B.; Smucker, A.J.M. Development of a New Long-Term Drought Resilient Soil Water Retention Technology. J. Soil Water Conserv. 2014, 69, 154A–160A. [Google Scholar] [CrossRef]
- Food and Agriculture Organization of the United Nations. Database. In FAOSTAT URL 844; FAO: Rome, Italy, 2019; Available online: http://www.fao.org/faostat/en/#home (accessed on 22 July 2022).
- El Aimani, A.; Mokrini, F.; Houari, A.; Laasli, S.-E.; Sbaghi, M.; Mentag, R.; Iraqi, D.; Udupa, S.M.; Dababat, A.A.; Lahlali, R. Potential of Indigenous Entomopathogenic Nematodes for Controlling Tomato Leaf Miner, Tuta absoluta (Meyrick) (Lepidoptera: Gelechiidae) under Laboratory and Field Conditions in Morocco. Physiol. Mol. Plant Pathol. 2021, 116, 101710. [Google Scholar] [CrossRef]
- Vélez-Terreros, P.Y.; Romero-Estévez, D.; Yánez-Jácome, G.S.; Simbaña-Farinango, K.; Navarrete, H. Comparison of Major Nutrients and Minerals between Organic and Conventional Tomatoes. A Review. J. Food Compos. Anal. 2021, 100, 103922. [Google Scholar] [CrossRef]
- Wosene, G.; Gobie, W. Value Chain Analysis of Tomato: The Case of Bure, Jabitehinan and North Mecha Districts of Amhara Regional State, Ethiopia. J. Agric. Food Res. 2022, 7, 100272. [Google Scholar] [CrossRef]
- Ahanger, M.A.; Qi, M.; Huang, Z.; Xu, X.; Begum, N.; Qin, C.; Zhang, C.; Ahmad, N.; Mustafa, N.S.; Ashraf, M. Improving Growth and Photosynthetic Performance of Drought Stressed Tomato by Application of Nano-Organic Fertilizer Involves up-Regulation of Nitrogen, Antioxidant and Osmolyte Metabolism. Ecotoxicol. Environ. Saf. 2021, 216, 112195. [Google Scholar] [CrossRef]
- Chakma, R.; Biswas, A.; Saekong, P.; Ullah, H.; Datta, A. Foliar Application and Seed Priming of Salicylic Acid Affect Growth, Fruit Yield, and Quality of Grape Tomato under Drought Stress. Sci. Hortic. 2021, 280, 109904. [Google Scholar] [CrossRef]
- Allen, R.G.; Pereira, L.S.; Raes, D.; Smith, M. Crop Evapotranspiration-Guidelines for Computing Crop Water Requirements-FAO Irrigation and Drainage Paper 56; FAO, Rome, Italy, 1998; Volume 300, p. D0 5109.
- Kharrou, M.H.; Er-Raki, S.; Chehbouni, A.; Duchemin, B.; Simonneaux, V.; LePage, M.; Ouzine, L.; Jarlan, L. Water Use Efficiency and Yield of Winter Wheat under Different Irrigation Regimes in a Semi-Arid Region. Agric. Sci. China 2011, 2, 273–282. [Google Scholar] [CrossRef]
- Baker, N.R. Chlorophyll Fluorescence: A Probe of Photosynthesis In Vivo. Annu. Rev. Plant Biol. 2008, 59, 89. [Google Scholar] [CrossRef]
- Arnon, D.I. Copper Enzymes in Isolated Chloroplasts. Polyphenoloxidase in Beta vulgaris. Plant Physiol. 1949, 24, 1. [Google Scholar] [CrossRef]
- Dubois, M.; Gilles, K.A.; Hamilton, J.K.; Rebers, P.A.; Smith, F. Colorimetric Method for Determination of Sugars and Related Substances. Anal. Chem. 1956, 28, 350–356. [Google Scholar] [CrossRef]
- Bradford, M.M. A Rapid and Sensitive Method for the Quantitation of Microgram Quantities of Protein Utilizing the Principle of Protein-Dye Binding. Anal. Biochem. 1976, 72, 248–254. [Google Scholar] [CrossRef]
- Rao, K.V.M.; Sresty, T.V.S. Antioxidative Parameters in the Seedlings of Pigeonpea (Cajanus cajan (L.) Millspaugh) in Response to Zn and Ni Stresses. Plant Sci. 2000, 157, 113–128. [Google Scholar] [CrossRef]
- Velikova, V.; Yordanov, I.; Edreva, A. Oxidative Stress and Some Antioxidant Systems in Acid Rain-Treated Bean Plants: Protective Role of Exogenous Polyamines. Plant Sci. 2000, 151, 59–66. [Google Scholar] [CrossRef]
- Beyer, W.F., Jr.; Fridovich, I. Assaying for Superoxide Dismutase Activity: Some Large Consequences of Minor Changes in Conditions. Anal. Biochem. 1987, 161, 559–566. [Google Scholar] [CrossRef]
- Aebi, H. Catalase in Vitro. In Methods in Enzymology; Elsevier: Amsterdam, The Netherlands, 1984; Volume 105, pp. 121–126. ISBN 0076-6879. [Google Scholar]
- Nakano, Y.; Asada, K. Hydrogen Peroxide Is Scavenged by Ascorbate-Specific Peroxidase in Spinach Chloroplasts. Plant Cell Physiol. 1981, 22, 867–880. [Google Scholar]
- Singleton, V.L.; Rossi, J.A. Colorimetry of Total Phenolics with Phosphomolybdic-Phosphotungstic Acid Reagents. Am. J. Enol. Vitic. 1965, 16, 144–158. [Google Scholar]
- Ors, S.; Ekinci, M.; Yildirim, E.; Sahin, U.; Turan, M.; Dursun, A. Interactive Effects of Salinity and Drought Stress on Photosynthetic Characteristics and Physiology of Tomato (Lycopersicon esculentum L.) Seedlings. South Afr. J. Bot. 2021, 137, 335–339. [Google Scholar] [CrossRef]
- Tahiri, A.; Meddich, A.; Raklami, A.; Alahmad, A.; Bechtaoui, N.; Anli, M.; Göttfert, M.; Heulin, T.; Achouak, W.; Oufdou, K. Assessing the Potential Role of Compost, PGPR, and AMF in Improving Tomato Plant Growth, Yield, Fruit Quality, and Water Stress Tolerance. J. Soil Sci. Plant Nutr. 2022, 22, 743–764. [Google Scholar] [CrossRef]
- Kumar, A.; Sengar, R.S.; Pathak, R.K.; Singh, A.K. Integrated Approaches to Develop Drought-Tolerant Rice: Demand of Era for Global Food Security. J. Plant Growth Regul. 2022, 1–25. [Google Scholar] [CrossRef]
- Chaudhry, S.; Sidhu, G.P.S. Climate Change Regulated Abiotic Stress Mechanisms in Plants: A Comprehensive Review. Plant Cell Reports 2021, 41, 1–31. [Google Scholar] [CrossRef]
- Roy, P.C.; Guber, A.; Abouali, M.; Nejadhashemi, A.P.; Deb, K.; Smucker, A.J.M. Crop Yield Simulation Optimization Using Precision Irrigation and Subsurface Water Retention Technology. Environ. Model. Softw. 2019, 119, 433–444. [Google Scholar] [CrossRef]
- Raklami, A.; Bechtaoui, N.; Tahiri, A.; Anli, M.; Meddich, A.; Oufdou, K. Use of Rhizobacteria and Mycorrhizae Consortium in the Open Field as a Strategy for Improving Crop Nutrition, Productivity and Soil Fertility. Front. Microbiol. 2019, 10, 1106. [Google Scholar] [CrossRef] [PubMed]
- Hassan Hommadi, A.; Anwer Almasraf, S. Subsurface Water Retention Technology Improves Water Use Efficiency and Water Productivity for Hot Pepper. J. Kerbala Univ. 2018, 14, 125–135. [Google Scholar]
- Hafez, E.; Farig, M. Efficacy of Salicylic Acid as a Cofactor for Ameliorating Effects of Water Stress and Enhancing Wheat Yield and Water Use Efficiency in Saline Soil. Int. J. Plant Prod. 2019, 13, 163–176. [Google Scholar] [CrossRef]
- Liu, X.; Fan, Y.; Long, J.; Wei, R.; Kjelgren, R.; Gong, C.; Zhao, J. Effects of Soil Water and Nitrogen Availability on Photosynthesis and Water Use Efficiency of Robinia pseudoacacia Seedlings. J. Environ. Sci. 2013, 25, 585–595. [Google Scholar] [CrossRef]
- Baca Cabrera, J.C.; Hirl, R.T.; Schäufele, R.; Macdonald, A.; Schnyder, H. Stomatal Conductance Limited the CO2 Response of Grassland in the Last Century. BMC Biol. 2021, 19, 50. [Google Scholar] [CrossRef]
- Franco-Navarro, J.D.; Rosales, M.A.; Cubero-Font, P.; Calvo, P.; Alvarez, R.; Diaz-Espejo, A.; Colmenero-Flores, J.M. Chloride as a Macronutrient Increases Water-use Efficiency by Anatomically Driven Reduced Stomatal Conductance and Increased Mesophyll Diffusion to CO2. Plant J. 2019, 99, 815–831. [Google Scholar]
- Ainsworth, E.A.; Rogers, A. The Response of Photosynthesis and Stomatal Conductance to Rising [CO2]: Mechanisms and Environmental Interactions. Plant Cell Environ. 2007, 30, 258–270. [Google Scholar] [CrossRef]
- Deng, L.; Peng, C.; Kim, D.-G.; Li, J.; Liu, Y.; Hai, X.; Liu, Q.; Huang, C.; Shangguan, Z.; Kuzyakov, Y. Drought Effects on Soil Carbon and Nitrogen Dynamics in Global Natural Ecosystems. Earth-Sci. Rev. 2021, 214, 103501. [Google Scholar] [CrossRef]
- Moriwaki, T.; Falcioni, R.; Tanaka, F.A.O.; Cardoso, K.A.K.; Souza, L.A.; Benedito, E.; Nanni, M.R.; Bonato, C.M.; Antunes, W.C. Nitrogen-Improved Photosynthesis Quantum Yield Is Driven by Increased Thylakoid Density, Enhancing Green Light Absorption. Plant Sci. 2019, 278, 1–11. [Google Scholar] [CrossRef] [PubMed]
- Vanlerberghe, G.C.; Dahal, K.; Alber, N.A.; Chadee, A. Photosynthesis, Respiration and Growth: A Carbon and Energy Balancing Act for Alternative Oxidase. Mitochondrion 2020, 52, 197–211. [Google Scholar] [CrossRef] [PubMed]
- Benlloch-Tinoco, M.; Kaulmann, A.; Corte-Real, J.; Rodrigo, D.; Martínez-Navarrete, N.; Bohn, T. Chlorophylls and Carotenoids of Kiwifruit Puree Are Affected Similarly or Less by Microwave than by Conventional Heat Processing and Storage. Food Chem. 2015, 187, 254–262. [Google Scholar] [CrossRef] [PubMed]
- El, Y.M.; Sakar, E.H.; Boussakouran, A.; Rharrabti, Y. Physiological and Biochemical Responses of Young Olive Trees (Olea europaea L.) to Water Stress during Flowering. Arch. Biol. Sci. 2019, 71, 123–132. [Google Scholar] [CrossRef]
- Baslam, M.; Mitsui, T.; Hodges, M.; Priesack, E.; Herritt, M.T.; Aranjuelo, I.; Sanz-Sáez, Á. Photosynthesis in a Changing Global Climate: Scaling Up and Scaling Down in Crops. Front. Plant Sci. 2020, 11, 1–29. [Google Scholar] [CrossRef]
- Mas-Bargues, C.; Escrivá, C.; Dromant, M.; Borrás, C.; Viña, J. Lipid Peroxidation as Measured by Chromatographic Determination of Malondialdehyde. Human Plasma Reference Values in Health and Disease. Arch. Biochem. Biophys. 2021, 709, 108941. [Google Scholar] [CrossRef]
- Dios Alché, J. A Concise Appraisal of Lipid Oxidation and Lipoxidation in Higher Plants. Redox Biol. 2019, 23, 101136. [Google Scholar] [CrossRef]
- Hasanuzzaman, M.; Bhuyan, M.H.M.; Zulfiqar, F.; Raza, A.; Mohsin, S.M.; Mahmud, J.A.; Fujita, M.; Fotopoulos, V. Reactive Oxygen Species and Antioxidant Defense in Plants under Abiotic Stress: Revisiting the Crucial Role of a Universal Defense Regulator. Antioxidants 2020, 9, 681. [Google Scholar] [CrossRef]
- Lahbouki, S.; Ben-Laouane, R.; Anli, M.; Boutasknit, A.; Ait-Rahou, Y.; Ait-El-Mokhtar, M.; El Gabardi, S.; Douira, A.; Wahbi, S.; Outzourhit, A. Arbuscular Mycorrhizal Fungi and/or Organic Amendment Enhance the Tolerance of Prickly Pear (Opuntia ficus-indica) under Drought Stress. J. Arid. Environ. 2022, 199, 104703. [Google Scholar] [CrossRef]
- Benaffari, W.; Boutasknit, A.; Anli, M.; Ait-El-Mokhtar, M.; Ait-Rahou, Y.; Ben-Laouane, R.; Ben Ahmed, H.; Mitsui, T.; Baslam, M.; Meddich, A. The Native Arbuscular Mycorrhizal Fungi and Vermicompost-Based Organic Amendments Enhance Soil Fertility, Growth Performance, and the Drought Stress Tolerance of Quinoa. Plants 2022, 11, 393. [Google Scholar] [CrossRef]
- Ben-Laouane, R.; Ait-El-Mokhtar, M.; Anli, M.; Boutasknit, A.; Rahou, Y.A.; Raklami, A.; Oufdou, K.; Wahbi, S.; Meddich, A. Green Compost Combined with Mycorrhizae and Rhizobia: A Strategy for Improving Alfalfa Growth and Yield Under Field Conditions. Gesunde Pflanz. 2021, 73, 193–207. [Google Scholar] [CrossRef]
- Altaf, M.A.; Shahid, R.; Ren, M.-X.; Naz, S.; Altaf, M.M.; Khan, L.U.; Tiwari, R.K.; Lal, M.K.; Shahid, M.A.; Kumar, R. Melatonin Improves Drought Stress Tolerance of Tomato by Modulating Plant Growth, Root Architecture, Photosynthesis, and Antioxidant Defense System. Antioxidants 2022, 11, 309. [Google Scholar] [CrossRef] [PubMed]
- Ahmad, P.; Sarwat, M.; Sharma, S. Reactive Oxygen Species, Antioxidants and Signaling in Plants. J. Plant Biol. 2008, 51, 167–173. [Google Scholar] [CrossRef]
- Farooq, M.; Ahmad, R.; Shahzad, M.; Sajjad, Y.; Hassan, A.; Shah, M.M.; Naz, S.; Khan, S.A. Differential Variations in Total Flavonoid Content and Antioxidant Enzymes Activities in Pea under Different Salt and Drought Stresses. Sci. Hortic. 2021, 287, 110258. [Google Scholar] [CrossRef]
- Chiappero, J.; del Rosario Cappellari, L.; Alderete, L.G.S.; Palermo, T.B.; Banchio, E. Plant Growth Promoting Rhizobacteria Improve the Antioxidant Status in Mentha piperita Grown under Drought Stress Leading to an Enhancement of Plant Growth and Total Phenolic Content. Ind. Crops Prod. 2019, 139, 111553. [Google Scholar] [CrossRef]
- Lahbouki, S.; Ben-Laouane, R.; Outzourhit, A.; Meddich, A. The Combination of Vermicompost and Arbuscular Mycorrhizal Fungi Improves the Physiological Properties and Chemical Composition of Opuntia ficus-indica under Semi-Arid Conditions in the Field. Arid. Land Res. Manag. 2022, 1–26. [Google Scholar] [CrossRef]
- Pari, L.; Stefanoni, W.; Palmieri, N.; Latterini, F. Assessing the Performance of a Subsurface Water Retention System (SWRS) Prototype: First Evaluation of Work Productivity and Costs. Inventions 2022, 7, 25. [Google Scholar] [CrossRef]
- Gao, W.-Q.; Wang, P.; Wu, Q.-S. Functions and Application of Glomalin-Related Soil Proteins: A Review. Sains Malays. 2019, 48, 111–119. [Google Scholar] [CrossRef]
- Ji, L.; Tan, W.; Chen, X. Arbuscular Mycorrhizal Mycelial Networks and Glomalin-Related Soil Protein Increase Soil Aggregation in Calcaric Regosol under Well-Watered and Drought Stress Conditions. Soil Tillage Res. 2019, 185, 1–8. [Google Scholar] [CrossRef]
- Bogati, K.; Walczak, M. The Impact of Drought Stress on Soil Microbial Community, Enzyme Activities and Plants. Agronomy 2022, 12, 189. [Google Scholar] [CrossRef]
- Staszel, K.; Lasota, J.; Błońska, E. Effect of Drought on Root Exudates from Quercus Petraea and Enzymatic Activity of Soil. Sci. Rep. 2022, 12, 7635. [Google Scholar] [CrossRef] [PubMed]
- Preece, C.; Verbruggen, E.; Liu, L.; Weedon, J.T.; Peñuelas, J. Effects of Past and Current Drought on the Composition and Diversity of Soil Microbial Communities. Soil Biol. Biochem. 2019, 131, 28–39. [Google Scholar] [CrossRef]
- Dehghanian, H.; Halajnia, A.; Lakzian, A.; Astaraei, A.R. The Effect of Earthworm and Arbuscular Mycorrhizal Fungi on Availability and Chemical Distribution of Zn, Fe and Mn in a Calcareous Soil. Appl. Soil Ecol. 2018, 130, 98–103. [Google Scholar] [CrossRef]
- Yadav, R.; Ror, P.; Rathore, P.; Kumar, S.; Ramakrishna, W. Bacillus subtilis CP4, Isolated from Native Soil in Combination with Arbuscular Mycorrhizal Fungi Promotes Biofortification, Yield and Metabolite Production in Wheat under Field Conditions. J. Appl. Microbiol. 2021, 131, 339–359. [Google Scholar] [CrossRef]




| Treatments | Water Regime | Shoot Height | Shoot Number | Shoot Dry Weight | Root Elongation | Root Dry Weight | Fruits Number | Fruits Weight |
|---|---|---|---|---|---|---|---|---|
| SWRT+ | WW | 96.67 ± 14.01 a | 9.33 ± 1.53 a | 168.44 ± 5.80 a | 23.94 ± 2.14 a | 16.58 ± 1.47 a | 27.33 ± 2.52 a | 691.33 ± 54.01 a |
| DS | 67.67 ± 3.51 b | 7.00 ± 1.00 ab | 92.50 ± 3.37 c | 18.23± 1.90 b | 11.15 ± 1.29 b | 17.00 ± 2.52 b | 442.33 ± 30.01 b | |
| SWRT− | WW | 96.33 ± 9.07 ab | 9.00 ± 2.00 ab | 139.66 ± 8.65 b | 20.54 ± 2.18 ab | 16.58 ± 1.47 a | 28.00 ± 4.36 a | 635.00 ± 35.34 a |
| DS | 87.00 ± 14.11 ab | 5.33 ± 1.15 b | 74.33 ± 5.69 d | 12.82 ± 1.52 c | 5.79 ± 0.99 c | 12.33 ± 4.36 b | 252.00 ± 52.74 c |
| Treatments | Water Regime | Stomatal Conductance (mmol m−2 s−1) | Chl Fluorescence | Leaf Water Potential (bar) | Chl a (mg g−1 DW) | Chl b (mg g−1 DW) | Total Chl (mg g−1 DW) | Carotenoids (mg g−1 DW) |
|---|---|---|---|---|---|---|---|---|
| SWRT+ | WW | 53.37 ± 3.49 b | 0.72 ± 0.01 b | −1.80 ± 0.10 c | 13.54 ± 0.40 a | 9.74 ± 0.68 a | 17.57 ± 0.84 a | 38.78 ± 1.28 a |
| DS | 37.23 ± 2.94 c | 0.71 ± 0.01 bc | −2.22 ± 0.13 b | 9.90 ± 1.03 b | 5.09 ± 0.28 c | 11.01 ± 0.71 c | 26.23 ± 1.34 b | |
| SWRT− | WW | 68.47 ± 2.66 a | 0.76 ± 0.01 a | −1.58 ± 0.08 c | 11.57 ± 0.64 ab | 8.33 ± 0.34 b | 14.97 ± 0.70 b | 33.23 ± 2.49 a |
| DS | 26.70 ± 2.96 d | 0.69 ± 0.0 c | −2.83 ± 0.15 a | 6.24 ± 0.84 c | 3.72 ± 0.59 d | 7.39 ± 0.99 d | 15.58 ± 3.24 a |
| Treatments | Before Experiment | After Experiment | |||
|---|---|---|---|---|---|
| SWRT+ | SWRT− | ||||
| WW | DS | WW | DS | ||
| pH | 7.84 ± 0.07 a | 7.42± 0.05 c | 7.53 ± 0.23 b | 7.48 ± 0.24 b | 7.50 ± 0.45 b |
| EC (mS cm−1) | 1.76 ± 0.22 a | 1.38 ± 0.16 d | 1.57 ± 0.14 c | 1.46 ± 0.22 c | 1.66 ± 0.23 b |
| TOC (%) | 0.83 ± 0.02 d | 1.25 ± 0.15 b | 1.05 ± 0.23 c | 1.54 ± 0.13 a | 0.85 ± 0.14 d |
| OM (%) | 1.27 ± 0.22 e | 2.14 ± 0.23 b | 1.80 ± 0.11 c | 2.65 ± 0.16 a | 1.46 ± 0.22 de |
| AP (%) | 26.32 ± 2.32 e | 37.45 ± 3.11 b | 34.45 ± 1.23 c | 40.21 ± 1.33 a | 27.66 ± 1.32 de |
Publisher’s Note: MDPI stays neutral with regard to jurisdictional claims in published maps and institutional affiliations. |
© 2022 by the authors. Licensee MDPI, Basel, Switzerland. This article is an open access article distributed under the terms and conditions of the Creative Commons Attribution (CC BY) license (https://creativecommons.org/licenses/by/4.0/).
Share and Cite
Lahbouki, S.; Meddich, A.; Ben-Laouane, R.; Outzourhit, A.; Pari, L. Subsurface Water Retention Technology Promotes Drought Stress Tolerance in Field-Grown Tomato. Energies 2022, 15, 6807. https://doi.org/10.3390/en15186807
Lahbouki S, Meddich A, Ben-Laouane R, Outzourhit A, Pari L. Subsurface Water Retention Technology Promotes Drought Stress Tolerance in Field-Grown Tomato. Energies. 2022; 15(18):6807. https://doi.org/10.3390/en15186807
Chicago/Turabian StyleLahbouki, Soufiane, Abdelilah Meddich, Raja Ben-Laouane, Abdelkader Outzourhit, and Luigi Pari. 2022. "Subsurface Water Retention Technology Promotes Drought Stress Tolerance in Field-Grown Tomato" Energies 15, no. 18: 6807. https://doi.org/10.3390/en15186807
APA StyleLahbouki, S., Meddich, A., Ben-Laouane, R., Outzourhit, A., & Pari, L. (2022). Subsurface Water Retention Technology Promotes Drought Stress Tolerance in Field-Grown Tomato. Energies, 15(18), 6807. https://doi.org/10.3390/en15186807

