Innovative Energy-Saving Propulsion System for Low-Speed Biomimetic Underwater Vehicles
Abstract
1. Introduction
2. Description of the New Propulsion System with Additional Joint
3. Mathematical Relations
- K is a geometric parameter that determines the shape of the fin;
- is the angle of attack, measured between the fin chord and the fluid velocity;
- S is the fin side area;
- w is the fin thickness;
- f is the fin movement frequency;
- is the fluid density;
- is the fluid viscosity; and
- is the free stream fluid velocity.
- A is the peak-to-peak amplitude measured at the fin trailing edge;
- c is the chord length of the fin at the midline;
- is the area moment of inertia of the cross section; and
- E is Young’s modulus.
Energy Efficiency
- is the energy efficiency;
- is the net thrust; and
- is the value of electrical power consumed by the servomotor.
- T is the thrust; and
- is the drag force.
- is the angle of attack in the horizontal plane;
- is the angle of attack in the vertical plane;
- m is an added mass; and
4. Laboratory Test Equipment and Measurement Methods
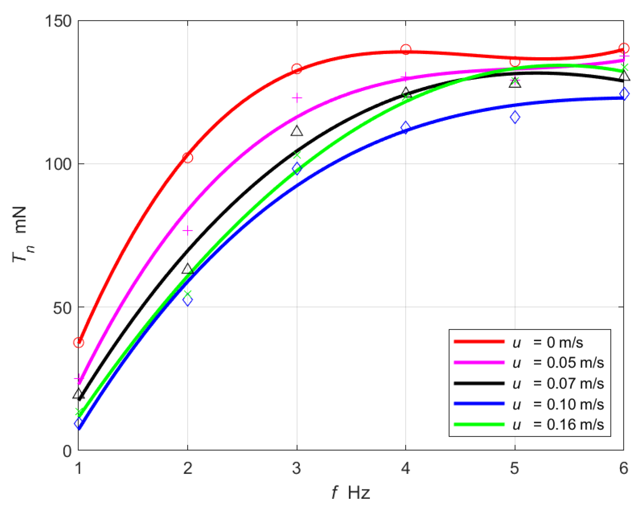
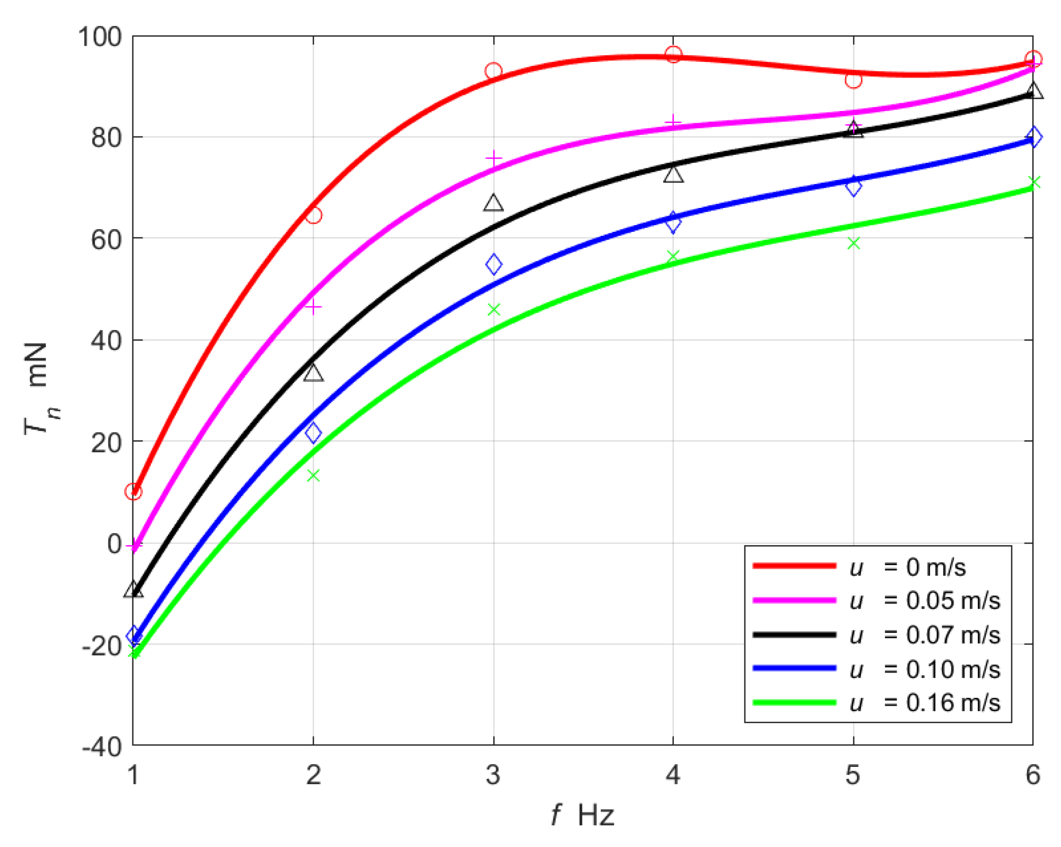
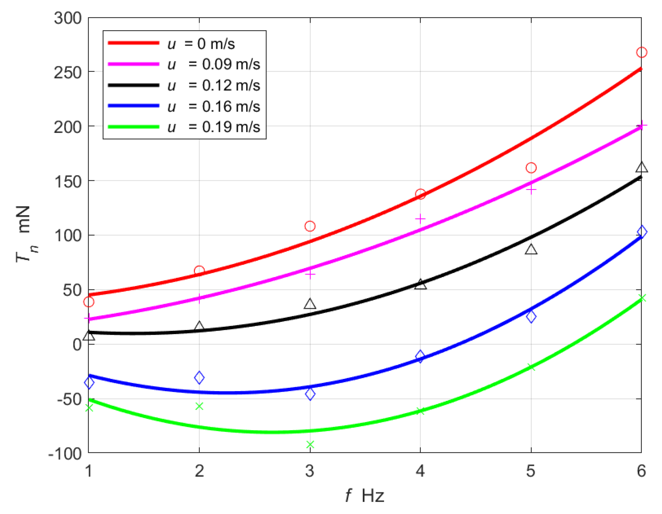
5. Results and Discussion
6. Conclusions and Future Work
7. Patents
Author Contributions
Funding
Institutional Review Board Statement
Informed Consent Statement
Data Availability Statement
Conflicts of Interest
Abbreviations
| BUUV | Biomimetic Unmanned Underwater Vehicle |
| PIV | Particle Image Velocimetry |
| RPM | Revolutions per minute |
| MCU | Micro-controller unit |
| FSI | Fluid–structure interaction |
References
- Mannam, N.P.B.; Krishnankutty, P. Biological Propulsion Systems for Ships and Underwater Vehicles. In Propulsion Systems; IntechOpen: London, UK, 2019; p. 113. [Google Scholar] [CrossRef]
- Sitorus, P.E.; Nazaruddin, Y.Y.; Leksono, E.; Budiyono, A. Design and Implementation of Paired Pectoral Fins Locomotion of Labriform Fish Applied to a Fish Robot. J. Bionic Eng. 2009, 6, 37–45. [Google Scholar] [CrossRef]
- Shi, L.; Guo, S.; Mao, S.; Yue, C.; Li, M.; Asaka, K. Development of an Amphibious Turtle-Inspired Spherical Mother Robot. J. Bionic Eng. 2013, 10, 446–455. [Google Scholar] [CrossRef]
- Szymak, P.; Przybylski, M. Thrust measurement of biomimetic underwater vehicle with undulating propulsion. Sci. J. Pol. Nav. Acad. 2018, 213, 69–82. [Google Scholar] [CrossRef]
- Salazar, R.; Quintana, R.; Abdelkefi, A. Role of Electromechanical Coupling, Locomotion Type and Damping on the Effectiveness of Fish-Like Robot Energy Harvesters. Energies 2021, 14, 693. [Google Scholar] [CrossRef]
- Marcin, M.; Adam, S.; Jerzy, Z.; Marcin, M. Fish-like shaped robot for underwater surveillance and reconnaissance–Hull design and study of drag and noise. Ocean Eng. 2020, 217, 107889. [Google Scholar] [CrossRef]
- Szymak, P.; Malec, M.; Morawski, M. Directions of development of underwater vehicle with undulating propulsion. Pol. J. Environ. Stud. Hard Publ. Co. 2010, 19, 107–110. [Google Scholar]
- Piskur, P.; Gasiorowski, M. Digital Signal Processing for Hydroacoustic System in Biomimetic Underwater Vehicle. NASE MORE 2020, 67, 14–18. [Google Scholar] [CrossRef]
- Tytell, E.D.; Hsu, C.Y.; Williams, T.L.; Cohen, A.H.; Fauci, L.J. Interactions between internal forces, body stiffness, and fluid environment in a neuromechanical model of lamprey swimming. Proc. Natl. Acad. Sci. USA 2010, 107, 19832–19837. [Google Scholar] [CrossRef] [PubMed]
- Grzadziela, A.; Szymak, P.; Piskur, P. Method for assessing the dynamics and efficiency of diving fins. Acta Bioeng. Biomech. 2020, 22, 139–150. [Google Scholar] [CrossRef]
- Blondeaux, P.; Fornarelli, F.; Guglielmini, L.; Triantafyllou, M.; Verzicco, R. Vortex structures generated by a finite-span oscillating foil. In Proceedings of the 43rd AIAA Aerospace Sciences Meeting and Exhibit, Reno, NV, USA, 10–13 January 2005; p. 84. [Google Scholar] [CrossRef]
- Morawski, M.; Malec, M.; Szymak, P.; Trzmiel, A. Analysis of Parameters of Traveling Wave Impact on the Speed of Biomimetic Underwater Vehicle. In Solid State Phenomena; Trans Tech Publications Ltd.: Zürich, Switzerland, 2014; Volume 210, pp. 273–279. [Google Scholar]
- Michelin, S.; Llewellyn Smith, S.G. Resonance and propulsion performance of a heaving flexible wing. Phys. Fluids 2009, 21, 071902. [Google Scholar] [CrossRef]
- Hozyn, S. An Automated System for Analysing Swim-Fins Efficiency. NASE MORE 2020, 67, 10–17. [Google Scholar] [CrossRef]
- Szymak, P.; Praczyk, T.; Naus, K.; Szturomski, B.; Malec, M.; Morawski, M. Research on biomimetic underwater vehicles for underwater ISR. In Proceedings of the International Society for Optics and Photonics, Baltimore, MD, USA, 17–21 April 2016; Volume 9831, p. 98310. [Google Scholar] [CrossRef]
- Piskur, P.; Szymak, P.; Jaskólski, K.; Flis, L.; Gąsiorowski, M. Hydroacoustic System in a Biomimetic Underwater Vehicle to Avoid Collision with Vessels with Low-Speed Propellers in a Controlled Environment. Sensors 2020, 20, 968. [Google Scholar] [CrossRef]
- Singh, N.; Gupta, A.; Mukherjee, S. A dynamic model for underwater robotic fish with a servo actuated pectoral fin. SN Appl. Sci. 2019, 1, 1–9. [Google Scholar] [CrossRef]
- Li, Z.; Xu, W.; Wang, W.; Du, Y.J. Dynamic modeling and experimental research on the linear swimming of a biomimetic cod fish driven by pectoral fin with two degrees of freedom and flexible body. J. Ship. Mech. 2017, 21, 513–527. [Google Scholar]
- Nguyen, T.T.; Lee, B.R.; Vo, T.Q. Dynamic analysis of a robotic fish propelled by flexible folding pectoral fins. Robotica 2020, 38, 699–718. [Google Scholar] [CrossRef]
- Behbahani, S.B.; Tan, X. Bio-inspired flexible joints with passive feathering for robotic fish pectoral fins. Bioinspir. Biomimet. 2016, 11, 036009. [Google Scholar] [CrossRef]
- Piskur, P.; Szymak, P.; Flis, L.; Sznajder, J. Analysis of a Fin Drag Force in a Biomimetic Underwater Vehicle. NAŠE MORE Znan. časopis Za More I Pomor. 2020, 67, 192–198. [Google Scholar] [CrossRef]
- Maertens, A.P.; Triantafyllou, M.S.; Yue, D.K.P. Efficiency of fish propulsion. Bioinspir. Biomimet. 2015, 10, 046013. [Google Scholar] [CrossRef]
- Collins, K.M. The Effects of Asymmetry on Oscillatory Propulsion. Ph.D. Thesis, University of Bath, Bath, UK, 2012. [Google Scholar]
- Floryan, D.; Van Buren, T.; Smits, A.J. Efficient cruising for swimming and flying animals is dictated by fluid drag. Proc. Natl. Acad. Sci. USA 2018, 115, 8116–8118. [Google Scholar] [CrossRef]
- Wu, X.; Zhang, X.; Tian, X.; Li, X.; Lu, W. A review on fluid dynamics of flapping foils. Ocean Eng. 2020, 195, 106712. [Google Scholar] [CrossRef]
- Buckingham, E. The principle of similitude. Nature 1915, 96, 396–397. [Google Scholar] [CrossRef]
- Liu, W.; Xiao, Q.; Cheng, F. A bio-inspired study on tidal energy extraction with flexible flapping wings. Bioinspir. Biomimet. 2013, 8, 036011. [Google Scholar] [CrossRef]
- Triantafyllou, G.S.; Triantafyllou, M.S.; Grosenbaugh, M.A. Optimal thrust development in oscillating foils with application to fish propulsion. J. Fluids Struct. 1993, 7, 205–224. [Google Scholar] [CrossRef]
- Baik, Y.S.; Bernal, L.P. Experimental study of pitching and plunging airfoils at low Reynolds numbers. Exp. Fluids 2012, 53, 1979–1992. [Google Scholar] [CrossRef]
- Luo, Y.; Xiao, Q.; Shi, G.; Pan, G.; Chen, D. The effect of variable stiffness of tuna-like fish body and fin on swimming performance. Bioinspir. Biomimet. 2020, 16, 016003. [Google Scholar] [CrossRef] [PubMed]
- Piskur, P.; Szymak, P.; Kitowski, Z.; Flis, L. Influence of fin’s material capabilities on the propulsion system of biomimetic underwater vehicle. Polish Marit. Res. 2020, 4, 179–185. [Google Scholar] [CrossRef]
- Bevilaqua, P.; Yam, C. Propulsive Efficiency of Wake Ingestion. J. Propuls. Power 2020, 36, 517–526. [Google Scholar] [CrossRef]
- Gough, W.T.; Smith, H.J.; Savoca, M.S.; Czapanskiy, M.F.; Fish, F.E.; Potvin, J.; Bierlich, K.; Cade, D.E.; Clemente, J.D.; Kennedy, J.; et al. Scaling of oscillatory kinematics and Froude efficiency in baleen whales. J. Exp. Biol. 2021. [Google Scholar] [CrossRef] [PubMed]
- Heller, V. 8.04—Development of Wave Devices from Initial Conception to Commercial Demonstration. In Comprehensive Renewable Energy; Sayigh, A., Ed.; Elsevier: Oxford, UK, 2012; pp. 79–110. [Google Scholar] [CrossRef]
- Rodič, M.; Milanovič, M.; Truntič, M. Digital Control of an Interleaving Operated Buck-Boost Synchronous Converter Used in a Low-Cost Testing System for an Automotive Powertrain. Energies 2018, 11, 2290. [Google Scholar] [CrossRef]
- De Santis, M.; Agnelli, S.; Patanè, F.; Giannini, O.; Bella, G. Experimental Study for the Assessment of the Measurement Uncertainty Associated with Electric Powertrain Efficiency Using the Back-to-Back Direct Method. Energies 2018, 11, 3536. [Google Scholar] [CrossRef]
- Piskur, P.; Szymak, P.; Sznajder, J. Identification in a laboratory tunnel to control fluid velocity. In Advanced, Contemporary Control; Springer: Berlin/Heidelberg, Germany, 2020; pp. 1543–1552. [Google Scholar]
- Liu, G.; Dong, H. Effects of tail geometries on the performance and wake pattern in flapping propulsion. In Proceedings of the ASME 2016 Fluids Engineering Division Summer Meeting collocated with the ASME 2016 Heat Transfer Summer Conference and the ASME 2016 14th International Conference on Nanochannels, Microchannels, and Minichannels, Washington, DC, USA, 10–14 July 2016; Volume 50299, p. V01BT30A002. [Google Scholar] [CrossRef]
- Engels, T.; Kolomenskiy, D.; Schneider, K.; Sesterhenn, J. Numerical simulation of vortex-induced drag of elastic swimmer models. Theor. Appl. Mech. Lett. 2017, 7, 280–285. [Google Scholar] [CrossRef]
- Szturomski, B.; Kiciński, R. Material Properties of HY 80 Steel after 55 Years of Operation for FEM Applications. Materials 2021, 14, 4213. [Google Scholar] [CrossRef]
- Jurczyk, K.; Piskur, P.; Szymak, P. Parameters identification of the flexible fin kinematics model using vision and Genetic Algorithms. Polish Marit. Res. 2020, 2, 39–47. [Google Scholar] [CrossRef]
- Ebrahimi, M.; Abbaspour, M. A comparative numerical study on the performances and vortical patterns of two bioinspired oscillatory mechanisms: Undulating and pure heaving. Appl. Bionics Biomech. 2015, 2015, 325934. [Google Scholar] [CrossRef][Green Version]
- Link, O.; Sanhueza, C.; Arriagada, P.; Brevis, W.; Laborde, A.; González, A.; Wilkes, M.; Habit, E. The fish Strouhal number as a criterion for hydraulic fishway design. Ecol. Eng. 2017, 103, 118–126. [Google Scholar] [CrossRef]
- Dabiri, J.O. Optimal vortex formation as a unifying principle in biological propulsion. Annu. Rev. Fluid Mech. 2009, 41, 17–33. [Google Scholar] [CrossRef]
- Eloy, C. Optimal Strouhal number for swimming animals. J. Fluids Struct. 2012, 30, 205–218. [Google Scholar] [CrossRef]
- Riggs, P.; Bowyer, A.; Vincent, J. Advantages of a biomimetic stiffness profile in pitching flexible fin propulsion. J. Bionic Eng. 2010, 7, 113–119. [Google Scholar] [CrossRef]
- Taylor, G.K.; Nudds, R.L.; Thomas, A.L. Flying and swimming animals cruise at a Strouhal number tuned for high power efficiency. Nature 2003, 425, 707–711. [Google Scholar] [CrossRef]
- Piskur, P.; Szymak, P. Digital Signal Processing for Hydroacoustic Passive Obstacle Detection System in Biomimetic Underwater Vehicle. In Proceedings of the 2018 International Conference on Applied Mathematics & Computational Science (ICAMCS.NET), Budapest, Hungary, 6–8 October 2018; pp. 110–114. [Google Scholar] [CrossRef]
- Cheong, S.; Kim, Y.J.; Chun, J.H.; Kim, J.K.; Huh, S. Integrated Offshore Seismic Survey Using an Unmanned Wave Glider. Energies 2021, 14, 297. [Google Scholar] [CrossRef]













Publisher’s Note: MDPI stays neutral with regard to jurisdictional claims in published maps and institutional affiliations. |
© 2021 by the authors. Licensee MDPI, Basel, Switzerland. This article is an open access article distributed under the terms and conditions of the Creative Commons Attribution (CC BY) license (https://creativecommons.org/licenses/by/4.0/).
Share and Cite
Piskur, P.; Szymak, P.; Przybylski, M.; Naus, K.; Jaskólski, K.; Żokowski, M. Innovative Energy-Saving Propulsion System for Low-Speed Biomimetic Underwater Vehicles. Energies 2021, 14, 8418. https://doi.org/10.3390/en14248418
Piskur P, Szymak P, Przybylski M, Naus K, Jaskólski K, Żokowski M. Innovative Energy-Saving Propulsion System for Low-Speed Biomimetic Underwater Vehicles. Energies. 2021; 14(24):8418. https://doi.org/10.3390/en14248418
Chicago/Turabian StylePiskur, Paweł, Piotr Szymak, Michał Przybylski, Krzysztof Naus, Krzysztof Jaskólski, and Mariusz Żokowski. 2021. "Innovative Energy-Saving Propulsion System for Low-Speed Biomimetic Underwater Vehicles" Energies 14, no. 24: 8418. https://doi.org/10.3390/en14248418
APA StylePiskur, P., Szymak, P., Przybylski, M., Naus, K., Jaskólski, K., & Żokowski, M. (2021). Innovative Energy-Saving Propulsion System for Low-Speed Biomimetic Underwater Vehicles. Energies, 14(24), 8418. https://doi.org/10.3390/en14248418

