Management of Lignocellulosic Waste towards Energy Recovery by Pyrolysis in the Framework of Circular Economy Strategy
Abstract
:1. Introduction
2. Materials and Methods
2.1. Materials
2.2. Experimenatal Stand
2.3. Computer Calculations
3. Results
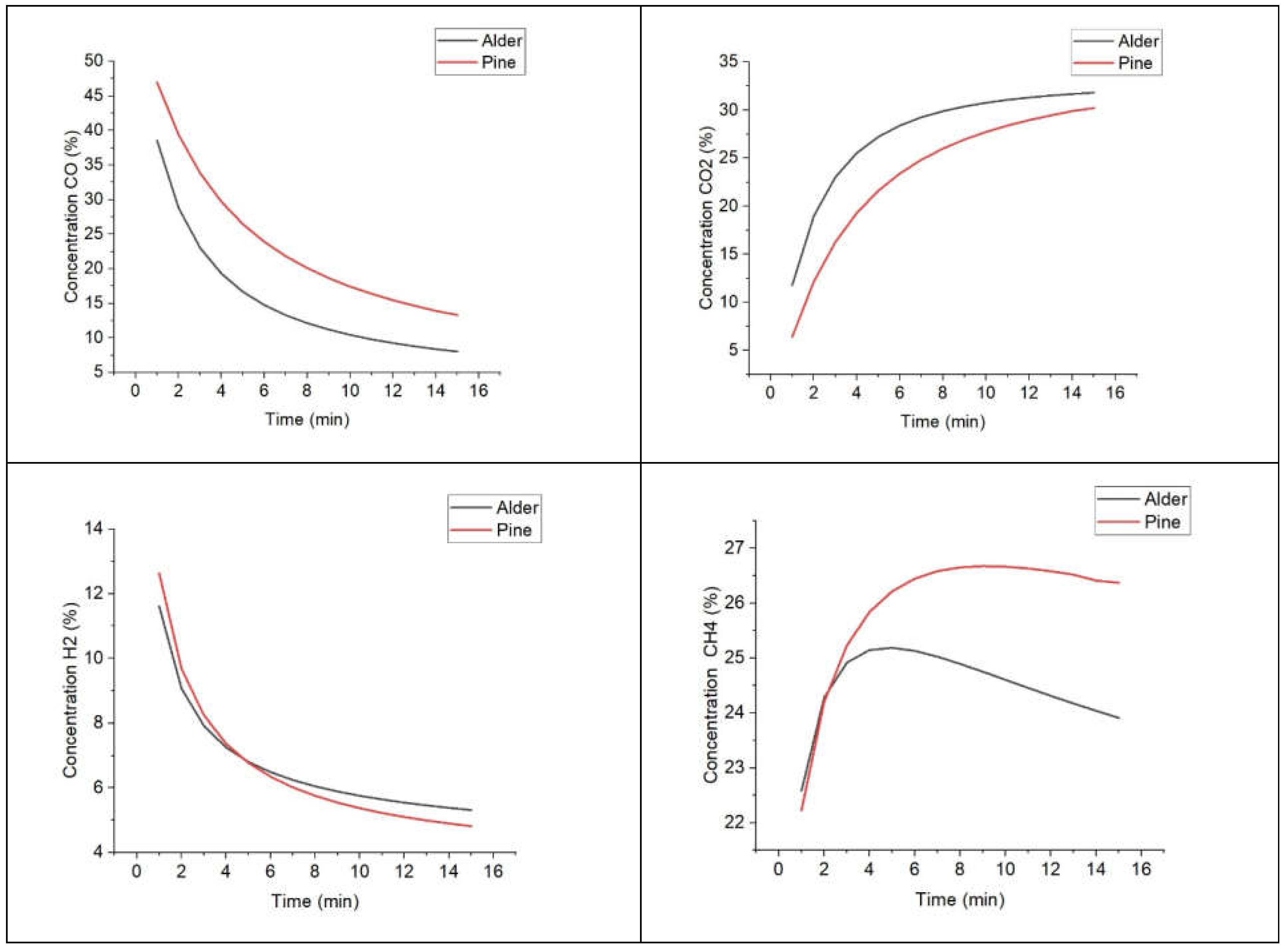
3.1. Experimental Results
3.2. Calculation Results
4. Discussion and Future Work
- The type of biomass (elemental composition, properties);
- The initial preparation of the raw material (fragmentation, particle size and shape, moisture and ash content);
- The conditions for the pyrolysis process (temperature, heating rate, residence time, pressure, and gas environment);
- Filtration and steam condensation (filter type, condensation method and medium, cooling rate).
5. Conclusions
- The pyrolysis process is one of the most promising technologies for the treatment of various types of waste, including lignocellulosic.
- The yield and quality of individual fractions depend on the properties of the lignocellulosic waste and the operating conditions of the process, in particular the temperature and residence time.
- Taking into account the complexity of chemical phenomena occurring during a thermal conversion of waste, including lignocellulosic waste, conducting laboratory tests alone does not allow for a thorough analysis and optimization of the process. Other problems include high costs, technical difficulties related to the collection of samples for testing, limited possibilities of control and measurement equipment, and time-consuming experimental research.
- Understanding and anticipating the above-mentioned processes are the key for further development of competitive technological solutions, aimed not only at minimizing negative environmental effects, but above all at reducing financial outlays.
- The use of the computational tool, which is ANSYS CHEMKIN-PRO software, made it possible to determine the detailed chemical composition of the pyrolysis gas for diversified process conditions, i.e., temperature and residence time.
- The results obtained during computer simulations made it possible to calculate the approximate calorific value of the pyrolysis gas, ranging from 20.61 to 25.19 MJ/m3. The high calorific value of gas encourages its wider use in both the heating and steel industries
- The computer simulations carried out have shown, for both pine wood and alder wood, that with appropriate process conditions it is possible to obtain gaseous products that are valuable in terms of energy.
- The main product in the pyrolysis process was the liquid fraction—bio-oil, and its share was 56.2% for the pine wood and 60.38% for the alder wood. In turn, the solid (char) and gaseous (pyrolysis gas) fractions were comparable and amounted to approx. 20%.
- The conducted experimental studies showed a high yield of pyrolysis liquid, which can be a substitute for petroleum-derived fuels; however, the effective use of bio-oils in the field of liquid fuels requires the knowledge of highly differentiated properties of biomass.
- The gas from the pyrolysis of the lignocellulosic waste can be co-combusted with the natural gas, which will contribute to its lower consumption. The aforementioned facts show that the pyrolysis gas can be an excellent alternative to conventional fuels, while at the same time contributing to the increasing level of environmental protection and can play an important role of biomass in the circular economy.
Author Contributions
Funding
Data Availability Statement
Conflicts of Interest
References
- Kowalczyk, Ł.; Elsner, W.; Niegodajew, P.; Marek, M. Gradient-free methods applied to optimisation of advanced ultra-supercritical power plant. Appl. Therm. Eng. 2016, 96, 200–208. [Google Scholar] [CrossRef]
- Hruška, M.; Variny, M.; Haydary, J.; Janošovský, J. Sulfur recovery from syngas in pulp mills with integrated black liquor gasification. Forests 2020, 11, 1173. [Google Scholar] [CrossRef]
- Dyrstad, J.M.; Skonhoft, A.; Christensen, M.Q.; Ødegaard, E.T. Does economic growth eat up environmental improvements? Electricity production and fossil fuel emission in OECD countries 1980–2014. Energy Policy 2019, 125, 103–109. [Google Scholar] [CrossRef]
- Thakur, A.; Kumari, S.; Sinai Borker, S.; Prashant, S.P.; Kumar, A.; Kumar, R. Solid Waste Management in Indian Himalayan Region: Current Scenario, Resource Recovery, and Way Forward for Sustainable Development. Front. Energy Res. 2021, 9, 1–18. [Google Scholar] [CrossRef]
- Sharma, H.B.; Panigrahi, S.; Sarmah, A.K.; Dubey, B.K. Downstream augmentation of hydrothermal carbonization with anaerobic digestion for integrated biogas and hydrochar production from the organic fraction of municipal solid waste: A circular economy concept. Sci. Total Environ. 2020, 706, 135907. [Google Scholar] [CrossRef]
- Variny, M. A study on black liquor gasification technology efficiency compared to the traditional kraft boilers technology. In Proceedings of the 18th International Scientific Conference, Kouty nad Desnou, Czech Republic, 17–19 May 2017; pp. 1–6. [Google Scholar]
- Lukáč, L.; Rimár, M.; Variny, M.; Kizek, J.; Lukáč, P.; Jablonskỳ, G.; Janošovskỳ, J.; Fedák, M. Experimental investigation of primary de-NOx methods application effects on NOx and CO emissions from a small-scale furnace. Processes 2020, 8, 940. [Google Scholar] [CrossRef]
- Lukáč, L.; Kizek, J.; Jablonský, G.; Karakash, Y. Defining the Mathematical Dependencies of NOx and CO Emission Generation after Biomass Combustion in Low-Power Boiler. Civ. Environ. Eng. Rep. 2019, 29, 153–163. [Google Scholar] [CrossRef] [Green Version]
- Mlonka-Mędrala, A.; Evangelopoulos, P.; Sieradzka, M.; Zajemska, M.; Magdziarz, A. Pyrolysis of agricultural waste biomass towards production of gas fuel and high-quality char: Experimental and numerical investigations. Fuel 2021, 296, 120611. [Google Scholar] [CrossRef]
- Iwaszko, J.; Zajemska, M.; Zawada, A.; Szwaja, S.; Poskart, A. Vitrification of environmentally harmful by-products from biomass torrefaction process. J. Clean. Prod. 2020, 249, 119427. [Google Scholar] [CrossRef]
- Sieradzka, M.; Rajca, P.; Zajemska, M.; Mlonka-Mędrala, A.; Magdziarz, A. Prediction of gaseous products from refuse derived fuel pyrolysis using chemical modelling software-Ansys Chemkin-Pro. J. Clean. Prod. 2020, 248, 119277. [Google Scholar] [CrossRef]
- Szwaja, S.; Poskart, A.; Zajemska, M.; Szwaja, M. Theoretical and experimental analysis on co-gasification of sewage sludge with energetic crops. Energies 2019, 12, 1750. [Google Scholar] [CrossRef] [Green Version]
- Ng, K.S.; Phan, A.N. Evaluating the Techno-economic Potential of an Integrated Material Recovery and Waste-to-Hydrogen System. Resour. Conserv. Recycl. 2021, 167, 105392. [Google Scholar] [CrossRef]
- Szwaja, S.; Poskart, A.; Zajemska, M. A new approach for evaluating biochar quality from Virginia Mallow biomass thermal processing. J. Clean. Prod. 2019, 214, 356–364. [Google Scholar] [CrossRef]
- Gao, N.; Chen, C.; Magdziarz, A.; Zhang, L.; Quan, C. Modeling and simulation of pine sawdust gasification considering gas mixture reflux. J. Anal. Appl. Pyrolysis 2021, 155, 105094. [Google Scholar] [CrossRef]
- Thamizhvel, R.; Suryavarman, K.; Velmurugan, V.; Sethuraman, N. Comparative study of gasification and pyrolysis derived from coconut shell on the performance and emission of CI engine. Mater. Today Proc. 2021. [Google Scholar] [CrossRef]
- Ślefarski, R.; Jójka, J.; Czyżewski, P.; Gołębiewski, M.; Jankowski, R.; Markowski, J.; Magdziarz, A. Experimental and Numerical-Driven Prediction of Automotive Shredder Residue Pyrolysis Pathways toward Gaseous Products. Energies 2021, 14, 1779. [Google Scholar] [CrossRef]
- Wang, S.; Dai, G.; Yang, H.; Luo, Z. Lignocellulosic biomass pyrolysis mechanism: A state-of-the-art review. Prog. Energy Combust. Sci. 2017, 62, 33–86. [Google Scholar] [CrossRef]
- Rajesh Banu, J.; Preethi; Kavitha, S.; Tyagi, V.K.; Gunasekaran, M.; Karthikeyan, O.P.; Kumar, G. Lignocellulosic biomass based biorefinery: A successful platform towards circular bioeconomy. Fuel 2021, 302, 121086. [Google Scholar] [CrossRef]
- Elsner, W.; Wysocki, M.; Niegodajew, P.; Borecki, R. Experimental and economic study of small-scale CHP installation equipped with downdraft gasifier and internal combustion engine. Appl. Energy 2017, 202, 213–227. [Google Scholar] [CrossRef]
- Ojha, D.K.; Viju, D.; Vinu, R. Fast pyrolysis kinetics of lignocellulosic biomass of varying compositions. Energy Convers. Manag. X 2021, 10, 100071. [Google Scholar] [CrossRef]
- Qian, E.W. Pretreatment and Saccharification of Lignocellulosic Biomass. In Research Approaches to Sustainable Biomass Systems; Elsevier: Amsterdam, The Netherlands, 2013; pp. 181–204. ISBN 9780124046092. [Google Scholar]
- Kim, J.Y.; Lee, H.W.; Lee, S.M.; Jae, J.; Park, Y.K. Overview of the recent advances in lignocellulose liquefaction for producing biofuels, bio-based materials and chemicals. Bioresour. Technol. 2019, 279, 373–384. [Google Scholar] [CrossRef]
- Zhang, L.; Yang, Z.; Li, S.; Wang, X.; Lin, R. Comparative study on the two-step pyrolysis of different lignocellulosic biomass: Effects of components. J. Anal. Appl. Pyrolysis 2020, 152, 104966. [Google Scholar] [CrossRef]
- Liang, J.; Shan, G.; Sun, Y. Catalytic fast pyrolysis of lignocellulosic biomass: Critical role of zeolite catalysts. Renew. Sustain. Energy Rev. 2021, 139, 110707. [Google Scholar] [CrossRef]
- Jerzak, W.; Bieniek, A.; Magdziarz, A. Multifaceted analysis of products from the intermediate co-pyrolysis of biomass with Tetra Pak waste. Int. J. Hydrogen Energy 2021. [Google Scholar] [CrossRef]
- Kapoor, R.; Ghosh, P.; Kumar, M.; Sengupta, S.; Gupta, A.; Kumar, S.S.; Vijay, V.; Kumar, V.; Kumar Vijay, V.; Pant, D. Valorization of agricultural waste for biogas based circular economy in India: A research outlook. Bioresour. Technol. 2020, 304, 123036. [Google Scholar] [CrossRef]
- Cai, W.; Luo, Z.; Zhou, J.; Wang, Q. A review on the selection of raw materials and reactors for biomass fast pyrolysis in China. Fuel Process. Technol. 2021, 221, 106919. [Google Scholar] [CrossRef]
- Jjagwe, J.; Olupot, P.W.; Menya, E.; Kalibbala, H.M. Synthesis and application of Granular activated carbon from biomass waste materials for water treatment: A review. J. Bioresour. Bioprod. 2021. [Google Scholar] [CrossRef]
- Nunez Manzano, M.; Gonzalez Quiroga, A.; Perreault, P.; Madanikashani, S.; Vandewalle, L.A.; Marin, G.B.; Heynderickx, G.J.; Van Geem, K.M. Biomass fast pyrolysis in an innovative gas-solid vortex reactor: Experimental proof of concept. J. Anal. Appl. Pyrolysis 2021, 156, 105165. [Google Scholar] [CrossRef]
- Lin, C.Y.; Lu, C. Development perspectives of promising lignocellulose feedstocks for production of advanced generation biofuels: A review. Renew. Sustain. Energy Rev. 2021, 136, 110445. [Google Scholar] [CrossRef]
- Pang, Y.X.; Yan, Y.; Foo, D.C.Y.; Sharmin, N.; Zhao, H.; Lester, E.; Wu, T.; Pang, C.H. The Influence of Lignocellulose on Biomass Pyrolysis Product Distribution and Economics via Steady State Process Simulation. J. Anal. Appl. Pyrolysis 2020, 158, 104968. [Google Scholar] [CrossRef]
- Kan, T.; Strezov, V.; Evans, T.J. Lignocellulosic biomass pyrolysis: A review of product properties and effects of pyrolysis parameters. Renew. Sustain. Energy Rev. 2016, 57, 1126–1140. [Google Scholar] [CrossRef]
- Sun, C.; Li, W.; Chen, X.; Li, C.; Tan, H.; Zhang, Y. Synergistic interactions for saving energy and promoting the co-pyrolysis of polylactic acid and wood flour. Renew. Energy 2021, 171, 254–265. [Google Scholar] [CrossRef]
- Jagodzińska, K.; Zaini, I.N.; Svanberg, R.; Yang, W.; Jönsson, P.G. Pyrolysis of excavated waste from landfill mining: Characterisation of the process products. J. Clean. Prod. 2021, 279, 123541. [Google Scholar] [CrossRef]
- Bridgwater, A.V. Review of fast pyrolysis of biomass and product upgrading. Biomass Bioenergy 2012, 38, 68–94. [Google Scholar] [CrossRef]
- Ong, H.C.; Chen, W.H.; Singh, Y.; Gan, Y.Y.; Chen, C.Y.; Show, P.L. A state-of-the-art review on thermochemical conversion of biomass for biofuel production: A TG-FTIR approach. Energy Convers. Manag. 2020, 209, 112634. [Google Scholar] [CrossRef]
- Qureshi, K.M.; Kay Lup, A.N.; Khan, S.; Abnisa, F.; Wan Daud, W.M.A. Optimization of palm shell pyrolysis parameters in helical screw fluidized bed reactor: Effect of particle size, pyrolysis time and vapor residence time. Clean. Eng. Technol. 2021, 4, 100174. [Google Scholar] [CrossRef]
- Pan, L.; Dai, F.; Pei, S.; Huang, J.; Liu, S. Influence of particle size and temperature on the yield and composition of products from the pyrolysis of Jimsar (China) oil shale. J. Anal. Appl. Pyrolysis 2021, 157, 105211. [Google Scholar] [CrossRef]
- Deng, B.; Yuan, X.; Siemann, E.; Wang, S.; Fang, H.; Wang, B.; Gao, Y.; Shad, N.; Liu, X.; Zhang, W.; et al. Feedstock particle size and pyrolysis temperature regulate effects of biochar on soil nitrous oxide and carbon dioxide emissions. Waste Manag. 2021, 120, 33–40. [Google Scholar] [CrossRef]
- Ronsse, F.; van Hecke, S.; Dickinson, D.; Prins, W. Production and characterization of slow pyrolysis biochar: Influence of feedstock type and pyrolysis conditions. GCB Bioenergy 2013, 5, 104–115. [Google Scholar] [CrossRef]
- Phan, A.N.; Ryu, C.; Sharifi, V.N.; Swithenbank, J. Characterisation of slow pyrolysis products from segregated wastes for energy production. J. Anal. Appl. Pyrolysis 2008, 81, 65–71. [Google Scholar] [CrossRef]
- Goyal, H.B.; Seal, D.; Saxena, R.C. Bio-fuels from thermochemical conversion of renewable resources: A review. Renew. Sustain. Energy Rev. 2008, 12, 504–517. [Google Scholar] [CrossRef]
- Sherwood, J. The significance of biomass in a circular economy. Bioresour. Technol. 2020, 300, 122755. [Google Scholar] [CrossRef]
- Chew, K.W.; Chia, S.R.; Chia, W.Y.; Cheah, W.Y.; Munawaroh, H.S.H.; Ong, W.J. Abatement of hazardous materials and biomass waste via pyrolysis and co-pyrolysis for environmental sustainability and circular economy. Environ. Pollut. 2021, 278, 116836. [Google Scholar] [CrossRef]
- Kulczycka, J. Gospodarka o Obiegu Zamkniętym w Praktyce; Wydawnictwo IGSMiE PAN: Krakow, Poland, 2019; ISBN 9788395554452. [Google Scholar]
- Kirchherr, J.; Reike, D.; Hekkert, M. Conceptualizing the circular economy: An analysis of 114 definitions. Resour. Conserv. Recycl. 2017, 127, 221–232. [Google Scholar] [CrossRef]
- Jagodzińska, K.; Garcia-Lopez, C.; Yang, W.; Jönsson, P.G.; Pretz, T.; Raulf, K. Characterisation of excavated landfill waste fractions to evaluate the energy recovery potential using Py-GC/MS and ICP techniques. Resour. Conserv. Recycl. 2021, 168, 105446. [Google Scholar] [CrossRef]
- Arnold, S.; Moss, K.; Henkel, M.; Hausmann, R. Biotechnological Perspectives of Pyrolysis Oil for a Bio-Based Economy. Trends Biotechnol. 2017, 35, 925–936. [Google Scholar] [CrossRef] [PubMed]
- Yu, S.; Sun, J.; Shi, Y.; Wang, Q.; Wu, J.; Liu, J. Nanocellulose from various biomass wastes: Its preparation and potential usages towards the high value-added products. Environ. Sci. Ecotechnology 2021, 5, 100077. [Google Scholar] [CrossRef]
- Awasthi, M.K.; Sarsaiya, S.; Patel, A.; Juneja, A.; Singh, R.P.; Yan, B.; Awasthi, S.K.; Jain, A.; Liu, T.; Duan, Y.; et al. Refining biomass residues for sustainable energy and bio-products: An assessment of technology, its importance, and strategic applications in circular bio-economy. Renew. Sustain. Energy Rev. 2020, 127, 109876. [Google Scholar] [CrossRef]
- Arevalo-Gallegos, A.; Ahmad, Z.; Asgher, M.; Parra-Saldivar, R.; Iqbal, H.M.N. Lignocellulose: A sustainable material to produce value-added products with a zero waste approach—A review. Int. J. Biol. Macromol. 2017, 99, 308–318. [Google Scholar] [CrossRef] [PubMed]
- Iakovou, E.; Karagiannidis, A.; Vlachos, D.; Toka, A.; Malamakis, A. Waste biomass-to-energy supply chain management: A critical synthesis. Waste Manag. 2010, 30, 1860–1870. [Google Scholar] [CrossRef]
- Rajca, P.; Poskart, A.; Chrubasik, M.; Sajdak, M.; Zajemska, M.; Skibiński, A.; Korombel, A. Technological and economic aspect of Refuse Derived Fuel pyrolysis. Renew. Energy 2020, 161, 482–494. [Google Scholar] [CrossRef]
- Faravelli, T.; Frassoldati, A.; Migliavacca, G.; Ranzi, E. Detailed kinetic modeling of the thermal degradation of lignins. Biomass Bioenergy 2010, 34, 290–301. [Google Scholar] [CrossRef]
- Ranzi, E.; Cuoci, A.; Faravelli, T.; Frassoldati, A.; Migliavacca, G.; Pierucci, S.; Sommariva, S. Chemical Kinetics of Biomass Pyrolysis. Energy Fuels 2008, 22, 4292–4300. [Google Scholar] [CrossRef]
- Ranzi, E.; Pierucci, S.; Aliprandi, P.C.; Stringa, S. Comprehensive and detailed kinetic model of a traveling grate combustor of biomass. Energy Fuels 2011, 25, 4195–4205. [Google Scholar] [CrossRef]
- An, S.; Jung, J.C. Kinetic modeling of thermal reactor in Claus process using CHEMKIN-PRO software. Case Stud. Therm. Eng. 2020, 21, 100694. [Google Scholar] [CrossRef]
- Hubble, A.H.; Goldfarb, J.L. Synergistic effects of biomass building blocks on pyrolysis gas and bio-oil formation. J. Anal. Appl. Pyrolysis 2021, 156, 105100. [Google Scholar] [CrossRef]
- Sun, H.; Feng, D.; Sun, S.; Zhao, Y.; Zhang, L.; Chang, G.; Guo, Q.; Wu, J.; Qin, Y. Thermal evolution of gas-liquid-solid products and migration regulation of C/H/O elements during biomass pyrolysis. J. Anal. Appl. Pyrolysis 2021, 156, 105128. [Google Scholar] [CrossRef]
- Garcia-perez, M.; Shen, J.; Shan, X.; Li, C. Production and fuel properties of fast pyrolysis oil/bio-diesel blends. Fuel Process. Technol. 2010, 91, 296–305. [Google Scholar] [CrossRef]
- Fan, L.; Zhang, Y.; Liu, S.; Zhou, N.; Chen, P.; Cheng, Y.; Addy, M.; Lu, Q.; Omar, M.M.; Liu, Y.; et al. Bio-oil from fast pyrolysis of lignin: Effects of process and upgrading parameters. Bioresour. Technol. 2017, 241, 1118–1126. [Google Scholar] [CrossRef]
- Özbay, G.; Pekgözlü, A.K.; Ozcifci, A. The effect of heat treatment on bio-oil properties obtained from pyrolysis of wood sawdust. Eur. J. Wood Wood Prod. 2015, 73, 507–514. [Google Scholar] [CrossRef]
- Yan, M.; Zhang, S.; Wibowo, H.; Grisdanurak, N.; Cai, Y.; Zhou, X.; Kanchanatip, E. Antoni Biochar and pyrolytic gas properties from pyrolysis of simulated municipal solid waste (SMSW) under pyrolytic gas atmosphere. Waste Dispos. Sustain. Energy 2020, 2, 37–46. [Google Scholar] [CrossRef] [Green Version]
- Czajczyńska, D.; Nannou, T.; Anguilano, L.; Krzyzyńska, R.; Ghazal, H.; Spencer, N.; Jouhara, H. Potentials of pyrolysis processes in the waste management sector. Energy Procedia 2017, 123, 387–394. [Google Scholar] [CrossRef]
- Martínez, J.D.; Puy, N.; Murillo, R.; García, T.; Navarro, M.V.; Mastral, A.M. Waste tyre pyrolysis-A review. Renew. Sustain. Energy Rev. 2013, 23, 179–213. [Google Scholar] [CrossRef]
- Win, M.M.; Asari, M.; Hayakawa, R.; Hosoda, H.; Yano, J.; Sakai, S.I. Gas and tar generation behavior during flash pyrolysis of wood pellet and plastic. J. Mater. Cycles Waste Manag. 2020, 22, 547–555. [Google Scholar] [CrossRef]
- Singh, R.K.; Ruj, B. Time and temperature depended fuel gas generation from pyrolysis of real world municipal plastic waste. Fuel 2016, 174, 164–171. [Google Scholar] [CrossRef]
- Jun, Z.; Shuzhong, W.; Zhiqiang, W.; Haiyu, M.; Lin, C. Hydrogen-rich syngas produced from the co-pyrolysis of municipal solid waste and wheat straw. Int. J. Hydrogen Energy 2017, 42, 19701–19708. [Google Scholar] [CrossRef]
- Daouk, E.; Sani, R.; Pham Minh, D.; Nzihou, A. Thermo-conversion of Solid Recovered Fuels under inert and oxidative atmospheres: Gas composition and chlorine distribution. Fuel 2018, 225, 54–61. [Google Scholar] [CrossRef] [Green Version]
- Bosmans, A.; Vanderreydt, I.; Geysen, D.; Helsen, L. The crucial role of Waste-to-Energy technologies in enhanced land fi ll mining: A technology review. J. Clean. Prod. 2013, 55, 10–23. [Google Scholar] [CrossRef] [Green Version]
- Kataki, R.; Bordoloi, N.J.; Saikia, R.; Sut, D.; Narzari, R.; Gogoi, L.; Bhuyan, N. Waste Valorization to Fuel and Chemicals Through Pyrolysis: Technology, Feedstock, Products, and Economic Analysis. In Waste to Wealth; Springer: Berlin/Heidelberg, Germany, 2018; pp. 477–514. ISBN 9789811074318. [Google Scholar]
- Ouadi, M.; Jaeger, N.; Greenhalf, C.; Santos, J.; Conti, R.; Hornung, A. Thermo-Catalytic Reforming of municipal solid waste. Waste Manag. 2017, 68, 198–206. [Google Scholar] [CrossRef]
- Miskolczi, N.; Borsodi, N.; Buyong, F.; Angyal, A.; Williams, P.T. Production of pyrolytic oils by catalytic pyrolysis of Malaysian refuse-derived fuels in continuously stirred batch reactor. Fuel Process. Technol. 2011, 92, 925–932. [Google Scholar] [CrossRef]
- Miskolczi, N.; Ateş, F.; Borsodi, N. Comparison of real waste (MSW and MPW) pyrolysis in batch reactor over different catalysts. Part II: Contaminants, char and pyrolysis oil properties. Bioresour. Technol. 2013, 144, 370–379. [Google Scholar] [CrossRef]
- Wang, N.; Chen, D.; Arena, U.; He, P. Hot char-catalytic reforming of volatiles from MSW pyrolysis. Appl. Energy 2017, 191, 111–124. [Google Scholar] [CrossRef]
- Efika, E.C.; Onwudili, J.A.; Williams, P.T. Products from the high temperature pyrolysis of RDF at slow and rapid heating rates. J. Anal. Appl. Pyrolysis 2015, 112, 14–22. [Google Scholar] [CrossRef]
- Kumar, A.; Samadder, S.R. A review on technological options of waste to energy for effective management of municipal solid waste. Waste Manag. 2017, 69, 407–422. [Google Scholar] [CrossRef]
- Sari, A.; Toklu, E. Investigation of the effect of municipal solid waste fragmentation to gaseous formation. J. Eng. Res. Appl. Sci. 2019, 8, 1238–1247. [Google Scholar]
- Qiang, L.; Wen-zhi, L.; Xi-feng, Z. Overview of fuel properties of biomass fast pyrolysis oils. Energy Convers. Manag. 2009, 50, 1376–1383. [Google Scholar] [CrossRef]
- Hu, M.; Guo, D.; Ma, C.; Hu, Z.; Zhang, B.; Xiao, B.; Luo, S.; Wang, J. Hydrogen-rich gas production by the gasification of wet MSW (municipal solid waste) coupled with carbon dioxide capture. Energy 2015, 90, 857–863. [Google Scholar] [CrossRef]
- Zajemska, M.; Poskart, A. Prediction of the chemical composition of combustion products in metallurgical reheating furnaces by use of numerical methods. Metall. Ital. 2013, 105, 1–11. [Google Scholar]
- Zajemska, M.; Poskart, A. Możliwości zastosowania metod numerycznych do przewidywania i ograniczania emisji zanieczyszczeń z instalacji spalania stosowanych w przemyśle chemicznym i rafineryjnym. Przem. Chem. 2013, 92, 357–361. [Google Scholar]










| Parameter | Pine Wood | Alder Wood | |
|---|---|---|---|
| Sample’s view | unit | ![]() | ![]() |
| Moisture content—W a | Wt% | 3.13 ± 0.1 | 4.5 ± 0.1 |
| Ash content—A a | 1.58 ± 0.2 | 1.3 ± 0.2 | |
| Volatile matter content—V a | 81.5 ± 0.45 | 87.55 ± 0.45 | |
| Carbon content—Ct a | 49.5 ± 0.6 | 47.5 ± 0.6 | |
| Hydrogen content—Ht a | 6.43 ± 0.32 | 6.37 ± 0.32 | |
| Nitrogen content—N a | 0.07 ± 0.01 | 0.29 ± 0.01 | |
| Sulfur content—St a | 0.06 ± 0.01 | 0.15 ± 0.01 | |
| Oxygen content—Ot a | 42.99 ± 0.82 | 40.85 ± 0.82 | |
| Heat of combustion—HHV | MJ/kg | 20.22 ± 0.20 | 19.62 ± 0.20 |
| Cellulose | 41.75 ± 1.5 | 35.45 ± 1.5 | |
| Hemicellulose | Wt% | 25.29 ± 0.6 | 28.30 ± 0.6 |
| Lignin | 22.79 ± 0.4 | 26.45 ± 0.4 |
| Alder Wood | Pine Wood | |
|---|---|---|
| Product Yield [wt%] | ||
| Char | 20.56 ± 0.2 | 23.6 ± 0.2 |
| Bio-oil | 60.38 ± 0.2 | 56.2 ± 0.2 |
| Pyrolytic gas | 19.06 ± 0.5 | 20.2 ± 0.5 |
| Char Ultimate and Proximate Analysis [wt%] | ||
| C | 88.13 ± 0.60 | 90.86 ± 0.60 |
| H | 2.71 ± 0.32 | 2.27 ± 0.32 |
| N | 1.16 ± 0.01 | 0.34 ± 0.01 |
| S | 0.51 ± 0.01 | 0.11 ± 0.01 |
| O | 6.34 ± 0.82 | 3.31 ± 0.82 |
| HHV [MJ/kg] | 33.56 ± 0.20 | 33.71 ± 0.20 |
| Moisture | 1.15 ± 0.10 | 3.11 ± 0.10 |
| Ash | 1.53 ± 0.20 | 1.53 ± 0.20 |
| Volatile matter | 8.67 ± 0.45 | 5.57 ± 0.45 |
| Elemental Analysis of Pyrolysis Gas [mol%] in Airless State | ||
| H2 | 7.86 ± 0.43 | 8.71 ± 0.43 |
| CO2 | 41.52 ± 0.30 | 34.75 ± 0.30 |
| CO | 33.41 ± 0.15 | 31.25 ± 0.15 |
| CH4 | 14.9 ± 0.4 | 22.48 ± 0.4 |
| C2H4 | 0.6 ± 0.1 | 0.63 ± 0.1 |
| C2H6 | 1.05 ± 0.2 | 1.34 ± 0.2 |
| C3H6 | 0.33 ± 0.03 | 0.43 ± 0.03 |
| C3H8 | 0.25 ± 0.02 | 0.31 ± 0.02 |
| C4H10 | 0.04 ± 0.01 | 0.04 ± 0.01 |
| C5H12 | 0.04 ± 0.01 | 0.06 ± 0.01 |
| HHV [MJ/m3] | 16.18 ± 0.40 | 12.94 ± 0.40 |
| Elemental Analysis of Bio-Oil [wt%] | ||
| C | 54.33 ± 0.60 | 57.95 ± 0.60 |
| H | 10.45 ± 0.32 | 6.98 ± 0.32 |
| N | 0.41 ± 0.01 | 0.12 ± 0.01 |
| S | 0.08 ± 0.01 | 0.08 ± 0.01 |
| O | 34.73 ± 0.20 | 34.87 ± 0.20 |
| HHV [MJ/kg] | 26.51 ± 0.20 | 24.81 ± 0.20 |
| Moisture [wt%] | 48.44 ± 0.10 | 38.78 ± 0.10 |
Publisher’s Note: MDPI stays neutral with regard to jurisdictional claims in published maps and institutional affiliations. |
© 2021 by the authors. Licensee MDPI, Basel, Switzerland. This article is an open access article distributed under the terms and conditions of the Creative Commons Attribution (CC BY) license (https://creativecommons.org/licenses/by/4.0/).
Share and Cite
Poskart, A.; Skrzyniarz, M.; Sajdak, M.; Zajemska, M.; Skibiński, A. Management of Lignocellulosic Waste towards Energy Recovery by Pyrolysis in the Framework of Circular Economy Strategy. Energies 2021, 14, 5864. https://doi.org/10.3390/en14185864
Poskart A, Skrzyniarz M, Sajdak M, Zajemska M, Skibiński A. Management of Lignocellulosic Waste towards Energy Recovery by Pyrolysis in the Framework of Circular Economy Strategy. Energies. 2021; 14(18):5864. https://doi.org/10.3390/en14185864
Chicago/Turabian StylePoskart, Anna, Magdalena Skrzyniarz, Marcin Sajdak, Monika Zajemska, and Andrzej Skibiński. 2021. "Management of Lignocellulosic Waste towards Energy Recovery by Pyrolysis in the Framework of Circular Economy Strategy" Energies 14, no. 18: 5864. https://doi.org/10.3390/en14185864
APA StylePoskart, A., Skrzyniarz, M., Sajdak, M., Zajemska, M., & Skibiński, A. (2021). Management of Lignocellulosic Waste towards Energy Recovery by Pyrolysis in the Framework of Circular Economy Strategy. Energies, 14(18), 5864. https://doi.org/10.3390/en14185864



