Application of a Magnetic Field in Saturated Film Boiling of a Magnetic Nanofluid (MNF) under Reduced Gravity
Abstract
1. Introduction
2. Numerical Modeling
2.1. Interface Tracking
2.2. Governing Equations
- We assume that magnetic nanoparticles are uniformly dispersed in the base fluid and there is no interaction between the particles, that is, no agglomeration and deposition phenomena occur. Therefore, the MNF can be considered as a homogeneous fluid with the same properties;
- The volume concentration of the MNF does not change during the boiling process;
- We do not consider the changes of the magnetic field in the MNF’s physical properties and volume concentration;
- The MNF is non-conductive.
3. Results and Discussion
3.1. Effect of the Uniform Magnetic Field
3.1.1. Effect of the Magnetic Field under Terrestrial Gravity
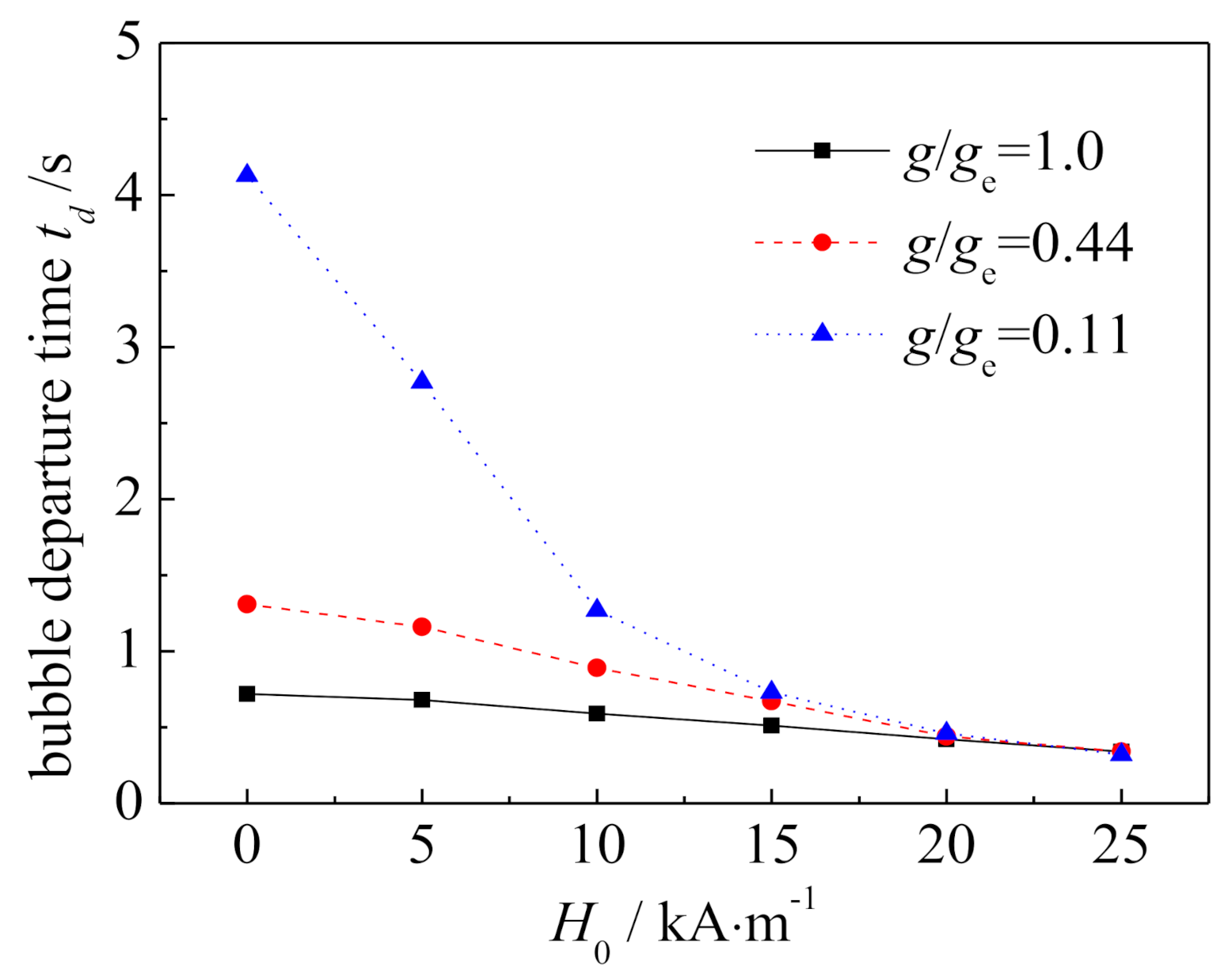
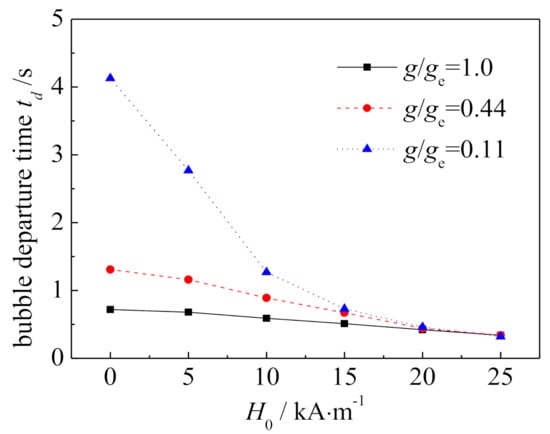
3.1.2. Phase Interface Evolution
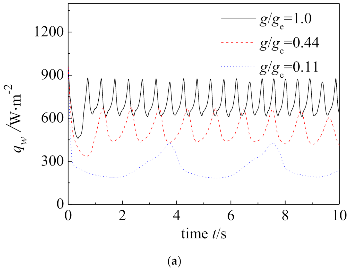
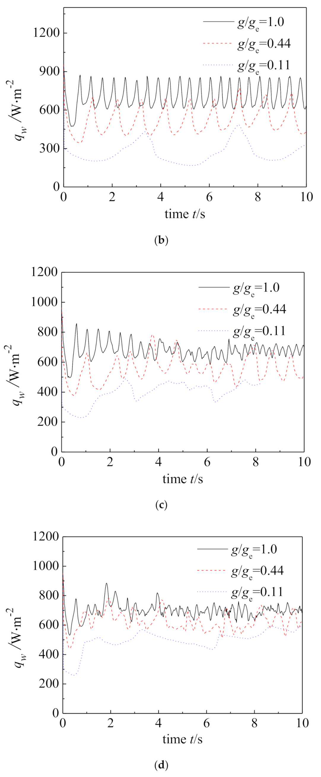
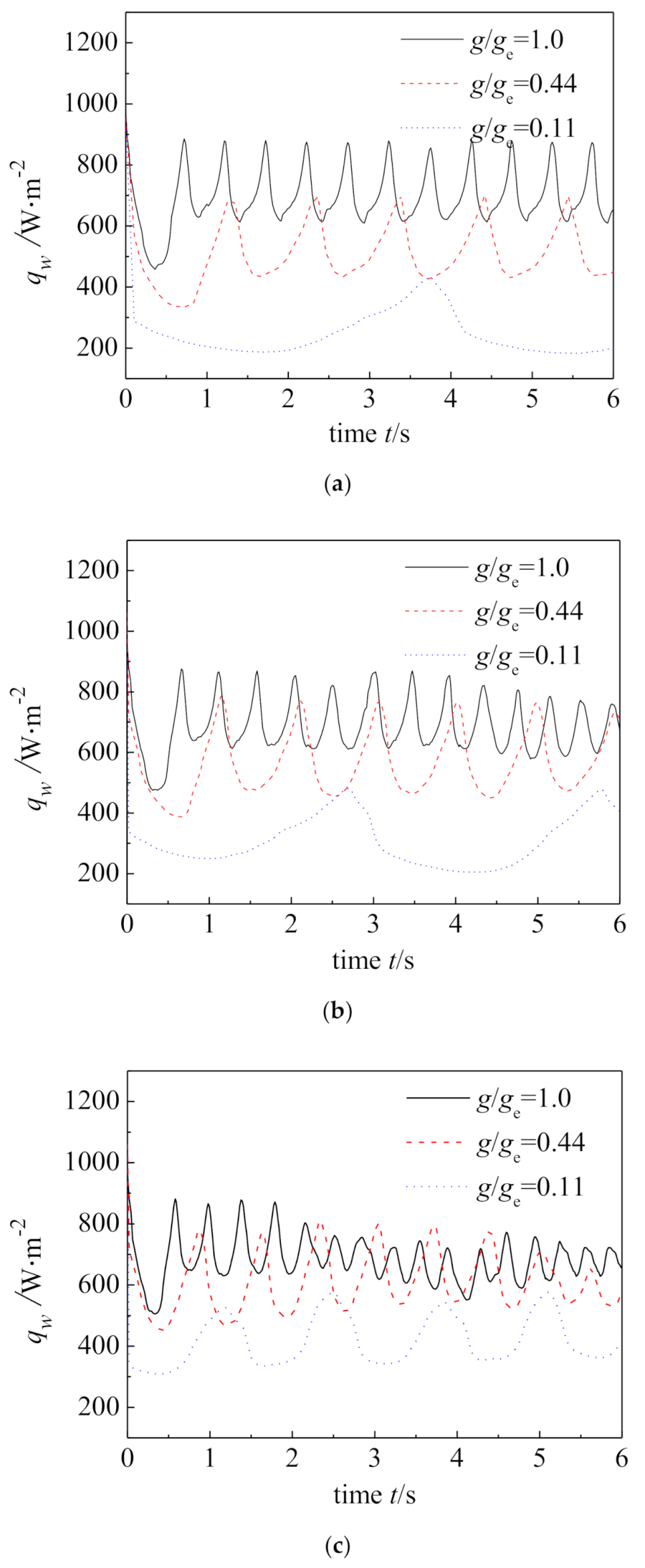
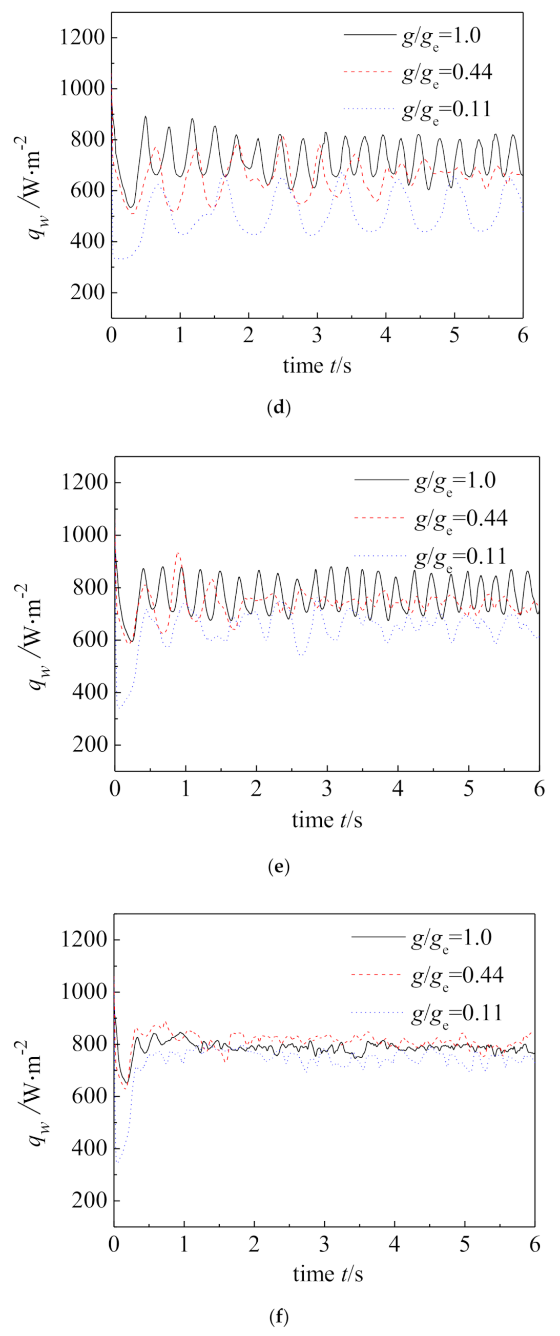
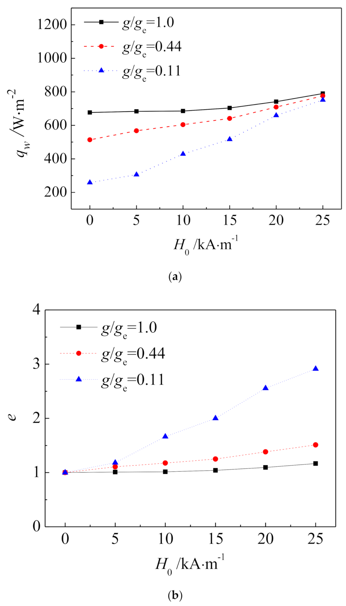
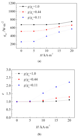
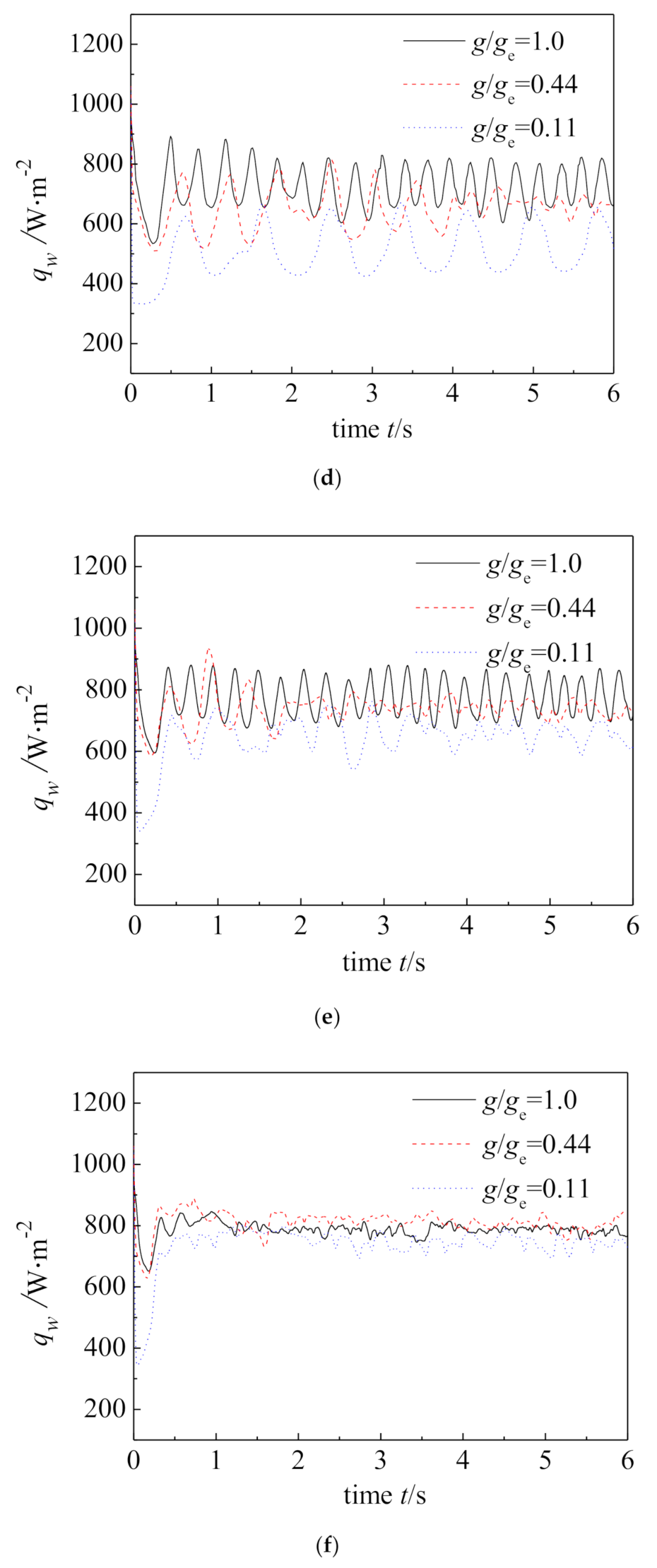
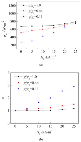
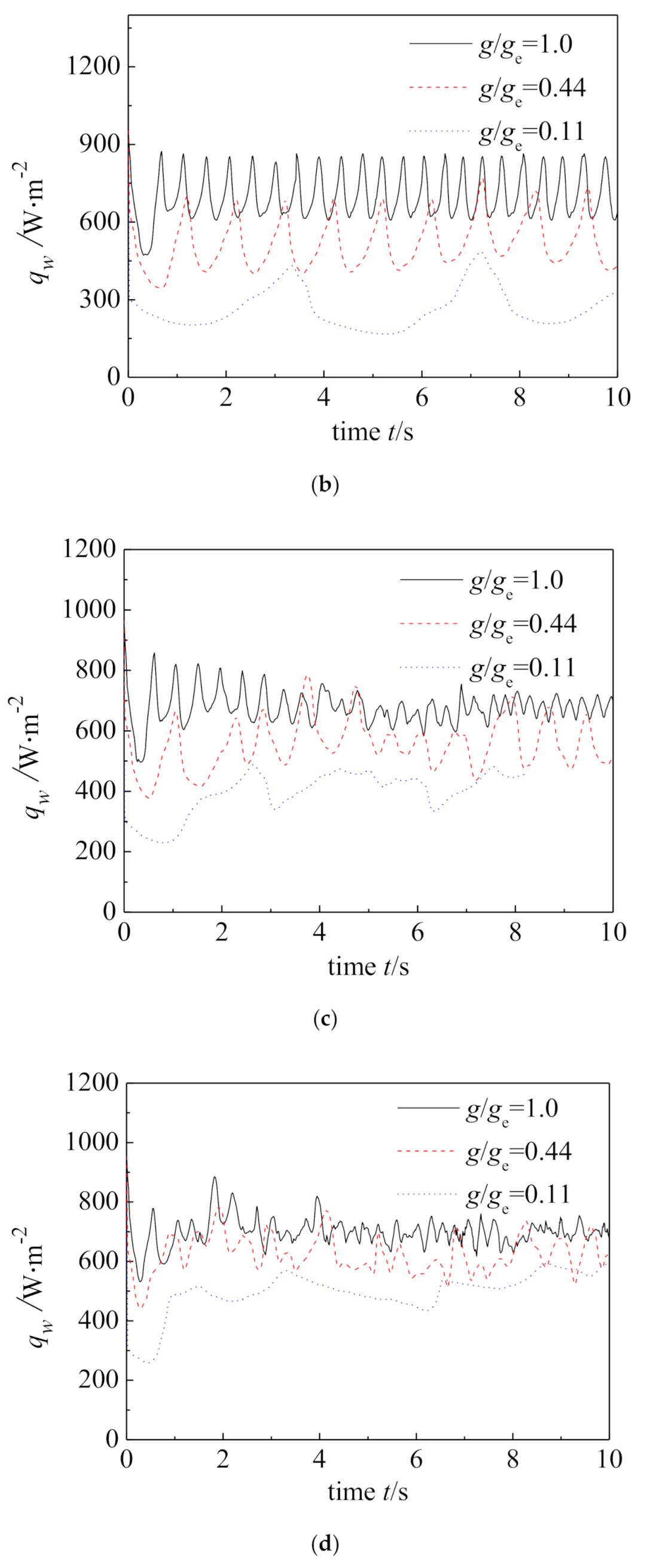
3.1.3. Heat Transfer Characteristics
3.2. Effect of a Non-Uniform Magnetic Field
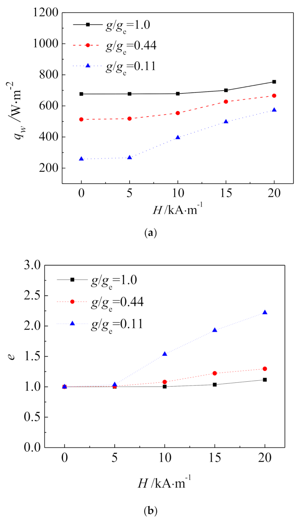
3.2.1. Phase Interface Evolution
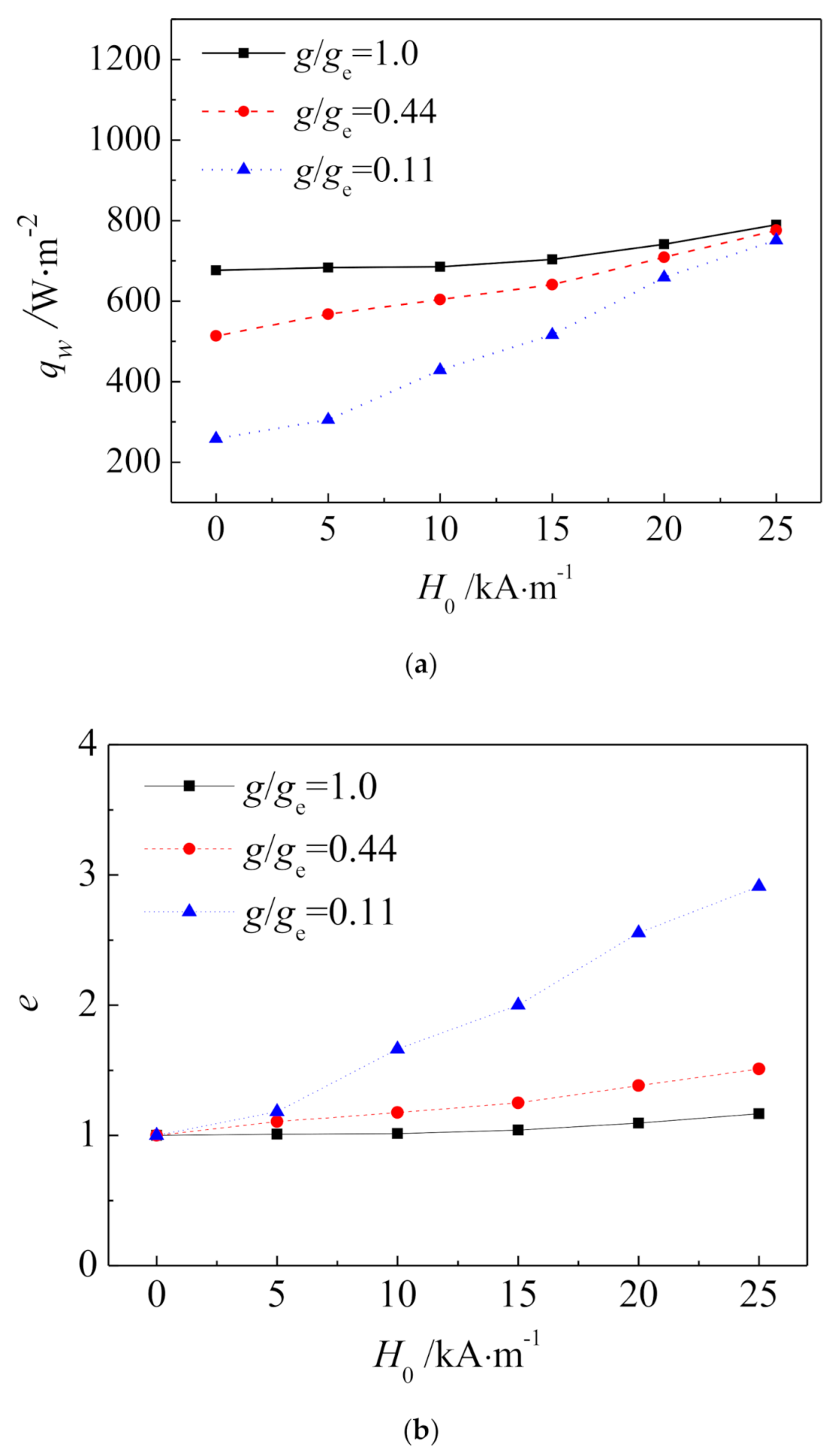
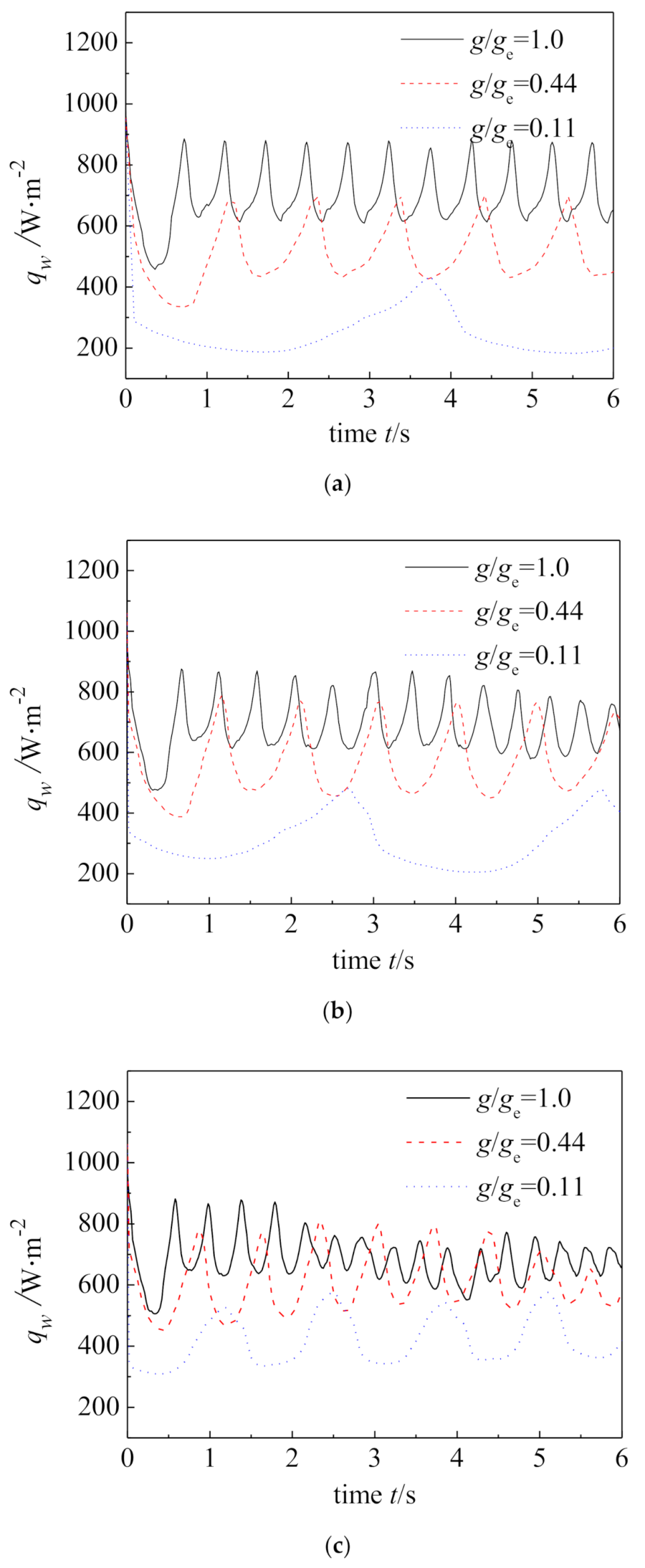
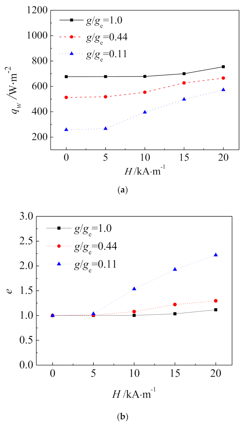
3.2.2. Heat Transfer Characteristics
4. Conclusions
Author Contributions
Funding
Institutional Review Board Statement
Informed Consent Statement
Conflicts of Interest
Nomenclature
| B | magnetic induction intensity (T) |
| c | volume fraction of the discrete phase |
| cp | specific heat (J/kg·K) |
| d | distance (m) |
| e | heat flux enhancement ratio |
| Fσ | surface tension (N/m2) |
| Fm | magnetic force (N/m2) |
| g | gravitational acceleration (m/s2) |
| H | magnetic field intensity (A/m) |
| H(ϕ) | smooth Heaviside function |
| h | grid size (m) |
| hlg | latent heat of vaporization (J/kg) |
| M | magnetization (A/m) |
| mass transfer rate (kg/m3.s) | |
| p | pressure (pa) |
| heat flux that causes the phase change at the phase interface (W/m2) | |
| s | width of transition region for smoothing (m) |
| T | temperature (℃) |
| u | velocity (m/s) |
| Greek letters | |
| βT | volume expansion coefficient |
| δ(ϕ) | Dirac delta function |
| η | dynamic viscosity (kg/m·s) |
| κ | phase interface curvature (1/m) |
| λ | thermal conductivity (W/m·K) |
| μ | magnetic permeability (H/m) |
| μ0 | vacuum permeability μ0 = 4π × 10−7 H/m |
| ρ | density (kg/m3) |
| σ | surface tension coefficient (N/m) |
| Γ | phase interface |
| ϕ | level-set function |
| φ | volume concentration of nanoparticles |
| χ | magnetic susceptibility |
| ψ | magnetic potential (At) |
| Ω | control volume unit |
| Subscripts | |
| e | Earth |
| g | discrete phase |
| l | continuous phase |
| mix | mixture phase |
| p | magnetic nanoparticles |
| w | wall |
| Acronym | |
| MNF | magnetic nanofluid |
References
- Xue, Y.F.; Zhao, J.F.; Wei, J.J.; Li, J.; Guo, D.; Wan, S.X. Experimental study of nucleate pool boiling of FC-72 on smooth surface under microgravity. Microgravity Sci. Technol. 2011, 23, S75–S85. [Google Scholar] [CrossRef]
- Oka, T.; Abe, Y.; Mori, Y.H.; Nagashima, A. Pool boiling heat transfer in microgravity (experiments with CFC-113 and water utilizing a drop shaft facility). Int. J. Ser. B Fluids Therm. Eng. 1996, 39, 798–807. [Google Scholar] [CrossRef]
- Sodtke, C.; Kern, R.; Schweizer, N.; Stephan, P. High resolution measurements of wall temperature distribution underneath a single vapour bubble under low gravity conditions. Int. J. Heat Mass Transf. 2006, 49, 1100–1106. [Google Scholar] [CrossRef]
- Souza, R.R.; Passos, J.C.; Cardoso, E.M. Confined and unconfined nucleate boiling under terrestrial and microgravity conditions. Appl. Therm. Eng. 2013, 51, 1290–1296. [Google Scholar] [CrossRef]
- Lee, H.S.; Merte, H. Hemispherical vapor bubble growth in microgravity: Experiments and model. Int. J. Heat Mass Transf. 1996, 39, 2449–2461. [Google Scholar] [CrossRef]
- Dhir, V.K.; Warrier, G.R.; Aktinol, E.; Chao, D.; Eggers, J.; Sheredy, W.; Booth, W. Nucleate pool boiling experiments (NPBX) on the international space station. Microgravity Sci. Technol. 2012, 24, 307–325. [Google Scholar] [CrossRef]
- Konishi, C.; Mudawar, I. Review of flow boiling and critical heat flux in microgravity. Int. J. Heat Mass Transf. 2015, 80, 469–493. [Google Scholar] [CrossRef]
- Zhao, J.F.; Li, Z.D.; Zhang, L.; Li, J.C.; Fu, S. Numerical simulation of single bubble pool boiling in different gravity conditions. AIP Conf. Proc. 2011, 1376, 565–568. [Google Scholar]
- Ma, X.J.; Cheng, P.; Gong, S.; Quan, X.J. Mesoscale simulations of saturated pool boiling heat transfer under microgravity conditions. Int. J. Heat Mass Transf. 2017, 114, 453–457. [Google Scholar] [CrossRef]
- Pandey, V.; Biswas, G.; Dalal, A. Saturated film boiling at various gravity levels under the influence of electrohydrodynamic forces. Phys. Fluids 2017, 29, 032104. [Google Scholar] [CrossRef]
- Liu, J.H.; Gu, J.M.; Lian, Z.W.; Liu, H. Experiments and mechanism analysis of pool boiling heat transfer enhancement with water-based magnetic fluid. Heat Mass Transf. 2004, 41, 170–175. [Google Scholar]
- Lee, J.H.; Lee, T.; Jeong, Y.H. Experimental study on the pool boiling CHF enhancement using magnetite-water nanofluids. Int. J. Heat Mass Transf. 2012, 55, 2656–2663. [Google Scholar] [CrossRef]
- Abdollahi, A.; Salimpour, M.R. Experimental investigation on the boiling heat transfer of nanofluids on a flat plate in the presence of a magnetic field. Eur. Phys. J. Plus 2016, 131. [Google Scholar] [CrossRef]
- Abdollahi, A.; Salimpour, M.R.; Etesami, N. Experimental analysis of magnetic field effect on the pool boiling heat transfer of a ferrofluid. Appl. Therm. Eng. 2017, 111, 1101–1110. [Google Scholar] [CrossRef]
- Amirzehni, R.; Aminfar, H.; Mohammadpourfard, M. Experimental study of magnetic field effect on bubble lift-off diameter in sub-cooled flow boiling. Exp. Therm. Fluid Sci. 2017, 89, 62–71. [Google Scholar] [CrossRef]
- Guo, K.K.; Li, H.X.; Feng, Y.; Wang, T.; Zhao, J.F. Numerical simulation of magnetic nanofluid (MNF) film boiling using the VOSET method in presence of a uniform magnetic field. Int. J. Heat Mass Transf. 2019, 134, 17–29. [Google Scholar] [CrossRef]
- Guo, K.K.; Li, H.X.; Feng, Y.; Wang, T.; Zhao, J.F. Enhancement of non-uniform magnetic field on saturated film boiling of magnetic nanofluid (MNF). Int. J. Heat Mass Transf. 2019, 143, 12. [Google Scholar] [CrossRef]
- Ki, H. Level set method for two-phase incompressible flows under magnetic fields. Comput. Phys. Commun. 2010, 181, 999–1007. [Google Scholar] [CrossRef]
- Ansari, M.R.; Hadidi, A.; Nimvari, M.E. Effect of a uniform magnetic field on dielectric two-phase bubbly flows using the level set method. J. Magn. Magn. Mater. 2012, 324, 4094–4101. [Google Scholar] [CrossRef]
- Shi, D.X.; Bi, Q.C.; Zhou, R.Q. Numerical simulation of a falling ferrofluid droplet in a uniform magnetic field by the VOSET method. Numer. Heat Transf. Part A Appl. 2014, 66, 144–164. [Google Scholar] [CrossRef]
- Sun, D.L.; Tao, W.Q. A coupled volume-of-fluid and level set (VOSET) method for computing incompressible two-phase flows. Int. J. Heat Mass Transf. 2010, 53, 645–655. [Google Scholar] [CrossRef]
- Wang, T.; Li, H.X.; Zhang, Y.F.; Han, W.; Sheng, T.Y.; Zhang, W.Q. Numerical simulation of two-phase flows using 3D-VOSET method on dynamically adaptive octree grids. In Proceedings of the 22nd International Conference on Nuclear Engineering, Prague, Czech Republic, 7–11 July 2014. [Google Scholar]
- Brackbill, J.U.; Kothe, D.B.; Zemach, C. A continuum method for modeling surface tension. J. Comput. Phys. 1992, 100, 335–354. [Google Scholar] [CrossRef]
- Ling, K.; Son, G.; Sun, D.L.; Tao, W.Q. Three dimensional numerical simulation on bubble growth and merger in microchannel boiling flow. Int. J. Therm. Sci. 2015, 98, 135–147. [Google Scholar] [CrossRef]
- Udaykumar, H.S.; Mittal, R.; Shyy, W. Computation of solid–liquid phase fronts in the sharp interface limit on fixed grids. J. Comput. Phys. 1999, 153, 535–574. [Google Scholar] [CrossRef]
- Rosensweig, R.E. Ferrohydrodynamics; Cambridge University Press: Cambridge, UK, 1985. [Google Scholar]























| Liquid | Vapor | Nanoparticle | |
|---|---|---|---|
| Density (kg/m3) | 200.0 | 5.0 | 5600.0 |
| Thermal conductivity (W/m·K) | 40.0 | 1.0 | 6.0 |
| Thermal capacity (J/kg·K) | 400.0 | 200 | 670.0 |
| Dynamic viscosity (kg/m·s) | 0.1 | 0.005 | |
| Surface tension coefficient (N/m) | 0.1 | ||
| Latent heat (J/kg) | 10,000.0 | ||
| Magnetic susceptibility | 0.2 |
| g/ge | q0/(W/m2) | 5 kA/m | 10 kA/m | 15 kA/m | 20 kA/m | ||||
|---|---|---|---|---|---|---|---|---|---|
| qm/(W/m2) | e | qm/(W/m2) | e | qm/(W/m2) | e | qm/(W/m2) | e | ||
| 1.0 | 677 | 677 | 1.00 | 678 | 1.00 | 700 | 1.03 | 755 | 1.11 |
| 0.44 | 513 | 518 | 1.01 | 554 | 1.08 | 627 | 1.22 | 665 | 1.30 |
| 0.11 | 258 | 267 | 1.03 | 394 | 1.53 | 497 | 1.93 | 572 | 2.22 |
| g/ge | q0 (W/m2) | 5 kA/m | 10 kA/m | 15 kA/m | 20 kA/m | 25 kA/m | |||||
|---|---|---|---|---|---|---|---|---|---|---|---|
| qm (W/m2) | e | qm (W/m2) | e | qm (W/m2) | e | qm (W/m2) | e | qm (W/m2) | e | ||
| 1.0 | 677 | 683 | 1.01 | 685 | 1.01 | 704 | 1.04 | 741 | 1.09 | 789 | 1.17 |
| 0.44 | 513 | 567 | 1.1 | 603 | 1.18 | 641 | 1.25 | 709 | 1.38 | 776 | 1.51 |
| 0.11 | 258 | 305 | 1.18 | 429 | 1.66 | 516 | 2.00 | 659 | 2.55 | 751 | 2.91 |
Publisher’s Note: MDPI stays neutral with regard to jurisdictional claims in published maps and institutional affiliations. |
© 2021 by the authors. Licensee MDPI, Basel, Switzerland. This article is an open access article distributed under the terms and conditions of the Creative Commons Attribution (CC BY) license (http://creativecommons.org/licenses/by/4.0/).
Share and Cite
Guo, K.; Chang, F.; Li, H. Application of a Magnetic Field in Saturated Film Boiling of a Magnetic Nanofluid (MNF) under Reduced Gravity. Energies 2021, 14, 634. https://doi.org/10.3390/en14030634
Guo K, Chang F, Li H. Application of a Magnetic Field in Saturated Film Boiling of a Magnetic Nanofluid (MNF) under Reduced Gravity. Energies. 2021; 14(3):634. https://doi.org/10.3390/en14030634
Chicago/Turabian StyleGuo, Kaikai, Fucheng Chang, and Huixiong Li. 2021. "Application of a Magnetic Field in Saturated Film Boiling of a Magnetic Nanofluid (MNF) under Reduced Gravity" Energies 14, no. 3: 634. https://doi.org/10.3390/en14030634
APA StyleGuo, K., Chang, F., & Li, H. (2021). Application of a Magnetic Field in Saturated Film Boiling of a Magnetic Nanofluid (MNF) under Reduced Gravity. Energies, 14(3), 634. https://doi.org/10.3390/en14030634
