1. Introduction
Power electronics systems (PES), understood as power electronics circuits (PEC) working together, are gaining popularity as modular solutions for electric power conversion [
1,
2]. They are commonly used in the AC, DC or combined AC-DC installations. Nevertheless, in terms of the PES control design, the level of complexity is higher when compared to a single PEC. It is driven by necessity of taking into account interactions between connected PECs. The connections may be of serial and/or parallel combinations of inputs and/or outputs [
3]. Such a variety of options makes it even more challenging. There is no simple control structure block diagram such as, for example, the classical negative feedback single-loop scheme. Therefore, the PES control design requires new, intuitive solutions. Such an approach can be developed based on a comprehensive understanding of system-level interactions and controlled devices. In principle, the approach could rely on a selection of parameters and controller gains, ensuring the fulfilment of selected system-level control criteria [
4,
5]. Of course, the roots of the solutions are deeply on the basis of the PID or PI controllers tuning for PEC [
6,
7]. There are also existing system-level advanced solutions deeply based on fuzzy logic [
8,
9] or artificial neural networks with a quasi-network back propagation algorithm [
10], but these approaches belong to numerical optimization methods. For numerical methods, particular solutions are identified without direct and unambiguous indication of the dynamic properties.
Desired, physically possible, dynamic properties of PES can be obtained using an advanced approach, but selection of the controller parameters is more complex than in classical techniques dedicated to PEC. For this reason, methods based on modified classical approaches are often used. A good example is a controller based on adaptation of its gains, so-called gain scheduling [
11,
12]. However, use of such a scheme may be challenging during the adaptation curve selection in a controller with a wide operating range.
An attractive solution could be the use of graphical methods that are more intuitive during complex analyses. They lead to visualization of the compensator gains trajectories in function of selected parameters. One such method is the
-decomposition technique, presented in 1948 by Russian mathematician Yuri Issakovich Neimark [
13]. The
-decomposition technique, called known as D-partition, establishes a direct correlation between the characteristic equation and the space of permissible parameters for which the global stability is met. The technique in its original form indicates only the GSB in form of
plot for a PI compensator [
14,
15,
16]. In case of the PID regulator, the differential gain appears as a parameter.
The
-decomposition technique can be relatively easily modified to take into account selected constraints such as the two fundamental constraints in the frequency domain, the gain margin (GM) and the phase margin (PM) [
14,
17]. It also can be adapted to the Maximum Sensitivity (Ms) [
18] or even time domain constraints such as the overshoot and the rise time [
18,
19]. Furthermore, the GM, PM and Ms can be combined with the time domain constraints such as the overshoot and the rise time [
18].
An alternative solution to the
-decomposition technique could be an approach based on the Lyapunov theory [
20]. However, it is less intuitive when compared to the
-decomposition applied even to a complex systems such as a two-mass drive [
21]. Despite the relative complexity, the Lyapunov function is also used at the system-level. In [
22], it is applied to ensure the stable operation of an observer of a sub-system consisting of a DC converter with an input filter.
The impedance-based methods used at the level of individual PEC are also used at the system level [
23]. Nevertheless, in their basic form, they do not take into account the system-level interactions. In case of connecting a few PEC into a group, the interactions between them must be taken into account during selection of the controllers gains. Properly chosen gains for standing alone units do not guarantee the stable operation of a system containing a group of them working together.
In case of the system-level considerations, Nyquist characteristics are also used. They are drawn for assumed gains based on the system transfer functions [
24]. Here, the transfer functions of converters are often represented by a two-port network [
25]. The Nyquist characteristics are used for verifying selected controller gains instead of searching for them. In such cases dedicated system criteria are used with the plots. The criteria such as the Middlebrook, the Gain Margin and Phase Margin (GMPM), the Opposing Argument (OA), Energy Source Analysis Consortium (ESAC) and the Maximum Peak Criterion (MPC) [
24] allow for formation of the forbidden regions within the Nyquist plots. The Nyquist plots are also used in the analysis of changes in selected parameters and interactions between the devices [
23]. Such an approach requires the analysis of many Nyquist plots. Then, on this basis, one can determine the minimum value of the selected system constraints. Consequently, it becomes quite a complex process.
The motivation to do this work was to use the
-decomposition technique and the GMPM system criteria to indicate output voltage controller gains of a known and relatively simplepower electronics circuit being a part of the cascaded system. Here, the boost converter seems to be a good candidate. This popular topology is often employed in industrial applications as a single PEC [
26] and as a part of a PES [
22,
24,
27]. It can also be a part of a more advanced reconfigurable circuit like one described in [
28] Despite of its simple topology, it represents a challenge in terms of the control because of its control-to-output transfer function right-half plane zero [
29]. Of course, such a topology in many applications also requires a current control loop or at least some sort of current limiting [
30].
This paper investigates the application of GMPM stability criteria combined with the -decomposition technique for series-connected two DC-DC boost converters. Each converter contains an LC input filter. Optimized design of the filters was not an objective of this research. For simplicity, the connection line between the converters was not taken into account. The proposed approach is based on small-signal modelling with major parasitic components taken into account. All the transfer functions have been confirmed in simulation by means of identification. The identified control-to-output voltage and control-to-input current transfer functions of the first converter have been verified experimentally. The provided mathematical formulas constitute a complete set of equations ready to be used with any other cascaded system consisting of two boost converters with input filters as subsystems. The controller gains selection path is shown step-by-step. It starts with individual converter gains selection before connecting them into one system. The obtained results are compared against the output converter performance with gains optimized by taking into account interactions at the system-level. The results undisputedly show need for interactions to be taken into account during the control tuning of a power electronics circuit connected to an existing power electronics circuit.
The key features of this article are:
intelligible indication of a path towards systematic design of PES control solutions based on an example of a two serial connected boost converters in the voltage mode control,
use of the -decomposition technique not only for the system-level stability boundaries calculation but also for indication of gains region fulfilling particular GMPM requirements.
The paper is organized in six sections. As an introduction, the reasons for this work are presented. In the next section, configuration of the PES has been presented, followed by details on the subsystem-level transfer functions. After that, the system-level dependencies are formulated. Once all the transfer functions are ready, the -decomposition technique is used for indication of suitable gains trajectories taking into account the GMPM criteria. The results are compared and discussed in this section. The conclusions are given in the last section.
2. Configuration of the PES Considered
For purpose of explanation a PES configutarion as shown in
Figure 1 was used. The 1st sub-circuit or sub-system,
, contains a passive
input filter with parameters listed in
Table 1. For simplicity, this is exactly the same as
. The filters are taken into account together with their basic parasitic components, such as the
and the
. They stand for the equivalent series resistances of the inductance and the capacitance, respectively. The remaining sub-systems,
and
, contain Boost converters as output voltage controlled PEC. Their parameters can bee seen in
Table 2. The
and
consist of the same components. Their output powers are
W. The only differences are the input voltages,
V and
V, and the output voltages,
V and
V, respectively. Parasitic components such as the esr and the esl were taken into account too. The converter was designed to operate at constant switching frequency,
kHz, in the Continuous Conduction Mode (CCM). The design relied on MATALB/Simulink environment. For simplicity, only the output voltages were controlled and without the output currents control. The closed loop voltage control relies on the standard structure shown in
Figure 2. Here, the low-pass filter in the feedback loop is omitted as its bandwidth was set away, 80 kHz, from the 20 kHz sampling frequency. In case of presence of the current control loop (as an inner loop), it would have to be tuned before the outer voltage controller. Then, after that, the voltage loop equations would be formulated taking into account the inner structure. This approach will be presented in a future article.
For simplicity, the system
shown in
Figure 1 does not take into account connecting line impedance between the
and the
. It assumes a direct connection between the systems.
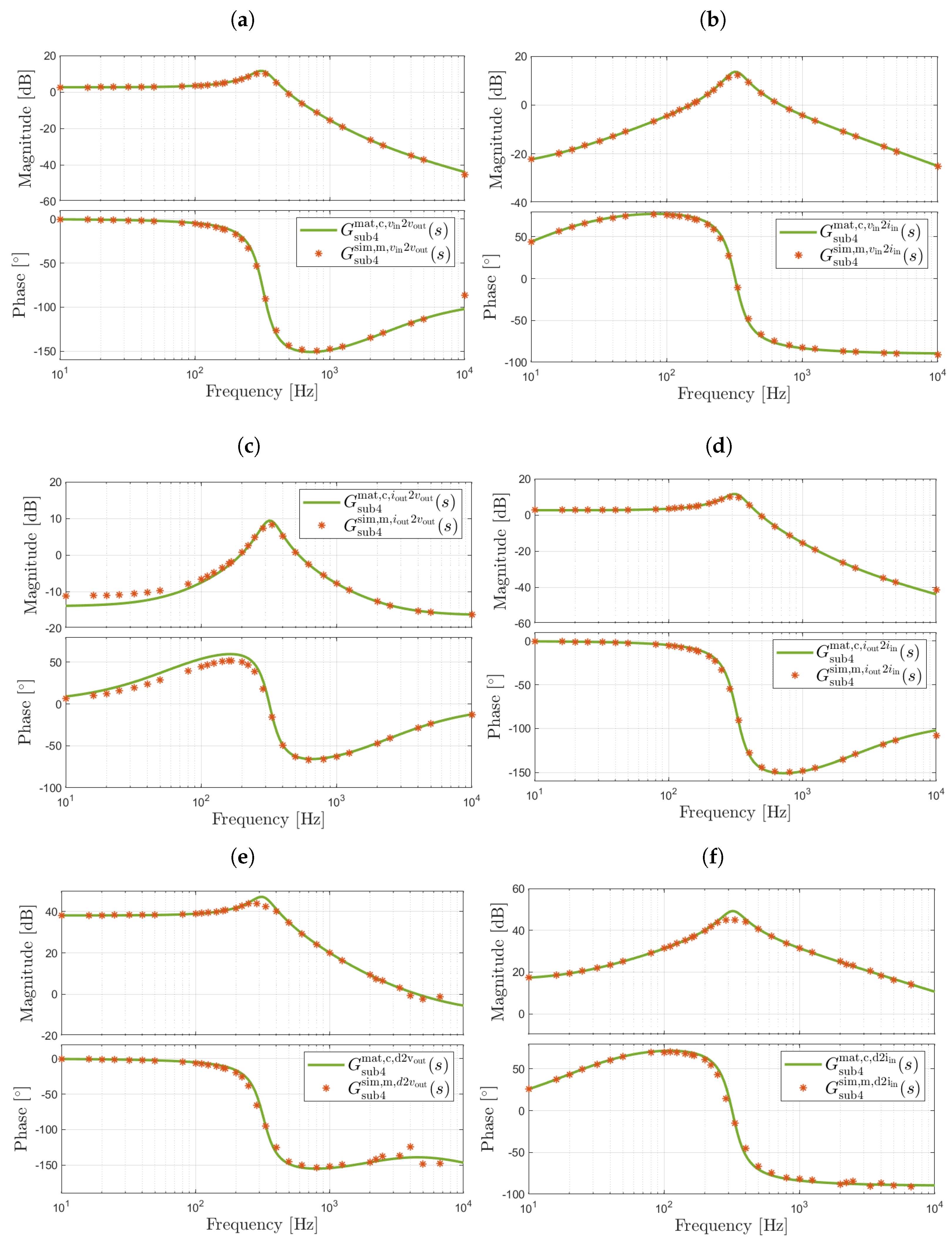
4. The System-Level Control Analysis
The system-level control design must take into account interactions between PEC and surrounding them passive or active circuits. Therefore different analytical approach is needed when compared to the single PEC control design procedure described in [
32]. The difference is located at stage of the input data preparation for the
-decomposition technique.
4.1. Selected Aspects of the Two-Port Network Theory for the System-Level Analysis
Foundation of the analysis relies on the well known two-port networks theory [
33]. In this particular case we use modified inverse hybrid equation:
where, in case of not controlled sub-systems (passive circuits), the parameters matrix contains transfer functions represented by Equations (
19)–(
22) in general and in this particular case by Equations (
23)–(
26) for
and by Equations (
27)–(
30) for
. The Equation (
31) in form of a block diagram can be seen in
Figure 7.
The passive two-port network shown in
Figure 7 must be extended by additional functional blocks if it is meant to be used with a controlled sub-systems, see
Figure 8. The extension takes into account the closed-loop voltage control mechanism. Apart from the voltage controller
and the plant control transfer functions, such as the control-to-output voltage
and the control-to-input current
, it contains
, representing time delays driven by the Pulse Width Modulation (PWM) and
, related to delays from the analog-to-digital (A2D) conversion.
Dependencies shown in
Figure 8 can be described by the following transfer functions:
The Equations (
32)–(
35) represent a set of equations associated with a two-port network containing closed-loop output voltage control. The Equations (
36) and (
37) are complementary ones taking into account the relations between perturbations in the voltage reference to the output voltage, Equation (
36), and to the input current, Equation (
37), of a single PEC. They are shown here for complete mathematical description of the
Figure 8. In case of having a properly built simulation model, the
and
analyses can be conducted in the simulation and the equations are rather not necessary. The fact that the denominators are the same in all the Equations (
32)–(
37) should be emphasized. This means that it is sufficient to investigate just one of them as the characteristic equation to make a judgment on the overall stability of a sub-circuit under control.
4.2. Mathematical Model of Two Systems Connected in Serial
If we wish to conduct an analysis of the serial connection of the two-port networks, or rather two sub-systems, it is necessary to construct another block diagram, as shown in
Figure 9. Here, we can see interactions between the two subsystems, e.g.,
and
, constituting a system, e.g.,
from
Figure 1. The output voltage and the current of the 1st sub-system are becoming the input voltage and the current of the 2nd sub-system. Of course the same is valid for the
consisting of the
and the
. Further, the
from
Figure 1 can be analysed analogically.
Relations, by means of the small signal perturbations, based on
Figure 9 can be described by following formulas:
where
part of the characteristic equation can be written as:
Equation (
42) depends on the input impedance of the
and input admittance of the
. It stands for description of so called the minor loop. It means that in such a case it is sufficient to know only two transfer functions: (i) the
represented by Equation (
33) in general or by Equation (
2) in considered Boost converter case and (ii) the
represented by Equation (
34) in general or by Equation (
3) in this case. Following a path of the general considerations, at level of the transmittances, the
can be written as:
Taking into account the compensator transfer function at the system level:
it can be expressed as a function of the compensator gains:
where:
Basing on Equations (
45)–(
48) and the values from
Table 1 and
Table 2 following three sets of the
parameters can be written.
For the :
Each of the A—parameters represents a set of mathematical operations which must be performed with certain precision in order to obtain satisfactory accuracy of the final solution. In case of some implementation on a digital signal processor, attention must be given to the precision of calculations. A priori to such implementation, an analysis of sensitivity must be conducted. In our case, this was not critical, since calculations were completed offline on a PC. We used 16 digits of precision, which has been proven to be sufficient.
For the
, the
can be also calculated according to Equation (
45) with modified indexes:
where:
Similarly, for the , being serial connection of the and the , the can be calculated and used for the calculation. They are not shown in this paper due to the complexity of the equations. Nevertheless, they have been easily managed in Matlab. Here, we assume that the gains and are fixed, and we are looking for new gains of the . The gains may be different from their values suitable while operating as a single PEC not connected to a system, and . In such a way, it emulates situation, such as that seen in a fixed system where we cannot adjust settings. We can only adjust the settings of the PEC being connected.
Before proceeding, it is noteworthy that the
coefficients expressed by Equations (
46)–(
48) can be described in the frequency domain as a general complex number:
Such a representation aids an understanding ’s contribution in the controller gains calculation formulas shown later in the paper. The obtained characteristic equation of two serial-connected sub-systems or systems can be further used for detailed analyses of the control solutions.
5. Designation of Desired Output Voltage Compensator Gains Boundaries at the System Level by Means of the -Decomposition Technique
At this stage, the Neimark’s
-decomposition technique [
13] can be used with the characteristic Equations (
45) and (
49), and the
for the (GSB) calculation of each system. Moreover, the required control margins can be applied in the controllers gains selection process.
In order to implement such control margins at a system level, it is necessary to apply appropriate constraints, which may be different from those applicable in the case of a single PEC [
18]. Nevertheless, in this article, the well-known and intuitive Gain Margin Phase Margin (GMPM) was used [
34].
Calculation of the system-level gains
and
with desired control margins was taken into account and can be conducted according to the calculation path shown in
Section 3 of [
32] or [
17,
18]. It leads to the following functions:
where:
Here, the
a and
b parameters can be understood as standing for the coordinates of an arbitrary point. The point is located in the complex plane where a polar plot type is located—this is the case when the Nyquist plot type is considered as a function of the pulsation
.By means of proper location of the arbitrary point (or points), we can shape the forbidden regions driven by the control requirements. In the case of searching for the GSB, the
and
must be used. Of course such an assumption significantly simplifies Equations (
51) and (
52). In addition to the two equations, an expression for the
hyperplane is required [
17,
18,
32]. This is related to the characteristic equation by means of the real zero at the origin of the
s-plane
. Its solution in this case leads to the following complementary criterion:
In short, it states that there is a cut off hyperplane at and therefore it is independent of the and the a and b.
5.1. The Global Stability Boundary of the
The GSB of the
, based on the Equations (
51)–(
54), can be seen in
Figure 10a. For comparison, there is also an equivalent Nyquist plot shown in
Figure 10b. For simplicity, the Nyquistplots are for frequency range
. Those remaining are simply mirror reflections. The advantage of the
-decomposition technique outcome becomes evident when results are compared. The results are clear. The grey area indicates the stable region with unambiguous indication of the border of stability depending on the gains values. The plots have three example gains sets marked by the colour dots. The dots are for different pulsations listed together with corresponding gains values in
Table 3. The table also contains the other values used over the course of this paper.
Based on the three selected gains sets for
, the voltages
and
in the
have been calculated, see
Figure 11. They are calculated with constant resistive load
. Here, the
input voltage was also at three different levels,
. It reflects an acceptable tolerance of the rated input voltage of
,
V
%, with negligible voltage droop across the
. The voltage at the filter output,
, shown in
Figure 11a, stands for the input voltage of the
. The
output voltage can be seen in
Figure 11b. The obtained results demonstrate undamped oscillations at the three different frequencies according to the pulsations
. Such results clearly indicate operation of the system at the GSB. Different sine–wave amplitudes at different input voltages for the same set of gains are related to the operating points at the constant load resistance. It can be noted that the sine–wave amplitudes are significantly different for each set of gains. The smallest is for the
, which is the highest pulsation and, therefore, is under the strongest low-pass filtering effect shown in
Figure 5 and
Figure 6.
The same GSB calculation procedure is applicable to the and , although we are more interested in gains which can guarantee particular dynamic properties.
5.2. Systam-Level Boundaries Driven by the GMPM Criterion
The gains boundaries calculated by means of the
-decomposition technique according to the GMPM criterion can be seen in
Figure 12. For the
, the Gain and the Phase margins were 20 dB and 70°, respectively. The calculated gains region (green colour) within the GSB (grey colour) can bee seen in
Figure 12a. The corresponding Nyquist plot is shown in
Figure 12b. Here, similarly to the data shown in
Figure 10, three different pulsations are considered,
according to
Table 3.
The same is shown for the
and the
in
Figure 12c,d and
Figure 12e,f, respectively. In the case of
, the Gain and Phase margins were 12.5 dB and 80°, respectively, and the gains points are at
from
Table 3. The
margins were 12.5 dB and
° and the gains points located at
from
Table 3.
A reduction of the margins was driven by the availability of the solutions. This can be visually recognized while comparing the green regions. As expected, the smallest one is for the case. The reduction between the and the operating independently comes from the fact that they are the same circuits working at different duty cycle steady-state operating points.
5.3. Mathematical Calculation Results for the , and
All the gains values calculated according to the pulsations
are listed in
Table 3. The corresponding results for
and
working independently can be seen in
Figure 13. They are calculated mathematically.
In the case of
, the gains at the highest pulsation
provide the best performance in terms of the output voltage overshoot,
, and the settling time,
ms,
Figure 13b. Therefore, these gains are used as fixed values during the
analysis, where
gains are adjusted.
In case of the
, the smallest output voltage overshoot,
, is offered by gains at
, although the shortest settling time,
ms, belongs to
, see
Figure 13d.
The situation appears to change when the
is considered, see
Figure 14. If we use the gains of
according to the
and
for
(selected for independent operation), the obtained results are unacceptable, see
Figure 14a,b. The results are to be compared with
Figure 13b,d, respectively. Therefore, new
gains have been selected according to guidelines from
Figure 12e. The obtained voltages can be seen in
Figure 14c,d. Here, one can see significant improvements. The smallest output voltage overshoot,
in
and
in
, is offered by gains at
. The settling times are
ms and
ms, respectively. The
is the highest pulsation and this, in such particular system configuration, could be considered as a gains selection guideline. Nevertheless, further research is to be conducted before such a guideline can be generalized.
5.4. Simulation Results for the
The mathematical results presented in the previous section have been confirmed in a simulation model. The model done in Simulink has been verified experimentally [
32]. Apart from the circuit components’ equivalent series resistances, this approachtakes into account non-linear effects of the switches with their
characteristics according to the components data sheet. It is also equipped with saturations of the controllers, 0–65%. The obtained results shown in
Figure 15 (can be compared with
Figure 14) confirm correctness of the mathematical modelling in a qualitative way when looking at the amplitudes. A good quantitative match can be seen for frequencies, especially when compensators operate in the linear range without saturation. The subtle differences in models contribute to less dumping in the simulation, although the overall dynamics picture is well preserved. The corresponding currents of the
can be seen in
Figure 16. Analysing these currents aids our understanding of the processes occurring PES during transients.
In both models, mathematical and simulation, the -decomposition technique merged with the GMPM criterion stands for an intuitive and precise means for control design of relatively small PES. The large PES approach, based on the mathematical system representation, may be a more efficient method from a computing time point of view.
6. Conclusions
The effectiveness of the -decomposition technique merged with the selected control margins for the PI compensators gains selection has been shown in this article. It has been performed at a power electronics system level with the controlled circuits’ passive filters included. The gains are calculated based on the GMPM criterion. Solutions are shown in an easy-to-interpret format as functions. They are inscribed into the global stability boundaries for better visualization.
The effectiveness is concerned with the selection of single circuit gains and optimization of gains in an additional circuit connected to the present circuit. The gains have been derived step-by-step to explicitly show dependencies between two cascaded systems. First, the two systems were tuned independently. After, optimisation of the gains of the output system was applied to the frozen gains of the input system. The obtained results clearly show the necessity for an overall system-level gains optimisation.
All work is based on mathematical and simulation modelling. Major parts of the simulation model have been verified experimentally. All necessary transfer functions are included and explained in the article.
The PES control design has been considered on the basis of two boost-converter PI output voltage regulators. At this stage of research, based on the obtained results, one initial recommendation for the output system gains selection could be formulated as follows: use gains located in the higher frequency range of the calculated region. Nevertheless, further tests and investigations are required before this general recommendation can be verified.