Simulation and Design of a Balanced-Field Electromagnetic Technique Sensor for Crack Detection in Long-Distance Oil and Gas Pipelines
Abstract
:1. Introduction
2. Detection Principle and Sensor Parameter Analysis
2.1. The Balanced-Field Electromagnetic Technique Detection Principle
2.2. Sensor Mutual Inductance Model
2.3. Sensor Parameter Analysis
3. Simulation of Sensor Parameters
3.1. Simulation Model
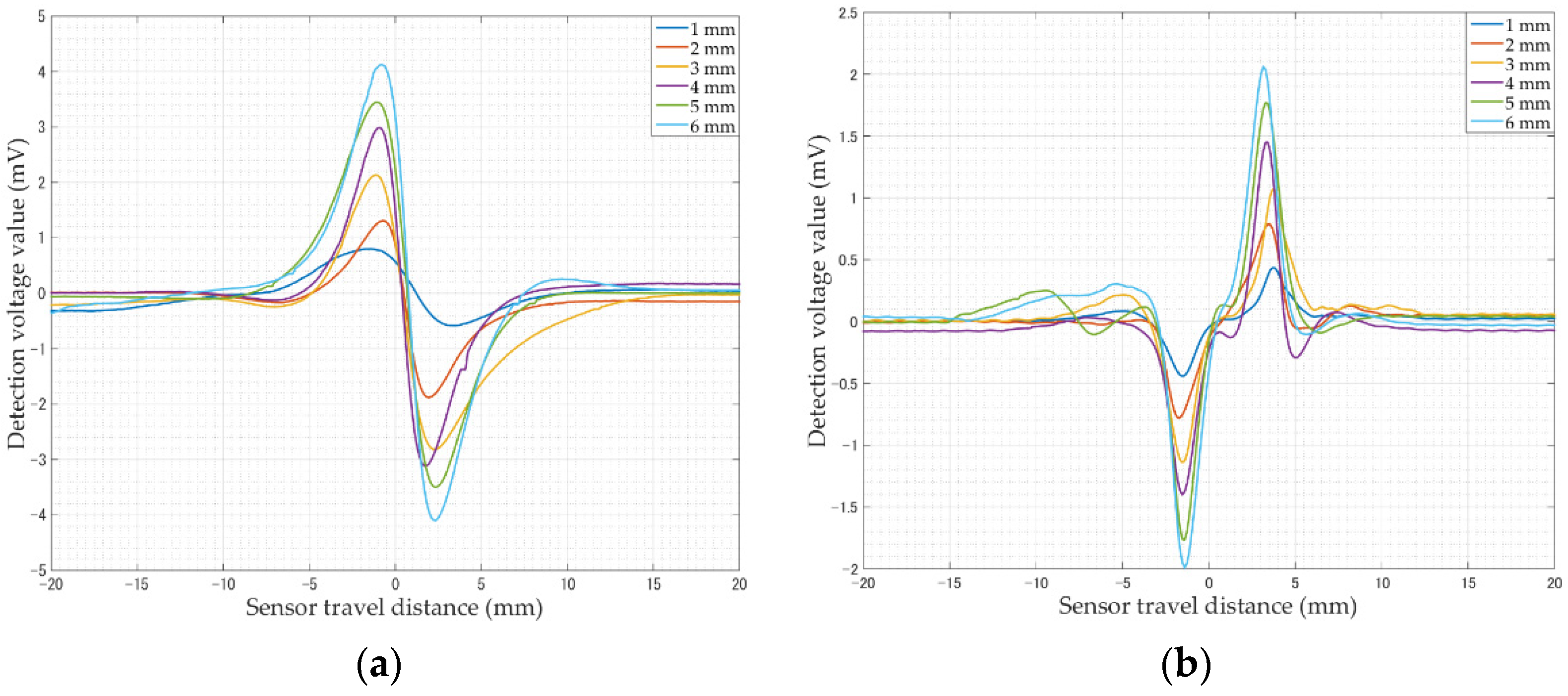
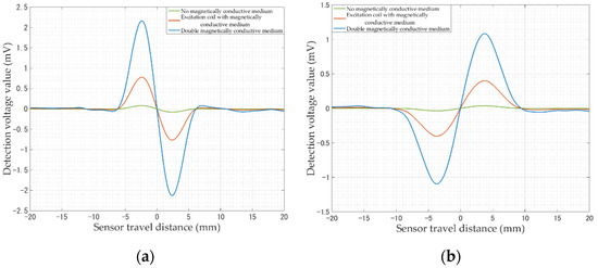
3.2. Simulation Analysis of Sensor Structure Parameters
- Magnetically conductive medium
- Number of the coil turns
- Lift-off value of the sensor
4. Experiments and Analysis
4.1. Single-Sensor Experiments
4.2. Pipeline Pulling Testing
5. Discussion
6. Conclusions
Author Contributions
Funding
Institutional Review Board Statement
Informed Consent Statement
Data Availability Statement
Acknowledgments
Conflicts of Interest
References
- Provornaya, I.V.; Filimonova, I.V.; Mishenin, M.V.; Dzyuba, Y.A.; Chebotareva, A.V. The influence of the pipeline system on the socio-economic development of oil and gas regions. IOP Conf. Ser. Earth Environ. Sci. 2021, 823, 012021. [Google Scholar] [CrossRef]
- Zakikhani, K.; Nasiri, F.; Zayed, T. A review of failure prediction models for oil and gas pipelines. J. Pipeline Syst. Eng. Pract. 2020, 11, 03119001. [Google Scholar] [CrossRef]
- Ben Seghier, M.E.A.; Höche, D.; Zheludkevich, M. Prediction of the internal corrosion rate for oil and gas pipeline: Implementation of ensemble learning techniques. J. Nat. Gas Sci. Eng. 2022, 99, 104425. [Google Scholar] [CrossRef]
- Wasim, M.; Djukic, M.B. External corrosion of oil and gas pipelines: A review of failure mechanisms and predictive preventions. J. Nat. Gas Sci. Eng. 2022, 100, 104467. [Google Scholar] [CrossRef]
- Quej-Ake, L.M.; Rivera-Olvera, J.N.; Domínguez-Aguilar, Y.D.; Avelino-Jiménez, I.A.; Garibay-Febles, V.; Zapata-Peñasco, I. Analysis of the physicochemical, mechanical, and electrochemical parameters and their impact on the internal and external scc of carbon steel pipelines. Materials 2020, 13, 5771. [Google Scholar] [CrossRef]
- Feng, Q.; Li, R.; Nie, B.; Liu, S.; Zhao, L.; Zhang, H. Literature Review: Theory and application of in-line inspection technologies for oil and gas pipeline girth weld defection. Sensors 2017, 17, 50. [Google Scholar] [CrossRef]
- Ambati, P.; Raj, K.M.S.; Joshuva, A. A review on pipeline inspection robot. AIP Conf. Proc. 2020, 2311, 060002. [Google Scholar] [CrossRef]
- Ma, Q.; Tian, G.; Zeng, Y.; Li, R.; Song, H.; Wang, Z.; Gao, B.; Zeng, K. Pipeline in-line inspection method, instrumentation and data management. Sensors 2021, 21, 3862. [Google Scholar] [CrossRef]
- Song, H.; Yang, L.; Liu, G.; Tian, G.; Ona, D.; Song, Y.; Li, S. Comparative analysis of in-line inspection equipments and technologies. IOP Conf. Ser. Mater. Sci. Eng. 2018, 382, 032021. [Google Scholar] [CrossRef]
- Bubenik, T. Electromagnetic methods for detecting corrosion in underground pipelines: Magnetic flux leakage (MFL). In Underground Pipeline Corrosion; Orazem, M.E., Ed.; Woodhead Publishing: Sawston, UK, 2014; pp. 215–226. [Google Scholar]
- Durai, M.; Lin, Z.-Q.; Lan, C.-W.; Chang, H.; Peng, C.-C. Study of defects in the petrochemical storage tank floor using the magnetic flux leakage (MFL) technique. J. Fail. Anal. Prev. 2022, 22, 807–814. [Google Scholar] [CrossRef]
- Dobmann, G.; Barbian, O.A.; Willems, H. State of the art of in-line nondestructive weld inspection of pipelines by ultrasonics. Russ. J. Nondestr. Test. 2007, 43, 755–761. [Google Scholar] [CrossRef]
- Da, Y.; Dong, G.; Shang, Y.; Wang, B.; Liu, D.; Qian, Z. Circumferential defect detection using ultrasonic guided waves. Eng. Comput. 2020, 37, 1923–1943. [Google Scholar] [CrossRef] [Green Version]
- Yang, L.; Zhang, J.; Xing, Y.; Gao, S.; Xie, Z.; Fu, H. Development of a biaxial grid-coil-type electromagnetic acoustic transducer. Meas. Sci. Technol. 2020, 32, 025102. [Google Scholar] [CrossRef]
- Nakamura, N.; Ashida, K.; Takishita, T.; Ogi, H.; Hirao, M. Inspection of stress corrosion cracking in welded stainless steel pipe using point-focusing electromagnetic-acoustic transducer. NDT E Int. 2016, 83, 88–93. [Google Scholar] [CrossRef]
- Salzburger, H.-J.; Niese, F.; Dobmann, G. EMAT pipe inspection with guided waves. Weld. World 2012, 56, 35–43. [Google Scholar] [CrossRef]
- Zhou, D.; Chang, X.; He, Y.; Wang, H.; Cao, P.; Yang, L. Influence of key factors on eddy current testing sensitivity and monotonicity on subsurface depth for ferromagnetic and non-ferromagnetic materials. Sens. Actuators A Phys. 2018, 278, 98–110. [Google Scholar] [CrossRef]
- Piao, G.; Guo, J.; Hu, T.; Deng, Y.; Leung, H. A novel pulsed eddy current method for high-speed pipeline inline inspection. Sens. Actuators A Phys. 2019, 295, 244–258. [Google Scholar] [CrossRef]
- She, S.; Chen, Y.; He, Y.; Zhou, Z.; Zou, X. Optimal design of remote field eddy current testing probe for ferromagnetic pipeline inspection. Measurement 2021, 168, 108306. [Google Scholar] [CrossRef]
- Faraj, M.A.; Samsuri, F.; AbdAlla, A.N.; Rifai, D.; Ali, K.; Al-Douri, Y. Investigate the effect of lift-off on eddy current signal for carbon steel plate. MATEC Web Conf. 2018, 225, 06005. [Google Scholar] [CrossRef]
- Newton, K.; Martin, R.; Topp, D.J.I. The ACFM technique and its application to the inspection of oil and gas installations. Insight 1994, 36, 422–425. [Google Scholar]
- Li, W.; Xin, A.Y.; Chen, G.; Yin, X.; Ge, J.; Kong, Q.; Zhang, Y.; Wu, Y. Detection of cracks in metallic objects by arbitrary scanning direction using a double u-shaped orthogonal ACFM probe. Mater. Trans. 2016, 57, 608–612. [Google Scholar] [CrossRef] [Green Version]
- Sun, L.; Zhao, S.; Shen, Y.; Wang, J.; Gao, J. A performance improved ACFM-TMR detection system with tradeoff denoising algorithm. J. Magn. Magn. Mater. 2021, 527, 167756. [Google Scholar] [CrossRef]
- Yuan, X.A.; Li, W.; Chen, G.; Yin, X.; Ge, J.; Yang, W.; Liu, J.; Ma, W. Inner circumferential current field testing system with TMR sensor arrays for inner-wall cracks inspection in aluminum tubes. Measurement 2018, 122, 232–239. [Google Scholar] [CrossRef]
- Yang, L.; Zheng, W.; Li, J.; Gao, S.; Liu, B. Full-angle detection method of pipeline crack based on balanced electromagnetic technology. Chin. J. Sci. Instrum. 2021, 42, 103–112. [Google Scholar] [CrossRef]
- Yang, L.; Zheng, W.; Gao, S.; Liu, B. Steel plate crack defect detection method based on balanced electromagnetic technology. Chin. J. Sci. Instrum. 2020, 41, 196–203. [Google Scholar] [CrossRef]
- Luloff, M.S.; Desjardins, D.; Morelli, J.; Krause, T.W. Solution for a transmit-receive eddy current probe above a layered planar conductive structure. NDT E Int. 2018, 96, 1–8. [Google Scholar] [CrossRef]
- Desjardins, D.; Krause, T.W.; Clapham, L. Transient response of a driver-pickup coil probe in transient eddy current testing. NDT E Int. 2015, 75, 8–14. [Google Scholar] [CrossRef]
- Kubiczek, K.; Kampik, M. Highly accurate and numerically stable computations of double-layer coaxial waveguides. Eng. Comput. 2019, 36, 1384–1399. [Google Scholar] [CrossRef]
- Tabei, B.; Ametani, A.; Gole, A.M.; Kordi, B. Quasi-analytical calculation of frequency-dependent resistance of rectangular conductors considering the edge effect. Energies 2022, 15, 503. [Google Scholar] [CrossRef]
- Dhakal, P.; Adhikari, M.; Thapa, B.S.; Kayastha, A.; Sapkota, P.; Dahal, D.R. Uncertainty evaluation of efficiency measurement in laboratory conditions. J. Phys. Conf. Ser. 2020, 1608, 012007. [Google Scholar] [CrossRef]
- Zang, Y.; Jin, Y.; Chen, C.; Di, Q.; Zhao, X. Design of mechanical structure of crack detector for pipeline based on the magnetostrictive effect. Oil Gas Storage Transp. 2015, 34, 775–778. [Google Scholar]
- Caleyo, F.; Alfonso, L.; Espina-Hernández, J.H.; Hallen, J.M. Criteria for performance assessment and calibration of in-line inspections of oil and gas pipelines. Meas. Sci. Technol. 2007, 18, 1787–1799. [Google Scholar] [CrossRef]
- Liu, J.; Liu, S.; Jin, L.; Zhang, C.; Yang, Q. Simulation and experiment of orthogonal shear waves with electromagnetic acoustic transducer for thickness measurement and crack detection. Trans. China Electrotech. Soc. 2022, 37, 2686–2697. [Google Scholar] [CrossRef]
- Fu, Y.; Lei, M.; Li, Z.; Gu, Z.; Yang, H.; Cao, A.; Sun, J. Lift-off effect reduction based on the dynamic trajectories of the received-signal fast Fourier transform in pulsed eddy current testing. NDT E Int. 2017, 87, 85–92. [Google Scholar] [CrossRef]

















| Model | Inside Diameter (mm) | Outer Diameter (mm) | Length (mm) | Width (mm) | Depth (mm) |
|---|---|---|---|---|---|
| Excitation Coil | 6 | 8 | 12 | - | |
| Detection Coil | 2 | 8 | - | - | 2 |
| Pipeline | 443 | 457 | 200 | - | - |
| Crack | - | - | 10 | 1 | 1 mm–6 mm |
| Air | - | 600 | - | - | - |
| Type of Cracks | Crack Depths (mm) | Results of Each Experiment (mV) | Average (mV) | σ | ||||
|---|---|---|---|---|---|---|---|---|
| 1 | 2 | 3 | 4 | 5 | ||||
| circumferential cracks | 1 | 1.583 | 1.584 | 1.584 | 1.581 | 1.578 | 1.582 | ±0.00114 |
| 2 | 3.194 | 3.19 | 3.193 | 3.191 | 3.187 | 3.191 | ±0.00122 | |
| 3 | 4.355 | 4.349 | 4.352 | 4.35 | 4.354 | 4.352 | ±0.00114 | |
| 4 | 6.105 | 6.101 | 6.106 | 6.107 | 6.101 | 6.104 | ±0.00127 | |
| 5 | 6.951 | 6.947 | 6.953 | 6.950 | 6.954 | 6.951 | ±0.00123 | |
| 6 | 8.225 | 8.223 | 8.221 | 8.22 | 8.226 | 8.223 | ±0.00114 | |
| axial cracks | 1 | 0.880 | 0.875 | 0.873 | 0.878 | 0.879 | 0.877 | ±0.0013 |
| 2 | 1.565 | 1.570 | 1.566 | 1.563 | 1.571 | 1.567 | ±0.00152 | |
| 3 | 2.205 | 2.210 | 2.211 | 2.206 | 2.208 | 2.208 | ±0.00114 | |
| 4 | 2.849 | 2.852 | 2.847 | 2.845 | 2.852 | 2.849 | ±0.00138 | |
| 5 | 3.535 | 3.538 | 3.534 | 3.537 | 3.541 | 3.537 | ±0.00122 | |
| 6 | 4.045 | 4.046 | 4.049 | 4.042 | 4.048 | 4.046 | ±0.00122 | |
| Number | Depth (mm) | Crack Type | Number | Depth (mm) | Crack Type |
|---|---|---|---|---|---|
| 1# | 6 | axial crack | 8# | 0.5 | circumferential crack |
| 2# | 5 | 9# | 1 | ||
| 3# | 4 | 10# | 2 | ||
| 4# | 3 | 11# | 3 | ||
| 5# | 2 | 12# | 4 | ||
| 6# | 1 | 13# | 5 | ||
| 7# | 0.5 | 14# | 6 |
Publisher’s Note: MDPI stays neutral with regard to jurisdictional claims in published maps and institutional affiliations. |
© 2022 by the authors. Licensee MDPI, Basel, Switzerland. This article is an open access article distributed under the terms and conditions of the Creative Commons Attribution (CC BY) license (https://creativecommons.org/licenses/by/4.0/).
Share and Cite
Yang, L.; Li, J.; Zheng, W.; Liu, B. Simulation and Design of a Balanced-Field Electromagnetic Technique Sensor for Crack Detection in Long-Distance Oil and Gas Pipelines. Energies 2022, 15, 5274. https://doi.org/10.3390/en15145274
Yang L, Li J, Zheng W, Liu B. Simulation and Design of a Balanced-Field Electromagnetic Technique Sensor for Crack Detection in Long-Distance Oil and Gas Pipelines. Energies. 2022; 15(14):5274. https://doi.org/10.3390/en15145274
Chicago/Turabian StyleYang, Lijian, Jiayin Li, Wenxue Zheng, and Bin Liu. 2022. "Simulation and Design of a Balanced-Field Electromagnetic Technique Sensor for Crack Detection in Long-Distance Oil and Gas Pipelines" Energies 15, no. 14: 5274. https://doi.org/10.3390/en15145274
APA StyleYang, L., Li, J., Zheng, W., & Liu, B. (2022). Simulation and Design of a Balanced-Field Electromagnetic Technique Sensor for Crack Detection in Long-Distance Oil and Gas Pipelines. Energies, 15(14), 5274. https://doi.org/10.3390/en15145274
