Abstract
Municipal waste biogas plants are an important element of waste treatment and energy policy. In this study, odorant concentrations and emissions were measured together with the air temperature (T) and relative humidity (RH) to confirm the hypothesis that the microclimatic conditions have an important impact on the level of odorant emission at municipal waste biogas plants. A simple correlation analysis was made to evaluate the strength and the direction of the relationship between the odorant concentration and emission and air temperature and relative humidity. The mean volatile organic compound (VOC) and NH3 concentrations vary depending on the stage of the technological line of the analysed municipal waste biogas plants and are in the following ranges, respectively: 0–38.64 ppm and 0–100 ppm. The odorant concentrations and emissions correlated statistically significantly with T primarily influences VOC concentrations and emissions while RH mainly affects NH3 concentrations and emissions. The strongest correlations were noted for the fermentation preparation section and for emissions from roof ventilators depending on the analysed plant. The smallest influence of microclimatic factors was observed at the beginning of the technological line—in the waste storage section and mechanical treatment hall. This is due to the greater impact of the type and quality of waste delivered the plants. The analysis of correlation between individual odorants showed significant relationships between VOCs and NH3 for most stages of the technological line of both biogas plants. In the case of technological sewage pumping stations, a significant relationship was also observed between VOCs and H2S. The obtained results may be helpful in preparing strategies to reduce the odours from waste treatment plants.
1. Introduction
One of the main goals of waste management is to optimize the collection of municipal solid waste (MSW). The introduction of an appropriate MSW economy system in the service area is of strategic importance for improving services, minimizing emissions of pollutants into the air, and reducing the economic costs of general waste management [1,2,3].
One of the methods of municipal waste management is its processing in a mechanical-biological treatment (MBT) installation. This method is used to minimize the amount of waste sent for landfilling [4]. In the case of municipal waste biogas plants (MWBP) which are a part of an MBT installation, an additional benefit of the plants’ operation is the production of energy from biogas captured during the methane fermentation process (a biological process of biodegradable waste: selectively collected or separated mechanically from a mixed waste stream) [5,6]. The types of energy sources, especially alternative energy sources, have a significant impact on the social and economic development of countries around the world [7,8,9,10]. Moreover, the process of controlled collection and processing of biogas used, among others, in MWBP, contribute to the reduction of methane emissions (being a greenhouse gas, which is the main component of biogas) to the atmosphere [11,12]. The use of waste as a resource is an important element in the sustainable development of urban infrastructure. The use of waste as a source of green energy is an important element in the circular economy [13].
An important issue regarding waste processing facilities is the emission of odorous compounds (odorants), which is often a serious problem for plant employees and residents of nearby areas [14,15].
The MBT plant for municipal solid waste consists of various elements of the technological line related to the storage and sorting of waste (mechanical processes) as well as the fermentation and stabilization of waste (biological process). These elements are potential sources of odorants [16,17]. Gases emitted during the MSW treatment processes consist of various types of volatile organic compounds (VOCs) and inorganic compounds, e.g., ammonia (NH3) and hydrogen sulphide (H2S) [16,18,19]. Considering the mechanical part, uncontrolled fermentation of organic waste during storage and pretreatment is the main cause of the increase in odorant emissions, in particular VOCs [20,21]. In the case of the biological part in the use of anaerobic processes, although the methane fermentation is carried out in closed fermentation chambers, substances generated during the anaerobic digestion process may be emitted during the stages related to the stabilization and maturation of the digestate and are also a source of emissions of odorous compounds [15,22,23]. Chemical characterization of emissions from MBT MSW plants is important in order to determine which compound or group of compounds is characteristic for each element of the technological line. Gallego et al. [24] concluded in their research that this knowledge may be very important in improving the waste treatment system in order to reduce odorant emissions.
One of the factors influencing the emission of odorants is the meteorological conditions, in particular temperature and relative air humidity [25,26,27]. The variability of these parameters is mainly related to the changing seasons of the year. High summer temperatures result in greater emissions from surface liquid sources. As the temperature increases, the Henry’s Law constant increases, which means the pollutants become more volatile and the emissions increase. In the case of sewage treatment devices, odorant emissions are higher in summer also due to the increase in the activity of anaerobic bacteria [28]. In addition, oxygen is less soluble at higher temperatures, so conditions become anaerobic. Anaerobic bacteria form reduced sulphides, which are among the most common odour-causing compounds [25,28].
Many scientists have analysed the influence of microclimate parameters: air temperature and relative humidity on the concentration of odour or odorants. Guo et al. [29] concluded in their research that the temperature inside the rooms did not have a significant influence on the odour concentration. In another paper, Guo et al. [30] also showed no correlation not only between the temperature of internal air, but also between the stream of ventilated air and the odour concentration. In their study, Choi et al. [31] obtained a correlation coefficient of +0.62 between odour concentration and internal air temperature and −0.43 between odour concentration and relative humidity. Yao et al. [32] analysed the effect of air temperature and relative humidity on the concentration of certain odorants, ammonia (NH3), dimethyl sulphide (DMS) and dimethyl disulphide (DMDS), throughout the year. These studies did not show a significant relationship between air temperature and relative humidity and the determined chemical compounds, which could indicate the influence of other factors on the variability of the concentration of chemical compounds. In another work, Yao et al. [33] investigated the influence of the ventilation level on the concentration of VOCs included in the odour mixture. In this case, they also did not obtain a positive correlation between the examined parameters. Mielcarek-Bocheńska and Rzeźnik [34] reached other conclusions, examining the influence of various microclimate parameters: temperature and relative humidity of indoor air and the level of ventilation on the concentrations of compounds such as ammonia (NH3), nitrogen oxide (N2O) and carbon dioxide (CO2). For all analysed parameters, they obtained a statistically significant correlation (p ≤ 0.05). Similar studies were also conducted by Le et al. [35], Miller et al. [36], Romain et al. [37], Schauberger et al. [38] and Sun et al. [39]. The results obtained by scientists show different levels of correlation between air temperature and relative humidity and odour emission depending on e.g., on the method of breeding. The example of research conducted on pig farms shows the complexity of the influence of the analysed parameters on the concentration of odorants. This dependence is not obvious and only comprehensive and meticulous research can give an answer to the real influence of both air temperature and relative humidity on odour emission in each situation, including those related to waste management.
Despite numerous scientific studies accompanied by analyses of the microclimate parameters impact on the emission of various chemical compounds, none of them refers to the municipal waste treatment and are carried out in a much shorter period of time—usually three months.
The literature review and our previous research show that the main factors causing odour emissions are following: organic substance decomposition processes, the dynamics which depend on the type of organic substance (biodegradable waste, animal faeces, etc.), microclimate parameters and technological regime [15,34].The study attempts to verify the above dependencies for individual odour emission sources in two municipal waste mechanical-biological treatment plants equipped with a biological part with fermentation chambers, which are a source of energy production from biogas. The obtained research results may be useful in the search for new technological solutions minimizing the emission of odorants, as well as in improving the functioning solutions. As Júnior et al. [40] concluded, there is not much information about the impact of MWBP on the environment is therefore important to provide an overall picture of the technologies used at the plants. The results presented in this paper are innovative, because so far there have been few scientific studies on odorant emissions from installations such as biogas plants processing municipal waste. The research presented in this paper is a continuation of earlier studies [15,27]. These papers contain the results of pilot research at six plants, which were the basis for the selection of more intensive research facilities, conducted on an annual basis.
2. Materials and Methods
2.1. Characteristics of the Analysed Plants
Both biogas plants under analysis are located in the eastern part of Poland and thus have the same climatic conditions, which is beneficial from the point of view of the research conducted. Both plants are equipped with installations designed for mechanical and biological treatment of municipal waste. The flowcharts of processes at the mechanical-biological waste treatment installations are shown in Figure 1. The particular flow-chart elements are also identified as odour sources, what is described in previous paper [15]. The mechanical part of both installations consists of similar processes, including the storage of waste delivered to the plants (mixed and raw materials collected selectively at the source) and their mechanical treatment (mainly sieving and mechanical sorting using special separators). The differences occur in the biological part, consisting of the processes of preparing the material for fermentation, methane fermentation and aerobic stabilization of the digestate. At biogas plant A, the input material for fermentation chambers is biodegradable waste collected, selectively and prepared for the process on the technological site. In the case of biogas plant B, the input material for fermentation chambers is the fraction of 20–80 mm sorted mechanically from the mixed waste stream (using sieve systems and special separators). This fraction is mainly biodegradable what is typical for municipal waste and is the basis of MBT process. According to [41] in the MSW fraction of <80 mm intended for the bioprocessing step of the MBT system, “organic waste” was the component with the largest share. Its share was, on average, at the level of 27.9 ± 10.5%. At biogas plant B, this fraction is prepared inside the technological plant building. In both plants the fermentation process lasts 21 days and then the aerobic stabilisation of the digestate lasts approximately four weeks.
Figure 1.
Process flow-chart of mechanical-biological treatment of waste at the analysed plant and main odour sources included in the research: A (a) and B (b).
2.2. Study Methodology
The research presented in this paper covers chemical determinations of compounds causing a negative olfactory sensation (odorants): volatile organic compounds (VOCs), ammonia (NH3), hydrogen sulphide (H2S) and methyl mercaptan (CH3SH) as well as the prevailing microclimatic conditions, temperature and relative air humidity using the streak method. In accordance with European standard which was developed by the Association of German Engineers (Verein Deutscher Ingenieure)—VDI 3940 [42], measurements at a height of 1.5 m were carried out using a portable Kestrel 4500 NV weather meter. Odorants were monitored using a MultiRae Pro portable multigas gas detector (RAE Systems, Inc.; San Jose, CA, USA) equipped with four individual compound sensors. The device has a built-in pumping system that allows the user to take gas samples directly from the source. The detector characteristics are shown in Figure 2. Five parallel measurements were made at each of the indicated measurement points (Table 1). The tests were carried out in thirteen measurement series (from July 2019 to March 2020, Table 2) at two municipal waste mechanical and biological treatment plants with an installation for biogas collection and its energy use. The length of the research period is connected with the variability of seasons in Poland, as well as the variability of the temperature (T) and relative air humidity (RH) of inside and outside air.
Figure 2.
The MultiRae Pro gas detector characteristic.
Table 1.
Measurement points at the examined biogas plants.
Table 2.
Dates of measurement series at two biogas plants.
Odorant emission rates Eod [kg/h] from roof ventilators and from biofilters were calculated as the product of the odorant concentration Cod [kg/m3] (odorant concentrations [kg/m3] were calculated according to the methodology presented in reference [43]) and the ventilation rate VR [m3/h], according to the equation:
The calculation of the emissions requires a conversion in the units of individual compounds from ppm to kg/m3. The concentrations of NH3, H2S and CH3SH were calculated as follows:
where: 24.45 is the volume (in dm3) of a mole (gram molecular weight) of a gas at 1 atmospheric pressure and 25 °C, and M is the molecular weight of odorants, of which the values are 17.03 (NH3), 34.08 (H2S) and 48.11 (CH3SH) respectively.
In the case of VOCs, the methodology for converting concentrations was used according to [44]. For a common VOC mixture, there is a close relationship between the VOCs measurement by a PID sensor used in the MultiRae Pro detector and that by charcoal sampling followed by gas chromatography with using flame ionization detector (GC-FID) analysis (R2 = 0.95):
where CPID (in ppb) is the isobutylene-based concentration measured by PID sensor and CGC (in ppb) is the concentration determined by GC. Assuming CGC is a toluene-equivalent concentration, CGC in µg/m3 can be converted to CGC in ppb using the ideal gas law:
where 92.14 is the molecular weight of toluene.
2.3. Statistical Analysis
The statistical analysis was made using the Statistica 13 software. The analysis of measured data was carried out by means of correlation analysis and linear regression. The dependent variables were odorant concentrations. The total number of independent variables considered in the regression analysis was two: air temperature and relative air humidity.
3. Results and Discussion
3.1. Microclimatic Parameters
To determine the effect of microclimatic conditions on the concentration and emission of odorants at biogas plants, VOC and NH3 concentrations were recorded together with simultaneous monitoring of air temperature and humidity. Figure 3 and Figure 4 show the results of the measurements of temperature (T) and relative air humidity (RH) (inside the halls—Ti, RHi and outside the halls, To, RHo values) in individual measurement series.
Figure 3.
Inside and outside temperature (T) and relative humidity (RH) at biogas plant A (a) and biogas plant B (b) at individual measurement series.
Figure 4.
Correlation diagrams between NH3 concentration in the waste storage section of biogas plant A and measured microclimatic parameters with regression lines: (a) R2 = 0.37, (b) R2 = 0.33.
The results show positive and high correlations of Ti with To (R = 0.9888) and RHi with RHo (R = 0.7548).
3.2. Odorant Concentration
The results obtained (average values with standard deviations) are presented in Table 3, Table 4, Table 5, Table 6, Table 7, Table 8, Table 9 and Table 10 with a division into individual elements of the process line and including emission from ventilators.
Table 3.
Measurement results for the waste storage section.
Table 4.
Measurement results for the mechanical treatment section.
Table 5.
Measurement results for the fermentation preparation technological operation.
Table 6.
Measurement results for the oxygen stabilization technological operation.
Table 7.
Measurement results for the pre-RDF storage technological operation.
Table 8.
Measurement results in front of the technological plant buildings.
Table 9.
Measurement results of the emissions from roof ventilators.
Table 10.
Measurement results of the emissions from biofilters.
3.2.1. Waste Storage
Table 3 presents the test results (mean values with standard deviations) for the waste storage section for points a—inside the hall-at 1.5 m, b—mixed waste and c—selectively collected waste.
At biogas plant A, VOC concentrations from 0.21–12.24 ppm and NH3 concentrations from 0–6 ppm were recorded. The highest concentrations of VOCs and ammonia (for biogas plant A: VOCs = 12.24 ± 0.03 ppm, NH3 = 15 ± 1.85 ppm; for biogas plant B: VOCs = 18.66 ± 1.28 ppm, NH3 = 48 ± 4.91 ppm) were observed for both analysed biogas plants for point b—mixed waste. The higher level of VOC concentrations for point b at biogas plant B may be justified by the waste collection system in the service area—during the research period, the fraction of biodegradable waste was not collected selectively and was probably directed to mixed waste. In the case of the biogas plant service area A, selective collection of biodegradable waste is carried out, which is dictated by the need to prepare the input material for the fermentation process.
When analysing point c, selectively collected waste, higher VOC values were observed at biogas plant B, which may be due to irregularities related to the method of waste collection and, consequently, the purity of raw material waste. The highest standard deviation was observed for point b for the ammonia concentration in the third series: 48 ± 4.91 ppm. The obtained results at the presented level probably come from the substance contained in the waste (noticeable smell of the solvent). The lowest values of the tested compounds were observed at point a.
3.2.2. Mechanical Treatment
Table 4 presents the test results (mean values with standard deviations) for the mechanical treatment section for points d (inside the hall at 1.5 m) and e (inside the hall at 4.0 m).
Analysing the results obtained for the mechanical treatment section, higher VOC concentrations can be observed for point e, at height 4.0 m. At the biogas plant A, these concentrations are in the range of 0.11–3.23 ppm, and in the biogas plant B, in the range: 0.05–10.23 ppm. The higher values in the B biogas plant are determined by the quality of the waste to be processed.
3.2.3. Fermentation Preparation
Table 5 shows the test results (mean values with standard deviations) for the fermentation preparation section for points f (fermentation fraction) and g (over the wastewater tank of the pumping station). During the tests, the presence of hydrogen sulphide and methyl mercaptan was observed only at point g.
At biogas plant A, VOCs were found at the level from 0.02 ppm to 14.79 ppm, NH3 in the range of 0–100 ppm, H2S in the range of 0 ÷ 1 ppm and CH3SH between 0 ÷ 1.5 ppm. When analysing the presented research results, the highest concentrations of VOCs were observed for the point (fermentation fraction). In the case of biogas plant A, measurements for this point were made only in four series, which resulted from the availability of this fraction during the tests (biodegradable waste collected selectively screened through a mobile sieve with a mesh size of 0–20 mm). The prepared fraction in this biogas plant is directed to the buffer on an ongoing basis, excluding storage operations in the yard. A different situation occurs in biogas plant B (concentration ranges: VOCs = 0.01–25.41 ppm, NH3 = 0–100 ppm, H2S = 0–100 ppm and CH3SH = 0–10 ppm). In this case, the fraction for fermentation (biodegradable fraction released mechanically from the mixed waste stream) is stored in the hall or, in the case of insufficient space, on the technological site with exposure to microclimatic conditions. The high level of ammonia at this point may be the result of anaerobic changes taking place under uncontrolled conditions.
Sulphur compounds, H2S and CH3SH, are present only for point g (over the wastewater tank of the pumping station), mainly in biogas plant B, which is conditioned by the technology used in the plants and the origin of the wastewater. At biogas plant A, the tank receives sewage from the technological site, where there are piles of waste subjected to aerobic processes (leachate from heaps and sewage generated as a result of precipitation) and from the biodrying hall. The concentration range of sulphur compounds for point g in biogas plant A is: H2S = 0–1.0 ppm and CH3SH = 0–1.5. In the case of biogas plant B, leachate from the fermentation process is directed to the tank, and the concentration range of the tested compounds is: H2S = 0–100 ppm and CH3SH = 0–10 ppm.
3.2.4. Oxygen Stabilization
Table 6 shows the test results (average values including standard deviations) for the oxygen stabilization section for points h (waste subjected to an oxygen stabilization process) and I (biodegradable waste selectively collected).
At biogas plant A, VOCs were recorded at levels from 0.06 ppm to 16.22 ppm, and NH3 at the level 0–100 ppm. At biogas plant B, VOC levels varied from 0.46–11 ppm and NH3 from 0–100 ppm.
3.2.5. Other Elements of Technological Line
Pre-RDF Storage
Table 7 shows the test results (average values with standard deviations) for the pre-RDF storage section for measurements points: j (shredded preRDF fraction at the storage shelter) and j′ (RDF fraction subjected for biodrying).
At biogas plant A, VOCs ranging from 0.02 ppm to 18.77 ppm were recorded, and NH3 in the range 0–8 ppm. At biogas plant B, VOC concentrations of 0.13–17.81 ppm and NH3 of 0–30 ppm were recorded. The technological process of biodrying of the pre-RDF fraction is carried out exclusively in the biogas plant A, and the concentration range of the tested compounds for this point is VOCs = 0.10–2.25 ppm, NH3 = 1–4 ppm.
Measurements in Front of the Technological Plant Buildings
Table 8 shows the measurement results (average values including standard deviations) in front of the plant buildings for measurement points o (in front of the waste storage hall entrance) and p (in front of the mechanical treatment hall entrance).
At the entrances to the buildings, the concentrations of the tested chemical compounds in each of the analysed plants are at a similar level. In the case of biogas plant A, the concentration of VOC can be observed at the level of 0–2.73 ppm and NH3 at the level of 0–3 ppm. In the case of biogas plant B, the VOC concentration was recorded in the range of 0–1.75 ppm and NH3 0–2 ppm.
3.3. Emission
3.3.1. Emission from Roof Ventilators
Table 9 shows the measurement results for section emissions from roof ventilators for measurement points at biogas plant A: l (ventilator 1 process gases captured from over mixed waste), m (ventilator 2 process gases captured from the hall centre) and n (ventilator 3 process gases captured from the mechanical treatment building); and at biogas plant B: l (ventilator 1 process gases captured from over mixed waste and selectively collected waste), m (ventilator 2 dust-extracting-process gases captured from the hall centre), n (ventilator 3 process gases captured from the mechanical treatment building) and n′ (ventilator 4 process gases also captured from the same building).
The analysis of the results obtained from the roof ventilators shows that greater emission occurs from the ventilators in the B biogas plant: VOCs = 0.012–0.106 kg/h, NH3 = 2.3 × 10−5–6.5 × 10−5 kg/h. In the case of biogas plant A, the emissions from the ventilators are at a lower level: VOCs = 0.011–0.275 kg/h, NH3 = 0–0.271 kg/h.
3.3.2. Emission from Biofilters
Table 10 shows the measurement results for emissions from biofilters—measurement point k—the biofilter surface.
Data analysis shows that the amount of emission from the biofilter surface is within the range for biogas plant A: VOCs = 0–0.153 kg/h, NH3 = 0–0.335 kg/h, and for biogas plant B: VOCs = 0.004–0.149 kg/h, NH3 = 4.5 × 10−5–1.3 × 10−1 kg/h.
3.4. Air Temperature and Humidity Influence on VOC and Ammonia Concentrations and Emission
The correlation analysis between the odorant concentrations and measured microclimatic parameters was made and presented with division into individual stages (sections) of the technological sequence.
3.4.1. Waste Storage
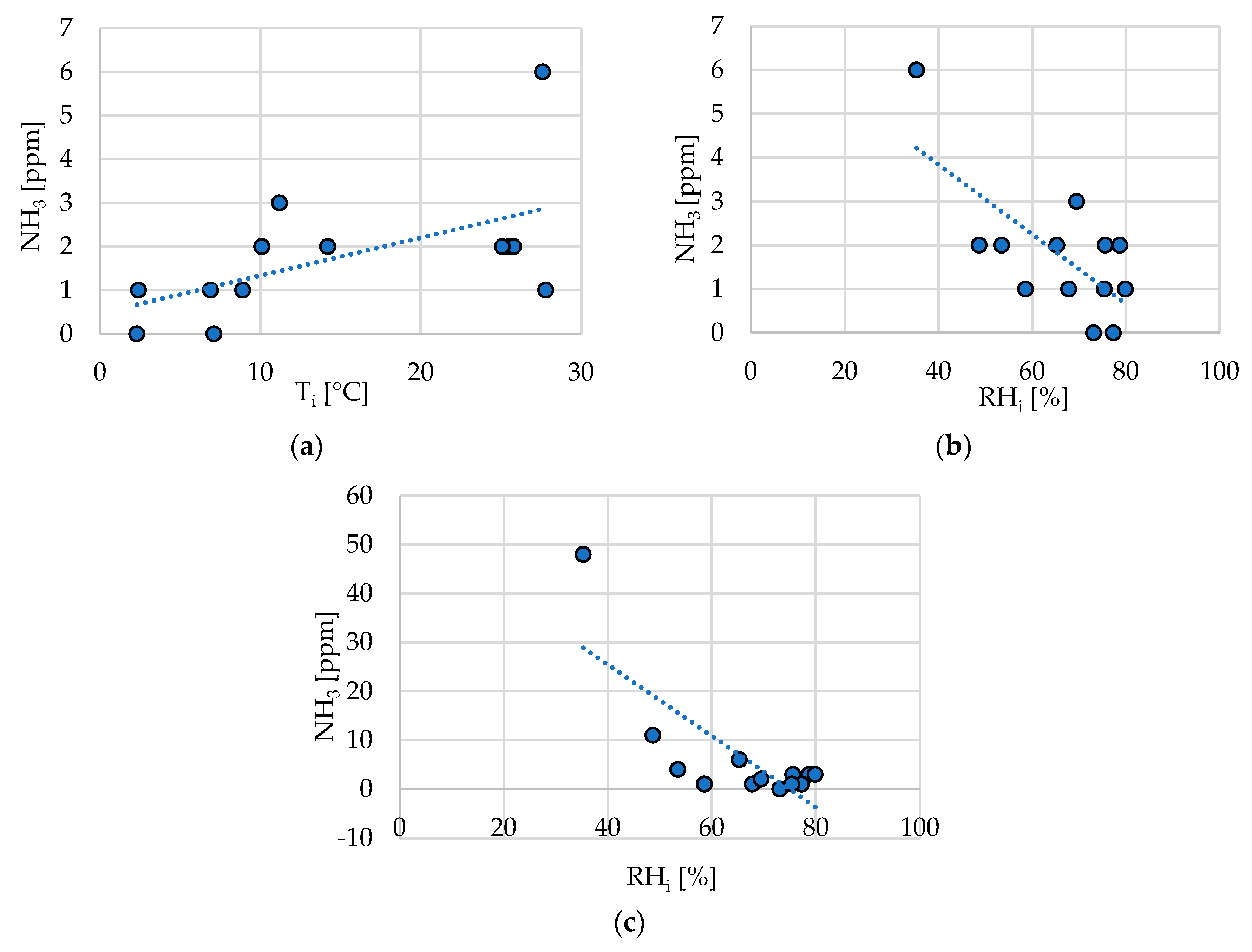
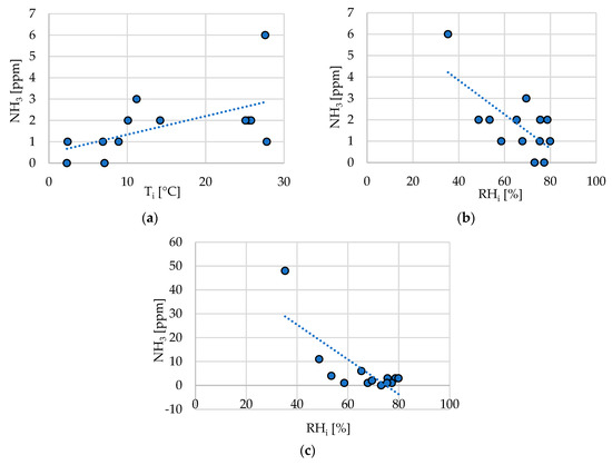
In the waste storage section, some significant correlations (p ≤ 0.05) were found between NH3 concentration and both the air temperature and RH. However, no influence of microclimatic factors on VOC concentration was observed. This is most likely due to the influence of other factors—primarily the type of waste stored (to be processed in the biogas plant) and the duration of storage. Ammonia concentration plotted against T and RH are shown in Figure 4 and Figure 5.
Figure 5.
Correlation diagrams between NH3 concentration in the waste storage section of biogas plant B and measured microclimatic parameters with regression lines: (a) inside the hall R2 = 0.31, (b) selectively collected waste R2 = 0.49, (c) mixed waste R2 = 0.59.
The results show a positive correlation of the NH3 concentration with T and a negative correlation with RH. The observed correlations were not high: R = 0.60 and R = 0.56 for T and R = –0.58, R = −0.70 and R = −0.76 for RH.
3.4.2. Mechanical Treatment
In the case of mechanical treatment, no significant correlations were also found, both between T and RH, and the odorant concentrations. Again, the most likely cause is the high variability in the quality of the waste. Only in one odour source (d, biogas plant A) the study showed that the concentration of VOCs was statistically significantly dependent on RH (p ≤ 0.05). The concentration of VOCs in relation to RHi is shown in Figure 6.
Figure 6.
Correlation diagrams between VOC concentration in the mechanical treatment section of A biogas plant and measured RHi parameter with regression line: R2 = 0.36.
The concentrations of VOCs in mechanical treatment section are correlated negatively with RH (R = −0.60).
3.4.3. Fermentation Preparation
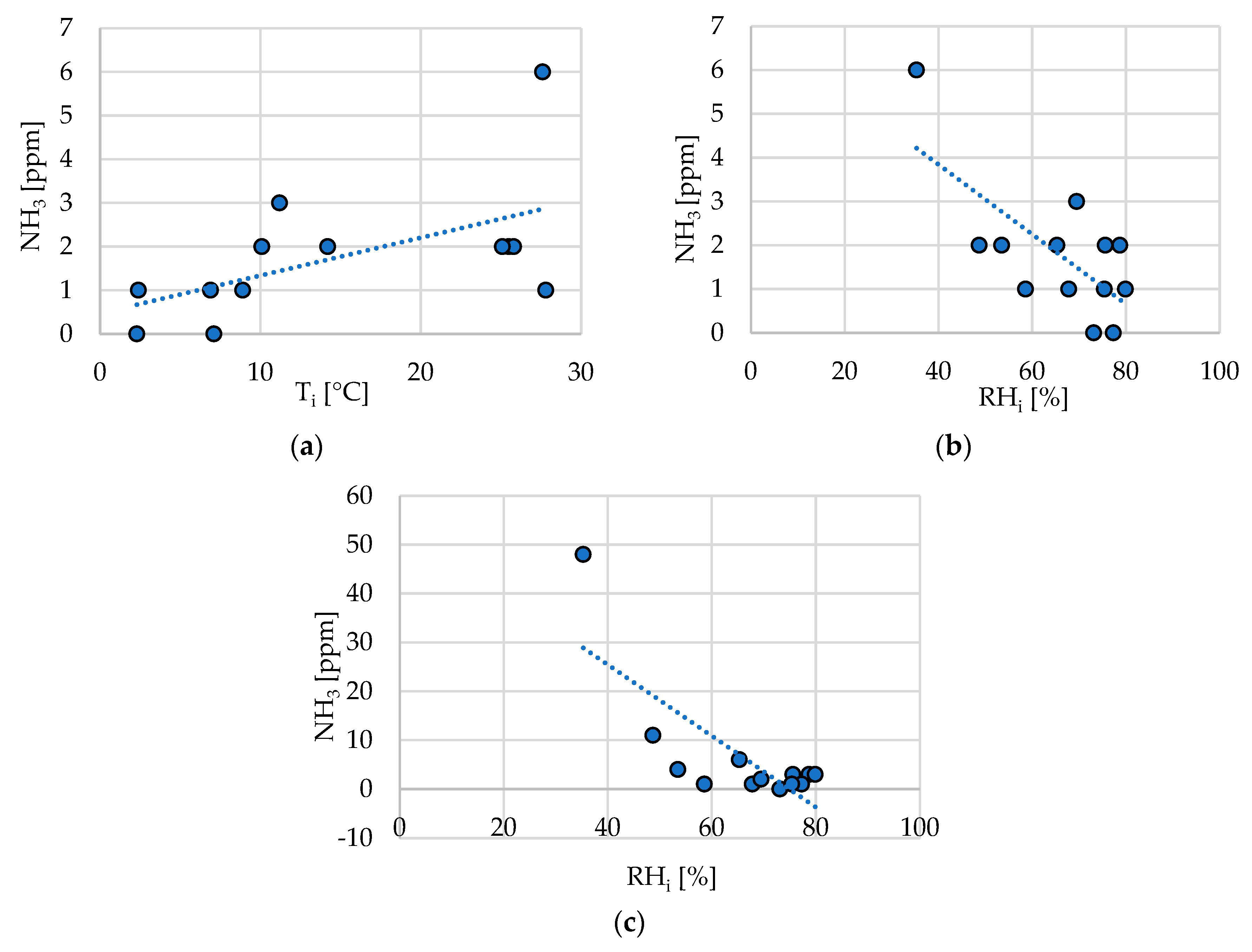
The impact of air temperature and humidity is clearly visible in the fermentation preparation section. Significant correlations were found between odorant concentrations (both VOCs and NH3) and both T and RH—as shown in Figure 7 and Figure 8.

Figure 7.
Correlation diagrams between odorant concentration in the fermentation preparation section of biogas plant A and measured microclimatic parameters, with regression lines: (a) R2 = 0.96, (b) R2 = 0.34, (c) R2 = 0.33.
Figure 8.
Correlation diagrams between odorant concentration in the fermentation preparation section of biogas plant B and measured microclimatic parameters, with regression lines: (a) fermentation fraction R2 = 0.44, (b) fermentation fraction R2 = 0.59, (c) wastewater tank R2 = 0.39, (d) wastewater tank R2 = 0.50.
In the case of the fermentation preparation section, a significant effect of both T and RH on the concentration of odorants from the fraction prepared for fermentation and over wastewater tank was observed. In most cases, the results show a positive correlation of the VOC and NH3 concentrations with T (from R = 0.57 to R = 0.66) and a negative correlation with RH (from R = −0.58 to R = −0.77). A strong negative correlation with T was only observed in the case of the VOC concentration captured from the fraction prepared for fermentation in biogas plant A (R = −0.99).
3.4.4. Oxygen Stabilization
In the oxygen stabilization section, almost no statistically significant correlations were found both between T and RH and odorant concentrations. Most likely, the reason for this situation is the influence of other factors—mainly the type of waste going to the plant and, consequently, subjected to oxygen stabilization at the end of the technological line. Only at biogas plant B did the test show a statistically significant correlation between odorant concentrations and measured microclimatic parameters (p ≤ 0.05). VOCs and NH3 concentrations plotted against T and RH are shown in Figure 9.
Figure 9.
Correlation diagrams between odorant concentration in the oxygen stabilisation section of biogas plant B and measured microclimatic parameters, with regression lines: (a) R2 = 0.40, (b) R2 = 0.57, (c) R2 = 0.35.
The results show a positive correlation of VOC and NH3 concentrations with T (respectively R = 0.64 and R = 0.75) and the negative correlation with RH, but not high (R = −0.59). The correlations observed are related to the concentrations of odorants that have been captured from green waste directed to aerobic stabilization together with the digestate in biogas plant B. This waste stream is characterized by lower variability compared to other biofractions—hence the more visible influence of atmospheric factors on odorant concentrations. No influence of air temperature and humidity on concentrations of odorants from the digestate was observed. In this case, the type of waste delivered to the plant is most likely to have a major impact.
3.4.5. Other Elements of the Process Line
The figures show the relationships between the results of measurements coming from the pre-RDF storage and in front of the technological plant buildings.
In the pre-RDF section, some significant correlations (p ≤ 0.05) were found especially between NH3 concentrations and both air temperature and RH. Odorant concentrations plotted against T and RH are shown in Figure 10 and Figure 11.
Figure 10.
Correlation diagrams between NH3 concentration in the pre-RDF storage section of biogas plant A and measured microclimatic parameters, with regression lines: (a) R2 = 0.54, (b) R2 = 0.47.
Figure 11.
Correlation diagrams between odorant concentration in the pre-RDF storage section of biogas plant B and measured microclimatic parameters, with regression lines: (a) R2 = 0.39, (b) R2 = 0.44.
The results show a positive correlation of odorant concentrations with T and a negative correlation of NH3 concentration with RH. The observed correlations were not high—R = 0.73 and R = 0.63 for T and R = −0.69 and R = −0.67 for RH (p ≤ 0.05), respectively.
In the case of measurements made at the technological plant building entrances (storage hall and mechanical treatment hall), significant correlations were only observed in the case of VOC concentration measurement results at the mechanical treatment hall—both in the case of biogas plants A and B.
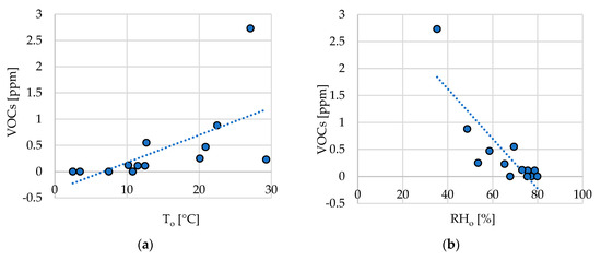
The tests show statistically significant correlations between VOC concentrations and measured microclimatic parameters (p ≤ 0.05). VOC concentrations plotted against T and RH are shown in Figure 12 and Figure 13.
Figure 12.
Correlation diagrams between VOC concentration in front of the mechanical treatment hall entrance at biogas plant A and measured microclimatic parameters, with regression lines: (a) R2 = 0.37, (b) R2 = 0.70.
Figure 13.
Correlation diagrams between VOC concentration in front of the mechanical treatment hall entrance at biogas plant B and measured microclimatic parameters, with regression lines: (a) R2 = 0.62, (b) R2 = 0.43.
A significant effect of both temperature and air humidity on the VOC concentration was observed at the mechanical treatment hall entrance. The results show a positive correlation of the VOC concentration with T (from R = 0.61 to R = 0.79) and a negative correlation with RH (from R = −0.66 to R = −0.84).
3.4.6. Emission
The Figure 14, Figure 15 and Figure 16 show the relationship between T and RH and emissions from roof ventilators and from biofilters. In the case of emissions from roof ventilators, a lot of significant correlations (p ≤ 0.05) were found (in 18 measuring sources in total) between odorant emissions (both VOC and NH3) and both measured microclimatic parameters (T and RH), especially at biogas plant B. In Figure 14 and Figure 15, the relationships with the greatest significance and the best linear fits for both biogas plants are shown.
Figure 14.
Correlation diagrams between emission from roof ventilators at biogas plant A and measured microclimatic parameters, with regression lines: (a) R2 = 0.35, (b) R2 = 0.43.
Figure 15.
Correlation diagrams between emission from roof ventilators at biogas plant B and measured microclimatic parameters, with regression lines: (a) R2 = 0.67, (b) R2 = 0.47, (c) R2 = 0.41, (d) R2 = 0.58.
Figure 16.
Correlation diagrams between VOC emission from biofilters at biogas plants and measured microclimatic parameters, with regression lines: (a) biogas plant A R2 = 0.39, (b) biogas plant B R2 = 0.33.
In Figure 16, the relationships with the greatest significance and the best linear fits for both biogas plants are shown.
The results show a negative correlation of the VOC emissions with RH and a positive correlation with T. The observed correlations were not high: R = −0.62 and R = 0.57 (p ≤ 0.05), respectively.
3.5. Comparison of Air Temperature and Humidity Influence on Odorant Concentrations and Emission
The best obtained values of correlation coefficient of odorant concentrations and emission with measured microclimatic conditions (equal and higher than R = 0.7, p ≤ 0.05) are shown in Table 11.
Table 11.
The best correlation coefficients between odorant concentrations and emissions and measured microclimatic conditions at biogas plants.
The above comparison clearly shows that, at biogas plants treating municipal waste, there is a statistically significant influence of air temperature mainly on VOC concentrations and emission. As for the influence of RH, there is a statistically significantly influence mainly on NH3 concentrations and emissions. All correlations between odorant concentration and emission and RH are negative correlations. Almost all correlations between odorant concentration and emission and air temperature are positive correlations. Only in one odour source in the fermentation preparation section (biogas plant A) was a negative correlation between VOC concentration and air temperature observed. Well-fitted dependences have been observed in all elements of the biogas plant technological line, with the exception of the mechanical treatment building. In the remaining technological sections, statistically significant correlations were found between air temperature and VOC concentrations and emission as well as between air humidity and NH3 concentrations and emissions with significance (p-values) at the level of 0.0003–0.0217. Some authors [34] report that well-fitted dependences should correspond to R2 ≥ 0.60. Assuming this, the best correlation coefficients (marked in grey in the table) were recorded mainly between VOC concentrations and emission and air temperature and are related to the fermentation preparation section, emission from roof ventilators and measurements in front of technological plant building entrances. The influence of air humidity at the indicated level was also observed for VOC concentration.
The obtained results indicate that two measured microclimatic parameters—air temperature and RH—did not explain all of the variability of the odorant emissions at biogas plants. The impact of microclimatic parameters on the odour and odorant concentration has been studied in other research e.g., in pig production systems and the results of it are also varied. The effect of inside temperature and relative air humidity was studied by Choi et al. [31]. The authors obtained correlation coefficients between odorant concentration and air temperature at the level of R = 0.62 and with relative humidity at the level of R = −0.43. The signs of the correlation coefficients were the same as in this study. Also, Wang et al. [44] and Hugle and Andree [45] noted a strong positive correlation between the concentration of odours/odorants and air temperature. Similar dependencies were found in research by Le et al. [33] and Schauberger et al. [38]. They found a positive correlation between the air temperature and odour emissions. In turn, in [46], similar observations were made in relation to the relationship between air temperature and odour and ammonia concentration (increased temperature was found to significantly increase odour concentration in the exhaust air p = 0.004, odour emission p = 0.002, ammonia concentration p = 0.043 and ammonia emission p = 0.052), but different in relation to the relationship with air humidity. In turn, in research obtained by Mielcarek-Bocheńska [34] and Guo et al. [30] the changes of odour concentration were opposite to temperature changes. They showed a negative correlation of the odour concentration with the air temperature. In addition, Yao et al. [31] stated that the concentrations of VOCs were correlated negatively with microclimate parameters (among others inside temperature). Miller et al. [36] found that odour emissions decreased as temperature and relative humidity increased. According to Yao et al. [33], the relationships between microclimate parameters and odour compounds concentrations (ammonia, dimethyl sulphide, dimethyl disulphide) change during the year and were not clear. Furthermore, Sun et al. [39] noted that the simple correlations between odour concentration and microclimate parameters (among others inside temperature) were not statistically significant. In reference [46], increase of RH in the exhaust air was found to significantly increase ammonia emission and ammonia concentration in the exhaust air, thus obtaining different results from this work. Similar conclusions were drawn in reference [47]—change of temperature and humidity in the environment may lead to change of odorant emission e.g., by affecting the volatilization or by affecting the activity of microorganisms producing odorous compounds. The authors suggest that reducing the moisture content reduces the odour production in manure, and this effect may be explained by less anaerobic conditions at low moisture levels [47]. The literature review shows that various settings of the ventilation system or the lack of it may also be the cause of different results of the relationship between odour and odorant concentration and meteorological parameters [22].
3.6. Correlation between Pollution Factors
The analysis of the correlation between the tested chemical compounds with the division into individual sections showed a significant relationship for biogas plant A for the mechanical treatment section: NH3-VOCs R = 0.6137, p = 0.0009, for the oxygen stabilization section; NH3-VOCs R = 0.5589, p = 0.0030 for emission from roof ventilators; and NH3-VOCs R = 0.7930, p = 0.0000. In the case of biogas plant B, the correlation analysis showed significant relationships for the waste storage section: NH3-VOCs R = 0.4379, p = 0.0053, for mechanical treatment; NH3-VOCs R = 0.4001, p = 0.0429, fermentation preparation for point g; VOCs-H2S R = 0.9727, p = 0.0000 and oxygen stabilization; NH3-VOCs R = 0.3891, p = 0.0494, for emissions from roof ventilators; and NH3-VOCs R = 0.3016, p = 0.0298. Most of the above-mentioned correlations observed for biogas plant B are lower compared to the dependences for biogas plant A (except for the dependence in the fermentation preparation section).
4. Conclusions
In this study, odorant concentrations and emissions were measured together with the air T and RH to determine the impact and importance of the microclimatic conditions on the level of odour emissions at municipal waste biogas plants. Simple correlation analyses were made to evaluate the natures of the relationships between the odorant concentration and emission and air temperature and relative humidity. The conclusions are summarised below.
The mean VOC and NH3 concentrations vary depending on the stage of the technological line of the analysed municipal waste biogas plants and are in the following ranges: 0–38.64 ppm (0–0.169 mg/m3) and 0–100 ppm (0–69.653 mg/m3), respectively. According to best available techniques (BAT) conclusions for waste treatment channelled VOC and NH3 emissions to air from biological waste treatment should not exceed values 40 mg/m3 and 20 mg/m3, respectively [48]. The odorant concentrations and emissions correlated with statistical significance with air temperature and relative humidity. The air temperature primarily influences VOC concentrations and emissions. Most correlations between these two variables are positive. Air humidity primarily influences NH3 concentrations and emissions. Most correlations between these two variables are negative. The impact and importance of microclimatic factors varies depending on the individual stages of the technological line of a biogas installation. The highest correlation coefficients were observed in the fermentation preparation section; in front of the technological plant building entrances; and in the air discharged by roof ventilators. Correlations between T and VOC reached values of up to R = −0.98, R = 0.79, R = 0.82. Similarly, correlations between RH and NH3 peaked at R = −0.77 and R = −0.84, −0.76, respectively. The smallest influence of microclimatic factors was observed at the beginning of the technological line of the biogas plant in the waste storage section and mechanical treatment hall. This is due to the greater impact of the type and quality of waste accepted at the plants and the use of an extraction system in these sections of the process line. Not all variability of the odorant concentrations and emission are explained by the air temperature and humidity. The differences in odorant concentration may be due to a lot of other factors: type of waste processed; waste storage time; type of technological processes used in a biogas plant; use of negative pressure installations; and other microclimatic factors.
The analysis of correlation between individual odorants showed significant relationships between volatile organic compounds and ammonia for most stages of the technological line of both biogas plants. The strongest correlation was noted for the fermentation preparation section at biogas plant B and for emissions from roof ventilators at biogas plant A. In the case of technological sewage pumping stations in biogas plant B, a significant relationship was also observed between VOCs and H2S. All these correlations were positive correlations.
A literature review of the subject and the results obtained in this study indicate that the natures of the relationships between microclimatic conditions and odorant concentration and emission are not clear and require further research. The obtained results may be helpful in preparing strategies to reduce odours from waste treatment plants. Considering the practical term of the research, it may be of great importance, especially for the managers of MWBPs. The analysis of individual technological processes, following the example of two biogas plants using different technologies, may be helpful in controlling these processes depending on the prevailing microclimatic conditions. The research could also be applied in formulating the principles of plant policy aimed at minimizing the emission of emitted compounds.
Author Contributions
M.W.: data collection, investigation, writing—original draft preparation; A.K.: conceptualization, methodology, supervision; K.L.-S.: writing—review and editing, visualisation, validation. All authors have read and agreed to the published version of the manuscript.
Funding
Work was co-financed by Warsaw University of Technology, Scientific Discipline of Environmental Engineering, Mining and Energy.
Conflicts of Interest
The authors declare no conflict of interest.
Abbreviations
| Eod | odorant emission [kg/h] |
| CH3SH | methyl mercaptan |
| H2S | hydrogen sulphide |
| MWBP | municipal waste biogas plant |
| MSW | municipal solid waste |
| NH3 | ammonia |
| pre-RDF | pre refused derived fuel fraction |
| RH [%] | relative humidity [%] |
| T [°C] | temperature [°C] |
| VOCs | volatile organic compounds |
References
- Costa, G.; Lieto, A.; Lombardi, F. LCA of a Consortium-Based MSW Management System to Quantify the Decrease in Environmental Impacts Achieved for Increasing Separate Collection Rates and Other Modifications. Sustainability 2019, 11, 2810. [Google Scholar] [CrossRef]
- Torretta, V.; Ionescu, G. Environmental assessment of the MSW treatment from the transport point of view. Manag. Environ. Qual. Int. J. 2016, 27, 419–426. [Google Scholar] [CrossRef]
- Wiśniewska, M.; Lelicińska-Serafin, K. The Role and Effectiveness of the MBT Installation in Poland Based on Selected Examples. Civ. Environ. Eng. Rep. 2019, 29, 1–12. [Google Scholar] [CrossRef]
- Kuo, W.-C.; Lasek, J.; Słowik, K.; Głód, K.; Jagustyn, B.; Li, Y.-H.; Cygan, A. Low-temperature pre-treatment of municipal solid waste for efficient application in combustion systems. Energy Convers. Manag. 2019, 196, 525–535. [Google Scholar] [CrossRef]
- Atelge, M.R.; Krisa, D.; Kumar, G.; Eskicioglu, C.; Nguyen, D.D.; Chang, S.W.; Atabani, A.E.; Al-Muhtaseb, A.H.; Unalan, S. Biogas Production from Organic Waste: Recent Progress and Perspectives. Waste Biomass Valorization 2018, 11, 1019–1040. [Google Scholar] [CrossRef]
- Wiśniewska, M.; Kulig, A.; Lelicińska-Serafin, K. Comparative analysis of preliminary identification and characteristic of odour sources in biogas plants processing municipal waste in Poland. SN Appl. Sci. 2019, 1, 550. [Google Scholar] [CrossRef]
- Ayodele, T.; Ogunjuyigbe, A.; Alao, M. Life cycle assessment of waste-to-energy (WtE) technologies for electricity generation using municipal solid waste in Nigeria. Appl. Energy 2017, 201, 200–218. [Google Scholar] [CrossRef]
- Kumar, B.; Bhardwaj, N.; Agrawal, K.; Chaturvedi, V.; Verma, P. Current perspective on pretreatment technologies using lignocellulosic biomass: An emerging biorefinery concept. Fuel Process. Technol. 2020, 199, 106244. [Google Scholar] [CrossRef]
- Cudjoe, D.; Han, M.S.; Nandiwardhana, A.P. Electricity generation using biogas from organic fraction of municipal solid waste generated in provinces of China: Techno-economic and environmental impact analysis. Fuel Process. Technol. 2020, 203, 106381. [Google Scholar] [CrossRef]
- Seruga, P.; Krzywonos, M.; Wilk, M. Treatment of By-Products Generated from Anaerobic Digestion of Municipal Solid Waste. Waste Biomass Valorization 2019, 11, 4933–4940. [Google Scholar] [CrossRef]
- Abbasi, T.; Tauseef, S.; Abbasi, S.A. Biogas Energy; Springer: New York, NY, USA, 2011. [Google Scholar] [CrossRef]
- Wellinger, A.; Murphy, J.D.; Baxter, D. The Biogas Handbook: Science, Production and Applications; Elsevier: Amsterdam, The Netherlands, 2013. [Google Scholar]
- Wiśniewska, M.; Lelicińska-Serafin, K. The effectiveness of the mechanical treatment of municipal waste using the example of a selected installation. E3S Web Conf. 2018, 45, 00102. [Google Scholar] [CrossRef]
- Hou, J.; Li, M.; Jia, X.; Xia, T.; Xi, B.; Wei, Z.-M.; Liu, H. Treatment of municipal solid waste using an MBMB process coupled with biofiltration: Control of odorous substance emissions. Environ. Earth Sci. 2016, 75, 967. [Google Scholar] [CrossRef]
- Wiśniewska, M.; Kulig, A.; Lelicińska-Serafin, K. Odour Emissions of Municipal Waste Biogas Plants—Impact of Technological Factors, Air Temperature and Humidity. Appl. Sci. 2020, 10, 1093. [Google Scholar] [CrossRef]
- Moreno, A.; Arnaiz, N.A.; Font, R.; Carratalá, A. Chemical characterization of emissions from a municipal solid waste treatment plant. Waste Manag. 2014, 34, 2393–2399. [Google Scholar] [CrossRef]
- Wiśniewska, M.; Kulig, A.; Lelicińska-Serafin, K. Identification and preliminary characteristics of odour sources in biogas plants processing municipal waste. SHS Web Conf. 2018, 57, 02016. [Google Scholar] [CrossRef]
- Ding, Y.; Wei, J.; Xiong, J.; Zhou, B.; Cai, H.; Zhu, W.; Zhang, H. Effects of operating parameters on in situ NH3 emission control during kitchen waste composting and correlation analysis of the related microbial communities. Environ. Sci. Pollut. Res. 2019, 26, 11756–11766. [Google Scholar] [CrossRef]
- Dorado, A.D.; Husni, S.; Pascual, G.; Puigdellivol, C.; Gabriel, G. Inventory and treatment of compost maturation emissions in a municipal solid waste treatment facility. Waste Manag. 2014, 34, 344–351. [Google Scholar] [CrossRef]
- Cadena, E.; Adani, F.; Font, X.; Artola, A. Including an Odor Impact Potential in Life Cycle Assessment of waste treatment plants. Int. J. Environ. Sci. Technol. 2018, 15, 2193–2202. [Google Scholar] [CrossRef]
- Sironi, S.; Capelli, L.; Centola, P.; Del Rosso, R. Development of a system for the continuous monitoring of odours from a composting plant: Focus on training, data processing and results validation methods. Sens. Actuators B Chem. 2007, 124, 336–346. [Google Scholar] [CrossRef]
- Tepe, N.; Yurtsever, D.; Duran, M.; Mehta, R.J.; Bruno, C.; Punzi, V.L. Odor control during post-digestion processing of biosolids through bioaugmentation of anaerobic digestion. Water Sci. Technol. 2008, 57, 589–594. [Google Scholar] [CrossRef]
- Markphan, W.; Mamimin, C.; Suksong, W.; Prasertsan, P.; O-Thong, S. Comparative assessment of single-stage and two-stage anaerobic digestion for biogas production from high moisture municipal solid waste. PeerJ 2020, 8, e9693. [Google Scholar] [CrossRef] [PubMed]
- Gallego, E.; Roca, F.; Perales, J.; Sanchez, G.; Esplugas, P. Characterization and determination of the odorous charge in the indoor air of a waste treatment facility through the evaluation of volatile organic compounds (VOCs) using TD–GC/MS. Waste Manag. 2012, 32, 2469–2481. [Google Scholar] [CrossRef] [PubMed]
- Sattler, M.L.; Devanathan, S. Which Meteorological Conditions Produce Worst-Case Odors from Area Sources? J. Air Waste Manag. Assoc. 2007, 57, 1296–1306. [Google Scholar] [CrossRef] [PubMed]
- Sema, T.; Incecik, S.; Sezginer, U.Y. The influence of meteorological conditions and stringent emission control on high TSP episodes in istanbul. Environ. Sci. Pollut. Res. 2003, 10, 24–32. [Google Scholar] [CrossRef]
- Wiśniewska, M.; Kulig, A.; Lelicińska-Serafin, K. Effect of meteorological conditions on odour emission at biogas plants processing municipal waste—Pilot research. E3S Web Conf. 2019, 116, 00098. [Google Scholar] [CrossRef]
- Metcalf, E. Wastewater Engineering: Treatment, Disposal, and Reuse, 3rd ed.; Irwin/McGraw-Hill: Boston, MA, USA, 1991; ISBN 0070416907. [Google Scholar]
- Guo, H.; Wang, Y.; Yuan, Y. Annual variations of odor concentrations and emissions from swine gestation, farrowing, and nursery buildings. J. Air Waste Manag. Assoc. 2011, 61, 1361–1368. [Google Scholar] [CrossRef]
- Guo, H.; Dehod, W.; Agnew, J.; Feddes, J.R.; Lague, C.; Pang, S. Daytime Odor Emission Variations from Various Swine Barns. Trans. ASABE 2007, 50, 1365–1372. [Google Scholar] [CrossRef]
- Choi, H.L.; Kim, K.Y.; Kim, H. Correlation of Air Pollutants and Thermal Environment Factors in a Confined Pig House in Winter. Asian-Australas. J. Anim. Sci. 2007, 18, 574–579. [Google Scholar] [CrossRef]
- Yao, H.Q.; Choi, H.L.; Lee, J.H.; Suresh, A.; Zhu, K. Effect of microclimate on particulate matter, airborne bacteria, and odorous compounds in swine nursery houses1. J. Anim. Sci. 2010, 88, 3707–3714. [Google Scholar] [CrossRef]
- Yao, H.; Choi, H.-L.; Zhu, K.; Lee, J. Key volatile organic compounds emitted from swine nursery house. Atmos. Environ. 2011, 45, 2577–2584. [Google Scholar] [CrossRef]
- Mielcarek-Bocheńska, P.; Rzeźnik, W. The Impact of Microclimate Parameters on Odour Emissions from Pig Production in Spring. Ecol. Chem. Eng. S 2019, 26, 697–707. [Google Scholar] [CrossRef]
- Le, P.D.; Aarnink, A.J.A.; Ogink, N.W.M.; Verstegen, M.W.A. Effects of environmental factors on odor emission from pig manure. Trans. ASAE 2005, 48, 757–765. [Google Scholar] [CrossRef][Green Version]
- Miller, G.Y.; Maghirang, R.G.; Riskowski, G.L.; Heber, A.J.; Robert, M.J.; Muyot, M.E.T. Influences on air quality and odor from mechanically ventilated swine finishing buildings in Illinois. J. Food Agric. Environ. 2004, 2, 353–360. [Google Scholar]
- Romain, A.-C.; Nicolas, J.; Cobut, P.; Delva, J.; Nicks, B.; Philippe, F.-X. Continuous odour measurement from fattening pig units. Atmos. Environ. 2013, 77, 935–942. [Google Scholar] [CrossRef]
- Schauberger, G.; Lim, T.-T.; Ni, J.-Q.; Bundy, D.S.; Haymore, B.L.; Diehl, C.A.; Duggirala, R.K.; Heber, A.J. Empirical model of odor emission from deep-pit swine finishing barns to derive a standardized odor emission factor. Atmos. Environ. 2013, 66, 84–90. [Google Scholar] [CrossRef]
- Sun, G.; Guo, H.; Peterson, J. Seasonal odor, ammonia, hydrogen sulfide, and carbon dioxide concentrations and emissions from swine grower-finisher rooms. J. Air Waste Manag. Assoc. 2010, 60, 471–480. [Google Scholar] [CrossRef]
- Júnior, E.S.; Colmenero, J.C.; Júnior, A.B. Biomass Selection Method to Produce Biogas with a Multicriteria Approach. Waste Biomass Valorization 2020, 1–9. [Google Scholar] [CrossRef]
- Jędrczak, A.; Myszograj, S.; Połomka, J. The Composition and Properties of Polish Waste Focused on Biostabilisation in MBT Plants during the Heating Season. Energies 2020, 13, 1072. [Google Scholar] [CrossRef]
- Verein Deutscher Ingenieure. VDI 3940 Part 2: Measurement of Odour Impact by Field Inspection—Measurement of the Impact Frequency of Recognizable Odours Plume Measurement; VDI-Verlag GmbH: Düsseldorf, Germany, 2006. [Google Scholar]
- Duan, X.; Cao, K.; Valaulikar, R.; Fu, X.; Sorin, A.B. Variability of Total Volatile Organic Compounds (TVOC) in the Indoor Air of Retail Stores. Int. J. Environ. Res. Public Health 2019, 16, 4622. [Google Scholar] [CrossRef]
- Wang, K.; Wei, B.; Zhu, S.; Ye, Z. Ammonia and odour emitted from deep litter and fully slatted floor systems for growing-finishing pigs. Biosyst. Eng. 2011, 109, 203–210. [Google Scholar] [CrossRef]
- Hügle, T.; Andree, H. Temperatur und Geruchsemissionen aus Flüssigmist (Temperature and Odour Emissions from Liquid Manure). Landtechnik 2001, 56, 36–37. [Google Scholar]
- Nimmermank, S.; Gustafddon, G. Influence of Temperature and Ventilation Rate on the Release of Odour and Ammonia in a Floor Housing System for Laying Hens. Agric. Eng. Int. CIGR J. 2005, 7, 04008. [Google Scholar]
- O’Neill, D.; Phillips, V. A review of the control of odour nuisance from livestock buildings: Part 3, properties of the odorous substances which have been identified in livestock wastes or in the air around them. J. Agric. Eng. Res. 1992, 53, 23–50. [Google Scholar] [CrossRef]
- European Union. Commission Implementing Decision (EU) 2018/1147 of 10 August 2018 establishing best available techniques (BAT) conclusions for waste treatment, under Directive 2010/75/EU of the European Parliament and of the Council. Off. J. Eur. Union 2018, 208, 38–90. [Google Scholar]
Publisher’s Note: MDPI stays neutral with regard to jurisdictional claims in published maps and institutional affiliations. |
© 2020 by the authors. Licensee MDPI, Basel, Switzerland. This article is an open access article distributed under the terms and conditions of the Creative Commons Attribution (CC BY) license (http://creativecommons.org/licenses/by/4.0/).
















