Modeling and Control Strategy of Wind Energy Conversion System with Grid-Connected Doubly-Fed Induction Generator
Abstract
1. Introduction
- Able to supply the power at constant voltage and frequency while the speed of the rotor varies.
- Improve the efficiency of wind generator, rotor speed may vary according to wind speed.
- Power electronic converters require lower power ratings as they have to handle a fraction of the total power.
- Independent control of active and reactive power is possible, and so the power factor can be controlled [16].
2. Literature Survey
3. System Configuration and Modeling of DFIG
3.1. Wind Turbine Modeling
- : Area swept by turbine blades (m2).
- : The air density (kg/m3).
- : Wind speed (m/s).
- : The radius of turbine rotor (m)
- : The power coefficient
- is a function of tip speed ratio () and the pitch angle ().
3.2. DFIG Modeling
4. MPPT Control
- Zone-1: In this region, speed is very low as the WT cannot generate the power.
- Zone-2: This control zone tracks the restoration of maximum power limited by minimum wind speed to the rated value.
- Zone-3: In this region, the WT operates with rated maximum speed. However, power output is not maximum.
- Zone-4: In this zone, the WT generates maximum rated power. Beyond maximum allowable wind speed, protection devices get activated to avoid failure or damage of WT.
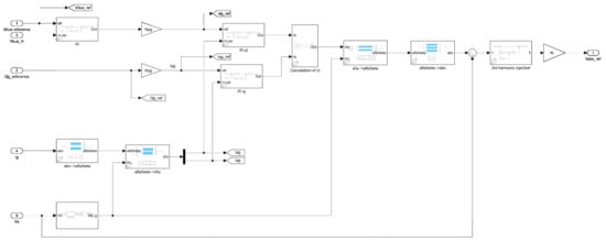
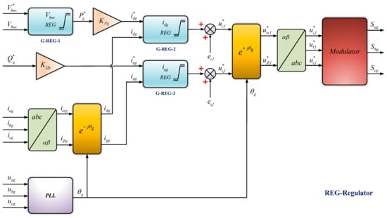
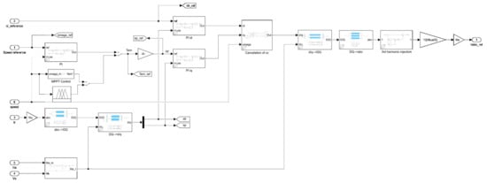
5. Control Strategy for RSC and GSC
5.1. Rotor Side Control
5.2. Grid Side Control
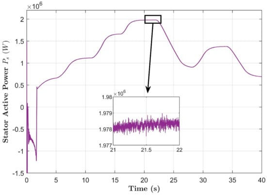
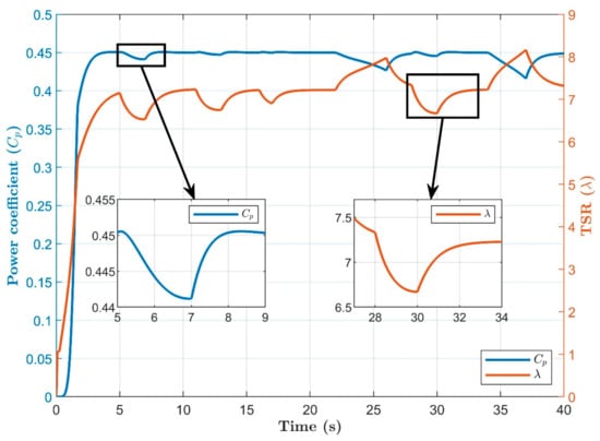
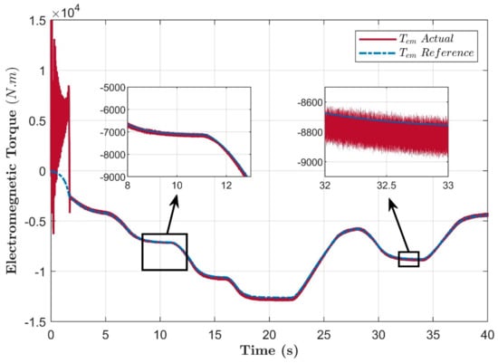
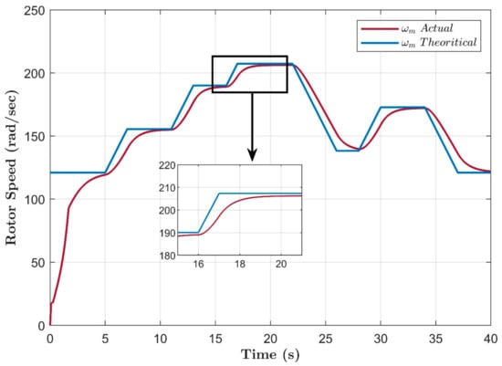
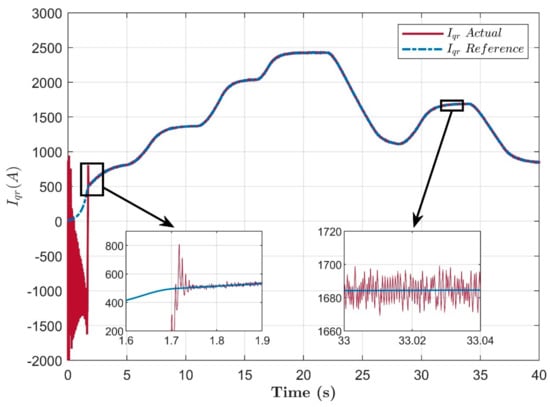
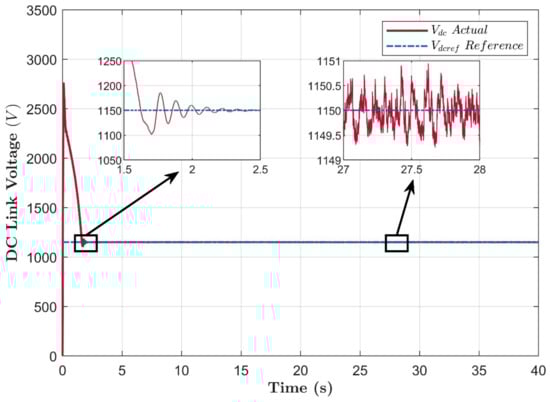
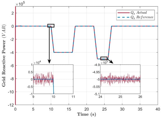
6. Simulation Results
7. Conclusions
Author Contributions
Funding
Informed Consent Statement
Data Availability Statement
Conflicts of Interest
References
- Chhipa, A.A.; Kumar, V.; Vyas, S.; Joshi, R.R. MPPT Optimisation Techniques and Power Electronics for Renewable Energy Systems: Wind and Solar Energy Systems. Int. J. Swarm Intell. 2021, 1, 1. [Google Scholar] [CrossRef]
- Qazi, A.; Hussain, F.; Rahim, N.A.B.D.; Hardaker, G.; Alghazzawi, D.; Shaban, K.; Haruna, K. Towards Sustainable Energy: A Systematic Review of Renewable Energy Sources, Technologies, and Public Opinions. IEEE Access 2019, 7, 63837–63851. [Google Scholar] [CrossRef]
- Prasad, R.M.; Mulla, M.A. Mathematical Modeling and Position-Sensorless Algorithm for Stator-Side Field-Oriented Control of Rotor-Tied DFIG in Rotor Flux Reference Frame. IEEE Trans. Energy Convers. 2020, 35, 631–639. [Google Scholar] [CrossRef]
- Hu, J.; Nian, H.; Xu, H.; He, Y. Dynamic Modeling and Improved Control of DFIG under Distorted Grid Voltage Conditions. IEEE Trans. Energy Convers. 2011, 26, 163–175. [Google Scholar] [CrossRef]
- Hosseini, S.H.; Sharifian, M.B.B.; Shahnia, F. Dynamic Performance of Double Fed Induction Generator for Wind Turbines. In Proceedings of the ICEMS 2005 Eighth International Conference on Electrical Machines and Systems, Nanjing, China, 27–29 September 2005; Volume 2, pp. 1261–1266. [Google Scholar] [CrossRef]
- Balat, M.; Balat, H. Biogas as a Renewable Energy Sourcea Review. Energy Sources Part A Recovery Util. Environ. Eff. 2009, 31, 1280–1293. [Google Scholar] [CrossRef]
- Chhipa, A.A.; Vyas, S.; Kumar, V.; Joshi, R.R. Role of Power Electronics and Optimization Techniques in Renewable Energy Systems. In Intelligent Algorithms for Analysis and Control of Dynamical Systems. Algorithms for Intelligent Systems; Springer: Singapore, 2021; pp. 167–175. [Google Scholar] [CrossRef]
- Hansen, A.D.; Sørensen, P.; Lov, F.; Blaabjerg, F. Control of Variable Speed Wind Turbines with Doubly-Fed Induction Generators. Wind Eng. 2004, 28, 411–432. [Google Scholar] [CrossRef]
- Tanvir, A.A.; Merabet, A.; Beguenane, R. Real-Time Control of Active and Reactive Power for Doubly Fed Induction Generator (DFIG)-Based Wind Energy Conversion System. Energies 2015, 8, 10389–10408. [Google Scholar] [CrossRef]
- Poitiers, F.; Bouaouiche, T.; Machmoum, M. Advanced Control of a Doubly-Fed Induction Generator for Wind Energy Conversion. Electr. Power Syst. Res. 2009, 79, 1085–1096. [Google Scholar] [CrossRef]
- Rezaei, E.; Tabesh, A.; Ebrahimi, M. Dynamic Model and Control of DFIG Wind Energy Systems Based on Power Transfer Matrix. IEEE Trans. Power Deliv. 2012, 27, 1485–1493. [Google Scholar] [CrossRef]
- Zou, Y.; Elbuluk, M.; Sozer, Y. A Complete Modeling and Simulation of Induction Generator Wind Power Systems. In Proceedings of the Conference Record-IAS Annual Meeting (IEEE Industry Applications Society), Houston, TX, USA, 3–7 October 2010. [Google Scholar] [CrossRef]
- Idrissi, I.; Chafouk, H.; El Bachtiri, R.; Khanfara, M. Modeling and Simulation of the Variable Speed Wind Turbine Based on a Doubly Fed Induction Generator. In Gas Turbines-Control, Diagnostics, Simulation, and Measurements; IntechOpen: London, UK, 2019. [Google Scholar] [CrossRef][Green Version]
- Ullah, N.R.; Thiringer, T. Variable Speed Wind Turbines for Power System Stability Enhancement. IEEE Trans. Energy Convers. 2007, 22, 52–60. [Google Scholar] [CrossRef]
- Chhipa, A.A.; Kumar, V.; Joshi, R.R.; Chakrabarti, P.; Jasinski, M.; Burgio, A.; Leonowicz, Z.; Jasinska, E.; Soni, R.; Chakrabarti, T. Adaptive Neuro-Fuzzy Inference System-Based Maximum Power Tracking Controller for Variable Speed WECS. Energies 2021, 14, 6275. [Google Scholar] [CrossRef]
- Rao, K.R. Wind Energy: Technical Considerations–Contents. In Wind Energy for Power Generation; Springer: Cham, Switzerland, 2019; pp. 1–426. [Google Scholar] [CrossRef]
- Xiahou, K.; Liu, Y.; Wang, L.; Li, M.S.; Wu, Q.H. Control of DFIG’s Rotor-Side Converter with Decoupling of Current Loops Using Observer-Based Fractional-Order Sliding-Mode Regulators. IEEE Access 2019, 7, 163412–163420. [Google Scholar] [CrossRef]
- Yao, J.; Li, H.; Chen, Z.; Xia, X.; Chen, X.; Li, Q.; Liao, Y. Enhanced Control of a DFIG-Based Wind-Power Generation System with Series Grid-Side Converter under Unbalanced Grid Voltage Conditions. IEEE Trans. Power Electron. 2013, 28, 3167–3181. [Google Scholar] [CrossRef]
- Rajendran, M.; Kumar, L.A. Modeling and Simulation of a Dfig-Based Wind Energy System. In Lecture Notes in Electrical Engineering; Springer: Singapore, 2020; Volume 687, pp. 31–49. [Google Scholar] [CrossRef]
- Nian, H.; Xu, Y.; Chen, L.; Zhu, M. Modeling and Analysis of DC-Link Dynamics in DFIG System with an Indicator Function. IEEE Access 2019, 7, 125401–125412. [Google Scholar] [CrossRef]
- Karabacak, K.; Cetin, N. Artificial Neural Networks for Controlling Wind-PV Power Systems: A Review. Renew. Sustain. Energy Rev. 2014, 29, 804–827. [Google Scholar] [CrossRef]
- Marugán, A.P.; Márquez, F.P.G.; Perez, J.M.P.; Ruiz-Hernández, D. A Survey of Artificial Neural Network in Wind Energy Systems. Appl. Energy 2018, 228, 1822–1836. [Google Scholar] [CrossRef]
- Gayatri, M.T.L.; Parimi, A.M.; Pavan Kumar, A.V. A Review of Reactive Power Compensation Techniques in Microgrids. Renew. Sustain. Energy Rev. 2018, 81, 1030–1036. [Google Scholar] [CrossRef]
- Geng, H.; Liu, C.; Yang, G. LVRT Capability of DFIG-Based WECS under Asymmetrical Grid Fault Condition. IEEE Trans. Ind. Electron. 2013, 60, 2495–2509. [Google Scholar] [CrossRef]
- Singh, G.K. Self-Excited Induction Generator Research—A Survey. Electr. Power Syst. Res. 2004, 69, 107–114. [Google Scholar] [CrossRef]
- Singh, B.; Murthy, S.S.; Gupta, S. A Voltage and Frequency Controller for Self-Excited Induction Generators. Electr. Power Compon. Syst. 2006, 34, 141–157. [Google Scholar] [CrossRef]
- McPherson, G. Analysis of the Isolated Induction Generator. IEEE Trans. Power Appar. Syst. 1983, 8, 2793–2798. [Google Scholar] [CrossRef]
- Casielles, P.G.; Sanz, J.; Pascual, J. Control System for a Wind Turbine Driven Self Excited Asynchronous Generator. In Proceedings of the Electrotechnical Conference Integrating Research, Industry and Education in Energy and Communication Engineering, Lisbon, Portugal, 11–13 April 1989; pp. 95–98. [Google Scholar] [CrossRef]
- Kasal, G.K.; Singh, B. Voltage and Frequency Controllers for an Asynchronous Generator-Based Isolated Wind Energy Conversion System. IEEE Trans. Energy Convers. 2011, 26, 402–416. [Google Scholar] [CrossRef]
- Peña, R.; Cárdenas, R.; Escobar, E.; Clare, J.; Wheeler, P. Control System for Unbalanced Operation of Stand-Alone Doubly Fed Induction Generators. IEEE Trans. Energy Convers. 2007, 22, 544–545. [Google Scholar] [CrossRef]
- Jain, A.K.; Ranganathan, V.T. Wound Rotor Induction Generator with Sensorless Control and Integrated Active Filter for Feeding Nonlinear Loads in a Stand-Alone Grid. IEEE Trans. Ind. Electron. 2008, 55, 218–228. [Google Scholar] [CrossRef]
- Goel, P.K.; Singh, B.; Murthy, S.S.; Kishore, N. Parallel Operation of DFIGs in Three-Phase Four-Wire Autonomous Wind Energy Conversion System. IEEE Trans. Ind. Appl. 2011, 47, 1872–1883. [Google Scholar] [CrossRef]
- Watson, D.B.; Arrillaga, J.; Densem, T. Controllable d.c. power supply from wind-driven self-excited induction machines. Proc. Inst. Electr. Eng. 1979, 126, 1245–1248. [Google Scholar] [CrossRef]
- Chen, W.; Liming, W.; Libao, S.; Yixin, N. A Survey on Wind Power Technologies in Power Systems. In Proceedings of the 2007 IEEE Power Engineering Society General Meeting, PES, Tampa, FL, USA, 24–28 June 2007. [Google Scholar] [CrossRef]
- Hinrichsen, E.N. Controls for Variable Pitch Wind Turbine Generators. IEEE Trans. Power Appar. Syst. 1984, 4, 886–892. [Google Scholar] [CrossRef]
- Yamamoto, M.; Motoyoshi, O. Active and Reactive Power Control for Doubly-Fed Wound Rotor Induction Generator. IEEE Trans. Power Electron. 1991, 6, 624–629. [Google Scholar] [CrossRef]
- Uctug, M.Y.; Eskandarzadeh, I.; Ince, H. Modelling and Output Power Optimisation of a Wind Turbine Driven Double Output Induction Generator. IEE Proc. Electr. Power Appl. 1994, 141, 33–38. [Google Scholar] [CrossRef]
- Arnaltes Gómez, S.; Rodriguez Amenedo, J.L. Grid Synchronisation of Doubly Fed Induction Generators Using Direct Torque Control. In Proceedings of the IEEE 2002 28th Annual Conference of the Industrial Electronics Society. IECON, Seville, Spain, 5–8 November 2002; Volume 4, pp. 3338–3343. [Google Scholar] [CrossRef]
- Tapia, A.; Tapia, G.; Xabier Ostolaza, J.; Sáenz, J.R. Modeling and Control of a Wind Turbine Driven Doubly Fed Induction Generator. IEEE Trans. Energy Convers. 2003, 18, 194–204. [Google Scholar] [CrossRef]
- Jabr, H.M.; Kar, N.C. Adaptive Vector Control for Slip Energy Recovery in Doubly-Fed Wind Driven Induction Generator. In Proceedings of the Canadian Conference on Electrical and Computer Engineering, Saskatoon, SK, Canada, 1–4 May 2005; Volume 2005, pp. 759–762. [Google Scholar] [CrossRef]
- Jiao, L.; Ooi, B.T.; Joós, G.; Zhou, F. Doubly-Fed Induction Generator (DFIG) as a Hybrid of Asynchronous and Synchronous Machines. Electr. Power Syst. Res. 2005, 76, 33–37. [Google Scholar] [CrossRef]
- Tremblay, E.; Chandra, A.; Lagacé, P.J. Grid-Side Converter Control of DFIG Wind Turbines to Enhance Power Quality of Distribution Network. In Proceedings of the 2006 IEEE Power Engineering Society General Meeting, PES, Montreal, QC, Canada, 18–22 June 2006. [Google Scholar] [CrossRef]
- Chowdhury, B.H.; Chellapilla, S. Double-Fed Induction Generator Control for Variable Speed Wind Power Generation. Electr. Power Syst. Res. 2006, 76, 786–800. [Google Scholar] [CrossRef]
- Datta, R.; Ranganathan, V.T. Decoupled Control of Active and Reactive Power for a Grid-Connected Doubly-Fed Wound Rotor Induction Machine without Position Sensors. In Proceedings of the Conference Record-IAS Annual Meeting (IEEE Industry Applications Society), Phoenix, AZ, USA, 3–7 October 1999; Volume 4, pp. 2623–2630. [Google Scholar] [CrossRef]
- Datta, R.; Ranganathan, V.T. Direct Power Control of Grid-Connected Wound Rotor Induction Machine without Rotor Position Sensors. IEEE Trans. Power Electron. 2001, 16, 390–399. [Google Scholar] [CrossRef]
- Ying, L.M.; Cui, X.; Liao, Q.F.; Tang, C.H.; Le, L.C.; Chen, Z. Stator Flux Observation and Speed Estimation of a Doubly Fed Induction Generator. In Proceedings of the 2006 International Conference on Power System Technology, POWERCON2006, Chongqing, China, 22–26 October 2006. [Google Scholar] [CrossRef]
- Qiao, W.; Zhou, W.; Aller, J.M.; Harley, R.G. Wind Speed Estimation Based Sensorless Output Maximization Control for a Wind Turbine Driving a DFIG. IEEE Trans. Power Electron. 2008, 23, 1156–1169. [Google Scholar] [CrossRef]
- Hongfei, M.; Yi, W.; Dianguo, X.; Yongqiang, L. Research on AC-DC-AC Converter for Wind Power Doubly-Fed Induction Generator. In Proceedings of the IECON Proceedings (Industrial Electronics Conference), Paris, France, 6–10 November 2006; pp. 2734–2739. [Google Scholar] [CrossRef]
- Pena, R.S.; Cardenas, R.J.; Asher, G.M.; Clare, J.C. Vector Controlled Induction Machines for Stand-Alone Wind Energy Applications. In Proceedings of the Conference Record of the 2000 IEEE Industry Applications Conference. Thirty-Fifth IAS Annual Meeting and World Conference on Industrial Applications of Electrical Energy, Rome, Italy, 8–12 October 2000; Volume 3, pp. 1409–1415. [Google Scholar] [CrossRef]
- Cárdenas, R.; Peña, R.; Proboste, J.; Asher, G.; Clare, J. MRAS Observer for Sensorless Control of Standalone Doubly Fed Induction Generators. IEEE Trans. Energy Convers. 2005, 20, 710–718. [Google Scholar] [CrossRef]
- Hilloowala, R.M.; Sharaf, A.M. A Rule-Based Fuzzy Logic Controller for a PWM Inverter in a Stand Alone Wind Energy Conversion Scheme. IEEE Trans. Ind. Appl. 1996, 32, 57–65. [Google Scholar] [CrossRef]
- Simões, M.G.; Bose, B.K.; Spiegel, R.J. Design and Performance Evaluation of a Fuzzy-Logic-Based Variable-Speed Wind Generation System. IEEE Trans. Ind. Appl. 1997, 33, 956–965. [Google Scholar] [CrossRef]
- Poddar, G.; Joseph, A.; Unnikrishnan, A.K. Sensorless Variable-Speed Controller for Existing Fixed-Speed Wind Power Generator with Unity-Power-Factor Operation. IEEE Trans. Ind. Electron. 2003, 50, 1007–1015. [Google Scholar] [CrossRef]
- Teodorescu, R.; Blaabjerg, F. Flexible Control of Small Wind Turbines with Grid Failure Detection Operating in Stand-Alone and Grid-Connected Mode. IEEE Trans. Power Electron. 2004, 19, 1323–1332. [Google Scholar] [CrossRef]
- Ahmed, T.; Nishida, K.; Nakaoka, M. Advanced Control of PWM Converter with Variable-Speed Induction Generator. IEEE Trans. Ind. Appl. 2006, 42, 934–945. [Google Scholar] [CrossRef]
- Ahmed, T.; Nishida, K.; Nakaoka, M. Advanced Control for PWM Converter and Variable-Speed Induction Generator. IET Electr. Power Appl. 2007, 1, 239–247. [Google Scholar] [CrossRef]
- Barakati, S.M.; Kazerani, M.; Aplevich, J.D. Maximum Power Tracking Control for a Wind Turbine System Including a Matrix Converter. IEEE Trans. Energy Convers. 2009, 24, 705–713. [Google Scholar] [CrossRef]
- Kazmi, S.M.R.; Goto, H.; Guo, H.J.; Ichinokura, O. A Novel Algorithm for Fast and Efficient Speed-Sensorless Maximum Power Point Tracking in Wind Energy Conversion Systems. IEEE Trans. Ind. Electron. 2011, 58, 29–36. [Google Scholar] [CrossRef]
- Vas, P.; Li, J. Simulation package for vector controlled induction motor drives. In Proceedings of the 1993 Sixth International Conference on Electrical Machines and Drives, Oxford, UK, 8–10 September 1993; pp. 265–270. Available online: https://ieeexplore.ieee.org/document/253528 (accessed on 3 September 2022).
- Gabriel, R.; Leonhard, W.; Nordby, C.J. Field-Oriented Control of a Standard AC Motor Using Microprocessors. IEEE Trans. Ind. Appl. 1980, 2, 186–192. [Google Scholar] [CrossRef]
- Wu, Y.K.; Yang, W.H. Different Control Strategies on the Rotor Side Converter in DFIG-Based Wind Turbines. Energy Procedia 2016, 100, 551–555. [Google Scholar] [CrossRef]
- Hore, D.; Sarma, R. Neural Network–based Improved Active and Reactive Power Control of Wind-Driven Double Fed Induction Generator under Varying Operating Conditions. Wind Eng. 2018, 42, 381–396. [Google Scholar] [CrossRef]
- Carroll, J.; McDonald, A.; McMillan, D. Reliability Comparison of Wind Turbines with DFIG and PMG Drive Trains. IEEE Trans. Energy Convers. 2015, 30, 663–670. [Google Scholar] [CrossRef]
- Hosseini, S.M.H.; Rezvani, A. Modeling and Simulation to Optimize Direct Power Control of DFIG in Variable-Speed Pumped-Storage Power Plant Using Teaching–learning-Based Optimization Technique. Soft Comput. 2020, 24, 16895–16915. [Google Scholar] [CrossRef]
- Xia, Y.; Chen, Y.; Song, Y.; Strunz, K. Multi-Scale Modeling and Simulation of DFIG-Based Wind Energy Conversion System. IEEE Trans. Energy Convers. 2020, 35, 560–572. [Google Scholar] [CrossRef]
- Abad, G.; López, J.; Rodríguez, M.A.; Marroyo, L.; Iwanski, G. Doubly Fed Induction Machine: Modeling and Control for Wind Energy Generation; Institute of Electrical and Electronics Engineers: Piscataway, NJ, USA, 2011. [Google Scholar] [CrossRef]
































| Gains | REG-1 | REG-2 | REG-3 |
|---|---|---|---|
| Proportional | 10,160 | 0.5771 | 0.5771 |
| Integral | 406,400 | 491.5995 | 491.5995 |
| Gains | G-REG-1 | G-REG-2 | G-REG-3 |
|---|---|---|---|
| Proportional | 1000 | 0.3016 | 0.3016 |
| Integral | 300,000 | 56.8489 | 56.8489 |
| Parameter | Parameter Value | Parameter | Parameter Value |
|---|---|---|---|
| Nominal wind speed | 11 m/s | Frequency | 50 Hz |
| Air density | 1.225 kg/m3 | Rated torque | 12,732 N·m |
| Tip speed ratio | 7 | Pole pair | 2 |
| Pitch angle | 0° | Inertia | 127 kg·m2 |
| Power coefficient | 0.4411 | Gear ratio | 100 |
| Nominal Power | 2 MW | Radius of turbine | 42 m |
Publisher’s Note: MDPI stays neutral with regard to jurisdictional claims in published maps and institutional affiliations. |
© 2022 by the authors. Licensee MDPI, Basel, Switzerland. This article is an open access article distributed under the terms and conditions of the Creative Commons Attribution (CC BY) license (https://creativecommons.org/licenses/by/4.0/).
Share and Cite
Chhipą, A.A.; Chakrabarti, P.; Bolshev, V.; Chakrabarti, T.; Samarin, G.; Vasilyev, A.N.; Ghosh, S.; Kudryavtsev, A. Modeling and Control Strategy of Wind Energy Conversion System with Grid-Connected Doubly-Fed Induction Generator. Energies 2022, 15, 6694. https://doi.org/10.3390/en15186694
Chhipą AA, Chakrabarti P, Bolshev V, Chakrabarti T, Samarin G, Vasilyev AN, Ghosh S, Kudryavtsev A. Modeling and Control Strategy of Wind Energy Conversion System with Grid-Connected Doubly-Fed Induction Generator. Energies. 2022; 15(18):6694. https://doi.org/10.3390/en15186694
Chicago/Turabian StyleChhipą, Abrar Ahmed, Prąsun Chakrabarti, Vadim Bolshev, Tulika Chakrabarti, Gennady Samarin, Alexey N. Vasilyev, Sandeep Ghosh, and Alexander Kudryavtsev. 2022. "Modeling and Control Strategy of Wind Energy Conversion System with Grid-Connected Doubly-Fed Induction Generator" Energies 15, no. 18: 6694. https://doi.org/10.3390/en15186694
APA StyleChhipą, A. A., Chakrabarti, P., Bolshev, V., Chakrabarti, T., Samarin, G., Vasilyev, A. N., Ghosh, S., & Kudryavtsev, A. (2022). Modeling and Control Strategy of Wind Energy Conversion System with Grid-Connected Doubly-Fed Induction Generator. Energies, 15(18), 6694. https://doi.org/10.3390/en15186694

