Bioenergy Conversion Potential of Decaying Hardwoods
Abstract
1. Introduction
2. Materials and Methods
2.1. Sampling and Laboratory Analyses
2.2. DNA Analysis
2.3. Enzymatic Hydrolysis and Sugar Recovery
2.4. Hydrolysis
2.5. Digestibility Yield Calculation
2.6. Thermogravimetric Analysis
2.7. Data Analysis
3. Results
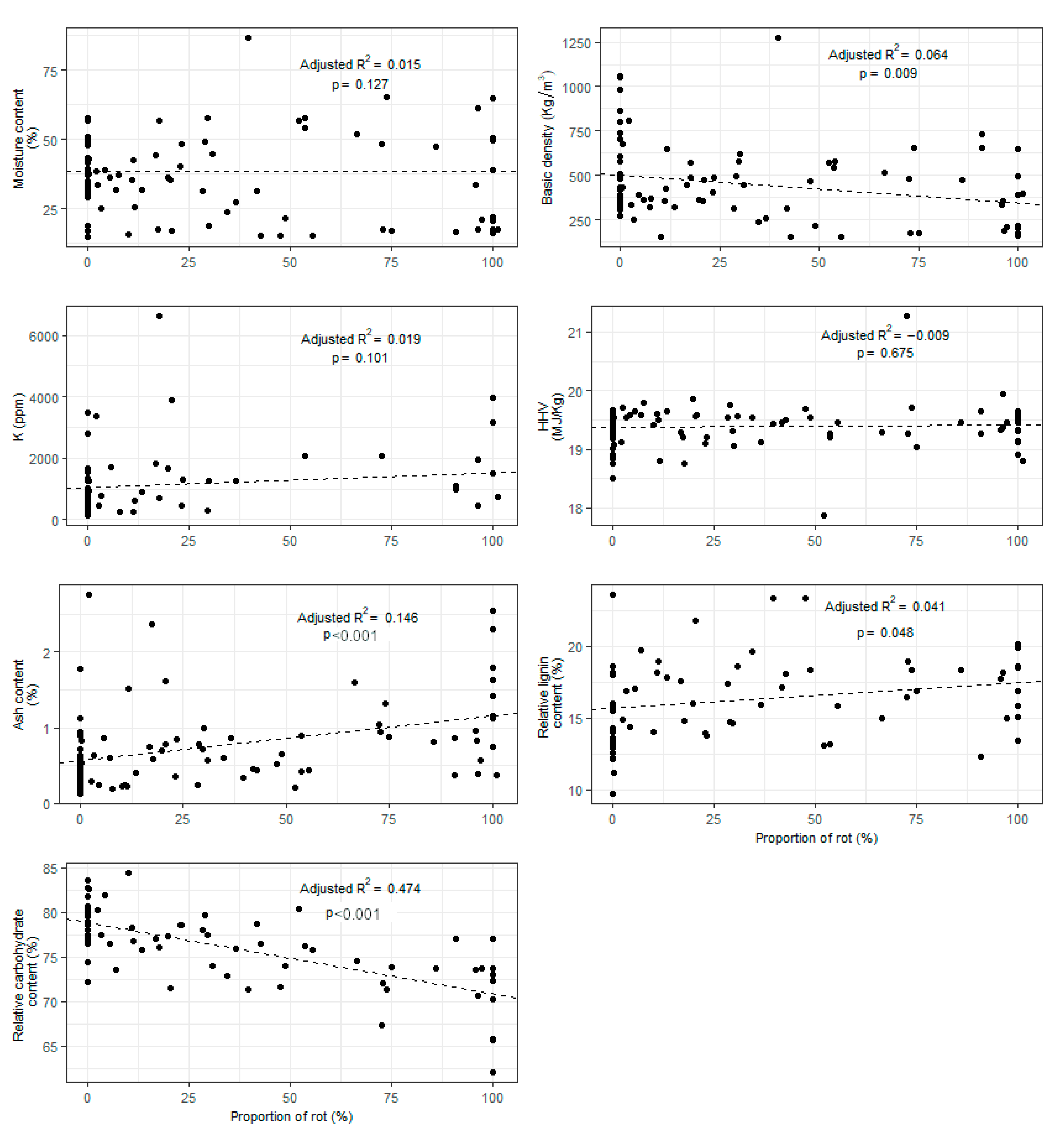
3.1. Effects of Wood Decay on Physical and Chemical Properties
3.2. Decaying Fungal Organisms and Effect on the Wood Composition
3.3. Biochemical Conversion Test
3.4. Thermochemical Conversion Test
4. Discussion
5. Conclusions
Supplementary Materials
Author Contributions
Funding
Institutional Review Board Statement
Informed Consent Statement
Data Availability Statement
Acknowledgments
Conflicts of Interest
References
- Nabuurs, G.J.; Masera, O.; Andrasko, K.; Benitez-Ponce, P.; Boer, R.; Dutschke, M.; Elsiddig, E.; Ford-Robertson, J.; Frumhoff, P.; Karjalainen, T.; et al. Forestry. In Climate Change 2007: Mitigation. Contribution of Working Group III to the Fourth Assessment Report of the Intergovernmental Panel on Climate Change; Metz, B., Davidson, O.R., Bosch, P.R., Dave, R., Meye, L.A., Eds.; Cambridge University Press: Cambridge, UK, 2007. [Google Scholar]
- Lamers, P.; Junginger, M. The ‘debt’ is in the detail: A synthesis of recent temporal forest carbon analyses on woody biomass for energy. Biofuels Bioprod. Biorefining 2013, 7, 373–385. [Google Scholar] [CrossRef]
- Cintas, O.; Berndes, G.; Hansson, J.; Poudel, B.C.; Bergh, J.; Börjesson, P.; Egnell, G.; Lundmark, T.; Nordin, A. The potential role of forest management in Swedish scenarios towards climate neutrality by mid century. For. Ecol. Manag. 2017, 383, 73–84. [Google Scholar] [CrossRef]
- Chum, H.; Faaij, A.; Moreira, J.; Berndes, G.; Dhamija, P.; Dong, H.; Gabrielle, B.; Goss Eng, A.; Lucht, W.; Mapako, M.; et al. Bioenergy. In IPCC Special Report on Renewable Energy Sources and Climate Change Mitigation; Edenhofer, O., Pichs-Madruga, R., Sokona, Y., Seyboth, K., Matschoss, P., Kadner, S., Zwickel, T., Eickemeier, P., Hansen, G., Schlömer, S., et al., Eds.; Cambridge University Press: Cambridge, UK, 2011. [Google Scholar]
- Barrette, J.; Thiffault, E.; Achim, A.; Junginger, M.; Pothier, D.; De Grandpré, L. A financial analysis of the potential of dead trees from the boreal forest of eastern Canada to serve as feedstock for wood pellet export. Appl. Energy 2017. [CrossRef]
- McKendry, P. Energy production from biomass (part 2): Conversion technologies. Bioresour. Technol. 2002, 83, 47–54. [Google Scholar] [CrossRef]
- Himmel, M.E.; Ding, S.-Y.; Johnson, D.K.; Adney, W.S.; Nimlos, M.R.; Brady, J.W.; Foust, T.D. Biomass recalcitrance: Engineering plants and enzymes for biofuels production. Science 2007, 315, 804–807. [Google Scholar] [CrossRef] [PubMed]
- Zhao, X.; Zhang, L.; Liu, D. Biomass recalcitrance. Part I: The chemical compositions and physical structures affecting the enzymatic hydrolysis of lignocellulose. Biofuels Bioprod. Biorefining 2012, 6, 465–482. [Google Scholar] [CrossRef]
- Mosier, N.; Wyman, C.; Dale, B.; Elander, R.; Lee, Y.Y.; Holtzapple, M.; Ladisch, M. Features of promising technologies for pretreatment of lignocellulosic biomass. Bioresour. Technol. 2005, 96, 673–686. [Google Scholar] [CrossRef]
- McAloon, A.; Taylor, F.; Yee, W.; Ibsen, K.; Wooley, R. Determining the Cost of Producing Ethanol from Corn Starch and Lignocellulosic Feedstocks; National Renewable Energy Lab.: Golden, CO, USA, 2000; p. 44. [Google Scholar]
- Zhu, J.Y.; Pan, X.; Zalesny, R.S., Jr. Pretreatment of woody biomass for biofuel production: Energy efficiency, technologies, and recalcitrance. Appl. Microbiol. Biotechnol. 2010, 87, 847–857. [Google Scholar] [CrossRef]
- Liu, G.; Qin, Y.; Li, Z.; Qu, Y. Development of highly efficient, low-cost lignocellulolytic enzyme systems in the post-genomic era. Biotechnol. Adv. 2013, 31, 962–975. [Google Scholar] [CrossRef]
- Behera, S.; Arora, R.; Nandhagopal, N.; Kumar, S. Importance of chemical pretreatment for bioconversion of lignocellulosic biomass. Renew. Sustain. Energy Rev. 2014, 36, 91–106. [Google Scholar] [CrossRef]
- Keller, F.A.; Hamilton, J.E.; Nguyen, Q.A. Microbial Pretreatment of Biomass. In Biotechnology for Fuels and Chemicals: The Twenty-Fourth Symposium; Davison, B.H., Lee, J.W., Finkelstein, M., McMillan, J.D., Eds.; Humana Press: Totowa, NJ, USA, 2003. [Google Scholar]
- Alvira, P.; Tomás-Pejó, E.; Ballesteros, M.; Negro, M.J. Pretreatment technologies for an efficient bioethanol production process based on enzymatic hydrolysis: A review. Bioresour. Technol. 2010, 101, 4851–4861. [Google Scholar] [CrossRef] [PubMed]
- Wang, W.; Yuan, T.; Wang, K.; Cui, B.; Dai, Y. Combination of biological pretreatment with liquid hot water pretreatment to enhance enzymatic hydrolysis of Populus tomentosa. Bioresour. Technol. 2012, 107, 282–286. [Google Scholar] [CrossRef] [PubMed]
- Knoll, C.S.; Wong, B.M.; Roy, D.N. The chemistry of decayed aspen wood and perspectives on its utilization. Wood Sci. Technol. 1993, 27, 439–448. [Google Scholar] [CrossRef]
- Luo, X.; Gleisner, R.; Tian, S.; Negron, J.; Zhu, W.; Horn, E.; Pan, X.J.; Zhu, J.Y. Evaluation of mountain beetle-infested lodgepole pine for cellulosic ethanol production by sulfite pretreatment to overcome recalcitrance of lignocellulose. Ind. Eng. Chem. Res. 2010, 49, 8258–8266. [Google Scholar] [CrossRef]
- Pan, X.; Xie, D.; Yu, R.W.; Saddler, J.N. The bioconversion of mountain pine beetle-killed lodgepole pine to fuel ethanol using the organosolv process. Biotechnol. Bioeng. 2008, 101, 39–48. [Google Scholar] [CrossRef]
- Demirbaş, A. Relationships between lignin contents and heating values of biomass. Energy Convers. Manag. 2001, 42, 183–188. [Google Scholar] [CrossRef]
- White, R.H. Effect of lignin content and extractives on the higher heating value of wood. Wood Fiber Sci. 1987, 19, 446–452. [Google Scholar]
- Durocher, C.; Thiffault, E.; Achim, A.; Auty, D.; Barrette, J. Untapped volume of surplus forest growth as feedstock for bioenergy. Biomass Bioenergy 2019, 120, 376–386. [Google Scholar] [CrossRef]
- Hunter, M.L., Jr. Wildlife, Forests, and Forestry. Principles of Managing Forests for Biological Diversity; Prentice Hall: Englewood Cliffs, NJ, USA, 1990; p. 370. [Google Scholar]
- Moreau, G.; Achim, A.; Pothier, D. Relevance of stem and crown defects to estimate tree vigour in northern hardwood forests. For. Int. J. For. Res. 2020. [CrossRef]
- Thiffault, E.; Sokhansanj, S.; Ebadian, M.; Rezaei, H.; Oveisi, E.; Ghiasi, B.; Yazdanpanah, F.; Asikainen, A.; Routa, J. Biomass Pre-Treatment for Bioenergy. Case Study 2: Moisture, Physical Property, Ash and Density Management as Pre-Treatment Practices in Canadian Forest Biomass Supply Chains; IEA Bioenergy: Paris, France, 2018; p. 83. [Google Scholar]
- ASTM International. ASTM D4442-20 (2020) Standard Test Methods for Direct Moisture Content Measurement of Wood and Wood-Based Materials; ASTM International: West Conshohocken, PA, USA, 2020; p. 5. [Google Scholar]
- ASTM International. ASTM D2395-17 (2017) Standard Test Methods for Density and Specific Gravity (Relative Density) of Wood and Wood-Based Materials; ASTM International: West Conshohocken, PA, USA, 2017; p. 13. [Google Scholar]
- Elbersen, W.; Bakker, R.; Harmsen, P.; Vis, M.; Alakangas, E. A Selection Method to Match Biomass Types with the Best Conversion Technologies. S2Biom Deliverable D2.2. S2Biom Project Grant Agreement n°608622; European Union: Brussels, Belgium, 2015; p. 28. [Google Scholar]
- Van Soest, P.J.; Robertson, J.B.; Lewis, B.A. Methods for dietary fiber, neutral detergent fiber, and nonstarch polysaccharides in relation to animal nutrition. J. Dairy Sci. 1991, 74, 3583–3597. [Google Scholar] [CrossRef]
- ASTM International. ASTM E1755-01(2020). Standard Test Method for Ash in Biomass; ASTM International: West Conshohocken, PA, USA, 2020; p. 3. [Google Scholar]
- Rheault, K.; Lachance, D.; Morency, M.-J.; Thiffault, É.; Guittonny, M.; Isabel, N.; Martineau, C.; Séguin, A. Plant Genotype Influences Physicochemical Properties of Substrate as Well as Bacterial and Fungal Assemblages in the Rhizosphere of Balsam Poplar. Front. Microbiol. 2020, 11, 2914. [Google Scholar] [CrossRef] [PubMed]
- Caporaso, J.G.; Kuczynski, J.; Stombaugh, J.; Bittinger, K.; Bushman, F.D.; Costello, E.K.; Fierer, N.; Peña, A.G.; Goodrich, J.K.; Gordon, J.I.; et al. QIIME allows analysis of high-throughput community sequencing data. Nat. Methods 2010, 7, 335–336. [Google Scholar] [CrossRef] [PubMed]
- Tedersoo, L.; Bahram, M.; Põlme, S.; Kõljalg, U.; Yorou, N.S.; Wijesundera, R.; Ruiz, L.V.; Vasco-Palacios, A.M.; Thu, P.Q.; Suija, A.; et al. Global diversity and geography of soil fungi. Science 2014, 346, 1256688. [Google Scholar] [CrossRef] [PubMed]
- Miller, G.L. Use of dinitrosalicylic acid reagent for determination of reducing sugar. Anal. Chem. 1959, 31, 426–428. [Google Scholar] [CrossRef]
- Agrawal, A.; Chakraborty, S. A kinetic study of pyrolysis and combustion of microalgae Chlorella vulgaris using thermo-gravimetric analysis. Bioresour. Technol. 2013, 128, 72–80. [Google Scholar] [CrossRef]
- Magdziarz, A.; Wilk, M. Thermogravimetric study of biomass, sewage sludge and coal combustion. Energy Convers. Manag. 2013, 75, 425–430. [Google Scholar] [CrossRef]
- Zhao, Z.; Liu, P.; Wang, S.; Ma, S.; Cao, J. Combustion characteristics and kinetics of five tropic oilgal strains using thermogravimetric analysis. J. Therm. Anal. Calorim. 2018, 131, 1919–1931. [Google Scholar] [CrossRef]
- Lu, J.-J.; Chen, W.-H. Investigation on the ignition and burnout temperatures of bamboo and sugarcane bagasse by thermogravimetric analysis. Appl. Energy 2015, 160, 49–57. [Google Scholar] [CrossRef]
- Chen, G.-B.; Li, J.-W.; Lin, H.-T.; Wu, F.-H.; Chao, Y.-C. A study of the production and combustion characteristics of pyrolytic oil from sewage sludge using the taguchi method. Energies 2018, 11, 2260. [Google Scholar] [CrossRef]
- Song, C.-Z.; Wen, J.-H.; Li, Y.-Y.; Dan, H.; Shi, X.-Y.; Xin, S. Thermogravimetric assessment of combustion characteristics of blends of lignite coals with coal gangue. In Proceedings of the 3rd Annual International Conference on Mechanics and Mechanical Engineering (MME 2016), Sichuan, China, 16–18 December 2016; pp. 490–495. [Google Scholar]
- Cheng, J.-Y.; Sun, X.-X. Determination of the devolatilization index and combustion characteristic index of pulverized coals. Power Eng. 1987, 5, 13–18. [Google Scholar]
- Foster, Z.S.; Sharpton, T.J.; Grünwald, N.J. Metacoder: An R package for visualization and manipulation of community taxonomic diversity data. PloS Comput. Biol. 2017, 13, e1005404. [Google Scholar] [CrossRef] [PubMed]
- Krah, F.-S.; Bässler, C.; Heibl, C.; Soghigian, J.; Schaefer, H.; Hibbett, D.S. Evolutionary dynamics of host specialization in wood-decay fungi. BMC Evol. Biol. 2018, 18, 119. [Google Scholar] [CrossRef] [PubMed]
- Barrette, J.; Pothier, D.; Auty, D.; Achim, A.; Duchesne, I.; Gélinas, N. Lumber recovery and value of dead and sound black spruce trees grown in the North Shore region of Québec. Ann. For. Sci. 2012, 69, 603–615. [Google Scholar] [CrossRef]
- Bridgewater, A.V. Biomass fast pyrolysis. Therm. Sci. 2004, 8, 21–50. [Google Scholar] [CrossRef]
- Elbersen, W.; Alakangas, E.; Elbersen, B.; Annevelink, B.; Almeyda, J.R.; Lammens, T. Database for Standardized Biomass Characterization (and Minimal Biomass Quality Requirement for Each Biomass Conversion Technology) S2Biom Deliverable D2.4 S2Biom Project Grant Agreement n°608622; EU: Brussels, Belgium, 2016. [Google Scholar]
- Kumar, R.; Wyman, C.E. Effects of cellulase and xylanase enzymes on the deconstruction of solids from pretreatment of poplar by leading technologies. Biotechnol. Prog. 2009, 25, 302–314. [Google Scholar] [CrossRef] [PubMed]
- Shi, J.; Chinn, M.S.; Sharma-Shivappa, R.R. Microbial pretreatment of cotton stalks by solid state cultivation of Phanerochaete chrysosporium. Bioresour. Technol. 2008, 99, 6556–6564. [Google Scholar] [CrossRef]
- Barrette, J.; Thiffault, E.; Saint-Pierre, F.; Wetzel, S.; Duchesne, I.; Krigstin, S. Dynamics of dead tree degradation and shelf-life following natural disturbances: Can salvaged trees from boreal forests ‘fuel’the forestry and bioenergy sectors? Forestry 2015, 88, 275–290. [Google Scholar] [CrossRef]
- Lambert, R.L.; Lang, G.E.; Reiners, W.A. Loss of mass and chemical change in decaying boles of a subalpine balsam fir forest. Ecology 1980, 61, 1460–1473. [Google Scholar] [CrossRef]
- Ostrofsky, A.; Jellison, J.; Smith, K.T.; Shortle, W.C. Changes in cation concentrations in red spruce wood decayed by brown rot and white rot fungi. Can. J. For. Res. 1997, 27, 567–571. [Google Scholar] [CrossRef]
- Nguyen, Q.N.; Cloutier, A.; Achim, A.; Stevanovic, T. Fuel properties of sugar maple and yellow birch wood in relation with tree vigor. BioResources 2016, 11, 3275–3288. [Google Scholar] [CrossRef]
- Chundawat, S.P.S.; Donohoe, B.S.; da Costa Sousa, L.; Elder, T.; Agarwal, U.P.; Lu, F.; Ralph, J.; Himmel, M.E.; Balan, V.; Dale, B.E. Multi-scale visualization and characterization of lignocellulosic plant cell wall deconstruction during thermochemical pretreatment. Energy Environ. Sci. 2011, 4, 973–984. [Google Scholar] [CrossRef]
- Li, M.; Pu, Y.; Ragauskas, A.J. Current understanding of the correlation of lignin structure with biomass recalcitrance. Front. Chem. 2016, 4, 45. [Google Scholar] [CrossRef] [PubMed]
- Babrauskas, V. Ignition of wood: A review of the state of the art. J. Fire Prot. Eng. 2002, 12, 163–189. [Google Scholar] [CrossRef]
- Grotkjær, T.; Dam-Johansen, K.; Jensen, A.D.; Glarborg, P. An experimental study of biomass ignition. Fuel 2003, 82, 825–833. [Google Scholar] [CrossRef]









| Decay Level | Species | Number of Samples |
|---|---|---|
| Live | White Birch | 5 |
| American Beech | 6 | |
| Trembling Aspen | 5 | |
| Dead | White Birch | 8 |
| American Beech | 10 | |
| Trembling Aspen | 7 | |
| Sugar Maple | 6 | |
| Yellow Birch | 7 | |
| Advanced rot | White Birch | 2 |
| American Beech | 12 | |
| Trembling Aspen | 3 | |
| Sugar Maple | 17 | |
| Yellow Birch | 5 |
| Biochemical Pathway | Thermochemical Pathway | |
|---|---|---|
| Physical properties | Moisture content (%) (ASTM D4442-16) | |
| Basic density (ASTM D2395-17) | ||
| Chemical properties | Lignin content (%) | Total ash content (%) (ASTM 1755-01) |
| Carbohydrate content (%) | Ash melting behavior ([K]) | |
| High heating value (HHV) (MJ/kg) | ||
| Conversion test response | Digestibility yield (%) | Ignition Index |
| Combustion characteristic Index | ||
| Flammability Index | ||
| Decay Level | Species | n | Relative Area Affected by Rot % | Moisture Content % | Basic Density kg/m3 | [K] * ppm | HHV MJ/kg | Ash % | n | Lignin % | Carbohydrates % |
|---|---|---|---|---|---|---|---|---|---|---|---|
| Live | White Birch | 5 | 0.0 c (0.0) | 75.47 a,b (16.44) | 426 (54) | 478.5 b (180.7) | 19.55 a,b (0.14) | 0.26 b (0.0008) | 5 | 13.92 b (1.19) | 79.94 a (1.63) |
| American Beech | 6 | 0.0 c (0.0) | 57.02 a,b,c (18.45) | 609 (322) | 1711.5 a (1166.5) | 19.29 b (0.28) | 0.78 a,b (0.006) | 4 | 15.30 a,b (2.94) | 79.45 a (2.46) | |
| Trembling Aspen | 5 | 3.5 c (7.9) | 99.47 a (24.12) | 493 (64) | 600.2 a,b (193.0) | 19.34 a,b (0.34) | 0.48 a,b (0.001) | 5 | 12.98 b (1.98) | 79.04 a (2.82) | |
| Dead | White Birch | 8 | 17.3 b,c (32.7) | 65.30 a,b (20.51) | 485 (236) | 670.3 b (721.7) | 19.59 a,b (0.34) | 0.34 b (0.003) | 7 | 15.56 a,b (2.49) | 78.32 a (4.01) |
| American Beech | 10 | 4.1 c (6.1) | 45.25 b (17.39) | 499 (210) | 1493.2 a (774.0) | 19.31 b (0.27) | 0.87 a,b (0.007) | 6 | 18.58 a (2.54) | 76.15 a (2.09) | |
| Trembling Aspen | 7 | 28.2 b,c (34.1) | 98.58 a (34.02) | 609 (141) | 1132.4 a,b (600.6) | 19.40 a,b (0.19) | 0.63 a,b (0.002) | 6 | 13.54 b (0.85) | 77.43 a (1.11) | |
| Advanced rot | White Birch | 2 | 11.5 b,c (16.3) | 69.23 a,b,c (3.32) | 409 (12) | 653.5 b (259.2) | 19.30 b (0.28) | 0.44 a,b (0.001) | 2 | 13.25 b (0.92) | 79.45 a (1.34) |
| American Beech | 12 | 42.1 a,b (42.2) | 23.70 b (11.21) | 491 (191) | 1883.4 a (1916.7) | 19.18 b (0.26) | 1.16 a (0.007) | 1 | 15.90 a,b (NA) | 75.90 a,b (NA) | |
| Trembling Aspen | 3 | 90.9 a (15.8) | 46.39 b (40.26) | 286 (170) | 2249.1 a,b (853.9) | 20.08 a (1.05) | 1.59 a (0.008) | 3 | 15.57 a,b (1.89) | 67.67 b (5.86) |
| Decay Level | Species | n | Ti °C | Te °C | Di × 104 | S × 107 | C × 105 |
|---|---|---|---|---|---|---|---|
| Live | White Birch | 2 | 273.90 a (0.44) | 396.59 (0.57) | 2.56 (0.21) | 3.71 (0.30) | 0.23 (0.03) |
| American Beech | 2 | 269.70 a,b,c (1.48) | 391.50 (1.35) | 3.70 (0.50) | 5.36 (0.71) | 0.45 (0.12) | |
| Trembling Aspen | 2 | 273.35 a (4.21) | 396.80 (1.58) | 3.55 (0.19) | 5.15 (0.38) | 0.39 (0.03) | |
| Dead | White Birch | 2 | 273.98 a (0.57) | 398.25 (0.24) | 2.34 (0.05) | 3.40 (0.06) | 0.20 (0.04) |
| American Beech | 4 | 270.38 a,b (1.56) | 396.48 (3.80) | 3.46 (0.76) | 5.08 (1.13) | 0.46 (0.23) | |
| Trembling Aspen | 2 | 267.84 a,b,c (4.92) | 394.75 (3.32) | 2.23 (0.80) | 3.28 (1.14) | 0.17 (0.11) | |
| Advanced rot | White Birch | 2 | 272.46 a (1.53) | 396.09 (2.60) | 2.71 (0.74) | 3.95 (1.13) | 0.27 (0.15) |
| American Beech | 2 | 260.41 b,c (2.56) | 397.5 (1.45) | 1.70 (0.33) | 2.59 (0.49) | 0.12 (0.04) | |
| Trembling Aspen | 2 | 260.08 c (6.71) | 392.24 (3.29) | 1.95 (0.07) | 2.95 (0.15) | 0.13 (0.003) |
Publisher’s Note: MDPI stays neutral with regard to jurisdictional claims in published maps and institutional affiliations. |
© 2020 by the authors. Licensee MDPI, Basel, Switzerland. This article is an open access article distributed under the terms and conditions of the Creative Commons Attribution (CC BY) license (http://creativecommons.org/licenses/by/4.0/).
Share and Cite
Dupuis, É.; Thiffault, E.; Barrette, J.; Adjallé, K.; Martineau, C. Bioenergy Conversion Potential of Decaying Hardwoods. Energies 2021, 14, 93. https://doi.org/10.3390/en14010093
Dupuis É, Thiffault E, Barrette J, Adjallé K, Martineau C. Bioenergy Conversion Potential of Decaying Hardwoods. Energies. 2021; 14(1):93. https://doi.org/10.3390/en14010093
Chicago/Turabian StyleDupuis, Éloïse, Evelyne Thiffault, Julie Barrette, Kokou Adjallé, and Christine Martineau. 2021. "Bioenergy Conversion Potential of Decaying Hardwoods" Energies 14, no. 1: 93. https://doi.org/10.3390/en14010093
APA StyleDupuis, É., Thiffault, E., Barrette, J., Adjallé, K., & Martineau, C. (2021). Bioenergy Conversion Potential of Decaying Hardwoods. Energies, 14(1), 93. https://doi.org/10.3390/en14010093

