Optimisation of Technological Processes by Solving Inverse Problem through Block-Wise-Transform-Reduction Method Using Open Architecture Sensor Platform
Abstract
:1. Introduction
1.1. Process Tomography
1.2. Ultrasound Transmission Tomography
1.3. Architecture System
1.4. Structure of the Paper
2. Materials and Methods
2.1. Measuring System
2.2. Block-Wise-Transform-Reduction Method Based Image Reconstruction
2.2.1. Discrete Cosine Transform (DCT)
2.2.2. Compression Tests
2.2.3. Mathematical Model
2.3. Innovation of the Solution
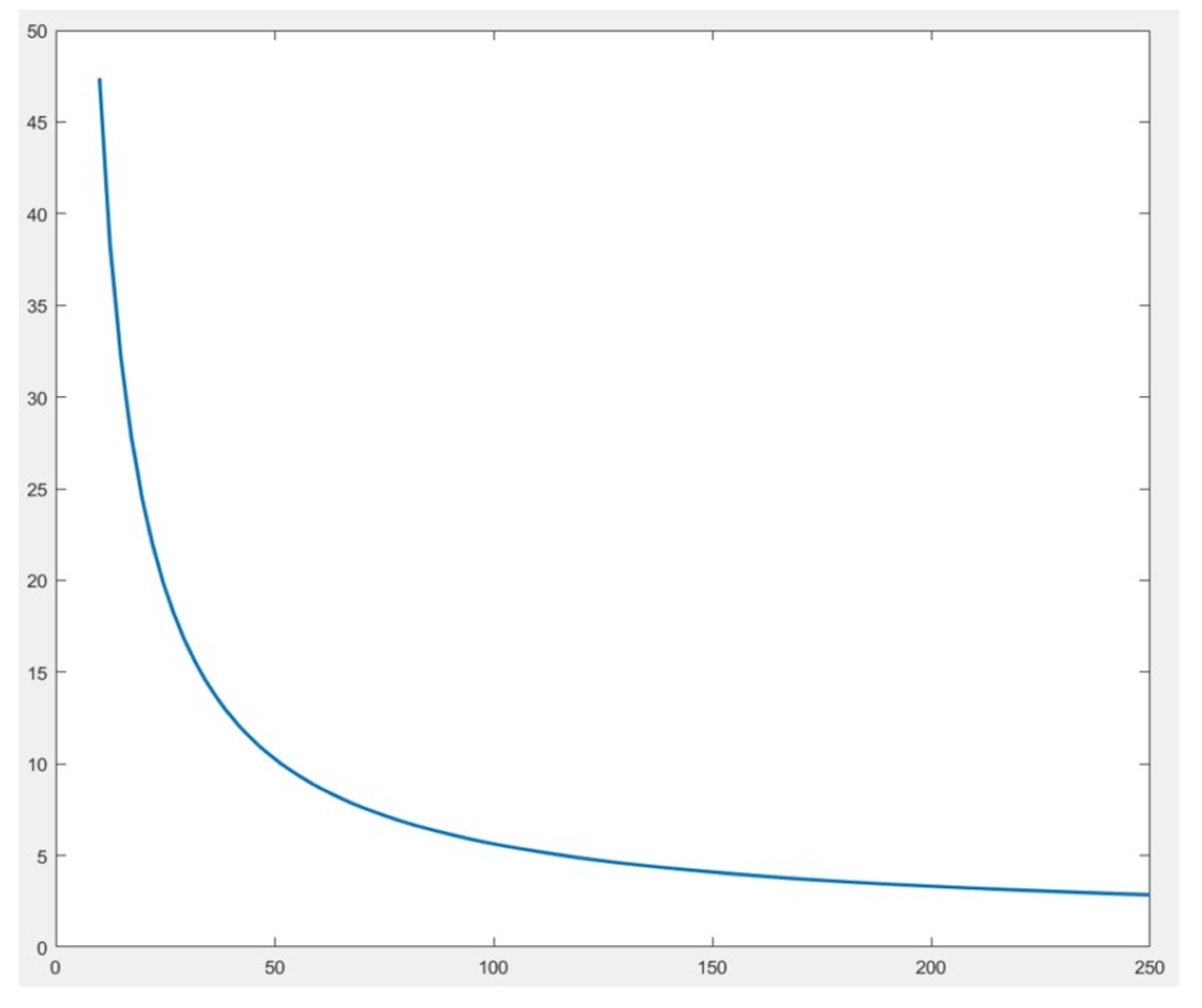
3. Results
Comparison of Image Reconstructions
4. Conclusions
Author Contributions
Funding
Institutional Review Board Statement
Informed Consent Statement
Data Availability Statement
Conflicts of Interest
References
- Bergweiler, S. Intelligent Manufacturing based on Self-Monitoring Cyber-Physical Systems. In Proceedings of the Ninth International Conference on Mobile Ubiquitous Computing, Systems, Services and Technologies (UBICOMM 2015), Nice, France, 19–24 July 2015; pp. 108–113. [Google Scholar]
- Wan, J.; Tang, S.; Shu, Z.; Li, D.; Wang, S.; Imran, M.; Vasilakos, A.V. Software-Defined Industrial Internet of Things in the Context of Industry 4.0. IEEE Sens. J. 2016, 16, 7373–7380. [Google Scholar] [CrossRef]
- Wang, S.; Wan, J.; Li, D.; Zhang, C. Implementing Smart Factory of Industrie 4.0: An Outlook. Int. J. Distrib. Sens. Netw. 2016, 12, 3159805. [Google Scholar] [CrossRef] [Green Version]
- Herman, G.T. Image Reconstruction from Projections: The Fundamentals of Computerised Tomography; Academic Press: New York, NY, USA, 1980. [Google Scholar]
- Polakowski, K.; Sikora, J. Podstawy Matematyczne Obrazowania Ultradźwiękowego; Politechnika Lubelska: Lublin, Poland, 2016. (In Polish) [Google Scholar]
- Kak, A.C.; Slaney, M. Principles of Computerized Tomographic Imaging; IEEE Press: New York, NY, USA, 1999. [Google Scholar]
- Koulountzios, P.; Rymarczyk, T.; Soleimani, M. Ultrasonic Time-of-Flight Computed Tomography for Investigation of Batch Crystallisation Processes. Sensors 2021, 21, 639. [Google Scholar] [CrossRef]
- Mosorov, V.; Grudzień, K.; Sankowski, D. Flow velocity measurement methods using electrical capacitance tomography. Inform. Autom. Pomiary Gospod. Ochr. Śr. (IAPGOŚ) 2017, 7, 30–36. [Google Scholar] [CrossRef]
- Kłosowski, G.; Rymarczyk, T.; Kania, K.; Świć, A.; Cieplak, T. Maintenance of industrial reactors based on deep learning driven ultrasound tomography. Eksploat. Niezawodn. Maint. Reliab. 2020, 22, 138–147. [Google Scholar] [CrossRef]
- Koulountzios, P.; Rymarczyk, T.; Soleimani, M. A quantitative ultrasonic travel-time tomography system for investigation of liquid compounds elaborations in industrial processes. Sensors 2019, 19, 5117. [Google Scholar] [CrossRef] [Green Version]
- Beck, M.S.; Williams, R.A. Process tomography: A European innovation and its applications. Meas. Sci. Technol. 1996, 7, 215–224. [Google Scholar] [CrossRef]
- Majchrowicz, M.; Kapusta, P.; Jackowska-Strumiłło, L.; Sankowski, D. Acceleration of image reconstruction process in the electrical capacitance tomography 3D in heterogeneous, multi-GPU system. Inform. Control Meas. Econ. Environ. Prot. 2017, 7, 37–41. [Google Scholar] [CrossRef]
- Banasiak, R.; Wajman, R.; Jaworski, T.; Fiderek, P.; Fidos, H.; Nowakowski, J.; Sankowski, D. Study on two-phase flow regime visualisation and identification using 3D electrical capacitance tomography and fuzzy-logic classification. Int. J. Multiph. Flow 2014, 58, 1–14. [Google Scholar] [CrossRef]
- Rybak, G.; Strzecha, K. Short-Time Fourier Transform Based on Metaprogramming and the Stockham Optimization Method. Sensors 2021, 21, 4123. [Google Scholar] [CrossRef] [PubMed]
- Dusek, J.; Mikulka, J. Measurement-Based Domain Parameter Optimisation in Electrical Impedance Tomography Imaging. Sensors 2021, 21, 2507. [Google Scholar] [CrossRef] [PubMed]
- Kozłowski, E.; Mazurkiewicz, D.; Żabiński, T.; Prucnal, S.; Sęp, J. Assessment model of cutting tool condition for real-time supervision system. Eksploat. Niezawodn. Maint. Reliab. 2019, 21, 679–685. [Google Scholar] [CrossRef]
- Duraj, A.; Korzeniewska, E.; Krawczyk, A. Classification algorithms to identify changes in resistance. Prz. Elektrotech. 2015, 1, 82–84. [Google Scholar] [CrossRef]
- Krawczyk, A.; Korzeniewska, E. Magnetophosphenes–history and contemporary implications. Prz. Elektrotech. 2018, 1, 63–66. [Google Scholar] [CrossRef]
- Du, X.; Li, J.; Feng, H.; Chen, S. Image Reconstruction of Internal Defects in Wood Based on Segmented Propagation Rays of StressWaves. Appl. Sci. 2018, 8, 1778. [Google Scholar] [CrossRef] [Green Version]
- Rymarczyk, T.; Kłosowski, G. Innovative methods of neural reconstruction for tomographic images in maintenance of tank industrial reactors. Eksploat. Niezawodn. Maint. Reliab. 2019, 21, 261–267. [Google Scholar] [CrossRef]
- Rymarczyk, T. Characterization of the shape of unknown objects by inverse numerical methods. Prz. Elektrotech. 2012, 88, 138–140. [Google Scholar]
- Mazurek, M.; Rymarczyk, T.; Kłosowski, G.; Maj, M.; Adamkiewicz, P. Tomographic measuring sensors system for analysis and visualisation of technological processes. In Proceedings of the 50th Annual IEEE-IFIP International Conference on Dependable Systems and Networks-Supplemental Volume (DSN-S), Valencia, Spain, 29 June–2 July 2020; pp. 45–46. [Google Scholar]
- Cheng, X.; Li, Q.; Zhou, Z.; Luo, Z.; Liu, M.; Liu, L. Research on a Seepage Monitoring Model of a High Core Rockfill Dam Based on Machine Learning. Sensors 2018, 18, 2749. [Google Scholar] [CrossRef] [Green Version]
- Soetomo, K.; Rahma, T.F.; Juliastuti, E.; Kurniadi, D. Ultrasonic tomography for reinforced concrete inspection using algebraic reconstruction technique with Iterative Kaczmarz method. In Proceedings of the 2016 International Conference on Instrumentation, Control and Automation (ICA), Bandung, Indonesia, 29–31 August 2016; IEEE: Piscataway, NJ, USA, 2016; pp. 16–21. [Google Scholar]
- Yan, B.; Wu, C.; Ma, H. Study on the method of nonmetallic defects based on ultrasonic tomography and morphology. In Proceedings of the 2017 12th IEEE Conference on Industrial Electronics and Applications (ICIEA), Siem Reap, Cambodia, 18–20 June 2017; IEEE: Piscataway, NJ, USA, 2017; pp. 1287–1292. [Google Scholar]
- Mohd Yunus, F.R.; Noor Azlan, N.A.; Nor Ayob, N.M.; Pusppanathan, M.J.; Jumaah, M.F.; Goh, C.L.; Abdul Rahim, R.; Ahmad, A.; Yunus, Y.M.; Abdul Rahim, H. Simulation Study of Bubble Detection Using Dual-Mode Electrical Resistance and Ultrasonic Transmission Tomography for Two-Phase Liquid and Gas. Sens. Transducers 2013, 150, 97–105. [Google Scholar]
- Koulountzios, P.; Rymarczyk, T.; Soleimani, M. A triple-modality ultrasound computed tomography based on full-waveform data for industrial processes. IEEE Sens. J. 2021, 21, 20896–20909. [Google Scholar] [CrossRef]
- Rymarczyk, T.; Kłosowski, G. The use of elastic net and neural networks in industrial process tomography. Prz. Elektrotech. 2019, 95, 59–62. [Google Scholar] [CrossRef]
- Rymarczyk, T.; Kozłowski, E.; Kłosowski, G. Electrical impedance tomography in 3D flood embankments testing—Elastic net approach. Trans. Inst. Meas. Control 2019, 42, 680–690. [Google Scholar] [CrossRef]
- Szumowski, J.; Oleszek, M.; Rymarczyk, T.; Adamkiewicz, P.; Sikora, J. Hybrid tomographic device for acquisition of electrical tomography data. In Proceedings of the 2018 International Interdisciplinary PhD Workshop (IIPhDW 2018), Swinoujscie, Poland, 9–12 May 2018; pp. 162–164. [Google Scholar]
- Mazurek, M.; Kania, K.; Rymarczyk, T.; Wójcik, D.; Cieplak, T.; Gołąbek, P. Implementation of Block-Wise-Transform-Reduction Method for Image Reconstruction in Ultrasound Transmission Tomography. In Proceedings of the INFOCOM 2021 IEEE Conference on Computer Communications, Virtual Conference, 10–13 May 2021. [Google Scholar]
- Mazurek, M.; Rymarczyk, T.; Kania, K.; Kłosowski, G. Dedicated algorithm based on discrete cosine transform for the analysis of industrial processes using ultrasound tomography. In Adjunct Proceedings of the 2020 ACM International Joint Conference on Pervasive and Ubiquitous Computing and Proceedings of the 2020 ACM International Symposium on Wearable Computers, Proceedings of the 2020 ACM International Joint Conference on Pervasive and Ubiquitous Computing and Proceedings of the 2020 ACM International Symposium on Wearable Computers, Virtual Event Mexico, 12–17 September 2020; The Association for Computing Machinery: New York, NY, USA, 2020. [Google Scholar]
- Kania, K.; Rymarczyk, T.; Maj, M.; Golabek, M. Implementation of Fermat's Principle for Detection of Anomalies in Ultrasound Transmission Tomography. Appl. Electromagn. Mod. Eng. Med. PTZE 2019, 2019, 67–71. [Google Scholar]
- Kania, K.; Maj, M.; Rymarczyk, T.; Adamkieicz, P.; Golabek, M. Image reconstruction in ultrasound transmission tomography using the Fermat’s Principle. Prz. Elektrotech. 2020, 96, 186–189. [Google Scholar] [CrossRef]
- Kania, K.; Rymarczyk, T.; Maj, M.; Gołąbek, M.; Adamkiewicz, P.; Sikora, J. RayIntegration methods for real-time reconstruction using a compact measuring device. In Proceedings of the 2019 International Interdisciplinary PhD Workshop (IIPhDW), Wismar, Germany, 15–17 May 2019; pp. 47–50. [Google Scholar] [CrossRef]
















| Method of Reconstruction | Indicator | Variant | |||
|---|---|---|---|---|---|
| O1 | O2 | O3 | O4 | ||
| BTWR | MSE | 0.0087 | 0.0156 | 0.0300 | 0.0466 |
| RIE | 0.2538 | 0.2340 | 0.2962 | 0.3618 | |
| ICC | 0.8588 | 0.8873 | 0.8506 | 0.8131 | |
| Time of reconstruction [s] | 0.0014896 | ||||
| Method of Reconstruction | Indicator | Variant | |||
|---|---|---|---|---|---|
| O1 | O2 | O3 | O4 | ||
| CURI | MSE | 0.0105 | 0.0266 | 0.0554 | 0.0694 |
| RIE | 0.3066 | 0.3984 | 0.5482 | 0.5385 | |
| ICC | 0.8285 | 0.7873 | 0.6788 | 0.6562 | |
Publisher’s Note: MDPI stays neutral with regard to jurisdictional claims in published maps and institutional affiliations. |
© 2021 by the authors. Licensee MDPI, Basel, Switzerland. This article is an open access article distributed under the terms and conditions of the Creative Commons Attribution (CC BY) license (https://creativecommons.org/licenses/by/4.0/).
Share and Cite
Kania, K.; Rymarczyk, T.; Mazurek, M.; Skrzypek-Ahmed, S.; Guzik, M.; Oleszczuk, P. Optimisation of Technological Processes by Solving Inverse Problem through Block-Wise-Transform-Reduction Method Using Open Architecture Sensor Platform. Energies 2021, 14, 8295. https://doi.org/10.3390/en14248295
Kania K, Rymarczyk T, Mazurek M, Skrzypek-Ahmed S, Guzik M, Oleszczuk P. Optimisation of Technological Processes by Solving Inverse Problem through Block-Wise-Transform-Reduction Method Using Open Architecture Sensor Platform. Energies. 2021; 14(24):8295. https://doi.org/10.3390/en14248295
Chicago/Turabian StyleKania, Konrad, Tomasz Rymarczyk, Mariusz Mazurek, Sylwia Skrzypek-Ahmed, Mirosław Guzik, and Piotr Oleszczuk. 2021. "Optimisation of Technological Processes by Solving Inverse Problem through Block-Wise-Transform-Reduction Method Using Open Architecture Sensor Platform" Energies 14, no. 24: 8295. https://doi.org/10.3390/en14248295
APA StyleKania, K., Rymarczyk, T., Mazurek, M., Skrzypek-Ahmed, S., Guzik, M., & Oleszczuk, P. (2021). Optimisation of Technological Processes by Solving Inverse Problem through Block-Wise-Transform-Reduction Method Using Open Architecture Sensor Platform. Energies, 14(24), 8295. https://doi.org/10.3390/en14248295

