Refining and Reuse of Waste Lube Oil in SI Engines: A Novel Approach for a Sustainable Environment
Abstract
1. Introduction
2. Materials and Methods
3. Results
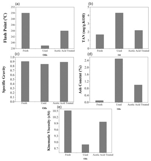
3.1. Properties of Lubricating Oil
3.2. Engine Performance
3.3. Exhaust Gas Temperature
3.4. Engine Emissions
4. Conclusions
- The flashpoint, specific gravity, kinematic viscosity, ash content, and TAN of regenerated oil varied by 2.1%, 5.2%, 10.9%, 60%, and 48.8%, respectively, compared with degraded oil. The refined oil recovered 50% of the lost numerical values of oil properties, which make the oil worthy of being reused.
- The average brake power (BP) decreased with the deterioration in the lubricating oil. The used and fresh oils showed a BP of 2790.4 and 3084.9 W, respectively. However, refined oil showed an improved value of 2912.7 W. The restored values of brake power for regenerated oil were between those of fresh and used oil. The regeneration decreased the BSFC. It was 0.49 kg/kWh for fresh oil, which increased to 0.55 kg/kWh for deteriorated oil and decreased to 0.51 kg/kWh after acid-\ treatment.
- HC, CO2, and NOx emissions increased by 22.8%, 10.3%, and 44.3%, respectively, in the case of used oil, with NOx most significantly changing. After regeneration, all of the emissions decreased, which demonstrates that this regeneration is practical and advantageous in terms of environmental protection.
Author Contributions
Funding
Institutional Review Board Statement
Informed Consent Statement
Conflicts of Interest
References
- Armioni, M.; Benea, M.; Rațiu, S. Used Engine Oil Recycling Techniques: A Comparison. In Proceedings of the Student Scientific symposium, Hunedoara, Romania, May 2020. [Google Scholar]
- Usman, M.; Saqib, S.; Zubair, S.W.H.; Irshad, M.; Kazmi, A.H.; Noor, A.; Zaman, H.U.; Nasir, Z.; Malik, M.A.I. Experimental assessment of regenerated lube oil in spark-ignition engine for sustainable environment. Adv. Mech. Eng. 2020, 12, 168781402094045. [Google Scholar] [CrossRef]
- Al-Zahrani, S.M.; Putra, M.D. Used lubricating oil regeneration by various solvent extraction techniques. J. Ind. Eng. Chem. 2013, 19, 536–539. [Google Scholar] [CrossRef]
- Abdel-Azim, A.; Nasser, A.M.; Ahmed, N.S.; Kamal, R.S. Multifunctional Lube Oil Additives Based on Octadecene-Maleic Anhydride Copolymer. Pet. Sci. Technol. 2011, 29, 97–107. [Google Scholar] [CrossRef]
- Botas, J.A.; Moreno, J.; Espada, J.J.; Serrano, D.P.; Dufour, J. Recycling of used lubricating oil: Evaluation of environmental and energy performance by LCA. Resour. Conserv. Recycl. 2017, 125, 315–323. [Google Scholar] [CrossRef]
- Bailey, P.D.; Air, W.; Pollution, S. Modelling future vehicle exhaust emissions in Europe. Water Air Soil Pollut. 1995, 85, 1879–1884. [Google Scholar] [CrossRef]
- Usman, M.; Saleem, M.W.; Saqib, S.; Umer, J.; Naveed, A.; Hassan, Z.U. SI engine performance, lubricant oil deterioration, and emission: A comparison of liquid and gaseous fuel. Adv. Mech. Eng. 2020, 12, 1687814020930451. [Google Scholar] [CrossRef]
- Pajunen, N.; Rintala, L.; Aromaa, J. Recycling—The importance of understanding the complexity of the issue. Int. J. Sustain. Eng. 2016, 9, 93–106. [Google Scholar] [CrossRef]
- Mitsch, W.J.; Jørgensen, S.E.J.E. Ecological engineering: A field whose time has come. Ecol. Eng. 2003, 20, 363–377. [Google Scholar] [CrossRef]
- Raghuwanshi, S.S.; Arya, R. Renewable energy potential in India and future agenda of research. Int. J. Sustain. Eng. 2019, 12, 291–302. [Google Scholar] [CrossRef]
- Kudełko, J.J.I.J.o.M. Reclamation and Environment, Effectiveness of mineral waste management. J. Min. Reclam. Environ. 2018, 32, 440–448. [Google Scholar] [CrossRef]
- Rincon, J.; Cañizares, P.; García, M.T. Regeneration of used lubricant oil by ethane extraction. J. Supercrit. Fluids 2007, 39, 315–322. [Google Scholar] [CrossRef]
- Emam, E.A.; Shoaib, A.M.J.P. Re-refining of used lube oil, i-by solvent extraction and vacuum distillation followed by hydrotreating. Pet. Coal 2013, 179–187. [Google Scholar]
- Zhang, C.-G.; Zhao, Y.-J.; Deng, Y.-S.; Wang, H.J.L.O. The status quo of regeneration technology for used lubricating oils and the thoughts of industry development. Lubr. Oil 2008, 2, 9–12. [Google Scholar]
- Pinheiro, C.T.; Quina, M.J.; Gando-Ferreira, L.M. Management of waste lubricant oil in Europe: A circular economy approach. Crit. Rev. Environ. Sci. Technol. 2020, 1–36. [Google Scholar] [CrossRef]
- Arpa, O.; Yumrutaş, R.; Argunhan, Z. Experimental investigation of the effects of diesel-like fuel obtained from waste lubrication oil on engine performance and exhaust emission. Fuel Process. Technol. 2010, 91, 1241–1249. [Google Scholar] [CrossRef]
- Rincón, J.; Cañizares, P.; García, M.T. Regeneration of Used Lubricant Oil by Polar Solvent Extraction. Ind. Eng. Chem. Res. 2005, 44, 4373–4379. [Google Scholar] [CrossRef]
- Rincon, J.; Cañizares, P.; García, M.T.; Gracia, I. Regeneration of Used Lubricant Oil by Propane Extraction. Ind. Eng. Chem. Res. 2003, 42, 4867–4873. [Google Scholar] [CrossRef]
- Udonne, J.D.G. A comparative study of recycling of used lubrication oils using distillation, acid and activated charcoal with clay methods. J. Pet. Gas Eng. 2011, 2, 12–19. [Google Scholar]
- Cao, Y.; Feng, Y.; Jiaxin, L. Used lubricating oil recycling using a membrane filtration: Analysis of efficiency, structural and composing. Desalination Water Treat. 2009, 11, 73–80. [Google Scholar] [CrossRef]
- Widodo, S.; Ariono, D.; Khoiruddin, K.; Hakim, A.N.; Wenten, I.G. Recent advances in waste lube oils processing technologies. Environ. Prog. Sustain. Energy 2018, 37, 1867–1881. [Google Scholar] [CrossRef]
- Boadu, K.O.; Joel, O.F.; Essumang, D.K.; Evbuomwan, B.O. A Review of Methods for Removal of Contaminants in Used Lubricating Oil. Chem. Sci. Int. J. 2019, 1–11. [Google Scholar] [CrossRef]
- Jafari, A.J.; Hassanpour, M. Analysis and comparison of used lubricants, regenerative technologies in the world. Resour. Conserv. Recycl. 2015, 103, 179–191. [Google Scholar] [CrossRef]
- Olivier, J.; Bouwman, A.; Van der Hoek, K.; Berdowski, J. Global air emission inventories for anthropogenic sources of NOx, NH3 and N2O in 1990. Environ. Pollut. 1998, 102, 135–148. [Google Scholar] [CrossRef]
- Surisetty, V.R.; Dalai, A.K.; Kozinski, J. Alcohols as alternative fuels: An overview. Appl. Catal. A: Gen. 2011, 404, 1–11. [Google Scholar] [CrossRef]
- Vedenov, D.V.; Duffield, J.A.; Wetzstein, M.E.J.J.o.A.; Economics, R. Entry of alternative fuels in a volatile US gasoline market. J. Agric. Resour. Econ. 2006, 31, 1–13. [Google Scholar]
- Ahmed, E.; Usman, M.; Anwar, S.; Ahmad, H.M.; Nasir, M.W.; Malik, M.A.I. Application of ANN to predict performance and emissions of SI engine using gasoline-methanol blends. Sci. Progr. 2021, 104, 1–27. [Google Scholar] [CrossRef] [PubMed]
- Pourkhesalian, A.M.; Shamekhi, A.H.; Salimi, F. Alternative fuel and gasoline in an SI engine: A comparative study of performance and emissions characteristics. Fuel 2010, 89, 1056–1063. [Google Scholar] [CrossRef]
- Banapurmath, N.; Gireesh, N.; Basavarajappa, Y.; Hosmath, R.; Yaliwal, V.; Pai, A.; Navale, K.G.; Jog, P.; Tewari, P. Effect of hydrogen addition to CNG in a biodiesel-operated dual-fuel engine. Int. J. Sustain. Eng. 2015, 8, 332–340. [Google Scholar] [CrossRef]
- Di Blasio, G.; Bonura, G.; Frusteri, F.; Beatrice, C.; Cannilla, C.; Viscardi, M. Experimental Characterization of Diesel Combustion Using Glycerol Derived Ethers Mixtures. SAE Int. J. Fuels Lubr. 2013, 6, 940–950. [Google Scholar] [CrossRef]
- Di Blasio, G.; Beatrice, C.; Dijkstra, R.; Boot, M. Low Cetane Number Renewable Oxy-fuels for Premixed Combustion Concept Application: Experimental Investigation on a Light Duty Diesel Engine; SAE International: Warrendale, PA, USA, 2012. [Google Scholar]
- Yoon, S.; Collins, J.; Thiruvengadam, A.; Gautam, M.; Herner, J.; Ayala, A. Criteria pollutant and greenhouse gas emissions from CNG transit buses equipped with three-way catalysts compared to lean-burn engines and oxidation catalyst technologies. J. Air Waste Manag. Assoc. 2013, 63, 926–933. [Google Scholar] [CrossRef]
- Beatrice, C.; Rispoli, N.; Di Blasio, G.; Patrianakos, G.; Kostoglou, M.; Konstandopoulos, A.; Imren, A.; Denbratt, I.; Palacin, R. Emission Reduction Technologies for the Future Low Emission Rail Diesel Engines: EGR vs SCR; SAE International: Warrendale, PA, USA, 2013. [Google Scholar]
- Di Blasio, G.; Beatrice, C.; Molina, S. Effect of Port. Injected Ethanol on Combustion Characteristics in a Dual-Fuel Light Duty Diesel Engine; SAE International: Warrendale, PA, USA, 2013. [Google Scholar]
- Usman, M.; Hayat, N. Lubrication, emissions, and performance analyses of LPG and petrol in a motorbike engine: A comparative study. J. Chin. Inst. Eng. 2020, 43, 47–57. [Google Scholar] [CrossRef]
- Usman, M.; Hayat, N.; Bhutta, M.M.A. SI Engine Fueled with Gasoline, CNG and CNG-HHO Blend: Comparative Evaluation of Performance, Emission and Lubrication Oil Deterioration. J. Therm. Sci. 2020, 29, 1–13. [Google Scholar] [CrossRef]
- Usman, M.; Naveed, A.; Saqib, S.; Hussain, J.; Tariq, M.K. Comparative assessment of lube oil, emission and performance of SI engine fueled with two different grades octane numbers. J. Chin. Inst. Eng. 2020, 43, 734–741. [Google Scholar] [CrossRef]
- Abu-Elella, R.; Ossman, M.E.; Farouq, R. Used motor oil treatment: Turning waste oil into valuable products. Int. J. Chem. Biochem. Sci. 2015, 7, 57–67. [Google Scholar]
- De Lima, A.E.A.; Sales, H.B.; de Lima, L.C. Natural clay applied to the clarification of used automotive lubricating oil. Cerâmica 2017, 63, 517–523. [Google Scholar]
- Scapin, M.; Duarte, C.; Sampa, M.; Sato, I. Recycling of the used automotive lubricating oil by ionizing radiation process. Radiat. Phys. Chem. 2007, 76, 1899–1902. [Google Scholar] [CrossRef]
- Cutler, E.L.; Cutler, E.T. Re-Refining Used Automotive Lubricating Oil. U.S. Patent 3919076, 1975. [Google Scholar]
- Rahman, M.; Siddique, T.; Samdani, S.; Kabir, K. Effect of Operating Variables on Regeneration of Base-Oil from Waste Oil by Conventional Acid-Clay Method. Chem. Eng. Res. Bull. 2008, 12, 24–27. [Google Scholar] [CrossRef]
- Forson, F.; Oduro, E.; Hammond-Donkoh, E. Performance of jatropha oil blends in a diesel engine. Renew. Energy 2004, 29, 1135–1145. [Google Scholar] [CrossRef]
- Umer, J.; Morris, N.; Leighton, M.; Rahmani, R.; Balakrishnan, S.; Rahnejat, H. Nano and microscale contact characteristics of tribofilms derived from fully formulated engine oil. Tribol. Int. 2019, 131, 620–630. [Google Scholar] [CrossRef]
- Hamdan, M.; Al-Subaih, T. Improvement of locally produced gasoline and studying its effects on both the performance of the engine and the environment. Energy Convers. Manag. 2002, 43, 1811–1820. [Google Scholar] [CrossRef]
- Mathai, R.; Malhotra, R.; Subramanian, K.; Das, L. Comparative evaluation of performance, emission, lubricant and deposit characteristics of spark ignition engine fueled with CNG and 18% hydrogen-CNG. Int. J. Hydrogen Energy 2012, 37, 6893–6900. [Google Scholar] [CrossRef]
- Jahirul, M.; Masjuki, H.; Saidur, R.; Kalam, M.; Jayed, M.; Wazed, M. Comparative engine performance and emission analysis of CNG and gasoline in a retrofitted car engine. Appl. Therm. Eng. 2010, 30, 2219–2226. [Google Scholar] [CrossRef]
- Evans, R.L.; Blaszczyk, J. A comparative study of the performance and exhaust emissions of a spark ignition engine fuelled by natural gas and gasoline. Proc. Inst. Mech. Eng. Part. D J. Automob. Eng. 1997, 211, 39–47. [Google Scholar] [CrossRef]
- Usman, M.; Farooq, M.; Naqvi, M.; Saleem, M.W.; Hussain, J.; Naqvi, S.R.; Jahangir, S.; Usama, H.M.J.; Idrees, S.; Anukam, A. Use of Gasoline, LPG and LPG-HHO Blend in SI Engine: A Comparative Performance for Emission Control and Sustainable Environment. Process 2020, 8, 74. [Google Scholar] [CrossRef]
- Usman, M.; Hayat, N. Part A: Recovery, Utilization, and E. Effects, Use of CNG and Hi-octane gasoline in SI engine: A comparative study of performance, emission, and lubrication oil deterioration. Energy Sources Part A Recovery Util. Environ. Eff. 2019, 1–15. [Google Scholar]
- Agrawal, A.K.; Singh, S.K.; Sinha, S.; Shukla, M.K. Effect of EGR on the exhaust gas temperature and exhaust opacity in compression ignition engines. Sadhana 2004, 29, 275–284. [Google Scholar] [CrossRef]
- De Albuquerque, P.C.C.; de Andrade Ávila, R.N.; Zárante, P.H.B. Lubricating oil influence on exhaust hydrocarbon emissions from a gasoline fueled engine. Tribol. Int. 2011, 44, 1796–1799. [Google Scholar] [CrossRef]
- Gatellier, B.; Trapy, J.; Herrier, D.; Quelin, J.; Galliot, F. Hydrocarbon Emissions of SI Engines as Influenced by Fuel Absorption-Desorption in Oil Films. SAE Technical. Paper Ser. 1992. [Google Scholar] [CrossRef]
- Frølund, K.; Schramm, J. Simulation of HC-Emissions from SI-Engines—A Parametric Study. SAE Technical. Paper Ser. 1997. [Google Scholar] [CrossRef]
- Salazar, V.M.; Ghandhi, J.B. Discussion of the Role of Fuel-Oil Diffusion in the Hydrocarbon Emissions from a Small Engine. SAE Technical. Paper Ser. 2008, 1, 1347–1356. [Google Scholar]
- Guido, C.; Beatrice, C.; Di Iorio, S.; Fraioli, V.; Di Blasio, G.; Vassallo, A.; Ciaravino, C. Alternative Diesel Fuels Effects on Combustion and Emissions of an Euro5 Automotive Diesel Engine. SAE Int. J. Fuels Lubr. 2010, 3, 107–132. [Google Scholar] [CrossRef]
- Putrasari, Y.; Praptijanto, A.; Nur, A.; Wahono, B.; Santoso, W.B. Evaluation of Performance and Emission of SI Engine Fuelled with CNG at Low and High Load Condition. Energy Procedia 2015, 68, 147–156. [Google Scholar] [CrossRef]
- Hsieh, W.-D.; Chen, R.-H.; Wu, T.-L.; Lin, T.-H. Engine performance and pollutant emission of an SI engine using ethanol–gasoline blended fuels. Atmospheric Environ. 2002, 36, 403–410. [Google Scholar] [CrossRef]
- Bata, R.M.; Elrod, A.C.; Rice, R.W. Emissions From IC Engines Fueled With Alcohol–Gasoline Blends: A Literature Review. J. Eng. Gas. Turbines Power 1989, 111, 424–431. [Google Scholar] [CrossRef]
- Agarwal, D.; Singh, S.K.; Agarwal, A.K. Effect of Exhaust Gas Recirculation (EGR) on performance, emissions, deposits and durability of a constant speed compression ignition engine. Appl. Energy 2011, 88, 2900–2907. [Google Scholar] [CrossRef]
- Yontar, A.A.; Doğu, Y. Investigation of the effects of gasoline and CNG fuels on a dual sequential ignition engine at low and high load conditions. Fuel 2018, 232, 114–123. [Google Scholar] [CrossRef]
- Geok, H.H.; Mohamad, T.I.; Abdullah, S. Experimental Investigation of Performance and Emissions of a Sequential Port Injection Compressed Natural Gas Converted Engine; SAE Technical Paper; SAE International: Warrendale, PA, USA, 2009. [Google Scholar]
- Dijkstra, R.; Di Blasio, G.; Boot, M.; Beatrice, C.; Bertoli, C. Assessment of the Effect of Low Cetane Number Fuels on a Light Duty CI Engine: Preliminary Experimental Characterization in PCCI Operating Condition. SAE Tech. Paper Ser. 2011. [Google Scholar] [CrossRef]










| Oil | Total Acid Number (TAN) | Specific Gravity | Ash Content | Kinematic Viscosity | Flash Point |
|---|---|---|---|---|---|
| (mg. KOH/g) | % | (cSt) | °C | ||
| Standards | D974 | D1298 | D482 | D445 | D92 |
| 1.69 | 0.905 | 0.1 | 10.52 | 250 |
| Properties | Gasoline |
|---|---|
| Octane Number | 97 |
| Color | Reddish |
| Density g/mL | 0.70–0.8 |
| Benzene (vol %) | 4 max. |
| Oxygenate Contents | 0.76 |
Publisher’s Note: MDPI stays neutral with regard to jurisdictional claims in published maps and institutional affiliations. |
© 2021 by the authors. Licensee MDPI, Basel, Switzerland. This article is an open access article distributed under the terms and conditions of the Creative Commons Attribution (CC BY) license (https://creativecommons.org/licenses/by/4.0/).
Share and Cite
Usman, M.; Jamil, M.K.; Riaz, F.; Hussain, H.; Hussain, G.; Shah, M.H.; Qyyum, M.A.; Salman, C.A.; Lee, M. Refining and Reuse of Waste Lube Oil in SI Engines: A Novel Approach for a Sustainable Environment. Energies 2021, 14, 2937. https://doi.org/10.3390/en14102937
Usman M, Jamil MK, Riaz F, Hussain H, Hussain G, Shah MH, Qyyum MA, Salman CA, Lee M. Refining and Reuse of Waste Lube Oil in SI Engines: A Novel Approach for a Sustainable Environment. Energies. 2021; 14(10):2937. https://doi.org/10.3390/en14102937
Chicago/Turabian StyleUsman, Muhammad, Muhammad Kashif Jamil, Fahid Riaz, Haris Hussain, Ghulam Hussain, Muhammad Haris Shah, Muhammad Abdul Qyyum, Chaudhary Awais Salman, and Moonyong Lee. 2021. "Refining and Reuse of Waste Lube Oil in SI Engines: A Novel Approach for a Sustainable Environment" Energies 14, no. 10: 2937. https://doi.org/10.3390/en14102937
APA StyleUsman, M., Jamil, M. K., Riaz, F., Hussain, H., Hussain, G., Shah, M. H., Qyyum, M. A., Salman, C. A., & Lee, M. (2021). Refining and Reuse of Waste Lube Oil in SI Engines: A Novel Approach for a Sustainable Environment. Energies, 14(10), 2937. https://doi.org/10.3390/en14102937

