Piezoelectric Properties of PVDF-Zn2GeO4 Fine Fiber Mats
Abstract
:1. Introduction
2. Experimental Details
2.1. Materials
2.2. Synthesis of Zn2GeO4
2.3. Synthesis of PVDF-ZGO Fiber Mats
2.4. Characterization Techniques
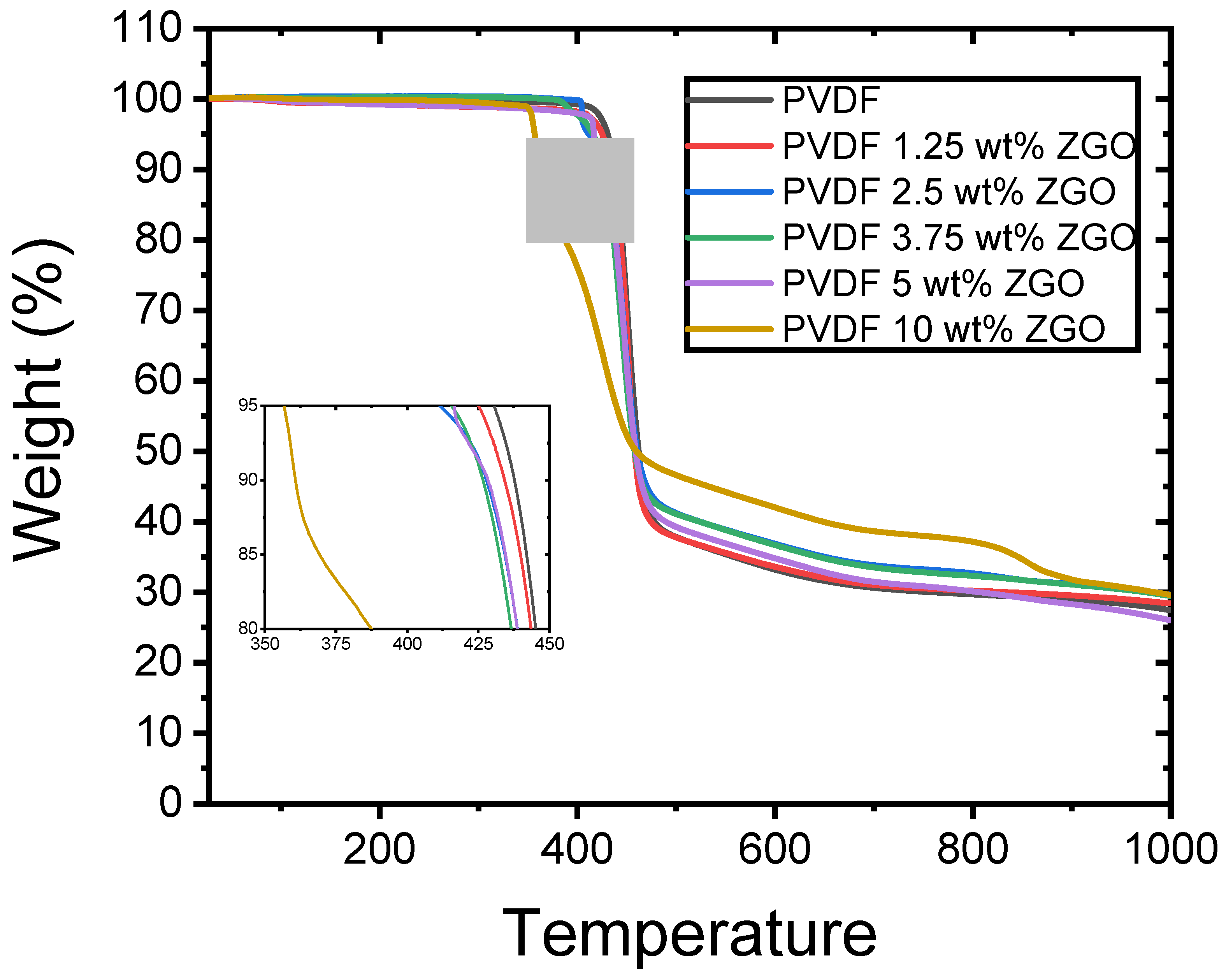
3. Results and Discussion
4. Conclusions
Author Contributions
Funding
Institutional Review Board Statement
Informed Consent Statement
Acknowledgments
Conflicts of Interest
References
- Zhu, J.; Zhu, Y.; Song, W.; Wang, H.; Gao, M.; Cho, M.; Park, I. Zinc oxide-enhanced piezoelectret polypropylene microfiber for mechanical energy harvesting. ACS Appl. Mater. Interfaces 2018, 10, 19940–19947. [Google Scholar] [CrossRef]
- Wang, Z.L.; Wu, W. Nanotechnology-Enabled Energy Harvesting for Self-Powered Micro-/Nanosystems. Angew. Chem. Int. Ed. 2012, 51, 11700–11721. [Google Scholar] [CrossRef] [PubMed]
- Sullivan, J.L.; Gaines, L. A review of battery life-cycle analysis: State of knowledge and critical needs. Batter. Manuf. Electr. Hybrid Veh. 2010, 91–133. [Google Scholar] [CrossRef] [Green Version]
- Das Mahapatra, S.; Mohapatra, P.C.; Aria, A.I.; Christie, G.; Mishra, Y.K.; Hofmann, S.; Thakur, V.K. Piezoelectric Materials for Energy Harvesting and Sensing Applications: Roadmap for Future Smart Materials. Adv. Sci. 2021, 8, 2100864. [Google Scholar] [CrossRef]
- Bhavanasi, V.; Kusuma, D.Y.; Lee, P.S. Polarization orientation, piezoelectricity, and energy harvesting performance of ferroelectric PVDF-TrFE nanotubes synthesized by nanoconfinement. Adv. Energy Mater. 2014, 4, 1–8. [Google Scholar] [CrossRef]
- Wang, H.; Xu, L.; Wang, Z. Advances of High-Performance Triboelectric Nanogenerators for Blue Energy Harvesting. Nanoenergy Adv. 2021, 1, 32–57. [Google Scholar] [CrossRef]
- Karan, S.K.; Maiti, S.; Lee, J.H.; Mishra, Y.K.; Khatua, B.B.; Kim, J.K. Recent advances in self-powered Tribo-/Piezoelectric energy harvesters: All-In-One package for future smart technologies. Adv. Funct. Mater. 2020, 30, 2004446. [Google Scholar] [CrossRef]
- Shan, X.; Tian, H.; Cao, H.; Xie, T. Enhancing Performance of a Piezoelectric Energy Harvester System for Concurrent Flutter and Vortex-Induced Vibration. Energies 2020, 13, 3101. [Google Scholar] [CrossRef]
- Masara, D.O.; El Gamal, H.; Mokhiamar, O. Split Cantilever Multi-Resonant Piezoelectric Energy Harvester for Low-Frequency Application. Energies 2021, 14, 5077. [Google Scholar] [CrossRef]
- Safaei, M.; Sodano, H.A.; Anton, S.R. A review of energy harvesting using piezoelectric materials: State-of-the-art a decade later (2008–2018). Smart Mater. Struct. 2019, 28, 113001. [Google Scholar] [CrossRef]
- Erturk, A.; Bilgen, O.; Inman, D.J. Power generation and shunt damping performance of a single crystal lead magnesium niobate-lead zirconate titanate unimorph: Analysis and experiment. Appl. Phys. Lett. 2008, 93, 224102. [Google Scholar] [CrossRef] [Green Version]
- Ren, B.; Or, S.W.; Zhang, Y.; Zhang, Q.; Li, X.; Jiao, J.; Wang, W.; Liu, D.; Zhao, X.; Luo, H. Piezoelectric energy harvesting using shear mode 0.71Pb (Mg1/3Nb2/3) O3–0.29PbTiO3 single crystal cantilever. Appl. Phys. Lett. 2010, 96, 083502. [Google Scholar] [CrossRef]
- Shahab, S.; Zhao, S.; Erturk, A. Soft and hard piezoelectric ceramics and single crystals for random vibration energy harvesting. Energy Technol. 2018, 6, 935–942. [Google Scholar] [CrossRef]
- Wu, M.; Zheng, T.; Zheng, H.; Li, J.; Wang, W.; Zhu, M.; Li, F.; Yue, G.; Gu, Y.; Wu, J. High-performance piezoelectric-energy-harvester and self-powered mechanosensing using lead-free potassium–sodium niobate flexible piezoelectric composites. J. Mater. Chem. A 2018, 6, 16439–16449. [Google Scholar] [CrossRef]
- Zheng, M.; Hou, Y.; Yan, X.; Zhang, L.; Zhu, M. A highly dense structure boosts energy harvesting and cycling reliabilities of a high-performance lead-free energy harvester. J. Mater. Chem. C 2017, 5, 7862–7870. [Google Scholar] [CrossRef]
- Qaiser, M.A.; Hussain, A.; Zhang, J.; Wang, Y.; Zhang, S.; Chen, L.; Yuan, G. 0–3 type Bi3TaTiO9:40wt%BiFeO3 composite with improved high-temperature piezoelectric properties. J. Alloys Compd. 2018, 740, 1–6. [Google Scholar] [CrossRef]
- Li, Q.; Wei, J.; Cheng, J.; Chen, J. High temperature dielectric, ferroelectric and piezoelectric properties of Mn-modified BiFeO3-BaTiO3 lead-free ceramics. J. Mater. Sci. 2017, 52, 229–237. [Google Scholar] [CrossRef]
- Wang, Z.L. Piezoelectric nanogenerators based on zinc oxide nanowire arrays. Science 2006, 312, 242–246. [Google Scholar] [CrossRef]
- Mishra, S.; Unnikrishnan, L.; Nayak, S.K.; Mohanty, S. Advances in Piezoelectric Polymer Composites for Energy Harvesting Applications: A Systematic Review. Macromol. Mater. Eng. 2019, 304, 1–25. [Google Scholar] [CrossRef] [Green Version]
- Hosseini, S.M.; Yousefi, A.A. Electrospun PVDF/MWCNT/OMMT hybrid nanocomposites: Preparation and characterization. Iran. Polym. J. 2017, 26, 331–339. [Google Scholar] [CrossRef]
- Lang, C.; Fang, J.; Shao, H.; Ding, X.; Lin, T. High-sensitivity acoustic sensors from nanofibre webs. Nat. Commun. 2016, 7, 11108. [Google Scholar] [CrossRef] [Green Version]
- Cheng, X.; Xue, X.; Ma, Y.; Han, M.; Zhang, W.; Xu, Z.; Zhang, H.; Zhang, H. Implantable and self-powered blood pressure monitoring based on a piezoelectric thinfilm: Simulated, in vitro and in vivo studies. Nano Energy 2016, 22, 453–460. [Google Scholar] [CrossRef]
- Karan, S.K.; Maiti, S.; Agrawal, A.K.; Das, A.K.; Maitra, A.; Paria, S.; Bera, A.; Bera, R.; Halder, L.; Mishra, A.K.; et al. Designing high energy conversion efficient bio-inspired vitamin assisted single-structured based self-powered piezoelectric/wind/acoustic multi-energy harvester with remarkable power density. Nano Energy 2019, 59, 169–183. [Google Scholar] [CrossRef]
- Parangusan, H.; Ponnamma, D.; AlMaadeed, M.A.A. Flexible tri-layer piezoelectric nanogenerator based on PVDF-HFP/Ni-doped ZnO nanocomposites. RSC Adv. 2017, 7, 50156–50165. [Google Scholar] [CrossRef] [Green Version]
- Kang, S.J.; Park, Y.J.; Hwang, J.Y.; Jeong, H.J.; Lee, J.S.; Kim, K.J.; Kim, H.-C.; Huh, J.; Park, C. Localized pressure-induced ferroelectric pattern arrays of semicrystalline poly (vinylidene fluoride) by microimprinting. Adv. Mater. 2007, 19, 581–586. [Google Scholar] [CrossRef]
- Ruan, L.; Yao, X.; Chang, Y.; Zhou, L.; Qin, G.; Zhang, X. Properties and applications of the β phase poly (vinylidene fluoride). Polymer 2018, 10, 228. [Google Scholar] [CrossRef] [Green Version]
- Pan, H.; Na, B.; Lv, R.; Li, C.; Zhu, J.; Yu, Z. Polar phase formation in poly(vinylidene fluoride) induced by melt annealing. J. Polym. Sci. Part B Polym. Phys. 2012, 50, 1433–1437. [Google Scholar] [CrossRef]
- Benz, M.; Euler, W.; Gregory, O.J. The Role of Solution Phase Water on the Deposition of Thin Films of Poly (vinylidene fluoride). Macromolecules 2002, 35, 2682–2688. [Google Scholar] [CrossRef]
- Sencadas, V.; Gregorio, R.; Lanceros-Méndez, S. α to β phase transformation and microestructural changes of PVDF films induced by uniaxial stretch. J. Macromol. Sci. Part B 2009, 48, 514–525. [Google Scholar] [CrossRef]
- Golzari, N.; Adams, J.; Beuermann, S. Inducing β phase crystallinity in block copolymers of vinylidene fluoride with methyl methacrylate or styrene. Polymer 2017, 9, 306. [Google Scholar] [CrossRef] [Green Version]
- Martins, P.; Costa, C.M.; Lanceros-Mendez, S. Nucleation of electroactive β-phase poly (vinilidene fluoride) with CoFe2O4 and NiFe2O4 nanofillers: A new method for the preparation of multiferroic nanocomposites. Appl. Phys. A Mater. Sci. Process 2011, 103, 233–237. [Google Scholar] [CrossRef]
- Mendes, S.F.S.; Costa, C.M.; Caparros, C.; Sencadas, V.; Lanceros-Méndez, S. Effect of filler size and concentration on the structure and properties of poly (vinylidene fluoride)/BaTiO3 nanocomposites. J. Mater. Sci. 2012, 47, 1378–1388. [Google Scholar] [CrossRef]
- An, N.; Liu, H.; Ding, Y.; Zhang, M.; Tang, Y. Preparation and electroactive properties of a PVDF/nano-TiO2 composite film. Appl. Surf. Sci. 2011, 257, 3831–3835. [Google Scholar] [CrossRef]
- Martins, P.; Costa, C.M.; Benelmekki, M.; Botelho, G.; Lanceros-Mendez, S. On the origin of the electroactive poly (vinylidene fluoride) β-phase nucleation by ferrite nanoparticles via surface electrostatic interactions. CrystEngComm 2012, 14, 2807–2811. [Google Scholar] [CrossRef]
- Issa, A.A.; Al-Maadeed, M.A.; Luyt, A.S.; Ponnamma, D.; Hassan, M.K. Physico-Mechanical, Dielectric, and Piezoelectric Properties of PVDF Electrospun Mats Containing Silver Nanoparticles. C 2017, 3, 30. [Google Scholar] [CrossRef] [Green Version]
- Maity, N.; Mandal, A.; Nandi, A.K. Hierarchical nanostructured polyaniline functionalized graphene/poly (vinylidene fluoride) composites for improved dielectric performances. Polymer 2016, 103, 83–97. [Google Scholar] [CrossRef]
- Simoes, R.; Silva, J.; Vaia, R.; Sencadas, V.; Costa, P.; Gomes, J.; Lanceros-Mendez, S. Low percolation transitions in carbon nanotube networks dispersed in a polymer matrix: Dielectric properties, simulations and experiments. Nanotechnology. 2008, 20, 035703. [Google Scholar] [CrossRef] [PubMed]
- Sarkar, K.; Gomez, C.; Zambrano, S.; Ramirez, M.; de Hoyos, E.; Vasquez, H.; Lozano, K. Electrospinning to Forcespinning™. Mater. Today 2010, 13, 12–14. [Google Scholar] [CrossRef]
- Comin, A.; Manna, L. New materials for tunable plasmonic colloidal nanocrystals. Chem. Soc. Rev. 2014, 43, 3957–3975. [Google Scholar] [CrossRef] [PubMed] [Green Version]
- Sun, L.; Qi, Y.; Jia, C.-J.; Jin, Z.; Fan, W. Enhanced visible-light photocatalytic activity of g-C3N4/Zn2GeO4 heterojunctions with effective interfaces based on band match. Nanoscale 2014, 6, 2649–2659. [Google Scholar] [CrossRef]
- Chen, D.; Wang, Q.; Wang, R.; Shen, G. Ternary oxide nanostructured materials for supercapacitors: A review. J. Mater. Chem. A 2015, 3, 10158–10173. [Google Scholar] [CrossRef]
- Li, R.; Zhang, R.; Lou, Z.; Huang, T.; Jiang, K.; Chen, D.; Shen, G. Electrospraying preparation of metal germanate nanospheres for high-performance lithium-ion batteries and room-temperature gas sensors. Nanoscale 2019, 11, 12116–12123. [Google Scholar] [CrossRef]
- Suzuki, V.Y.; Amorin, L.H.C.; Lima, N.M.; Machado, E.G.; Carvalho, P.E.; Castro, S.; Alves, C.C.S.; Carli, A.P.; Li, M.S.; Longo, E.; et al. Characterization of the structural, optical, photocatalytic and in vitro and in vivo anti-inflammatory properties of Mn2+ doped Zn2GeO4 nanorods. J. Mater. Chem. C 2019, 7, 8216–8225. [Google Scholar] [CrossRef]
- Liao, C.-H.; Huang, C.-W.; Chen, J.-Y.; Chiu, C.-H.; Tsai, T.; Lu, K.-C.; Lu, M.-Y.; Wu, W.-W. Optoelectronic Properties of Single-Crystalline Zn2GeO4 Nanowires. J. Phys. Chem. C 2014, 118, 8194–8199. [Google Scholar] [CrossRef]
- Zhou, J.; Zhang, W.; Zhao, H.; Tian, J.; Zhu, Z.; Lin, N.; Qian, Y. Growth of Bouquet-like Zn2GeO4 Crystal Clusters in Molten Salt and Understanding the Fast Na-Storage Properties. ACS Appl. Mater. Interfaces 2019, 11, 22371–22379. [Google Scholar] [CrossRef]
- Li, H.-H.; Wu, X.-L.; Zhang, L.-L.; Fan, C.-Y.; Wang, H.-F.; Li, X.-Y.; Sun, H.-Z.; Zhang, J.; Yan, Q. Carbon-Free Porous Zn2GeO4 Nanofibers as Advanced Anode Materials for High-Performance Lithium Ion Batteries. ACS Appl. Mater. Interfaces 2016, 8, 31722–31728. [Google Scholar] [CrossRef] [PubMed]
- Yan, C.; Lee, P.S. Crystallographic Alignment of ZnO Nanorod Arrays on Zn2GeO4 Nanocrystals: Promising Lattice-Matched Substrates. J. Phys. Chem. C 2010, 114, 265–268. [Google Scholar] [CrossRef]
- Srivastava, B.B.; Gupta, S.K.; Li, Y.; Mao, Y. Bright persistent green emitting water-dispersible Zn2GeO4: Mn nanorods. Dalton Trans. 2020, 49, 7328–7340. [Google Scholar] [CrossRef] [PubMed]
- Trevino, J.E.; Mohan, S.; Salinas, A.E.; Cueva, E.; Lozano, K. Piezoelectric properties of PVDF-conjugated polymer nanofibers. J. Appl. Polym. Sci. 2021, 138, 50665. [Google Scholar] [CrossRef]
- Parangusan, H.; Ponnamma, D.; Almaadeed, M.A.A. Toward High Power Generating Piezoelectric Nanofibers: Influence of Particle Size and Surface Electrostatic Interaction of Ce–Fe2O3 and Ce–Co3O4 on PVDF. ACS Omega 2019, 4, 6312–6323. [Google Scholar] [CrossRef] [Green Version]
- Abir, S.S.H.; Gupta, S.K.; Ibrahim, A.; Srivastava, B.B.; Lozano, K. Tunable CsPb (Br/Cl)3 perovskite nanocrystals and further advancement in designing light emitting fiber membranes. Mater. Adv. 2021, 2, 2700–2710. [Google Scholar] [CrossRef]
- Gao, G.; Wondraczek, L. Near-infrared down-conversion in Mn2+–Yb3+ co-doped Zn2GeO4. J. Mater. Chem. C 2013, 1, 1952–1958. [Google Scholar] [CrossRef]
- Tavares, M.I.; Junior, A.W.; Neto, R.P. Evaluation of intermolecular interactions in the PHB/ZnO nanostructured materials. J. Nanosci. Nanotechnol. 2016, 16, 7606–7610. [Google Scholar] [CrossRef]
- Park, K.-I.; Jeong, C.K.; Ryu, J.; Hwang, G.-T.; Lee, K.J. Flexible and large-area nanocomposite generators based on lead zirconate titanate particles and carbon nanotubes. Adv. Energy Mater. 2013, 3, 1539–1544. [Google Scholar] [CrossRef]
- Gomes, J.; Nunes, J.; Sencadas, V.; Lanceros-Mendez, S. Influence of the β-phase content and degree of crystallinity on the piezo- and ferroelectric properties of poly (vinylidene fluoride). Smart Mater. Struct. 2010, 19. [Google Scholar] [CrossRef]
- Tiwari, S.; Gaur, A.; Kumar, C.; Maiti, P. Enhanced piezoelectric response in nanoclay induced electrospun PVDF nanofibers for energy harvesting. Energy 2019, 171, 485–492. [Google Scholar] [CrossRef]
- Choi, M.; Murillo, G.; Hwang, S.; Kim, J.W.; Jung, J.H.; Chen, C.-Y.; Lee, M. Mechanical and electrical characterization of PVDF-ZnO hybrid structure for application to nanogenerator. Nano Energy. 2017, 33, 462–468. [Google Scholar] [CrossRef] [Green Version]
- Craciun, E.-M.; Baesu, E.; Soós, E. General solution in terms of complex potentials for incremental antiplane states in prestressed and prepolarized piezoelectric crystals: Application to mode III fracture propagation. IMA J. Appl. Math. 2004, 70, 39–52. [Google Scholar] [CrossRef]
- Craciun, E.; Rabaea, A.; Das, S. Cracks Interaction in a Pre-Stressed and Pre-Polarized Piezoelectric Material. J. Mech. 2020, 36, 177–182. [Google Scholar] [CrossRef]
- Ponnamma, D.; Aljarod, O.; Parangusan, H.; Al-Maadeed, S. Reduction in piezoelectric voltage generation for the cerium doped nickel ferrite nanoparticles filled PVDF-HFP nanocomposites. Results Phys. 2019, 13, 102130. [Google Scholar] [CrossRef]
- Bodkhe, S.; Turcot, G.; Gosselin, F.P.; Therriault, D. One-Step solvent evaporation-assisted 3D printing of piezoelectric PVDF nanocomposite structures. ACS Appl. Mater. Interfaces 2017, 9, 20833–20842. [Google Scholar] [CrossRef]
- Zhao, Y.; Liao, Q.; Zhang, G.; Zhang, Z.; Liang, Q.; Liao, X.; Zhang, Y. High output piezoelectric nanocomposite generators composed of oriented BaTiO3 NPs@PVDF. Nano Energy 2015, 11, 719–727. [Google Scholar] [CrossRef]
- Hu, P.; Yan, L.; Zhao, C.; Zhang, Y.; Niu, J. Double-layer structured PVDF nanocomposite film designed for flexible nanogenerator exhibiting enhanced piezoelectric output and mechanical property. Compos. Sci. Technol. 2018, 168, 327–335. [Google Scholar] [CrossRef]
- Samadi, A.; Ahmadi, R.; Hosseini, S.M. Influence of TiO2-Fe3O4-MWCNT hybrid nanotubes on piezoelectric and electromagnetic wave absorption properties of electrospun PVDF nanocomposites. Org. Electron. 2019, 75, 105405. [Google Scholar] [CrossRef]
- Chinya, I.; Sasmal, A.; Sen, S. Conducting polyaniline decorated in-situ poled Ferrite nanorod-PVDF based nanocomposite as piezoelectric energy harvester. J. Alloys Compd. 2020, 815, 152312. [Google Scholar] [CrossRef]
- Pusty, M.; Sinha, L.; Shirage, P.M. A flexible self-poled piezoelectric nanogenerator based on a rGO–Ag/PVDF nanocomposite. New J. Chem. 2018, 43, 284–294. [Google Scholar] [CrossRef]
- Karan, S.K.; Bera, R.; Paria, S.; Das, A.K.; Maiti, S.; Maitra, A.; Khatua, B.B. An approach to design highly durable piezoelectric nanogenerator based on self-poled PVDF/AlO-rGO flexible nanocomposite with high power density and energy conversion efficiency. Adv. Energy Mater. 2016, 6, 1601016. [Google Scholar] [CrossRef]
- Roy, K.; Mandal, D. CdS decorated rGO containing PVDF electrospun fiber based piezoelectric nanogenerator for mechanical energy harvesting application. In AIP Conference Proceedings; AIP Publishing: New York, NY, USA, 2018; Volume 1942, p. 050125. [Google Scholar]
- Cai, J.; Hu, N.; Wu, L.; Liu, Y.; Li, Y.; Ning, H.; Liu, X.; Lin, L. Preparing carbon black/graphene/PVDF-HFP hybrid composite films of high piezoelectricity for energy harvesting technology. Compos. Part A Appl. Sci. Manuf. 2019, 121, 223–231. [Google Scholar] [CrossRef]
- Singh, H.H.; Singh, S.; Khare, N. Design of flexible PVDF/NaNbO3/RGO nanogenerator and understanding the role of nanofillers in the output voltage signal. Compos. Sci. Technol. 2017, 149, 127–133. [Google Scholar] [CrossRef]
- Ponnamma, D.; Erturk, A.; Parangusan, H.; Deshmukh, K.; Ahamed, M.B.; Al-Maadeed, M.A.A. Stretchable quaternary phasic PVDF-HFP nanocomposite films containing graphene-titania-SrTiO3 for mechanical energy harvesting. Emergent Mater. 2018, 1, 55–65. [Google Scholar] [CrossRef]
- Ghosh, S.K.; Mandal, D. Synergistically enhanced piezoelectric output in highly aligned 1D polymer nanofibers integrated all-fiber nanogenerator for wearable nano-tactile sensor. Nano Energy 2018, 53, 245–257. [Google Scholar] [CrossRef]
- Kar, E.; Bose, N.; Dutta, B.; Banerjee, S.; Mukherjee, N.; Mukherjee, S. 2D SnO2 nanosheet/PVDF composite based flexible, self-cleaning piezoelectric energy harvester. Energy Convers. Manag. 2019, 184, 600–608. [Google Scholar] [CrossRef]







| Source | Material | Type | Testing Method | Results |
|---|---|---|---|---|
| Ponnamma et al. (2019) [60] | PVDF and NiFe2O4 and Ce-NiFe2O4 nanoparticles | Electrospinning | Mechanical loading | 3–5 V |
| Bodkhe et al. (2017) [61] | PVDF and BaTiO3 | 3D printed | Finger tapping | 4 V |
| Parangusan et al. (2017) [24] | PVDF-HFP and Ni doped ZnO | Nanocomposite | Free vibration damping | 1.2 V |
| Zhao et al. (2015) [62] | PVDF and BaTiO3 NPs | Film | External load (1 Mpa) | 150 V |
| Hu et al. (2018) [63] | PVDF and BaTiO3 NPs | Film | External load | 6.7 V |
| Issa et al. (2017) [35] | PVDF and Ag NP | Electrospun fibers | Mechanical vibration | 0.6–2 V |
| Parangusan et al. (2019) [50] | PVDF and Ce–Fe2O3 and Ce–Co3O4 | Electrospun fibers | External force | 15–20 V |
| Samadi et al. (2019) [64] | PVDF and TiO2-Fe3O4-MWCNT | Electrospun fibers | Finger tapping | 51.42 mV |
| Chinya et al. (2020) [65] | PVDF/Polyaniline (PANI) in situ Ferrite nanorods | Film | Finger-friction motion | 42 V |
| Pusty et al. (2019) [66] | PVDF and Ag doped rGO | Nanocomposite | Pulsing Mechanical energy | 18 V |
| Karan et al. (2016) [67] | PVDF and AlO doped rGO | Nanocomposite | Mechanical energy | 36 V |
| Roy et al. (2018) [68] | PVDF and CdS doped rGO | Electrospun fiber | Finger tapping | 4 V |
| Cai et al. (2019) [69] | PVDF-HFP and Carbon black | Film | Resonance frequency | 3.68 V |
| Singh et al. (2017) [70] | PVDF and NaNbO3 nanorods and rGO | Nanocomposite | External load | 2.16 V |
| Ponnamma et al. (2018) [71] | P(VDF-HFP) TiO2-rGO nanotubes and SrTiO3 nanoparticles | Nanocomposite film | External load | 2 V |
| Ghosh et al. (2018) [72] | PVDF and Pt nanoparticles | Electrospun nanofiber | External load | 30 V |
| Kar et al. (2019) [73] | PVDF and SnO2 nanosheets | Nanocomposite | 42 V | |
| Present Study | PVDF and PVDF-1.25%ZGO | Finefibers | External load (206 kPa) | 144 V and 172 V |
Publisher’s Note: MDPI stays neutral with regard to jurisdictional claims in published maps and institutional affiliations. |
© 2021 by the authors. Licensee MDPI, Basel, Switzerland. This article is an open access article distributed under the terms and conditions of the Creative Commons Attribution (CC BY) license (https://creativecommons.org/licenses/by/4.0/).
Share and Cite
Rubaiya, F.; Mohan, S.; Srivastava, B.B.; Vasquez, H.; Lozano, K. Piezoelectric Properties of PVDF-Zn2GeO4 Fine Fiber Mats. Energies 2021, 14, 5936. https://doi.org/10.3390/en14185936
Rubaiya F, Mohan S, Srivastava BB, Vasquez H, Lozano K. Piezoelectric Properties of PVDF-Zn2GeO4 Fine Fiber Mats. Energies. 2021; 14(18):5936. https://doi.org/10.3390/en14185936
Chicago/Turabian StyleRubaiya, Fariha, Swati Mohan, Bhupendra B. Srivastava, Horacio Vasquez, and Karen Lozano. 2021. "Piezoelectric Properties of PVDF-Zn2GeO4 Fine Fiber Mats" Energies 14, no. 18: 5936. https://doi.org/10.3390/en14185936
APA StyleRubaiya, F., Mohan, S., Srivastava, B. B., Vasquez, H., & Lozano, K. (2021). Piezoelectric Properties of PVDF-Zn2GeO4 Fine Fiber Mats. Energies, 14(18), 5936. https://doi.org/10.3390/en14185936
