A Quantitative Risk-Averse Model for Optimal Management of Multi-Source Standalone Microgrid with Demand Response and Pumped Hydro Storage
Abstract
1. Introduction
- This paper presents a WSTH-coupled multi-source standalone microgrid (WSTHcMSSM) considering pumped hydro storage and demand response (DR) to mitigate the challenge of supply and demand imbalance, resulting in the effect of promoting wind and solar power consumption.
- A conditional value-at-credibility (CVaC)-based quantitative risk-averse model is first developed to address the uncertainty of wind and solar power in WSTHcMSSM system, making the system reach a trade-off option.
- In consideration that the most severe issues caused by wind and solar power fluctuation happen during the peak load, this paper proposes a load partitioning method to determine the time-of-use (TOU) price in DR to explore the potential flexibility of WSTHcMSSM microgrid scheduling.
2. System Modeling
2.1. Micro-Turbine Generation Model
2.2. Pumped Hydro Storage Generation Model
2.3. Distribution Characteristic of Wind and Solar
3. CVaC-Based Risk Evaluation for WSTHcMSSM
3.1. CVaC for Uncertain Wind and Solar Power
3.2. Load Partition Method
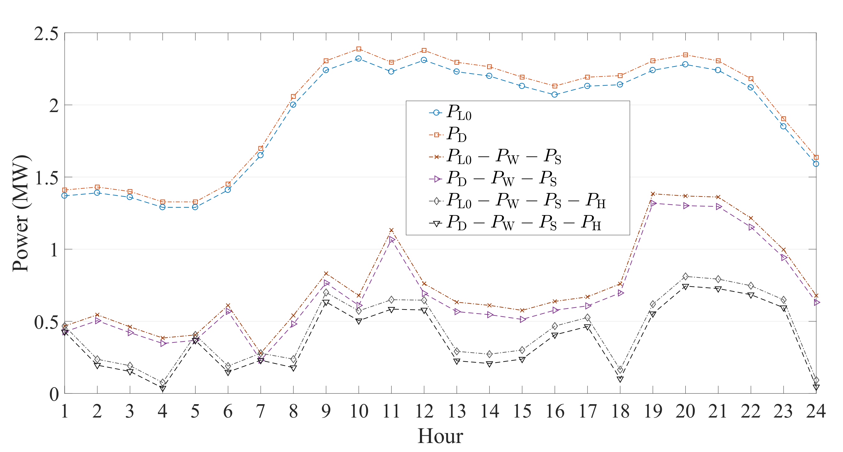
4. Simulation Studies
5. Conclusions
Author Contributions
Funding
Data Availability Statement
Acknowledgments
Conflicts of Interest
References
- Aleixandretudo, J.L.; Castellocogollos, L.; Aleixandre, J.L.; Aleixandrebenavent, R. Renewable energies: Worldwide trends in research, funding and international collaboration. Renew. Energy 2019, 139, 268–278. [Google Scholar] [CrossRef]
- Yoshida, Y.; Farzaneh, H. Optimal design of a stand-alone residential hybrid Microgrid system for enhancing renewable energy deployment in Japan. Energies 2020, 13, 1737. [Google Scholar] [CrossRef]
- Elmouatamid, A.; Ouladsine, R.; Bakhouya, M.; El Kamoun, N.; Khaidar, M.; Zine-Dine, K. Review of Control and Energy Management Approaches in Micro-Grid Systems. Energies 2021, 14, 168. [Google Scholar] [CrossRef]
- Yang, X.; Xu, C.; Zhang, Y.; Yao, W.; Wen, J.; Cheng, S.J. Real-Time Coordinated Scheduling for ADNs with Soft Open Points and Charging Stations. IEEE Trans. Power Syst. 2021. [Google Scholar] [CrossRef]
- Ma, T.; Yang, H.; Lu, L. Feasibility study and economic analysis of pumped hydro storage and battery storage for a renewable energy powered island. Energy Convers. Manag. 2014, 79, 387–397. [Google Scholar] [CrossRef]
- Liu, Y.; Shen, Z.; Tang, X.; Lian, H.; Li, J.; Gong, J. Worst-case conditional value-at-risk based bidding strategy for wind-hydro hybrid systems under probability distribution uncertainties. Appl. Energy 2019, 256, 113918. [Google Scholar] [CrossRef]
- Liu, Y.; Ye, Y.; Chen, X.; Li, H.; Huang, Y. Robust Day-Ahead Dispatch for Integrated Power-Heat-Gas Microgrid considering Wind Power Uncertainty. Math. Probl. Eng. 2020, 2020, 1–12. [Google Scholar] [CrossRef]
- Wang, X.; Chang, J.; Meng, X.; Wang, Y. Short-term hydro-thermal-wind-photovoltaic complementary operation of interconnected power systems. Appl. Energy 2018, 229, 945–962. [Google Scholar] [CrossRef]
- Reddy, S.S. Optimal scheduling of thermal-wind-solar power system with storage. Renew. Energy 2017, 101, 1357–1368. [Google Scholar] [CrossRef]
- Wang, Y.; Zhao, M.; Chang, J.; Wang, X.; Tian, Y. Study on the combined operation of a hydro-thermal-wind hybrid power system based on hydro-wind power compensating principles. Energy Convers. Manag. 2019, 194, 94–111. [Google Scholar] [CrossRef]
- Zhang, D.; Du, T.; Yin, H.; Xia, S.; Zhang, H. Multi-Time-Scale Coordinated Operation of a Combined System with Wind-Solar-Thermal-Hydro Power and Battery Units. Appl. Sci. 2019, 9, 3574. [Google Scholar] [CrossRef]
- Ross, M.; Abbey, C.; Bouffard, F.; Joos, G. Microgrid Economic Dispatch With Energy Storage Systems. IEEE Trans. Smart Grid 2018, 9, 3039–3047. [Google Scholar] [CrossRef]
- Chen, J.J.; Qi, B.X.; Peng, K.; Li, Y.; Zhao, Y.L. Conditional value-at-credibility for random fuzzy wind power in demand response integrated multi-period economic emission dispatch. Appl. Energy 2020, 261, 114337. [Google Scholar] [CrossRef]
- Chen, J.J.; Zhuang, Y.B.; Li, Y.Z.; Wang, P.; Zhao, Y.L.; Zhang, C.S. Risk-aware short term hydro-wind-thermal scheduling using a probability interval optimization model. Appl. Energy 2017, 189, 534–554. [Google Scholar] [CrossRef]
- Jiao, P.; Chen, J.; Peng, K.; Zhao, Y.; Xin, K. Multi-objective mean-semi-entropy model for optimal standalone micro-grid planning with uncertain renewable energy resources. Energy 2019, 191, 116497. [Google Scholar] [CrossRef]
- Huang, K.; Liu, P.; Ming, B.; Kim, J.S.; Gong, Y. Economic operation of a wind-solar-hydro complementary system considering risks of output shortage, power curtailment and spilled water. Appl. Energy 2021, 290, 116805. [Google Scholar] [CrossRef]
- Menezes, R.F.A.; Soriano, G.D.; de Aquino, R.R.B. Locational Marginal Pricing and Daily Operation Scheduling of a Hydro-Thermal-Wind-Photovoltaic Power System Using BESS to Reduce Wind Power Curtailment. Energies 2021, 14, 1441. [Google Scholar] [CrossRef]
- Pandey, M.; Winkler, D.; Sharma, R.; Lie, B. Using MPC to Balance Intermittent Wind and Solar Power with Hydro Power in Microgrids. Energies 2021, 14, 874. [Google Scholar] [CrossRef]
- Hussain, A.; Kim, H.M. Goal-Programming-Based Multi-Objective Optimization in Off-Grid Microgrids. Sustainability 2020, 12, 8119. [Google Scholar] [CrossRef]
- Yuan, H.; Xu, Y. Preventive-corrective coordinated transient stability dispatch of power systems with uncertain wind power. IEEE Trans. Power Syst. 2020, 35, 3616–3626. [Google Scholar] [CrossRef]
- Chen, J.; Qi, B.; Rong, Z.; Peng, K.; Zhao, Y.; Zhang, X. Multi-energy coordinated microgrid scheduling with integrated demand response for flexibility improvement. Energy 2021, 217, 119387. [Google Scholar] [CrossRef]
- Li, Y.; Wu, Q.H.; Li, M.S.; Zhan, J.P. Mean-variance model for power system economic dispatch with wind power integrated. Energy 2014, 72, 510–520. [Google Scholar] [CrossRef]
- Joro, T.; Na, P. Portfolio performance evaluation in a mean-variance-skewness framework. Eur. J. Oper. Res. 2006, 175, 446–461. [Google Scholar] [CrossRef]
- Chen, J.J.; Wu, Q.H.; Zhang, L.; Wu, P.Z. Multi-objective mean–variance–skewness model for nonconvex and stochastic optimal power flow considering wind power and load uncertainties. Eur. J. Oper. Res. 2017, 263, 719–732. [Google Scholar] [CrossRef]
- Markowitz, H.M. Portfolio Selection: Efficient Diversification of Investments; John Wiley: Hoboken, NJ, USA, 1971. [Google Scholar]
- Li, Y.; Wu, Q.H. Downside Risk Constrained Probabilistic Optimal Power Flow With Wind Power Integrated. IEEE Trans. Power Syst. 2016, 31, 1649–1650. [Google Scholar] [CrossRef]
- Li, Y.Z.; Li, K.; Wang, P.; Liu, Y.; Lin, X.; Gooi, H.B.; Li, G.; Cai, D.; Luo, Y. Risk constrained economic dispatch with integration of wind power by multi-objective optimization approach. Energy 2017, 126, 810–820. [Google Scholar] [CrossRef]
- Zhou, J.; Li, X.; Pedrycz, W. Mean-Semi-Entropy Models of Fuzzy Portfolio Selection. IEEE Trans. Fuzzy Syst. 2016, 24, 1627–1636. [Google Scholar] [CrossRef]
- Feng, Y.; Wu, W.; Zhang, B.; Li, W. Power System Operation Risk Assessment Using Credibility Theory. IEEE Trans. Power Syst. 2008, 23, 1309–1318. [Google Scholar] [CrossRef]
- Abdulrahman, K.H.; Shahidehpour, S.M. Static security in power system operation with fuzzy real load conditions. IEEE Trans. Power Syst. 1995, 10, 77–87. [Google Scholar] [CrossRef]
- Unni, A.C.; Ongsakul, W.; Madhu, M.N. Fuzzy-based novel risk and reward definition applied for optimal generation-mix estimation. Renew. Energy 2020, 148, 665–673. [Google Scholar] [CrossRef]
- Alawami, A.T.; Amleh, N.; Muqbel, A. Optimal Demand Response Bidding and Pricing Mechanism With Fuzzy Optimization: Application for a Virtual Power Plant. IEEE Trans. Ind. Appl. 2017, 53, 5051–5061. [Google Scholar] [CrossRef]
- Gundogdu, F.K.; Kahraman, C. A novel spherical fuzzy analytic hierarchy process and its renewable energy application. Soft Comput. 2020, 24, 4607–4621. [Google Scholar] [CrossRef]
- Simonelli, M.R. Indeterminacy in portfolio selection. Eur. J. Oper. Res. 2005, 163, 170–176. [Google Scholar] [CrossRef]
- Silva, A.M.L.D.; Castro, J.F.C.; Gonzalezfernandez, R.A. Spinning Reserve Assessment Under Transmission Constraints Based on Cross-Entropy Method. IEEE Trans. Power Syst. 2016, 31, 1624–1632. [Google Scholar] [CrossRef]
- Silva, A.M.L.D.; De Castro, A.M. Risk Assessment in Probabilistic Load Flow via Monte Carlo Simulation and Cross-Entropy Method. IEEE Trans. Power Syst. 2019, 34, 1193–1202. [Google Scholar] [CrossRef]
- Moura, P.S.; De Almeida, A.T. The role of demand-side management in the grid integration of wind power. Appl. Energy 2010, 87, 2581–2588. [Google Scholar] [CrossRef]
- Kirilenko, A.; Gong, Y.; Chung, C. A Framework for Power System Operational Planning under Uncertainty Using Coherent Risk Measures. IEEE Trans. Power Syst. 2021. [Google Scholar] [CrossRef]
- Behboodi, S.; Chassin, D.P.; Crawford, C.; Djilali, N. Renewable resources portfolio optimization in the presence of demand response. Appl. Energy 2016, 162, 139–148. [Google Scholar] [CrossRef]
- Wang, Y.Q.; Zhou, J.Z.; Mo, L.; Zhang, R.; Zhang, Y.C. Short-term hydrothermal generation scheduling using differential real-coded quantum-inspired evolutionary algorithm. Energy 2012, 44, 657–671. [Google Scholar] [CrossRef]
- Mandelbrot, B.B. The variation of certain speculative prices. In Fractals and Scaling in Finance; Springer: Berlin/Heidelberg, Germany, 1997; pp. 371–418. [Google Scholar]
- Liu, B.; Liu, Y. Expected value of fuzzy variable and fuzzy expected value models. IEEE Trans. Fuzzy Syst. 2002, 10, 445–450. [Google Scholar]
- Jiang, Z.; Wu, W.; Qin, H.; Zhou, J. Credibility theory based panoramic fuzzy risk analysis of hydropower station operation near the boundary. J. Hydrol. 2018, 565, 474–488. [Google Scholar] [CrossRef]
- Chen, J.J.; Wu, Q.H.; Ji, T.Y.; Wu, P.; Li, M.S. Evolutionary predator and prey strategy for global optimization. Inf. Sci. 2016, 327, 217–232. [Google Scholar] [CrossRef]
- Li, Y.Z.; Wu, Q.H.; Jiang, L.; Yang, J.B. Optimal Power System Dispatch With Wind Power Integrated Using Nonlinear Interval Optimization and Evidential Reasoning Approach. IEEE Trans. Power Syst. 2016, 31, 2246–2254. [Google Scholar] [CrossRef]







| Hour | 1 | 2 | 3 | 4 | 5 | 6 | 7 | 8 | 9 | 10 | 11 | 12 |
| Reservoir 1 | 0.60 | 0.54 | 0.48 | 0.42 | 0.36 | 0.42 | 0.48 | 0.54 | 0.60 | 0.66 | 0.72 | 0.60 |
| Reservoir 2 | 0.48 | 0.48 | 0.54 | 0.54 | 0.48 | 0.42 | 0.36 | 0.42 | 0.48 | 0.54 | 0.54 | 0.48 |
| Hour | 13 | 14 | 15 | 16 | 17 | 18 | 19 | 20 | 21 | 22 | 23 | 24 |
| Reservoir 1 | 0.66 | 0.72 | 0.66 | 0.60 | 0.54 | 0.48 | 0.42 | 0.36 | 0.42 | 0.48 | 0.54 | 0.60 |
| Reservoir 2 | 0.48 | 0.54 | 0.54 | 0.48 | 0.42 | 0.36 | 0.42 | 0.48 | 0.54 | 0.54 | 0.48 | 0.48 |
| Hour | Water Discharges () | Hydro Power (MW) | Wind | Solar | Thermal | TOU Price | Load with DR | ||
|---|---|---|---|---|---|---|---|---|---|
| Unit 1 | Unit 2 | Unit 1 | Unit 2 | (MW) | (MW) | (MW) | ($/MW) | (MW) | |
| 1 | 0.1051 | 0.6309 | 0 | 0 | 0.9429 | 0 | 0.4733 | 191.84 | 1.4103 |
| 2 | 0.5312 | 0.6602 | 0.2493 | 0 | 0.8856 | 0 | 0.3019 | 191.41 | 1.4309 |
| 3 | 0.4723 | 0.5171 | 0.1607 | 0.0117 | 0.9384 | 0 | 0.2951 | 195.60 | 1.4000 |
| 4 | 0.3663 | 0.5032 | 0.0297 | 0.0079 | 0.9434 | 0 | 0.3526 | 186.33 | 1.3279 |
| 5 | 0.5863 | 0.4395 | 0.2286 | 0 | 0.9223 | 0 | 0.1827 | 197.44 | 1.3279 |
| 6 | 0.4683 | 0.6938 | 0 | 0.4119 | 0.8411 | 0 | 0.2046 | 192.69 | 1.4514 |
| 7 | 0.3990 | 0.4040 | 0 | 0 | 0.9230 | 0.4967 | 0.2860 | 188.55 | 1.6985 |
| 8 | 0.4231 | 0.5200 | 0.0477 | 0.0361 | 0.8507 | 0.6675 | 0.4568 | 220 | 2.0588 |
| 9 | 0.4216 | 0.5593 | 0.0918 | 0.1226 | 0.8382 | 0.6360 | 0.6173 | 220 | 2.3058 |
| 10 | 0.6036 | 0.3966 | 0.4866 | 0 | 0.9618 | 0.7477 | 0.1920 | 220 | 2.3882 |
| 11 | 0.6222 | 0.6222 | 0.5536 | 0.2506 | 0.9022 | 0.2611 | 0.3281 | 220 | 2.2955 |
| 12 | 0.4205 | 0.3718 | 0.1262 | 0 | 0.8445 | 0.7723 | 0.6349 | 220 | 2.3779 |
| 13 | 0.5259 | 0.3468 | 0.2999 | 0 | 0.8857 | 0.7771 | 0.3328 | 220 | 2.2955 |
| 14 | 0.4758 | 0.5579 | 0.3301 | 0.1109 | 0.8924 | 0.7616 | 0.1696 | 220 | 2.2647 |
| 15 | 0.5106 | 0.4725 | 0.2752 | 0 | 0.8860 | 0.7307 | 0.3007 | 220 | 2.1926 |
| 16 | 0.4473 | 0.3602 | 0.3937 | 0 | 0.7341 | 0.7585 | 0.2445 | 220 | 2.1308 |
| 17 | 0.4304 | 0.4304 | 0.1429 | 0 | 0.8855 | 0.6376 | 0.5266 | 220 | 2.1926 |
| 18 | 0.5185 | 0.6605 | 0.2532 | 0.3414 | 0.7890 | 0.6543 | 0.1650 | 220 | 2.2029 |
| 19 | 0.6921 | 0.7284 | 0.2722 | 0.4930 | 0.9219 | 0 | 0.3902 | 436.60 | 2.3058 |
| 20 | 0.4407 | 0.7635 | 0 | 0.5575 | 0.9783 | 0 | 0.5786 | 437.40 | 2.3470 |
| 21 | 0.6140 | 0.7649 | 0 | 0.5604 | 0.9444 | 0 | 0.5725 | 437.65 | 2.3058 |
| 22 | 0.6758 | 0.7167 | 0.0215 | 0.4685 | 0.9668 | 0 | 0.5092 | 437.94 | 2.1823 |
| 23 | 0.1160 | 0.6674 | 0 | 0.3561 | 0.9077 | 0 | 0.6406 | 220 | 1.9044 |
| 24 | 0.5550 | 0.8000 | 0.1809 | 0.4047 | 0.9584 | 0 | 0.0927 | 220 | 1.6367 |
| Factor | Load-Factor % | Peak-to-Valley % | Peak-Compensate % |
|---|---|---|---|
| 52.58 | 82.53 | 43.18 | |
| 54.16 | 79.85 | 42.05 | |
| 50.58 | 94.93 | 67.96 | |
| 53.36 | 90.68 | 66.03 |
| Hour | Wind and Solar Coupling-Based CVaC | Wind and Solar Independent-Based CVaC | ||||||||
|---|---|---|---|---|---|---|---|---|---|---|
| (MW) | (MW) | H($) | (MW) | (MW) | H($) | |||||
| 1 | 0.9429 | 0.9998 | 0 | 1 | 112.56 | 0.9380 | 0.5000 | 0 | 1 | 20.24 |
| 2 | 0.8856 | 0.9997 | 0 | 1 | 120.31 | 0.9442 | 1 | 0 | 1 | 126.96 |
| 3 | 0.9384 | 1 | 0 | 1 | 120.09 | 0.8907 | 0.9754 | 0 | 1 | 104.30 |
| 4 | 0.9434 | 1 | 0 | 1 | 93.85 | 0.9200 | 1 | 0 | 1 | 104.02 |
| 5 | 0.9223 | 1 | 0 | 1 | 111.81 | 0.8930 | 1 | 0 | 1 | 103.05 |
| 6 | 0.8411 | 1 | 0 | 1 | 127.57 | 0.8580 | 1 | 0 | 1 | 131.57 |
| 7 | 0.9230 | 1 | 0.4967 | 1 | 166.11 | 0.9310 | 1 | 0.1948 | 0.5000 | 157.94 |
| 8 | 0.8507 | 0.9999 | 0.6675 | 1 | 299.24 | 0.8360 | 1 | 0.5384 | 0.9946 | 293.46 |
| 9 | 0.8382 | 0.9988 | 0.6360 | 0.9999 | 350.69 | 0.7959 | 1 | 0.5913 | 0.9945 | 348.88 |
| 10 | 0.9618 | 1 | 0.7477 | 0.9985 | 371.71 | 0.7825 | 1 | 0.6183 | 0.9931 | 369.99 |
| 11 | 0.9022 | 0.9999 | 0.2611 | 0.3207 | 312.87 | 0.8500 | 1 | 0.7504 | 0.9767 | 345.83 |
| 12 | 0.8445 | 0.9993 | 0.7723 | 0.9786 | 357.19 | 0.7564 | 1 | 0.7551 | 1 | 371.30 |
| 13 | 0.8857 | 0.9999 | 0.7771 | 0.9314 | 337.06 | 0.9096 | 1 | 0.7517 | 1 | 343.39 |
| 14 | 0.8924 | 1 | 0.7616 | 0.9628 | 339.40 | 0.8006 | 1 | 0.2765 | 0.3994 | 304.08 |
| 15 | 0.8860 | 1 | 0.7307 | 0.8289 | 300.46 | 0.8250 | 1 | 0.7200 | 1 | 327.19 |
| 16 | 0.7341 | 0.9934 | 0.7585 | 0.9937 | 312.77 | 0.7326 | 1 | 0.6913 | 1 | 311.22 |
| 17 | 0.8855 | 1 | 0.6376 | 0.9829 | 319.86 | 0.8237 | 1 | 0.6930 | 1 | 325.20 |
| 18 | 0.7890 | 0.9987 | 0.6543 | 1 | 333.71 | 0.7862 | 1 | 0.6463 | 1 | 330.84 |
| 19 | 0.9219 | 1 | 0 | 1 | 750.50 | 0.9904 | 1 | 0 | 1 | 751.51 |
| 20 | 0.9783 | 1 | 0 | 1 | 764.13 | 0.9922 | 1 | 0 | 1 | 769.13 |
| 21 | 0.9444 | 1 | 0 | 1 | 748.63 | 0.9822 | 1 | 0 | 1 | 741.69 |
| 22 | 0.9668 | 1 | 0 | 1 | 700.81 | 0.9730 | 1 | 0 | 1 | 703.19 |
| 23 | 0.9077 | 1 | 0 | 1 | 257.72 | 0.9975 | 1 | 0 | 1 | 259.33 |
| 24 | 0.9584 | 1 | 0 | 1 | 207.89 | 0.9998 | 1 | 0 | 1 | 209.01 |
| Total | 21.5442 | 7.9011 | 7916.96 | 21.2083 | 7.2268 | 7853.32 | ||||
| Hour | The Proposed Model | Interval Optimization Model | ||||||||
|---|---|---|---|---|---|---|---|---|---|---|
| H($) | (MW) | H($) | (MW) | |||||||
| 1 | 0.9998 | 1 | 112.56 | 0.9429 | 0 | 0.4982 | 1 | 26.63 | 0.9096 | 0 |
| 2 | 0.9997 | 1 | 120.31 | 0.8856 | 0.2493 | 0.4891 | 1 | 46.01 | 0.8012 | 0.3547 |
| 3 | 1 | 1 | 120.09 | 0.9384 | 0.1724 | 0.4738 | 1 | 40.26 | 0.7598 | 0.2952 |
| 4 | 1 | 1 | 93.85 | 0.9434 | 0.0376 | 0.4966 | 1 | 20.76 | 0.8280 | 0.1525 |
| 5 | 1 | 1 | 111.81 | 0.9223 | 0.2286 | 0.4542 | 1 | 36.14 | 0.6659 | 0.5102 |
| 6 | 1 | 1 | 127.57 | 0.8411 | 0.4119 | 0.4972 | 1 | 56.02 | 0.7826 | 0.5638 |
| 7 | 1 | 1 | 166.11 | 1.4197 | 0 | 1 | 1 | 179.69 | 1.3124 | 0.0275 |
| 8 | 0.9999 | 1 | 299.24 | 1.5182 | 0.0838 | 1 | 1 | 300.20 | 1.4550 | 0.4554 |
| 9 | 0.9988 | 0.9999 | 350.69 | 1.4742 | 0.2144 | 0.9996 | 0.9989 | 347.48 | 1.4397 | 0.3609 |
| 10 | 1 | 0.9985 | 371.71 | 1.7096 | 0.4866 | 0.9984 | 0.4996 | 303.29 | 1.4137 | 0.5692 |
| 11 | 0.9999 | 0.3207 | 312.87 | 1.1633 | 0.8042 | 0.9759 | 0.4994 | 266.09 | 1.5070 | 0.5444 |
| 12 | 0.9993 | 0.9786 | 357.19 | 1.6167 | 0.1262 | 0.5217 | 0.4893 | 216.91 | 1.3389 | 0.4663 |
| 13 | 0.9999 | 0.9314 | 337.06 | 1.6628 | 0.2999 | 0.9632 | 0.4921 | 270.90 | 1.4185 | 0.6997 |
| 14 | 1 | 0.9628 | 339.40 | 1.6540 | 0.4411 | 0.9997 | 0.5000 | 267.69 | 1.5610 | 0.5968 |
| 15 | 1 | 0.8289 | 300.46 | 1.6166 | 0.2752 | 0.9875 | 0.9326 | 315.83 | 1.4726 | 0.5309 |
| 16 | 0.9934 | 0.9937 | 312.77 | 1.4927 | 0.3937 | 0.9984 | 0.4953 | 245.19 | 1.3723 | 0.3918 |
| 17 | 1 | 0.9829 | 319.86 | 1.5231 | 0.1429 | 0.9995 | 0.9932 | 326.39 | 1.4797 | 0.4511 |
| 18 | 0.9987 | 1 | 333.71 | 1.4433 | 0.5946 | 1 | 1 | 332.75 | 1.6073 | 0.4914 |
| 19 | 1 | 1 | 750.50 | 0.9219 | 0.7652 | 1 | 1 | 753.49 | 0.8920 | 0.7958 |
| 20 | 1 | 1 | 764.13 | 0.9783 | 0.5575 | 1 | 1 | 762.30 | 0.9952 | 0.5894 |
| 21 | 1 | 1 | 748.63 | 0.9444 | 0.5604 | 1 | 1 | 751.76 | 0.9930 | 0.5928 |
| 22 | 1 | 1 | 700.81 | 0.9668 | 0.4900 | 1 | 1 | 706.75 | 0.9939 | 0.6607 |
| 23 | 1 | 1 | 257.72 | 0.9077 | 0.3651 | 1 | 1 | 262.23 | 0.9893 | 0.5591 |
| 24 | 1 | 1 | 207.89 | 0.9584 | 0.5856 | 0.4822 | 1 | 120.01 | 0.7860 | 0.8187 |
| Total | 7916.96 | 29.4453 | 8.2775 | 6954.76 | 27.7746 | 11.4783 | ||||
| Fuzzy Model | Stochastic Model | Proposed Model | |||||||
|---|---|---|---|---|---|---|---|---|---|
| Hour | ($) | ($) | ($) | ||||||
| 1 | 0.4899 | 1 | 28.26 | 0.4317 | 1 | 28.97 | 0.9998 | 1 | 112.56 |
| 2 | 0.4888 | 1 | 41.37 | 0.4708 | 1 | 41.56 | 0.9997 | 1 | 120.31 |
| 3 | 0.4452 | 1 | 43.32 | 0.2397 | 1 | 78.86 | 1 | 1 | 120.09 |
| 4 | 0.4603 | 1 | 30.63 | 0.3356 | 1 | 38.17 | 1 | 1 | 93.85 |
| 5 | 0.4795 | 1 | 34.82 | 0.4243 | 1 | 23.53 | 1 | 1 | 111.81 |
| 6 | 0.4997 | 1 | 42.57 | 0.3199 | 1 | 75.08 | 1 | 1 | 127.57 |
| 7 | 0.4973 | 0.4939 | 84.20 | 0.2110 | 1 | 151.06 | 1 | 1 | 166.11 |
| 8 | 0.4999 | 0.5000 | 178.75 | 0.8967 | 1 | 270.23 | 0.9999 | 1 | 299.24 |
| 9 | 0.4995 | 0.4817 | 222.39 | 0.5000 | 0.8544 | 245.67 | 0.9988 | 0.9999 | 350.69 |
| 10 | 0.4999 | 0.4964 | 220.56 | 0.4481 | 0.4906 | 240.36 | 1 | 0.9985 | 371.71 |
| 11 | 0.4959 | 0.4673 | 199.54 | 0.4423 | 0.2832 | 249.54 | 0.9999 | 0.3207 | 312.87 |
| 12 | 0.4951 | 0.4931 | 218.02 | 0.2988 | 0.4878 | 263.45 | 0.9993 | 0.9786 | 357.19 |
| 13 | 0.4993 | 0.4777 | 201.09 | 0.9995 | 0.3888 | 286.75 | 0.9999 | 0.9314 | 337.06 |
| 14 | 0.5006 | 0.4673 | 201.73 | 0.9954 | 0.2818 | 313.45 | 1 | 0.9628 | 339.40 |
| 15 | 0.5000 | 0.4734 | 184.58 | 0.4001 | 0.3792 | 229.56 | 1 | 0.8289 | 300.46 |
| 16 | 0.4979 | 0.4864 | 183.43 | 1 | 0.3393 | 274.23 | 0.9934 | 0.9937 | 312.77 |
| 17 | 0.5160 | 0.5171 | 187.89 | 0.3450 | 0.9997 | 288.54 | 1 | 0.9829 | 319.86 |
| 18 | 0.5842 | 0.7767 | 233.08 | 0.3490 | 0.9973 | 284.79 | 0.9987 | 1 | 333.71 |
| 19 | 0.9998 | 1 | 748.64 | 1 | 1 | 740.04 | 1 | 1 | 750.50 |
| 20 | 0.4985 | 1 | 603.11 | 1 | 1 | 755.19 | 1 | 1 | 764.13 |
| 21 | 0.5000 | 1 | 566.89 | 0.4964 | 1 | 583.85 | 1 | 1 | 748.63 |
| 22 | 0.5000 | 1 | 521.25 | 0.4558 | 1 | 546.96 | 1 | 1 | 700.81 |
| 23 | 0.4990 | 1 | 166.40 | 0.4298 | 1 | 179.94 | 1 | 1 | 257.72 |
| 24 | 0.4508 | 1 | 123.04 | 0.1766 | 1 | 194.06 | 1 | 1 | 207.89 |
| Total | 5252.17 | 6383.83 | 7916.96 | ||||||
Publisher’s Note: MDPI stays neutral with regard to jurisdictional claims in published maps and institutional affiliations. |
© 2021 by the authors. Licensee MDPI, Basel, Switzerland. This article is an open access article distributed under the terms and conditions of the Creative Commons Attribution (CC BY) license (https://creativecommons.org/licenses/by/4.0/).
Share and Cite
Zhao, Y.; Chen, J. A Quantitative Risk-Averse Model for Optimal Management of Multi-Source Standalone Microgrid with Demand Response and Pumped Hydro Storage. Energies 2021, 14, 2692. https://doi.org/10.3390/en14092692
Zhao Y, Chen J. A Quantitative Risk-Averse Model for Optimal Management of Multi-Source Standalone Microgrid with Demand Response and Pumped Hydro Storage. Energies. 2021; 14(9):2692. https://doi.org/10.3390/en14092692
Chicago/Turabian StyleZhao, Yongqi, and Jiajia Chen. 2021. "A Quantitative Risk-Averse Model for Optimal Management of Multi-Source Standalone Microgrid with Demand Response and Pumped Hydro Storage" Energies 14, no. 9: 2692. https://doi.org/10.3390/en14092692
APA StyleZhao, Y., & Chen, J. (2021). A Quantitative Risk-Averse Model for Optimal Management of Multi-Source Standalone Microgrid with Demand Response and Pumped Hydro Storage. Energies, 14(9), 2692. https://doi.org/10.3390/en14092692
