Market-Oriented Cost-Effectiveness and Energy Analysis of Windows in Portugal
Abstract
:1. Introduction
2. Methods
2.1. Framework
2.2. Windows in the Portuguese Market
2.3. Window Energy Performance and Equivalent Annual Cost
3. Buildings, Windows, Climate, and Air-Conditioning Systems
3.1. Buildings
- Residential:
- A second-floor apartment in a residential block,
- An individual three-story house with a private garden,
- Services with permanent occupancy:
- A private clinic in a two-story building with permanent occupancy,
- Services with intermittent occupancy:
- A private high school as a set of seven buildings with intermittent occupancy (only daytime),
- A bank branch (only daytime occupancy),
- Commercial:
- A medium-sized supermarket (daytime and part of night occupancy).
3.2. Windows
3.3. Air-Conditioning Systems
3.4. Portuguese Climate
4. Results
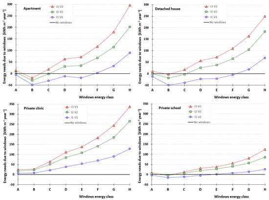
4.1. Energy Needs for Air-Conditioning Due to Windows
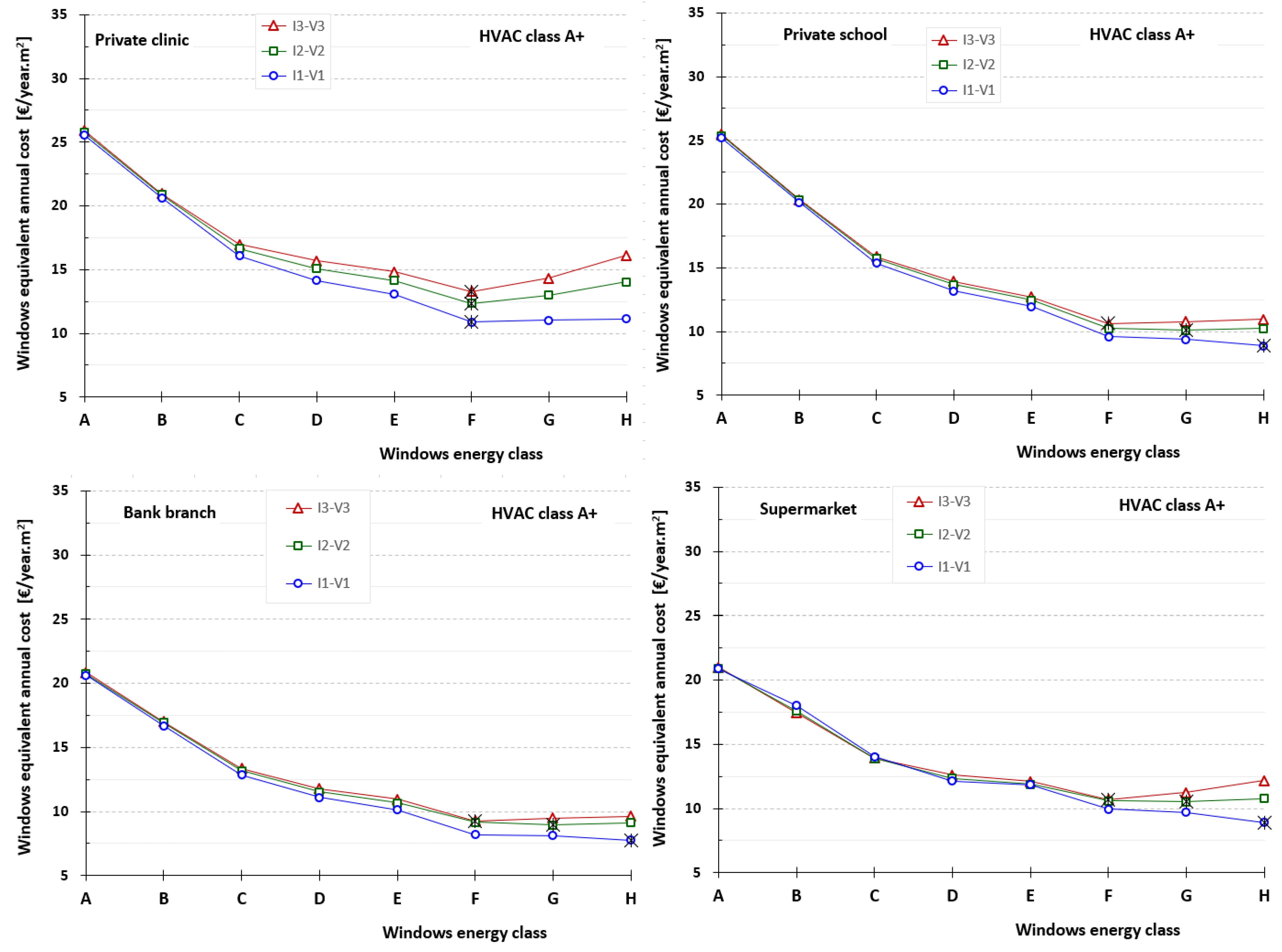
4.2. Windows Equivalent Annual Cost
- In the case of the residential buildings, whenever these are located, the best window solution is “class F”—aluminum frame with thermal cut (or PVC or wood) and double glass (colorless + air + colorless), Table 7. The same result was obtained for the private clinic.
- For residential buildings and the private clinic, a parabolic trend is evident, meaning that the costs of the optimal window are found in the middle energy classes, as the “best” and “worst” classes showed significantly increased costs. For the remaining buildings, this trend is not clear. The trend is more intense with increases in the severity of the climate.
- In the case of the private high school, the bank branch and the supermarket, the best window solution changes according to the climate zone where these buildings are located.
- For the buildings previously mentioned, if these are located in the mild zone, the worst window—H (aluminum frame without thermal cut and with simple colorless glass, Table 7)—is, in fact, the best solution in economic terms, even though the differences compared to class F are very small.
5. Discussion and Conclusions
Author Contributions
Funding
Data Availability Statement
Acknowledgments
Conflicts of Interest
Nomenclature
| Glazing area [m2] | |
| AR | Building aspect ratio |
| CDD | Cooling Degree Days, based on 24 °C [°C days/year] |
| COP | “Coefficient of performance” of HVAC system |
| EAC | Building equivalent annual cost [€/year] |
| EACW | Windows equivalent annual cost per glazing area [€/(m2 year)] |
| EACNG | Equivalent annual cost of the building without glazing [€/year] |
| EACWG | Equivalent annual cost of the building with glazing [€/year] |
| g┴ | Solar factor of the glazed surface |
| HDD | Heating Degree days, based on 18 °C [°C days/year] |
| n | Building lifetime [years] |
| NPV | Building net present value [€] |
| nZEB | Near zero energy building |
| QW | Energy needs due to the existence of glazing per glazing area [kWh/(m2 year)] |
| QNG | Energy needs for the building without glazing [kWh/year] |
| QWG | Energy needs for the building with glazing [kWh/year] |
| r | Real interest rate [1/year]; |
| R | Window energy rating |
| Rating of the window heat transfer coefficient | |
| Rating of the window solar factor | |
| Heat transfer coefficient of the window [W/(m2 K)] | |
| VAT | Value added tax |
| WWR | Window-to-wall ratio |
References
- European Commission. Energy Performance of Buildings Directive; European Commission: Brussels, Belgium, 16 May 2019. [Google Scholar]
- EC, Directive (EU). 2018/844 of the European Parliament and of the Council of 30 May 2018. The Official Journal of the European Union, European Committee for Standardization, Brussels, 2018. Available online: https://eur-lex.europa.eu/legal-content/EN/TXT/PDF/?uri=CELEX:32018L0844&from=IT (accessed on 20 June 2021).
- European Commission. Questions and Answers on the Renovation Wave. 14 October 2020. Available online: https://ec.europa.eu/commission/presscorner/detail/en/QANDA_20_1836 (accessed on 15 December 2020).
- European Commission. Factsheet. What is the European Green Deal? 2019. Available online: https://bit.ly/2T4iwN7 (accessed on 11 January 2021).
- SCE, Decree-Law no. 118/2013. Regulation for the Energy Certification of Buildings (in Portuguese: Sistema Certificação Energética dos Edifícios (SCE)). Official Gazette of Portugal, 159; Series 1, 2013.
- REH, Decree-Law no. 118/2013. Regulation for the characteristics of thermal behavior of residential buildings (in Portuguese: Regulamento de Desempenho Energético dos Edifícios de Habitação—REH). Official Gazette of Portugal. 2013.
- RECS. Portaria n.o 353-A/2013, Ordinance no 353-A/2013 (in Portuguese: Regulamento de Desempenho Energético dos Edifícios de Comércio e Serviços (RECS)-Requisitos de Ventilação e Qualidade do Ar Interior). 2013.
- Raimundo, A.M.; Saraiva, N.B.; Oliveira, A.V.M. Thermal insulation cost optimality of opaque constructive solutions of buildings under Portuguese temperate climate. Build. Environ. 2020, 182, 107107. [Google Scholar] [CrossRef]
- Mendes, V.G.P.M. Quantificação do Coeficiente de Transmissão Térmica de vãos Envidraçados—Modelo de cálculo, Master Thesis at Univerisity of Porto. Portugal, Porto. 2011. Available online: https://repositorio-aberto.up.pt/bitstream/10216/59377/1/000147371.pdf (accessed on 20 June 2021).
- Englund, J.S.; Cehlin, M.; Akander, J.; Moshfegh, B. Measured and simulated energy use in a secondary school building in Sweden-a case study of validation, airing, and occupancy behavior. Energies 2020, 13, 2325. [Google Scholar] [CrossRef]
- Ascione, F.; Bianco, N.; de Masi, R.F.; Vanoli, G.P. Rehabilitation of the building envelope of hospitals: Achievable energy savings and microclimatic control on varying the HVAC systems in Mediterranean climates. Energy Build. 2013, 60, 125–138. [Google Scholar] [CrossRef]
- Baglivo, C.; Congedo, P.M.; D’Agostino, D.; Zacà, I. Cost-optimal analysis and technical comparison between standard and high efficient mono-residential buildings in a warm climate. Energy 2015, 83, 560–575. [Google Scholar] [CrossRef]
- Mauro, G.M.; Hamdy, M.; Vanoli, G.P.; Bianco, N.; Hensen, J.L.M. A new methodology for investigating the cost-optimality of energy retrofitting a building category. Energy Build. 2015, 107, 456–478. [Google Scholar] [CrossRef]
- Ascione, F.; de Masi, R.F.; de Rossi, F.; Ruggiero, S.; Vanoli, G.P. Optimization of building envelope design for nZEBs in Mediterranean climate: Performance analysis of residential case study. Appl. Energy 2016, 183, 938–957. [Google Scholar] [CrossRef]
- Pal, S.K.; Takano, A.; Alanne, K.; Palonen, M.; Siren, K. A multi-objective life cycle approach for optimal building design: A case study in Finnish context. J. Clean. Prod. 2017, 143, 1021–1035. [Google Scholar] [CrossRef]
- Hamdy, M.; Mauro, G.M. Multi-objective optimization of building energy design to reconcile collective and private perspectives: CO2-eq vs. Discounted payback time. Energies 2017, 10, 1016. [Google Scholar] [CrossRef]
- Bui, V.P.; Liu, H.Z.; Low, Y.Y.; Tang, T.; Zhu, Q.; Shah, K.W.; Shidoji, E.; Lim, Y.M.; Koh, W.S. Evaluation of building glass performance metrics for the tropical climate. Energy Build. 2017, 157, 195–203. [Google Scholar] [CrossRef]
- Gustafsson, M.; Dipasquale, C.; Poppi, S.; Bellini, A.; Fedrizzi, R.; Bales, C.; Ochs, F.; Sié, M.; Holmberg, S. Economic and environmental analysis of energy renovation packages for European office buildings. Energy Build. 2017, 148, 155–165. [Google Scholar] [CrossRef]
- Mytafides, C.K.; Dimoudi, A.; Zoras, S. Transformation of a university building into a zero energy building in Mediterranean climate. Energy Build. 2017, 155, 98–114. [Google Scholar] [CrossRef]
- D’Agostino, D.; Parker, D. A framework for the cost-optimal design of nearly zero energy buildings (NZEBs) in representative climates across Europe. Energy 2018, 149, 814–829. [Google Scholar] [CrossRef]
- Jafari, A.; Valentin, V. Selection of optimization objectives for decision-making in building energy retrofits. Build. Environ. 2018, 130, 94–103. [Google Scholar] [CrossRef]
- Guardigli, L.; Bragadin, M.A.; della Fornace, F.; Mazzoli, C.; Prati, D. Energy retrofit alternatives and cost-optimal analysis for large public housing stocks. Energy Build. 2018, 166, 48–59. [Google Scholar] [CrossRef]
- Carpino, C.; Bruno, R.; Arcuri, N. Social housing refurbishment in Mediterranean climate: Cost-optimal analysis towards the n-ZEB target. Energy Build. 2018, 174, 642–656. [Google Scholar] [CrossRef]
- Kotireddy, R.; Loonen, R.; Hoes, P.-J.; Hensen, J.L. Building performance robustness assessment: Comparative study and demonstration using scenario analysis. Energy Build. 2019, 202. [Google Scholar] [CrossRef]
- Asdrubali, F.; Ballarini, I.; Corrado, V.; Evangelisti, L.; Grazieschi, G.; Guattari, C. Energy and environmental payback times for an NZEB retrofit. Build. Environ. 2019, 147, 461–472. [Google Scholar] [CrossRef]
- Pallis, P.; Gkonis, N.; Varvagiannis, E.; Braimakis, K.; Karellas, S.; Katsaros, M.; Vourliotis, P. Cost effectiveness assessment and beyond: A study on energy efficiency interventions in Greek residential building stock. Energy Build. 2019, 182, 1–18. [Google Scholar] [CrossRef]
- Chastas, P.; Theodosiou, T.; Bikas, D.; Tsikaloudaki, K. Integrating embodied impact into the context of EPBD recast: An assessment on the cost-optimal levels of nZEBs. Energy Build. 2020, 215, 109863. [Google Scholar] [CrossRef]
- SHomaei, S.; Hamdy, M. A robustness-based decision making approach for multi-target high performance buildings under uncertain scenarios. Appl. Energy 2020, 267, 114868. [Google Scholar] [CrossRef]
- Tadeu, S.; Rodrigues, C.; Tadeu, A.; Freire, F.; Simões, N. Energy retrofit of historic buildings: Environmental assessment of cost-optimal solutions. J. Build. Eng. 2015, 4, 167–176. [Google Scholar] [CrossRef]
- Ferreira, M.; Almeida, M.; Rodrigues, A.; Silva, S.M. Comparing cost-optimal and net-zero energy targets in building retrofit. Build. Res. Inf. 2016, 44, 188–201. [Google Scholar] [CrossRef]
- De Vasconcelos, A.B.; Pinheiro, M.D.; Manso, A.; Cabaço, A. EPBD cost-optimal methodology: Application to the thermal rehabilitation of the building envelope of a Portuguese residential reference building. Energy Build. 2016, 111, 12–25. [Google Scholar] [CrossRef]
- Rodrigues, C.; Freire, F. Building retrofit addressing occupancy: An integrated cost and environmental life-cycle analysis. Energy Build. 2017, 140, 388–398. [Google Scholar] [CrossRef]
- Barbosa, F.; de Freitas, V.; Almeida, M. School building experimental characterization in Mediterranean climate regarding comfort, indoor air quality and energy consumption. Energy Build. 2020, 212, 109782. [Google Scholar] [CrossRef]
- INE and DGEG. Inquérito ao Consumo de Energia no Setor Doméstico; DGEG, Portuguese Government: Lisbon, Portugal, 2011. [Google Scholar]
- ZEBRA2020, EU-project ZEBRA2020-Data Tool. Available online: https://zebra-monitoring.enerdata.net/nzeb-activities/panel-distribution.html (accessed on 13 April 2021).
- Portuguese Government. Decree-Law no. 194/2015. Official Gazette of the Portuguese Republic, 14th September; Portuguese Government: Lisbon, Portugal, 2015; pp. 7899–7922. [Google Scholar]
- Portuguese Government. Ordinance 379-A/2015. Official Gazette of the Portuguese Republic, 2nd Supplement, Series I, 22/10/2015; Portuguese Government: Lisbon, Portugal, 2015; pp. 9196-(14)–9196-(17). [Google Scholar]
- EN. EN 410:2011-Glass in Building-Determination of Luminous and Solar Characteristics of Glazing; European Committee for Standardization: Brussels, Belgium, 2011. [Google Scholar]
- CEN. CEN 673-Glass in Building. Determination of Thermal Transmittance (U Value); Calculation Method; European Committee for Standardization: Brussels, Belgium, 2011; p. 6. [Google Scholar]
- Raimundo, A.M. SEnergEd–Software for Buildings Monozone Dynamic Energetic Simulation and Calculation of Their Life-Cycle Equivalent annual Cost [Computer software]; Coimbra, Portugal, 2017.
- Raimundo, A.M. Cálculo do comportamento térmico de edifícios através do modelo dinâmico horário monozona 5R1C. In Proceedings of the II Conferência Nacional de Métodos Numéricos em Mecânica de Fluidos e Termodinâmica, Aveiro, Portugal, 8–9 May 2008. [Google Scholar]
- ISO 13790. Energy Performance of Buildings–Calculation of Energy Use for Space Heating and Cooling; European Committee for Standardization: Brussels, Belgium, 2006. [Google Scholar]
- Claro, J.A. Validation of the Energetic Component of the SEnergEd Software, of Buildings Monozone Dynamic Simulation. Master’s Thesis, University of Coimbra, Coimbra, Portugal, 2015. (In Portuguese). [Google Scholar]
- EU. Commission Delegated Regulation (EU) 244/2012 of 16 January 2012 Supplementing Directive 2010/31/EU by Establishing a Methodology Framework for Calculating Cost Optimal Levels of Minimum Energy Performance; European Committee for Standardization: Brussels, Belgium, 2012. [Google Scholar]
- EN 15459:2007. Energy Performance of Buildings-Economic Evaluation Procedure for Energy Systems in Buildings; CEN (European Committee for Standardization): Brussels, Belgium, 2007. [Google Scholar]
- ISO. ISO 6946:2017-Building Components and Building Elements-Thermal Resistance and Thermal Transmittance-Calculation Methods; European Committee for Standardization: Brussels, Belgium, 2017. [Google Scholar]
- CYPE Price Generator. Available online: http://www.geradordeprecos.info/ (accessed on 20 April 2021).
- EU. Commission Delegated Regulation (EU) No 626/2011 of 4 May 2011 supplementing Directive 2010/30/EU of the European Parliament and of the Council with regard to energy labelling of air conditioners. Off. J. Eur. Union 2011, 178, 1–71. [Google Scholar]
- Eurostat, European Union Energy Price Statistics Explained. 2020. Available online: https://ec.europa.eu/eurostat/statistics-explained/index.php?title=Electricity_price_statistics (accessed on 20 April 2021).
- Gameiro da Silva, M.; Antunes, C.H.; Bernardo, H.; Jorge, H.; Cruz, L.; Barata, E.; Costa, J. A preliminary assessment of energy performance in refurbished schools. In Proceedings of the 1st International Congress on Energy & Environment (ICEE): Bringing Together Economics and Engineering, Porto, Portugal, 9–10 May 2013. [Google Scholar]






| References | Buildings | Methodology | Measures | Location/Climate | ||||||||||
|---|---|---|---|---|---|---|---|---|---|---|---|---|---|---|
| Residential | Service | LCC | LCA | Energy Analysis | Thermal Comfort | Window Type | WWR | Shading | ||||||
| Apartment | Dwelling | Commercial | School | Office | Healthcare | |||||||||
| [11] | • | • | • | • | • | Naples, Italy | ||||||||
| [12] | • | • | • | Lecce, Italy | ||||||||||
| [13] | • | • | • | • | • | • | Naples, Italy | |||||||
| [14] | • | • | • | • | • | 4 zones, Mediterranean | ||||||||
| [15] | • | • | • | • | Helsinki, Finland | |||||||||
| [16] | • | • | • | • | • | Helsinki, Finland | ||||||||
| [17] | • | • | • | Singapore | ||||||||||
| [18] | • | • | • | • | 3 zones, Mediterranean | |||||||||
| [19] | • | • | • | • | • | • | Xanthi, Greece | |||||||
| [20] | • | • | • | • | 14 zones, Europe | |||||||||
| [21] | • | • | • | Albuquerque, USA | ||||||||||
| [22] | • | • | • | Italy | ||||||||||
| [23] | • | • | • | 2 zones, Italy | ||||||||||
| [24] | • | • | • | • | • | Netherlands | ||||||||
| [25] | • | • | • | • | • | Turin, Italy | ||||||||
| [26] | • | • | • | • | 2 zones, Greece | |||||||||
| [27] | • | • | • | • | • | Greece | ||||||||
| [28] | • | • | • | • | • | 227 zones, IWEC 3012 zones, IWEC2 | ||||||||
| Studies for the climate of Portugal | ||||||||||||||
| [29] | • | • | • | • | • | 3 zones | ||||||||
| [30] | • | • | • | • | Porto | |||||||||
| [31] | • | • | • | Lisbon | ||||||||||
| [32] | • | • | • | • | • | • | Coimbra | |||||||
| [33] | • | • | • | • | Porto | |||||||||
| Type of Windows | South-Oriented | East-Oriented | West-Oriented | |||
|---|---|---|---|---|---|---|
| Households | Area | Households | Area | Households | Area | |
| Simple glazed | 74.4% | 4.5 | 71.5% | 4.5 | 71.4 | 4.3 |
| Double glazed without thermal cut | 18.6% | 6.3 | 22.5% | 6.5 | 22.6 | 6.0 |
| Double glazed with thermal cut | 7.0% | 7.2 | 6.0% | 5.5 | 6.0 | 5.3 |
| Uw,max [W/(m2.°C)] | (Winter) Climate Zone | ||
| I1 | I2 | I3 | |
| Glazed spans (doors and windows) (Uw) | 2.80 | 2.40 | 2.20 |
| g┴,max | (Summer) Climate Zone | ||
| (class of thermal inertia) | V1 | V2 | V3 |
| weak | 0.15 | 0.10 | 0.10 |
| average | 0.56 | 0.56 | 0.50 |
| strong | 0.56 | 0.56 | 0.50 |
| Window Energy Ratings | Parameter R |
|---|---|
| Class H | R > 1.75 |
| Class G | 1.50 < R ≤ 1.75 |
| Class F | 1.25 < R ≤ 1.50 |
| Class E | 1.00 < R ≤ 1.25 |
| Class D | 0.75 < R ≤ 1.00 |
| Class C | 0.50 < R ≤ 0.75 |
| Class B | 0.25 < R ≤ 0.50 |
| Class A | R ≤ 0.25 |
| Building | Apartment | Detached House | Private Clinic | Private High School | Bank Branch | Supermarket |
|---|---|---|---|---|---|---|
| Occupancy [person] | 4 | 4 | 151 | 1100 | 12 | 194 |
| Floors [--] | 1 | 3 | 2 | 4 | 1 | 1 |
| Acl [m2] | 109.4 | 167.1 | 926.7 | 11,246.0 | 111.4 | 1035.3 |
| Vol [m3] | 286.6 | 494.6 | 3447.3 | 43,184.6 | 289.5 | 3727.1 |
| Aopc [m2] | 58.6 | 343.4 | 743.4 | 22,703.8 | 181.0 | 2507.0 |
| Aglz [m2] | 21.3 | 49.7 | 192.8 | 2975.3 | 37.20 | 96.6 |
| AR [m−1] | 0.28 | 0.79 | 0.27 | 0.59 | 0.75 | 0.70 |
| WWR [-] | 0.27 | 0.13 | 0.21 | 0.12 | 0.17 | 0.04 |
| Building Typology | Occupancy Schedule | Notes | |
|---|---|---|---|
| Residential buildings | Apartment | Daily (1 person), From 18 h to 8 h (4 people); Weekends, full occupancy | Unoccupied during the first 15 days of August |
| Detached house | |||
| Services | Private clinic | Continuous | All year long, more intense occupancy during the daytime on weekdays and Saturdays |
| Private high school | Weekdays, 9 a.m. to 7 p.m. | Scholar calendar: 100% during school periods 50% during the 1st period of exams (15–30 June) 25% during the 2nd period of exams (1–15 July) 25% during the admission phase (16–31 July). Closed on school holidays (the first 15 days of April, 1–31 August, and the last 15 days in December) | |
| Bank branch | Weekdays 9 a.m. to 5 p.m. | All year long | |
| Commercial | Supermarket | Daily, 8 a.m. to 10 p.m. | More intense occupancy on weekends |
| Window Description (Glass Sheets from Exterior to Interior) | Class |
|---|---|
| Aluminum frame without thermal cut and with simple colorless glass | H |
| Aluminum frame without thermal cut and with double glass (colorless + air + colorless) | G |
| Aluminum frame with thermal cut (or PVC or wood) and double glass (colorless + air + colorless) | F |
| Aluminum frame with thermal cut (or PVC or wood) and double glazed (colored + air + colorless) or (colorless with reflective film + air + colorless) or (colorless reflective + air + colorless) | E |
| Aluminum frame with thermal cut (or PVC or wood) and double glass (colored reflective + argon + colorless “thermal”) | D |
| Aluminum frame with thermal cut (or PVC or wood) and triple glass (colored reflective + argon + colorless “thermal” + argon + colorless) | C |
| Two independent windows per span: (two of class E) or (one of F and one of D) or (one of G and one of C) | B |
| Two independent windows per span: one of class D and one of class C | A |
| Energy Rating | H | G | F | E | D | C | B | A | |
|---|---|---|---|---|---|---|---|---|---|
| UW [W/(m2·K)] | 4.723 | 3.788 | 3.053 | 2.407 | 1.994 | 1.225 | 0.554 | 0.477 | |
| σ | 0.064 | 0.053 | 0.266 | 0.409 | 0.242 | 0.207 | 0.094 | 0.041 | |
[-] | 0.877 | 0.837 | 0.786 | 0.713 | 0.471 | 0.440 | 0.427 | 0.114 | |
| σ | 0.005 | 0.022 | 0.011 | 0.124 | 0.091 | 0.079 | 0.017 | 0.005 | |
| Price [€/m2] | 101.07 | 117.58 | 124.52 | 172.35 | 196.23 | 240.89 | 333.54 | 422.70 | |
| σ | 54.31 | 25.45 | 43.57 | 54.08 | 40.98 | 78.27 | 83.01 | 87.79 | |
| R | 1.99 | 1.70 | 1.46 | 1.23 | 0.92 | 0.69 | 0.49 | 0.22 | |
| Building | Apartment | Detached House | Private Clinic | Private High School | Bank Branch | Supermarket | ||||||||||||
|---|---|---|---|---|---|---|---|---|---|---|---|---|---|---|---|---|---|---|
| Climate Zone | 1 | 2 | 3 | 1 | 2 | 3 | 1 | 2 | 3 | 1 | 2 | 3 | 1 | 2 | 3 | 1 | 2 | 3 |
| Energy | B | B | B | B | B | B | A | A | A | B | B | B | B | A | A | A | A | A |
| Economic | F | F | F | F | F | F | F | F | F | H | G | F | H | G | F | H | G | F |
Publisher’s Note: MDPI stays neutral with regard to jurisdictional claims in published maps and institutional affiliations. |
© 2021 by the authors. Licensee MDPI, Basel, Switzerland. This article is an open access article distributed under the terms and conditions of the Creative Commons Attribution (CC BY) license (https://creativecommons.org/licenses/by/4.0/).
Share and Cite
Raimundo, A.M.; Saraiva, N.B.; Dias Pereira, L.; Rebelo, A.C. Market-Oriented Cost-Effectiveness and Energy Analysis of Windows in Portugal. Energies 2021, 14, 3720. https://doi.org/10.3390/en14133720
Raimundo AM, Saraiva NB, Dias Pereira L, Rebelo AC. Market-Oriented Cost-Effectiveness and Energy Analysis of Windows in Portugal. Energies. 2021; 14(13):3720. https://doi.org/10.3390/en14133720
Chicago/Turabian StyleRaimundo, António M., Nuno Baía Saraiva, Luisa Dias Pereira, and Ana Cristina Rebelo. 2021. "Market-Oriented Cost-Effectiveness and Energy Analysis of Windows in Portugal" Energies 14, no. 13: 3720. https://doi.org/10.3390/en14133720
APA StyleRaimundo, A. M., Saraiva, N. B., Dias Pereira, L., & Rebelo, A. C. (2021). Market-Oriented Cost-Effectiveness and Energy Analysis of Windows in Portugal. Energies, 14(13), 3720. https://doi.org/10.3390/en14133720

