Design and Energy Performance Analysis of a Hotel Building in a Hot and Dry Climate: A Case Study
Abstract
:1. Introduction
- (1)
- To optimize thermodynamic properties of a hotel’s building envelope and compare the resultant performance with the baseline model configured as per ASHRAE 90.1.
- (2)
- To investigate the extent to which PV panels, PCMs, and thermochromic windows can improve the energy efficiency of a hotel and subsequently check their economic feasibility.
2. Methodology
Development of the Building Energy Model
- Individual control and a separate air conditioning unit are needed for each hotel room
- The hotel comprises many small rooms and is located in a relatively moderate climate
- The surface area of the building is relatively large and thus different sides of the building may experience different air conditioning needs.
3. Results and Discussions
3.1. Building Envelope
3.2. Window-to-Wall Ratio
3.3. Building Orientation
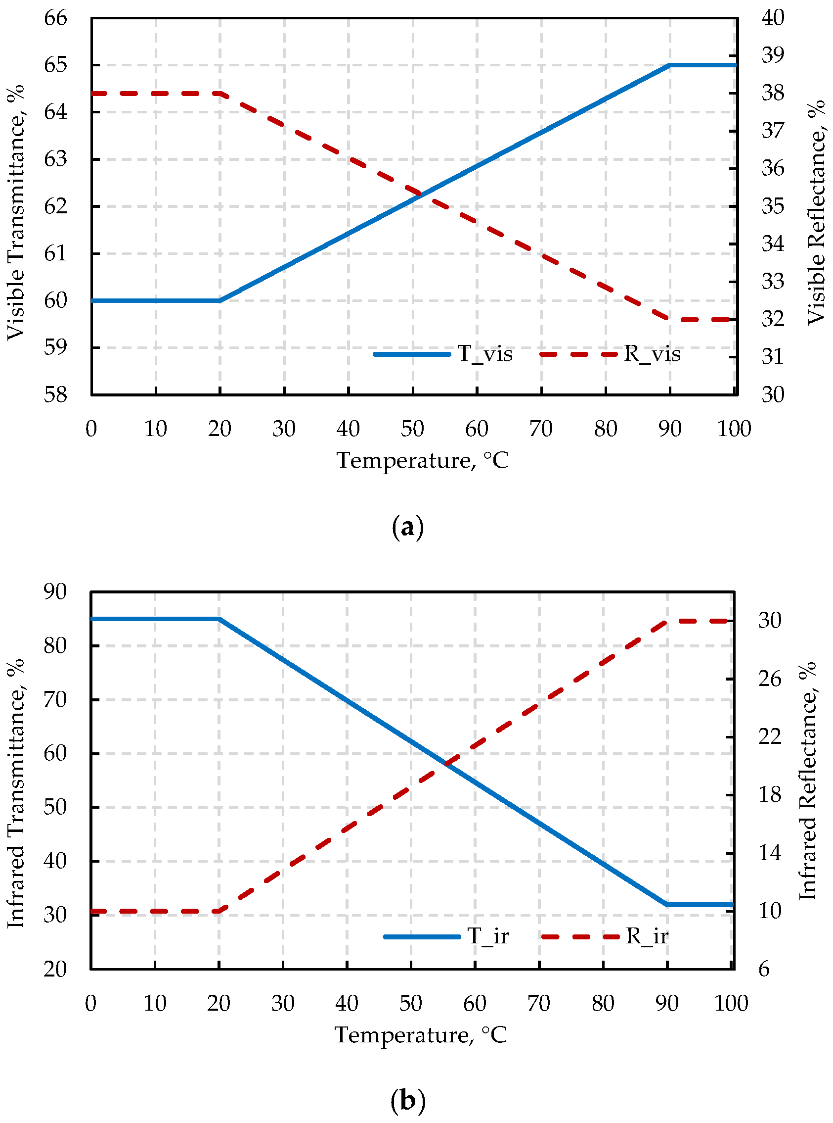
3.4. Thermochromic Windows
3.5. PCM with Temperature-Controlled Natural Ventilation
3.6. Photovoltaic Panels
4. Cost-Benefit Analysis
5. Conclusions
Author Contributions
Funding
Institutional Review Board Statement
Informed Consent Statement
Data Availability Statement
Conflicts of Interest
Abbreviation
| AFN | Airflow network model |
| ASHRAE | American Society of Heating, Refrigerating and Air-Conditioning Engineers |
| CondFD | Conduction Finite Difference |
| EC | Energy consumption |
| ES | Energy savings |
| HVAC | Heating, Ventilation, and Air Conditioning |
| IECC | International Energy Conservation Code |
| MARR | Minimum Acceptable Rate of Return |
| NPV | Net present value |
| NZEB | Net-zero energy buildings |
| PCM | Phase change materials |
| PTAC | Packaged Terminal Air Conditioning |
| RevPAR | Revenue Per Available Room |
| ROI | Return on investments |
| TC | Thermochromic (windows) |
| WWR | Window-to-wall ratio |
References
- European Environment Agency. IPCC Fifth Assessment Report: Climate Change 2014 (AR5); European Environment Agency: København, Denmark, 2014. [Google Scholar]
- Tokbolat, S.; Karaca, F.; Durdyev, S.; Calay, R.K. Construction professionals’ perspectives on drivers and barriers of sustainable construction. Environ. Dev. Sustain. 2019, 22, 4361–4378. [Google Scholar] [CrossRef] [Green Version]
- Durdyev, S.; Ismail, S.; Ihtiyar, A.; Abu Bakar, N.F.S.; Darko, A. A partial least squares structural equation modeling (PLS-SEM) of barriers to sustainable construction in Malaysia. J. Clean. Prod. 2018, 204, 564–572. [Google Scholar] [CrossRef]
- Durdyev, S.; Zavadskas, E.K.; Thurnell, D.; Banaitis, A.; Ihtiyar, A. Sustainable Construction Industry in Cambodia: Awareness, Drivers and Barriers. Sustainability 2018, 10, 392. [Google Scholar] [CrossRef] [Green Version]
- Harkouss, F.; Fardoun, F.; Biwole, P.H. Optimal design of renewable energy solution sets for net zero energy buildings. Energy 2019, 179, 1155–1175. [Google Scholar] [CrossRef]
- Rodriguez-Ubinas, E.; Montero, C.; Porteros, M.; Vega, S.; Navarro, I.; Castillo-Cagigal, M.; Matallanas, E.; Gutiérrez, A. Passive design strategies and performance of Net Energy Plus Houses. Energy Build. 2014, 83, 10–22. [Google Scholar] [CrossRef] [Green Version]
- Saikia, P.; Pancholi, M.; Sood, D.; Rakshit, D. Dynamic optimization of multi-retrofit building envelope for enhanced energy performance with a case study in hot Indian climate. Energy 2020, 197, 117263. [Google Scholar] [CrossRef]
- Kheiri, F. A review on optimization methods applied in energy-efficient building geometry and envelope design. Renew. Sustain. Energy Rev. 2018, 92, 897–920. [Google Scholar] [CrossRef]
- Echenagucia, T.M.; Capozzoli, A.; Cascone, Y.; Sassone, M. The early design stage of a building envelope: Multi-objective search through heating, cooling and lighting energy performance analysis. Appl. Energy 2015, 154, 577–591. [Google Scholar] [CrossRef]
- Tuhus-Dubrow, D.; Krarti, M. Genetic-algorithm based approach to optimize building envelope design for residential buildings. Build. Environ. 2010, 45, 1574–1581. [Google Scholar] [CrossRef]
- Ascione, F.; Bianco, N.; De Masi, R.F.; Mauro, G.M.; Vanoli, G.P. Design of the Building Envelope: A Novel Multi-Objective Approach for the Optimization of Energy Performance and Thermal Comfort. Sustainability 2015, 7, 10809–10836. [Google Scholar] [CrossRef] [Green Version]
- Wang, Y.; Wei, C. Design optimization of office building envelope based on quantum genetic algorithm for energy conservation. J. Build. Eng. 2021, 35, 102048. [Google Scholar] [CrossRef]
- Carlucci, S.; Cattarin, G.; Causone, F.; Pagliano, L. Multi-objective optimization of a nearly zero-energy building based on thermal and visual discomfort minimization using a non-dominated sorting genetic algorithm (NSGA-II). Energy Build. 2015, 104, 378–394. [Google Scholar] [CrossRef] [Green Version]
- Kamalisarvestani, M.; Saidur, R.; Mekhilef, S.; Javadi, F. Performance, materials and coating technologies of thermochromic thin films on smart windows. Renew. Sustain. Energy Rev. 2013, 26, 353–364. [Google Scholar] [CrossRef]
- Baetens, R.; Jelle, B.P.; Gustavsen, A. Properties, requirements and possibilities of smart windows for dynamic daylight and solar energy control in buildings: A state-of-the-art review. Sol. Energy Mater. Sol. Cells 2010, 94, 87–105. [Google Scholar] [CrossRef] [Green Version]
- Aburas, M.; Soebarto, V.; Williamson, T.; Liang, R.; Ebendorff-Heidepriem, H.; Wu, Y. Thermochromic smart window technologies for building application: A review. Appl. Energy 2019, 255, 113522. [Google Scholar] [CrossRef]
- Kang, L.; Gao, Y.; Luo, H.; Wang, J.; Zhu, B.; Zhang, Z.; Du, J.; Kanehira, M.; Zhang, Y. Thermochromic properties and low emissivity of ZnO: Al/VO2 double-layered films with a lowered phase transition temperature. Sol. Energy Mater. Sol. Cells 2011, 95, 3189–3194. [Google Scholar] [CrossRef]
- Giovannini, L.; Favoino, F.; Pellegrino, A.; Verso, V.R.M.L.; Serra, V.; Zinzi, M. Thermochromic glazing performance: From component experimental characterisation to whole building performance evaluation. Appl. Energy 2019, 251, 113335. [Google Scholar] [CrossRef]
- Kalnæs, S.E.; Jelle, B.P. Phase change materials and products for building applications: A state-of-the-art review and future research opportunities. Energy Build. 2015, 94, 150–176. [Google Scholar] [CrossRef] [Green Version]
- Tabares-Velasco, P.C.; Christensen, C.; Bianchi, M. Verification and validation of EnergyPlus phase change material model for opaque wall assemblies. Build. Environ. 2012, 54, 186–196. [Google Scholar] [CrossRef]
- Prabhakar, M.; Saffari, M.; de Gracia, A.; Cabeza, L.F. Improving the energy efficiency of passive PCM system using controlled natural ventilation. Energy Build. 2020, 228, 110483. [Google Scholar] [CrossRef]
- Pisello, A.L.; Castaldo, V.L.; Rosso, F.; Piselli, C.; Ferrero, M.; Cotana, F. Traditional and Innovative Materials for Energy Efficiency in Buildings. Key Eng. Mater. 2016, 678, 14–34. [Google Scholar] [CrossRef]
- Burnett, J.W.; Hefner, F. Solar energy adoption: A case study of South Carolina. Electr. J. 2021, 34, 106958. [Google Scholar] [CrossRef]
- U.S. Energy Information Administration. Levelized Costs of New Generation Resources in the Annual Energy Outlook 2021; U.S. Energy Information Administration: Washington, DC, USA, 2021. [Google Scholar]
- Dibene-Arriola, L.M.; Carrillo-González, F.M.; Quijas, S.; Rodríguez-Uribe, M.C. Energy Efficiency Indicators for Hotel Buildings. Sustainability 2021, 13, 1754. [Google Scholar] [CrossRef]
- ASHRAE. ANSI/ASHRAE/IES Standard 90.1-2019-Energy Standard for Buildings except Low-Rise Residential Buildings; ASHRAE: Atlanta, GA USA, 2019. [Google Scholar]
- Baechler, M.C.; Williamson, J.L.; Cole, P.C.; Hefty, M.G.; Love, P.M.; Gilbride, T.L. Guide to Determining Climate Regions by County. In Building America Best Practices Series; Pacific Northwest National Lab.(PNNL): Richland, WA, USA, 2010; Volume 7.1. [Google Scholar]
- SunEarthTools. Sun Path Diagram for the City of Los Angeles. 2021. Available online: https://www.sunearthtools.com/dp/tools/pos_sun.php (accessed on 18 July 2021).
- PlusICE. PlusICE Organic (A) Range; PlusICE: Lynge, Denmark, 2021. [Google Scholar]
- Feustel, H. Simplified Numerical Description of Latent Storage Characteristics for Phase Change Wallboard; Indoor Environment Program, Energy and Environment Division: Berkeley, CA, USA, 1995. [Google Scholar]
- Jacobson, M.Z.; Jadhav, V. World estimates of PV optimal tilt angles and ratios of sunlight incident upon tilted and tracked PV panels relative to horizontal panels. Sol. Energy 2018, 169, 55–66. [Google Scholar] [CrossRef]
- U.S. Department of Energy. EnergyPlus™, Version 9.3.0; Documentation: Engineering Reference; U.S. Department of Energy: Washington, DC, USA, 2020. [Google Scholar]
- Arutjunjan, R.E.; Markova, T.S.; Halopenen, I.Y.; Maksimov, I.K.; Tutunnikov, A.I.; Yanush, O.V. Thermochromic Glazing for “Zero Net Energy” House. In Proceedings of the Glass Processing Days Conference Proceedings, Tampere, Finland, 15–18 June 2003. [Google Scholar]
- Energysage. Solar Panels in Los Angeles County, CA. 2021. Available online: https://www.energysage.com/local-data/solar-panel-cost/ca/los-angeles-county/ (accessed on 15 June 2021).
- U.S. Bureau of Labor Statistics. Average Energy Prices, Los Angeles-Long Beach-Anaheim–September 2020. 2020. Available online: https://www.bls.gov/regions/west/news-release/2020/averageenergyprices_losangeles_20201015.htm (accessed on 14 June 2021).
- Annual Year-On-Year Growth in Residential Electricity Prices in the United States from 2000 to 2020, with a Forecast Until 2022. 2020. Available online: Statista.com (accessed on 14 June 2021).














| Thickness [m] | Conductivity [W/m·K] | Density [kg/m3] | Specific Heat [J/kg·K] | |
|---|---|---|---|---|
| Exterior wall | ||||
| Stucco | 0.0253 | 0.692 | 1858 | 837.0 |
| Concrete | 0.2032 | 1.311 | 2240 | 836.8 |
| Wall Insulation | 0.0623 | 0.049 | 265 | 836.8 |
| Gypsum | 0.0127 | 0.160 | 785 | 830.0 |
| Roof | ||||
| Roof Membrane | 0.0095 | 0.160 | 1121 | 1460.0 |
| Roof Insulation | 0.1701 | 0.049 | 265 | 836.8 |
| Parameters | Values Used in the Parametric Analyses |
|---|---|
| Di, wall, m | [0.005:0.005:0.075] |
| Di, roof, m | [0.05:0.05:0.40] |
| ki, W/m-K | [0.010:0.005:0.060] |
| I, m3/s-m2 | [0.00005]^[0.0001: 0.0001: 0.0005] |
| U-factor, W/m2-K | [0.3:0.5:5.8] |
| R-value, m2-K/W | [0.1:0.05:0.4]^[0.4:0.1:0.8]^[1:1:4] |
| Di,wall, m | Di,roof, m | ki, W/m-K | I, m3/s-m2 | U-Factor, W/m2-K | R-Value, m2-K/W | ECtotal, GJ | ES, GJ | %Savings |
|---|---|---|---|---|---|---|---|---|
| 0.045 | 0.400 | 0.030 | 0.0005 | 5.8 | 4.0 | 2438.3 | 119.5 | 4.67% |
| Total | North (315°–45°) | East (45°–135°) | South (135°–225°) | West (225°–315°) | |
|---|---|---|---|---|---|
| Gross Wall Area, m2 | 17,197.80 | 5712.45 | 2886.45 | 5712.45 | 2886.45 |
| Window Area, m2 | 2400.80 | 882.40 | 265.20 | 988.00 | 265.20 |
| Gross WWR, % | 13.96 | 15.45 | 9.19 | 17.30 | 9.19 |
| Properties | Values |
|---|---|
| ρ [kg/m3] | 789 |
| k [W/(m·K)] | 0.21 |
| Hf [kJ/kg] | 265 |
| Cp [J/(kg·K)] | 2220 |
| Tm [°C] | 20–30 |
| Construction | Quantity | Unit Cost | Total Material Cost, USD | Design Life, Years | Energy Savings | |
|---|---|---|---|---|---|---|
| per Year | over Lifetime | |||||
| TC window a | 2497.5 m2 | 50 USD/m2 | 124,875 | >12 | 204 GJ | 2448 GJ |
| PCM b | 344.0 m3 | 4572 USD/m3 | 1,572,768 | >27 | 222 GJ | 5994 GJ |
| Solar panels c | 37.5 kW | 2710 USD/kW | 101,625 | ~25 | 398 GJ | 9950 GJ |
| Construction | Dynamic Payback Period, Years | Net Present Value, USD | Return on Investments, % | RevPAR, USD/Year |
|---|---|---|---|---|
| TC window | 14.8 | −16,264 | −13.0 | 4.9 |
| PCM | — | −1,346,990 | −85.6 | 254.9 |
| Solar panels | 5.6 | 177,866 | 175.0 | N/A |
Publisher’s Note: MDPI stays neutral with regard to jurisdictional claims in published maps and institutional affiliations. |
© 2021 by the authors. Licensee MDPI, Basel, Switzerland. This article is an open access article distributed under the terms and conditions of the Creative Commons Attribution (CC BY) license (https://creativecommons.org/licenses/by/4.0/).
Share and Cite
Kobeyev, S.; Tokbolat, S.; Durdyev, S. Design and Energy Performance Analysis of a Hotel Building in a Hot and Dry Climate: A Case Study. Energies 2021, 14, 5502. https://doi.org/10.3390/en14175502
Kobeyev S, Tokbolat S, Durdyev S. Design and Energy Performance Analysis of a Hotel Building in a Hot and Dry Climate: A Case Study. Energies. 2021; 14(17):5502. https://doi.org/10.3390/en14175502
Chicago/Turabian StyleKobeyev, Sultan, Serik Tokbolat, and Serdar Durdyev. 2021. "Design and Energy Performance Analysis of a Hotel Building in a Hot and Dry Climate: A Case Study" Energies 14, no. 17: 5502. https://doi.org/10.3390/en14175502
APA StyleKobeyev, S., Tokbolat, S., & Durdyev, S. (2021). Design and Energy Performance Analysis of a Hotel Building in a Hot and Dry Climate: A Case Study. Energies, 14(17), 5502. https://doi.org/10.3390/en14175502

