Numerical Study of Hydrogen Auto-Ignition Process in an Isotropic and Anisotropic Turbulent Field
Abstract
1. Introduction
2. LES Modelling
2.1. Mathematical Formulation
2.2. Numerical Method
2.3. Problem Description
2.4. Initial Conditions
2.5. Computational Details
3. Results
3.1. Auto-Ignition Scenario and Initial Flame Development Phase
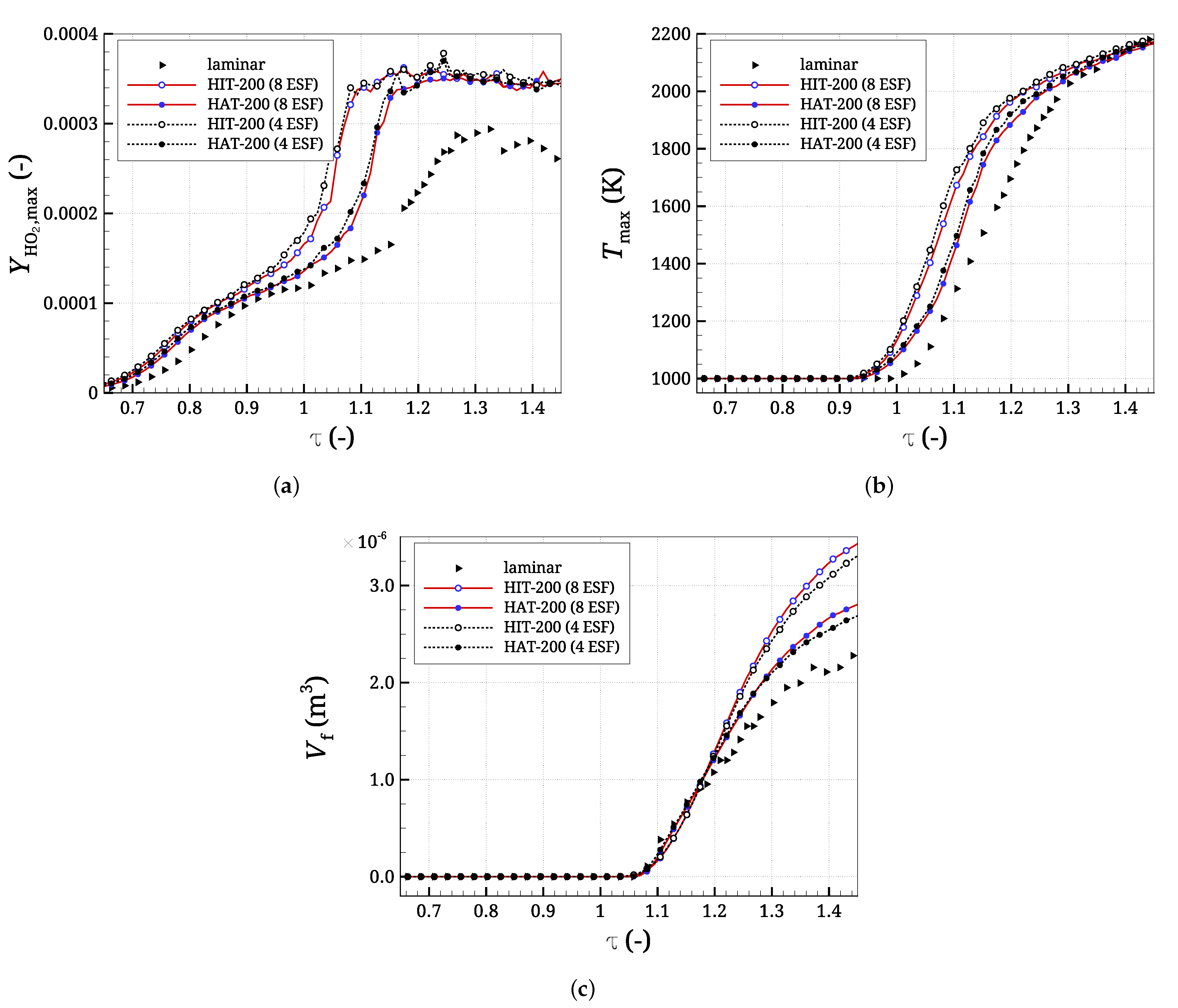
3.2. Analysis of the Flame Volume and Maximum Temperature Growth
4. Conclusions
Author Contributions
Funding
Institutional Review Board Statement
Informed Consent Statement
Data Availability Statement
Acknowledgments
Conflicts of Interest
References
- Mastorakos, E. Ignition of turbulent non-premixed flames. Prog. Energy Combust. Sci. 2009, 35, 57–97. [Google Scholar] [CrossRef]
- Mastorakos, E. Forced ignition of turbulent spray flames. Proc. Combust. Inst. 2017, 36, 2367–2383. [Google Scholar] [CrossRef]
- Klimenko, A.; Bilger, R. Conditional moment closure for turbulent combustion. Prog. Energy Combust. Sci. 1999, 25, 595–687. [Google Scholar] [CrossRef]
- Navarro-Martinez, S.; Kronenburg, A.; Di Mare, F. Conditional moment closure for large eddy simulations. Flow Turbul. Combust. 2005, 75, 245–274. [Google Scholar] [CrossRef]
- Triantafyllidis, A.; Mastorakos, E. Implementation issues of the conditional moment closure model in large eddy simulations. Flow Turbul. Combust. 2010, 84, 481–512. [Google Scholar] [CrossRef]
- Valiño, L. A field Monte Carlo formulation for calculating the probability density function of a single scalar in a turbulent flow. Flow, Turbul. Combust. 1998, 60, 157–172. [Google Scholar] [CrossRef]
- Haworth, D. Progress in probability density function methods for turbulent reacting flows. Prog. Energy Combust. Sci. 2010, 36, 168–259. [Google Scholar] [CrossRef]
- Jones, W.; Navarro-Martinez, S. Large eddy simulation of autoignition with a subgrid probability density function method. Combust. Flame 2007, 150, 170–187. [Google Scholar] [CrossRef]
- Wang, Z.; Cai, Z.; Sun, M.; Wang, H.; Zhang, Y. Large Eddy Simulation of the flame stabilization process in a scramjet combustor with rearwall-expansion cavity. Int. J. Hydrogen Energy 2016, 41, 19278–19288. [Google Scholar] [CrossRef]
- Liu, B.; An, J.; Qin, F.; Li, R.; He, G.Q.; Shi, L.; Zhang, D. Large eddy simulation of auto-ignition kernel development of transient methane jet in hot co-flow. Combust. Flame 2020, 215, 342–351. [Google Scholar] [CrossRef]
- Zhong, L.; Liu, C. Numerical analysis of end-gas autoignition and pressure oscillation in a downsized SI engine using large eddy simulation. Energies 2019, 12, 3909. [Google Scholar] [CrossRef]
- Zhou, L.; Zhang, X.; Zhong, L.; Yu, J. Effects of Flame Propagation Velocity and Turbulence Intensity on End-Gas Auto-Ignition in a Spark Ignition Gasoline Engine. Energies 2020, 13, 5039. [Google Scholar] [CrossRef]
- Wang, Y.; Wei, H.; Zhou, L.; Zhang, X.; Zhong, L. Effects of reactivity inhomogeneities on knock combustion in a downsized spark-ignition engine. Fuel 2020, 278, 118317. [Google Scholar] [CrossRef]
- Tyliszczak, A.; Cavaliere, D.E.; Mastorakos, E. LES/CMC of blow-off in a liquid fueled swirl burner. Flow Turbul. Combust. 2014, 92, 237–267. [Google Scholar] [CrossRef]
- Schiavo, E.L.; Laera, D.; Riber, E.; Gicquel, L.; Poinsot, T. On the impact of fuel injection angle in Euler–Lagrange large eddy simulations of swirling spray flames exhibiting thermoacoustic instabilities. Combust. Flame 2021, 227, 359–370. [Google Scholar] [CrossRef]
- Wang, Z.; Hu, B.; Fang, A.; Zhao, Q.; Chen, X. Analyzing lean blow-off limits of gas turbine combustors based on local and global Damköhler number of reaction zone. Aerosp. Sci. Technol. 2021, 111, 106532. [Google Scholar] [CrossRef]
- Nassini, P.C.; Pampaloni, D.; Meloni, R.; Andreini, A. Lean blow-out prediction in an industrial gas turbine combustor through a LES-based CFD analysis. Combust. Flame 2021, 229, 111391. [Google Scholar] [CrossRef]
- Mastorakos, E.; Baritaud, T.; Poinsot, T. Numerical simulations of autoignition in turbulent mixing flows. Combust. Flame 1997, 109, 198–223. [Google Scholar] [CrossRef]
- Im, H.; Chen, J.; Law, C. Ignition of Hydrogen-Air Mixing Layer in Turbulent Flows. Symp. (Int.) Combust. 1998, 27, 1047–1056. [Google Scholar] [CrossRef]
- Doom, J.; Mahesh, K. DNS of auto–ignition in turbulent diffusion H2/air flames. In Proceedings of the 47th AIAA Aerospace Sciences Meeting including The New Horizons Forum and Aerospace Exposition, Orlando, FL, USA, 5–8 January 2009; p. 240. [Google Scholar]
- Chakraborty, N.; Mastorakos, E. Direct numerical simulations of localised forced ignition in turbulent mixing layers: The effects of mixture fraction and its gradient. Flow Turbul. Combust. 2008, 80, 155–186. [Google Scholar] [CrossRef]
- Wawrzak, A.; Tyliszczak, A. A spark ignition scenario in a temporally evolving mixing layer. Combust. Flame 2019, 209, 353–356. [Google Scholar] [CrossRef]
- Rosiak, A.; Tyliszczak, A. LES-CMC simulations of a turbulent hydrogen jet in oxy-combustion regimes. Int. J. Hydrogen Energy 2016, 41, 9705–9717. [Google Scholar] [CrossRef]
- Markides, C.; Mastorakos, E. An experimental study of hydrogen autoignition in a turbulent co-flow of heated air. Proc. Combust. Inst. 2005, 30, 883–891. [Google Scholar] [CrossRef]
- Stanković, I.; Triantafyllidis, A.; Mastorakos, E.; Lacor, C.; Merci, B. Simulation of hydrogen auto-ignition in a turbulent co-flow of heated air with LES and CMC approach. Flow, Turbul. Combust. 2011, 86, 689–710. [Google Scholar] [CrossRef]
- Geurts, B. Elements of Direct and Large-eddy Simulation; R.T. Edwards: Philadelphia, PA, USA, 2004. [Google Scholar]
- Vreman, A. An eddy-viscosity subgrid-scale model for turbulent shear flow: Algebraic theory and applications. Phys. Fluids 2004, 16, 3670–3681. [Google Scholar] [CrossRef]
- Branley, N.; Jones, W. Large eddy simulation of a turbulent non-premixed flame. Combust. Flame 2001, 127, 1914–1934. [Google Scholar] [CrossRef]
- Cook, A.W.; Riley, J.J. Direct numerical simulation of a turbulent reactive plume on a parallel computer. J. Comput. Phys. 1996, 129, 263–283. [Google Scholar] [CrossRef]
- Tyliszczak, A. A high-order compact difference algorithm for half-staggered grids for laminar and turbulent incompressible flows. J. Comput. Phys. 2014, 276, 438–467. [Google Scholar] [CrossRef]
- Tyliszczak, A. High-order compact difference algorithm on half-staggered meshes for low Mach number flows. Comput. Fluids 2016, 127, 131–145. [Google Scholar] [CrossRef]
- Laizet, S.; Lamballais, E. High-order compact schemes for incompressible flows: A simple and efficient method with quasi-spectral accuracy. J. Comput. Phys. 2009, 228, 5989–6015. [Google Scholar] [CrossRef]
- Brown, P.N.; Hindmarsh, A.C. Hindmarsh. Reduced Storage Matrix Methods in Stiff ODE Systems. J. Appl. Math. Comput. 1989, 31, 40–91. [Google Scholar] [CrossRef]
- Shu, C.W. High-order finite difference and finite volume WENO schemes and discontinuous Galerkin methods for CFD. Int. J. Comput. Fluid Dyn. 2003, 17, 107–118. [Google Scholar] [CrossRef]
- Kee, R.J.; Rupley, F.M.; Miller, J.A. CHEMKIN-II: A FORTRAN Chemical Kinetics Package for the Analysis of Gas-Phase Chemical Kinetics; SAND89-8009B, UC-706; Sandia National Laboratories: Albuquerque, NM, USA, 1993.
- Bazooyar, B.; Darabkhani, H.G. Analysis of flame stabilization to a thermo-photovoltaic micro-combustor step in turbulent premixed hydrogen flame. Fuel 2019, 257, 115989. [Google Scholar] [CrossRef]
- Mueller, M.; Kim, T.; Yetter, R.; Dryer, F. Flow reactor studies and kinetic modeling of the H2/O2 reaction. Int. J. Chem. Kinet. 1999, 31, 113–125. [Google Scholar] [CrossRef]
- Boguslawski, A.; Wawrzak, K.; Tyliszczak, A. A new insight into understanding the Crow and Champagne preferred mode: A numerical study. J. Fluid Mech. 2019, 869, 385–416. [Google Scholar] [CrossRef]
- Tyliszczak, A.; Geurts, B.J. Controlling spatio-temporal evolution of natural and excited square jets via inlet conditions. Int. J. Heat Fluid Flow 2019, 80, 108488. [Google Scholar] [CrossRef]
- Tyliszczak, A. LES–CMC study of an excited hydrogen flame. Combust. Flame 2015, 162, 3864–3883. [Google Scholar] [CrossRef]
- Kuban, Ł.; Stempka, J.; Tyliszczak, A. Numerical Analysis of the Combustion Dynamics of Passively Controlled Jets Issuing from Polygonal Nozzles. Energies 2021, 14, 554. [Google Scholar] [CrossRef]
- Wawrzak, A.; Tyliszczak, A. Implicit LES study of spark parameters impact on ignition in a temporally evolving mixing layer between H2/N2 mixture and air. Int. J. Hydrogen Energy 2018, 43, 9815–9828. [Google Scholar] [CrossRef]
- Wawrzak, A.; Tyliszczak, A. Study of a Flame Kernel Evolution in a Turbulent Mixing Layer Using LES with a Laminar Chemistry Model. Flow Turbul. Combust. 2020, 105, 807–835. [Google Scholar] [CrossRef]
- Orszag, S.A. Numerical Methods for the Simulation of Turbulence. Phys. Fluids 1969, 12, 250–257. [Google Scholar] [CrossRef]
- Passot, T.; Pouquet, A. Numerical simulation of compressible homogeneous flows in the turbulent regime. J. Fluid Mech. 1987, 181, 441–466. [Google Scholar] [CrossRef]
- Pope, S. Ten questions concerning the large-eddy simulation of turbulent flows. New J. Phys. 2004, 6, 1–25. [Google Scholar] [CrossRef]
- Pope, S. Turbulent Flows; IOP Publishing: Bristol, UK, 2001. [Google Scholar]
- Jones, W.; Navarro-Martinez, S. Study of hydrogen auto-ignition in a turbulent air co-flow using a Large Eddy Simulation approach. Comput. Fluids 2008, 37, 802–808. [Google Scholar] [CrossRef]











| HIT | |||||||||||||
| Case | (m/s) | (m/s) | (m/s) | (m/s) | (m) | (s) | |||||||
| HIT-050 | 1.55 | 1.55 | 1.55 | 1.55 | 0.0005 | 50 | 0.0003 | ||||||
| HIT-100 | 1.55 | 1.55 | 1.56 | 1.55 | 0.0010 | 99 | 0.0006 | ||||||
| HIT-150 | 1.49 | 1.50 | 1.51 | 1.50 | 0.0016 | 156 | 0.0011 | ||||||
| HIT-200 | 1.52 | 1.55 | 1.54 | 1.54 | 0.0020 | 199 | 0.0013 | ||||||
| HAT | |||||||||||||
| Case | (m/s) | (m/s) | (m/s) | (m/s) | (m) | (m) | (m) | (m) | (s) | ||||
| HAT-050 | 0.24 | 0.42 | 0.52 | 0.39 | 0.0017 | 0.0020 | 0.0021 | 0.0020 | 26 | 55 | 70 | 49 | 0.0050 |
| HAT-100 | 0.33 | 0.59 | 0.73 | 0.55 | 0.0024 | 0.0029 | 0.0030 | 0.0028 | 51 | 108 | 140 | 97 | 0.0050 |
| HAT-150 | 0.40 | 0.71 | 0.89 | 0.67 | 0.0030 | 0.0037 | 0.0038 | 0.0035 | 78 | 166 | 218 | 150 | 0.0053 |
| HAT-200 | 0.47 | 0.84 | 1.03 | 0.78 | 0.0034 | 0.0041 | 0.0043 | 0.0039 | 101 | 221 | 283 | 196 | 0.0051 |
Publisher’s Note: MDPI stays neutral with regard to jurisdictional claims in published maps and institutional affiliations. |
© 2021 by the authors. Licensee MDPI, Basel, Switzerland. This article is an open access article distributed under the terms and conditions of the Creative Commons Attribution (CC BY) license (http://creativecommons.org/licenses/by/4.0/).
Share and Cite
Wawrzak, A.; Tyliszczak, A. Numerical Study of Hydrogen Auto-Ignition Process in an Isotropic and Anisotropic Turbulent Field. Energies 2021, 14, 1869. https://doi.org/10.3390/en14071869
Wawrzak A, Tyliszczak A. Numerical Study of Hydrogen Auto-Ignition Process in an Isotropic and Anisotropic Turbulent Field. Energies. 2021; 14(7):1869. https://doi.org/10.3390/en14071869
Chicago/Turabian StyleWawrzak, Agnieszka, and Artur Tyliszczak. 2021. "Numerical Study of Hydrogen Auto-Ignition Process in an Isotropic and Anisotropic Turbulent Field" Energies 14, no. 7: 1869. https://doi.org/10.3390/en14071869
APA StyleWawrzak, A., & Tyliszczak, A. (2021). Numerical Study of Hydrogen Auto-Ignition Process in an Isotropic and Anisotropic Turbulent Field. Energies, 14(7), 1869. https://doi.org/10.3390/en14071869

