Numerical Simulation and Evaluation on Continuum Damage Models of Rocks
Abstract
:1. Introduction
2. Theory Foundations of Damage Models
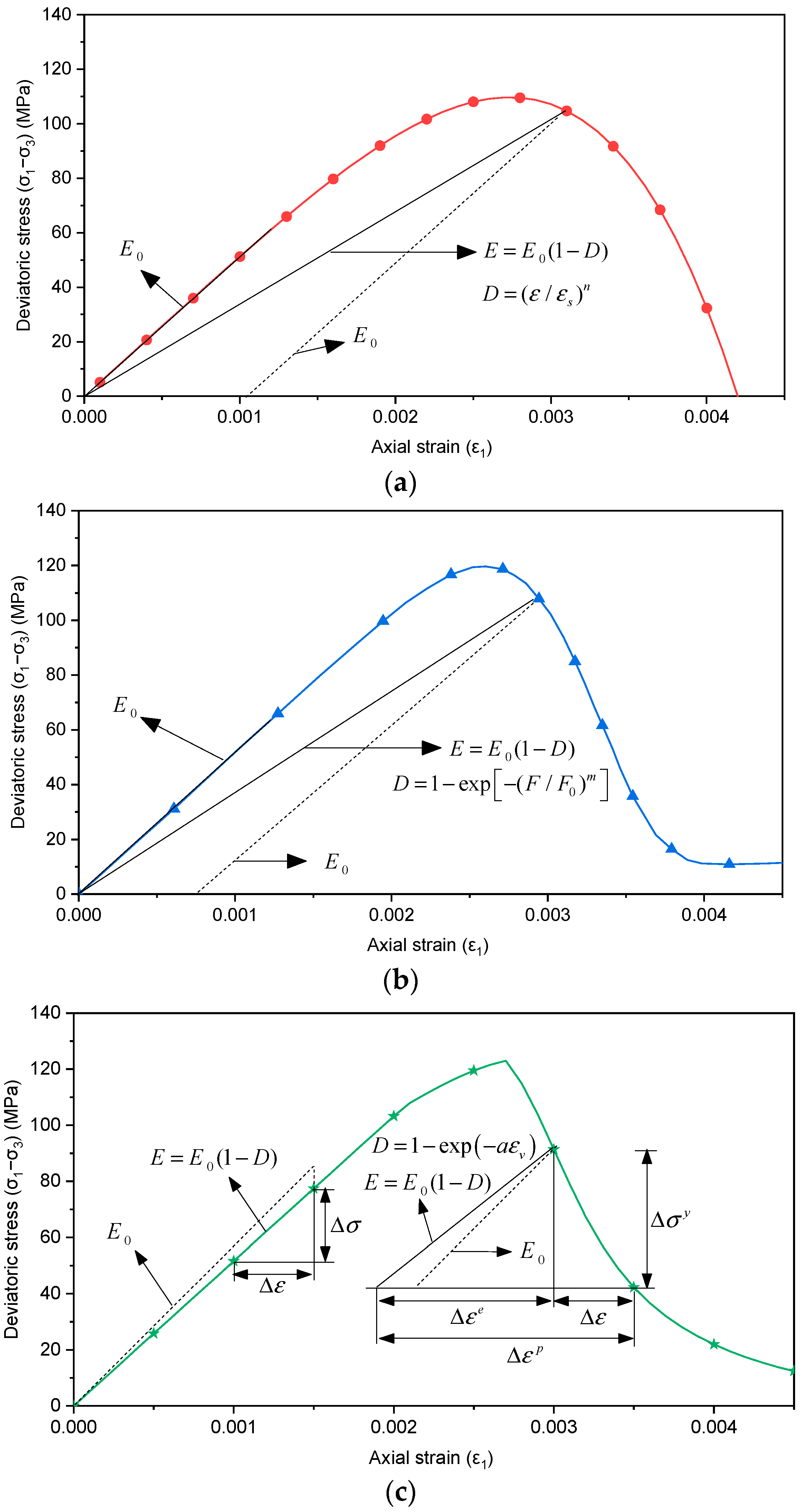
2.1. The Empirical Damage Models
2.2. The Statistical Damage Models
2.3. The Elastoplastic Damage Models
3. Numerical Simulation Scheme
3.1. Representative Models
3.2. Numerical Model and Parameters
3.3. Damage Calculation Programs
4. Results and Discussion
4.1. Uniform Compression Condition
4.1.1. Stress-Strain Response
4.1.2. Damage Distribution and Evolution
4.2. Nonuniform Stress Condition
4.2.1. Stress-Strain Response
4.2.2. Damage Distribution and Evolution
4.3. Discussion
5. Conclusions
- (1)
- The empirical damage models and statistical damage models considering damage-elastic coupling can present strain-softening stages under uniform compression conditions. Such a descent of a stress-strain curve is caused by subtracting elastic modulus gradually, which cannot reflect the irreversibility of the damage well.
- (2)
- The elastoplastic damage models considering the damage-elastic-plastic coupling can present strain-softening stages under both uniform compression conditions and ununiform stress conditions. Such a descent of a stress-strain curve is caused by reducing plastic yield stress gradually, which can represent the irreversibility of damage.
- (3)
- Every element in FEM simulations is considered as a whole specimen, as indicated by the continuum damage models. The compulsory reduction of the elastic modulus can probably lead to extreme element distortion and even an unreasonable negative modulus when the damage of an element is very serious, and therefore prematurely result in the failure of overall numerical simulations under complex stress states.
- (4)
- The internal damage distribution and evolution can be obtained according to the specific damage definitions, which reveals the different damage mechanisms. The most reasonable definition of the damage variable should be expected to reflect the local deterioration effect and irreversibility feature of damage.
Author Contributions
Funding
Conflicts of Interest
References
- Liu, X.; Kou, M.; Lu, Y.; Liu, Y. An Experimental Investigation on the Shear Mechanism of Fatigue Damage in Rock Joints under Pre-peak Cyclic Loading Condition. Int. J. Fatigue 2018, 106, 175–184. [Google Scholar] [CrossRef]
- Tang, C.; Liu, H.; Lee, P.; Tsui, Y.; Tham, L. Numerical Studies of the Influence of Microstructure on Rock Failure in Uniaxial Compression-Part I: Effect of Heterogeneity. Int. J. Rock Mech. Min. Sci. 2000, 37, 555–569. [Google Scholar] [CrossRef]
- Xu, X.; Ma, S.; Xia, M.; Ke, F.; Bai, Y. Damage Evaluation and Damage Localization of Rock. Theor. Appl. Fract. Mech. 2004, 42, 131–138. [Google Scholar] [CrossRef]
- Peng, R.; Ju, Y.; Wang, J.; Xie, H.; Gao, F.; Mao, L. Energy Dissipation and Release During Coal Failure Under Conventional Triaxial Compression. Rock Mech. Rock Eng. 2014, 48, 509–526. [Google Scholar] [CrossRef]
- Ahmed, Z.; Wang, S.; Hashmi, M.Z.; Zishan, Z.; Chengjin, Z. Causes, characterization, damage models, and constitutive modes for rock damage analysis: A review. Arab. J. Geosci. 2020, 13, 806. [Google Scholar] [CrossRef]
- Zhang, J.; Ma, L.; Zhang, Z.X. Elastoplastic Damage Model for Concrete Under Triaxial Compression and Reversed Cyclic Loading. Strength Mater. 2018, 50, 724–734. [Google Scholar] [CrossRef]
- Lemaitre, J. How to Use Damage Mechanics. Nucl. Eng. Des. 1984, 80, 233–245. [Google Scholar] [CrossRef]
- Rabotnov, Y.N. On the Equations of State for Creep. Proc. Inst. Mech. Eng. Conf. Proc. 1963, 178, 2–117. [Google Scholar] [CrossRef]
- Davison, L.; Stevens, A.L. Thermomechanical Constitution of Spalling Elastic Bodies. J. Appl. Phys. 1973, 44, 668–674. [Google Scholar] [CrossRef]
- Gurson, A.L. Continuum Theory of Ductile Rupture by Void Nucleation and Growth. Part I. Yield Criteria and Flow Rules for Porous Ductile Media. J. Eng. Mater. Tech. 1977, 4, 2–15. [Google Scholar] [CrossRef]
- Dragon, A.; Mróz, Z. Continuum Model for Plastic-brittle Behavior of Rock and Concrete. Int. J. Eng. Sci. 1979, 17, 121–137. [Google Scholar] [CrossRef]
- Chaboche, J.L. Anisotropic Creep Damage in the Framework of Continuum Damage Mechanics. Nucl. Eng. Des. 1984, 79, 309–319. [Google Scholar] [CrossRef]
- Jansson, S.; Stigh, U. Influence of Cavity Shape on Damage Parameter. J. Appl. Mech. 1985, 52, 609–614. [Google Scholar] [CrossRef]
- Ju, Y.; Xie, H.P. Applicability of Damage Variable Definition Based on Hypothesis of Strain Equivalence. J. Coal Sci. Eng. 2000, 6, 9–14. [Google Scholar]
- Deng, J.; Gu, D. On a Statistical Damage Constitutive Model for Rock Materials. Comput. Geosci. 2011, 37, 122–128. [Google Scholar] [CrossRef]
- Løland, K. Continuous Damage Model for Load-response Estimation of Concrete. Cem. Concr. Res. 1980, 10, 395–402. [Google Scholar] [CrossRef]
- Mazars, J.; Pijaudier-Cabot, G. Continuum Damage Theory-Application to Concrete. J. Eng. Mech. 1989, 115, 345–365. [Google Scholar] [CrossRef]
- Xie, H.P.; Ju, Y. A Study of Damage Mechanics Theory in Fractional Dimensional Space. Chin. J. Rock Mech. Eng. 1999, 31, 300–310. (In Chinese) [Google Scholar]
- Shen, P.; Tang, H.; Wang, D.; Ning, Y.; Zhang, Y.; Su, X. A Statistical Damage Constitutive Model Based on Unified Strength Theory for Embankment Rocks. Mar. Georesources Geotechnol. 2019, 38, 818–829. [Google Scholar] [CrossRef]
- Bruning, T.; Karakus, M.; Nguyen, G.; Goodchild, D. An Experimental and Theoretical Stress-strain-damage Correlation Procedure for Constitutive Modelling of Granite. Int. J. Rock Mech. Min. Sci. 2019, 116, 1–12. [Google Scholar] [CrossRef]
- Huang, X.; Kong, X.; Chen, Z.; Fang, Q. A plastic-damage model for rock-like materials focused on damage mechanisms under high pressure. Comput. Geotech. 2021, 137, 104263. [Google Scholar] [CrossRef]
- Chang, S.-H.; Lee, C.-I.; Lee, Y.-K. An experimental damage model and its application to the evaluation of the excavation damage zone. Rock Mech. Rock Eng. 2007, 40, 245–285. [Google Scholar] [CrossRef]
- Zhao, G.; Chen, C.; Yan, H.; Hao, Y. Study on the damage characteristics and damage model of organic rock oil shale under the temperature effect. Arab. J. Geosci. 2021, 14, 722. [Google Scholar] [CrossRef]
- Zhu, Z.; Tian, H.; Wang, R.; Jiang, G.; Dou, B.; Mei, G. Statistical thermal damage constitutive model of rocks based on Weibull distribution. Arab. J. Geosci. 2021, 14, 495. [Google Scholar] [CrossRef]
- Salari, M.; Saeb, S.; Willam, K.; Patchet, S.; Carrasco, R. A Coupled Elastoplastic Damage Model for Geomaterials. Comput. Methods Appl. Mech. Eng. 2004, 193, 2625–2643. [Google Scholar] [CrossRef]
- Chen, L.; Shao, J.; Huang, H. Coupled Elastoplastic Damage Modeling of Anisotropic Rocks. Comput. Geotech. 2009, 37, 187–194. [Google Scholar] [CrossRef]
- Richard, B.; Ragueneau, F. Continuum Damage Mechanics Based Model for Quasi Brittle Materials Subjected to Cyclic Loadings: Formulation, Numerical Implementation, and Applications. Eng. Fract. Mech. 2013, 98, 383–406. [Google Scholar] [CrossRef]
- Liu, X.M.; Li, C.F. Damage Mechanics Analysis for Brittle Rock and Rockbust Energy Index. Chin. J. Rock Mech. Eng. 1997, 16, 45–52. (In Chinese) [Google Scholar]
- Yan, X.; Jun, L.; Yijin, Z.; Shidong, D.; Tingxue, J. Research on Lateral Scale Effect and Constitutive Model of Rock Damage Energy Evolution. Geotech. Geol. Eng. 2018, 36, 2415–2424. [Google Scholar] [CrossRef]
- Liu, X.; Ning, J.; Tan, Y.; Gu, Q. Damage constitutive model based on energy dissipation for intact rock subjected to cyclic loading. Int. J. Rock Mech. Min. Sci. 2016, 85, 27–32. [Google Scholar] [CrossRef]
- Chen, X.; He, P.; Qin, Z.; Li, J.; Gong, Y. Statistical Damage Model of Altered Granite under Dry-Wet Cycles. Symmetry 2019, 11, 41. [Google Scholar] [CrossRef]
- Zhao, H.; Zhou, S.; Zhang, L. A phenomenological modeling of rocks based on the influence of damage initiation. Environ. Earth Sci. 2019, 78, 143. [Google Scholar] [CrossRef]
- Jiang, H.; Li, K.; Hou, X. Statistical damage model of rocks reflecting strain softening considering the influences of both damage threshold and residual strength. Arab. J. Geosci. 2020, 13, 286. [Google Scholar] [CrossRef]
- Yang, J.P.; Chen, W.Z.; Huang, S. Study of A Statistic Damage Constitutive Model for Rocks. Rock Soil Mech. 2010, 31, 7–11. (In Chinese) [Google Scholar]
- Liu, W.; Zhang, S.; Sun, B. Energy Evolution of Rock under Different Stress Paths and Establishment of a Statistical Damage Model. KSCE J. Civ. Eng. 2019, 23, 4274–4287. [Google Scholar] [CrossRef]
- Wang, Z.L.; Li, Y.C.; Wang, J. A Damage-softening Statistical Constitutive Model Considering Rock Residual Strength. Comput. Geosci. 2007, 33, 1–9. [Google Scholar] [CrossRef]
- Cai, W.; Dou, L.; Ju, Y.; Cao, W.; Yuan, S.; Si, G. A Plastic Strain-based Damage Model for Heterogeneous Coal using Cohesion and Dilation Angle. Int. J. Rock Mech. Min. Sci. 2018, 110, 151–160. [Google Scholar] [CrossRef]
- Han, Y.-F.; Cheng, X.-Y.; Liu, X.-R.; Zhao, L.-L.; He, J.; Miao, J. Extraction and Numerical Simulation of Gas-water Flow in Low Permeability Coal Reservoirs Based on a Pore Network Model. Energy Sources Part A Recover. Util. Environ. Eff. 2019, 43, 1945–1957. [Google Scholar] [CrossRef]
- Zhang, H.; Meng, X.; Liu, X. Establishment of constitutive model and analysis of damage characteristics of frozen-thawed rock under load. Arab. J. Geosci. 2021, 14, 1277. [Google Scholar] [CrossRef]
- Liu, Y.; Dai, F. A damage constitutive model for intermittent jointed rocks under cyclic uniaxial compression. Int. J. Rock Mech. Min. Sci. 2018, 103, 289–301. [Google Scholar] [CrossRef]
- Zhou, S.W.; Xia, C.C.; Zhao, H.B.; Mei, S.-H.; Zhou, Y. Statistical Damage Constitutive Model for Rocks Subjected to Cyclic Stress and Cyclic Temperature. Acta Geophys. 2017, 65, 893–906. [Google Scholar] [CrossRef]
- Fan, X.; Luo, N.; Yuan, Y.; Liang, H.; Zhai, C.; Qu, Z.; Li, M. Dynamic mechanical behavior and damage constitutive model of shales with different bedding under compressive impact loading. Arab. J. Geosci. 2021, 14, 1752. [Google Scholar] [CrossRef]
- Wang, C.; Zhan, S.F.; Xie, M.Z.; Wang, C.; Cheng, L.-P.; Xiong, Z.-Q. Damage Characteristics and Constitutive Model of Deep Rock under Frequent Impact Disturbances in the Process of Unloading High Static Stress. Complexity 2020, 2020, 2706091. [Google Scholar] [CrossRef]
- Tu, X.; Andrade, J.E.; Chen, Q. Return mapping for nonsmooth and multiscale elastoplasticity. Comput. Methods Appl. Mech. Eng. 2009, 198, 2286–2296. [Google Scholar] [CrossRef]
- Yuan, X.P.; Liu, H.Y.; Wang, Z.Q. Study of Elastoplastic Damage Constitutive Model of Rocks Based on Drucker-Prager Criterion. Rock Soil Mech. 2012, 33, 1103–1108. (In Chinese) [Google Scholar]
- Borja, R.I.; Sama, K.M.; Sanz, P.F. On the numerical integration of three-invariant elastoplastic constitutive models. Comput. Methods Appl. Mech. Eng. 2003, 192, 1227–1258. [Google Scholar] [CrossRef]
- Li, X.; Cao, W.-G.; Su, Y.-H. A Statistical Damage Constitutive Model for Softening Behavior of Rocks. Eng. Geol. 2012, 143–144, 1–17. [Google Scholar] [CrossRef]
- Rummel, F.; Fairhurst, C. Determination of the post-failure behavior of brittle rock using a servo-controlled testing machine. Rock Mech. Rock Eng. 1970, 2, 189–204. [Google Scholar] [CrossRef]
- Chen, Y.; Zuo, J.; Li, Z.; Dou, R. Experimental Investigation on the Crack Propagation Behaviors of Sandstone under Different Loading and Unloading Conditions. Int. J. Rock Mech. Min. Sci. 2020, 130, 104310. [Google Scholar] [CrossRef]
- Gao, M.; Liang, Z.; Li, Y.; Wu, X.; Zhang, M. End and Shape Effects of Brittle Rock under Uniaxial Compression. Arab. J. Geosci. 2018, 11, 614. [Google Scholar] [CrossRef]
- Zhang, N.-H.; Wang, J.-J.; Cheng, C.-J. Stability Assessment of Rockmass Engineering Based on Failure Approach Index. Appl. Math. Mech. 2007, 28, 888–894. (In Chinese) [Google Scholar] [CrossRef]
- Ambati, M.; Gerasimov, T.; De Lorenzis, L. A Review on Phase-field Models of Brittle Fracture and a New Fast Hybrid Formulation. Comput. Mech. 2014, 55, 383–405. [Google Scholar] [CrossRef]









| Type | Damage Variable | Coupling Mechanism | Applicable |
|---|---|---|---|
| Empirical damage model | [28] | Proposed according to total amount of stress and strain. Not applicable to local elastic unloading. | |
| Statistical damage model | [36] | Proposed according to total amount of stress and strain. Not applicable to local elastic unloading. | |
| Elastoplastic damage model | [45] | Proposed according to stress and strain increment. Reflect whole deformation histories by plastic strains. Can be calculated in unloading process. |
| Elasticity Modulus E (GPa) | Poisson’s Ratio υ | Cohesion c (MPa) | Internal Friction Angle φ (°) | εs | n | m | F0 (MPa) | cn | a |
|---|---|---|---|---|---|---|---|---|---|
| 51.62 | 0.25 | 24.797 | 40.239 | 0.0042 | 3.5 | 8.8 | 60.35 | 0.95 | 280 |
Publisher’s Note: MDPI stays neutral with regard to jurisdictional claims in published maps and institutional affiliations. |
© 2022 by the authors. Licensee MDPI, Basel, Switzerland. This article is an open access article distributed under the terms and conditions of the Creative Commons Attribution (CC BY) license (https://creativecommons.org/licenses/by/4.0/).
Share and Cite
Zhao, L.; Cui, Z.; Peng, R.; Si, K. Numerical Simulation and Evaluation on Continuum Damage Models of Rocks. Energies 2022, 15, 6806. https://doi.org/10.3390/en15186806
Zhao L, Cui Z, Peng R, Si K. Numerical Simulation and Evaluation on Continuum Damage Models of Rocks. Energies. 2022; 15(18):6806. https://doi.org/10.3390/en15186806
Chicago/Turabian StyleZhao, Leilei, Zhendong Cui, Ruidong Peng, and Kai Si. 2022. "Numerical Simulation and Evaluation on Continuum Damage Models of Rocks" Energies 15, no. 18: 6806. https://doi.org/10.3390/en15186806
APA StyleZhao, L., Cui, Z., Peng, R., & Si, K. (2022). Numerical Simulation and Evaluation on Continuum Damage Models of Rocks. Energies, 15(18), 6806. https://doi.org/10.3390/en15186806

