Next Article in Journal
The Proximity Effect in Twin Line with Round Conductors Placed in Conductive Medium
Previous Article in Journal
A Pitch Angle Controller Based on Novel Fuzzy-PI Control for Wind Turbine Load Reduction
 
 
Font Type:
Arial Georgia Verdana
Font Size:
Aa Aa Aa
Line Spacing:
Column Width:
Background:
Review

Biogas Upgrading Approaches with Special Focus on Siloxane Removal—A Review

by
Pardon Nyamukamba
1,*,
Patrick Mukumba
1,
Evernice Shelter Chikukwa
2 and
Golden Makaka
1
1
Physics Department, University of Fort Hare, Private Bag X1314, Alice 5700, South Africa
2
Chemistry Department, University of Fort Hare, Private Bag X1314, Alice 5700, South Africa
*
Author to whom correspondence should be addressed.
Energies 2020, 13(22), 6088; https://doi.org/10.3390/en13226088
Submission received: 6 October 2020 / Revised: 29 October 2020 / Accepted: 30 October 2020 / Published: 20 November 2020
(This article belongs to the Section A: Sustainable Energy)

Abstract

Biogas, a product of anaerobic digestion process that consists mainly of methane and carbon dioxide is a suitable alternative fuel if unwanted impurities are removed as they have a negative impact on the equipment. The most significant technologically troublesome trace compounds that must be removed are siloxanes since they are converted into silica on gas surface engines and turbines resulting in equipment damage. The quality of the gas is certainly improved by reducing the amount of impurities and the end use determines the extent of biogas cleaning needed. The major aim of this study was to compile information that can assist researchers or even designers in selecting a suitable technology to remove siloxanes. Siloxane removal definitely can be achieved using different methods and the effectiveness of each method relies on careful consideration of the characteristics of both biogas and siloxane, as well as the technological aspects of the method. Herein, we review on different cleaning techniques for siloxanes in raw biogas, the negative effects they have, their levels and technologies to reduce their concentrations. This review also incorporates the sources of the siloxanes, the progress to date on their removal and possible ways of regenerating adsorbents. The reviewed literature suggests that biogas upgrading technology should be promoted and encouraged especially in siloxane removal as it has detrimental effects on engines. The parameters and effectiveness of adsorption processes are discussed, and individual adsorbents are compared.

1. Introduction

The development of alternative energy sources is now of paramount importance as the conventional energy resources are being depleted accompanied by global warming intensification. Worldwide, the community has realized that use of biogas is among the efficacious strategies to alleviate the global energy crisis. The use of biogas, which is methane rich, is very feasible and can result in the reduction of odor, methane, and other harmful gas emissions into the environment, hence improving the quality of air [1]. The gas has proved to be one of the most reliable sources of energy because it is cheap and reduces greenhouse gas emissions [2,3].
The negative impacts and high long term costs of poor waste disposal has made people to realize a potential to turn the problem into an economic and sustainable initiative which is biogas production and upgrading. The increase in electricity prices and the high energy demands due to global population growth and rapid urbanization could be alleviated by the use of biogas with a high methane content has also motivated for biogas upgrading. Other households in developing countries have no electricity network and a possible alternative to this problem is the use of upgraded biogas to generate electricity, cooking, or even heating. The improved facilities in the village will result in less migration to cities too. The use of biogas has an advantage of helping to reduce its release into the atmosphere, hence minimizing the harmful greenhouse effect. To enable the usage of the gas in other applications and also increase its value, the biogas needs to be upgraded to get biomethane, which can be used as an alternative to natural gas and fossil fuels. When upgraded, it can be fed into the natural gas grid or used as a vehicle fuel. Its use as a vehicle fuel is considered to be one of the best alternative to natural gas and fossil fuels. The purity of the upgraded biogas needs to match the standard for vehicle fuel. The calorific value of biogas has been found to be similar to that of diesel and liquefied petroleum gas but higher than coal and wood [4]; hence, it is possible to be converted to electric or heat energy [5].
Biogas from anaerobic digestion is mainly composed of methane and carbon dioxide but also contains other gases in small quantities, such as water vapor, particulate matters, volatile organic compounds (VOCs), ammonia, siloxanes, and sulfur containing substances [6]. This composition differs in different plants because the feeds have different compositions and the difference in the conditions at which the anaerobic digesters are being operated.
The occurrence of siloxanes in biogas is a major obstacle on the utilization of biogas as a source of renewable energy; hence, the biogas needs to be cleaned or upgraded before it can be used and the extent to which the gas should be clean depends on where and how it will to be used since there are different quality demands aspects for biogas use. Different equipment has different gas certifications but it is always better to use cleaner gas to minimize and reduce costs maintaining the equipment although cleaning can compromise maintenance costs. If the gas is going to be used for generating heat for instance in boilers, hydrogen sulfide, siloxanes, and particles should be removed. Hydrogen sulfide can form sulfuric acid with water which can cause corrosion, whereas siloxanes and particles could clog small tubes in small boilers this may not happen in industrial boilers since their components are not small. The manufacturers of equipment have put specifications of the gas to be used and the maximum tolerance of certain impurities as their sensitivities to gas impurities differ. In engines that are used for power production, different gas compositions can be tolerated.
In order to effectively produce energy from biogas in a cost-efficient way, the biogas must have high methane content and very low pollutant level. Impurities have different effects if not removed and these include fouling, corrosion, and lower energy output. Hydrogen sulfide can cause corrosion, which can seriously damage equipment or other installations; water vapor if not eliminated can accumulate as a condensate in the pipe line; and carbon dioxide reduces the biogas’ energy content when the biogas is used as a natural gas or car fuel. The cost of converting biogas into electricity from digesters can be heavily affected by these contaminants; hence, it important to analyze the biogas to determine the levels of the trace compounds so as to find out the need for a cleaning process before using it. In order to minimize maintenance and renovation costs of equipment that use biogas, the siloxane concentration should be reduced to 0.002–2.3 ppm as specified by the manufacturers [7]. The processes involved in biogas production in an anaerobic digester system are shown in Figure 1.
Once the gas has been upgraded, the produced waste should be properly disposed and the upgraded biomethane slip should be avoided so as to prevent the environmental impact of the whole process. For instance, a lower impact when using water scrubbing in basic solutions can be achieved by replacing potassium hydroxide with sodium hydroxide. The water from the plants could recycled instead of being discharged into the environment but this entirely depends on the chemical composition.

2. Biogas Composition

The main components of biogas are methane (CH4) (47–65%, v%) and carbon dioxide (30–40%, v%), its heating value ranges between 15 and 30 MJ/Nm3 [5]. In addition to CH4 and CO2, the biogas also consists of trace amounts of undesirable compounds which include siloxanes, hydrogen sulfide, sulfur containing compounds, aromatics, and halogen containing compounds. Table 1 shows composition of biogas produced from an anaerobic digester process and landfill.

2.1. Siloxanes

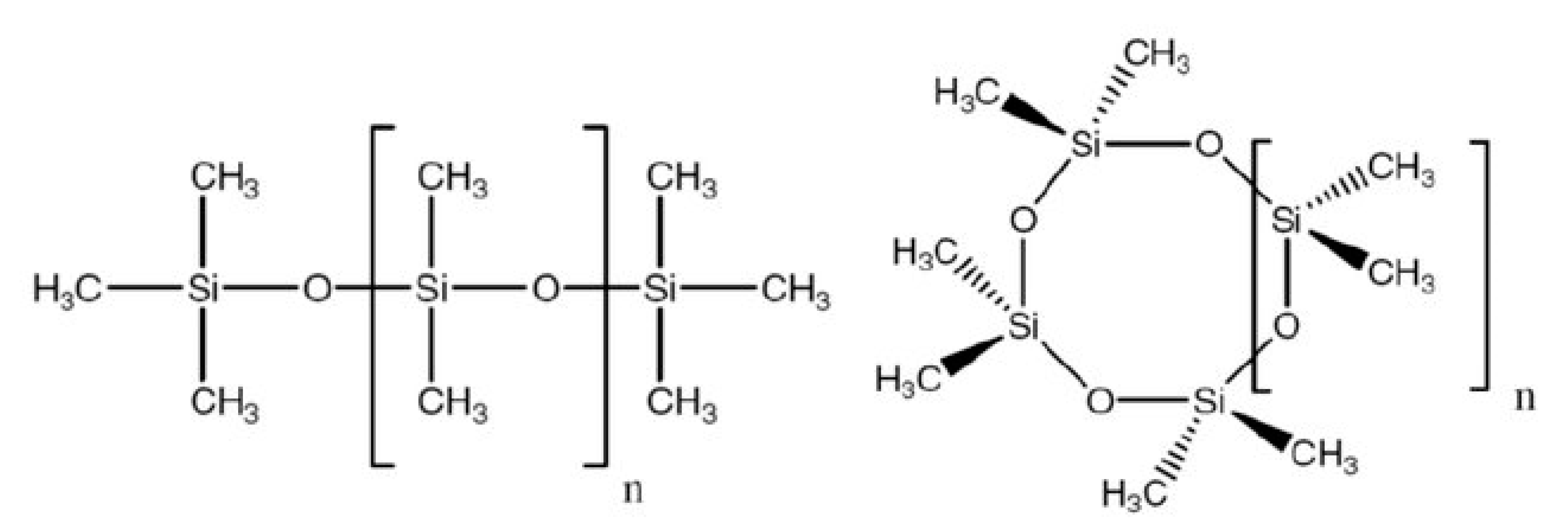
These are a class of organometallic compounds that contain the ‘‘Si-O-Si’’ linkages and the regular ones in biogas are volatile methylsiloxanes (VMS), with each silicon atom having two methyl groups. The repeating structural units are shown in Figure 2. The cyclic siloxanes found in biogas are denoted ‘‘D’’ whereas the linear are denoted ‘‘L’’ configuration. The regular organic silicon compounds are shown in Table 2. They are quite difficult trace compounds to control in the biogas. VMS are chemically and thermally stable, less viscous and almost insoluble in water (usually <1, mg/L) suggesting that their removal by decomposition reaction methods may not be effective [11]. The D3 siloxane is one of the quite difficult siloxanes to detect and quantify since it is not stable.

2.1.1. Sources of Siloxanes

If the substrate getting into the digester contains siloxanes, small amounts of the siloxane will also be present in the resulting biogas since some of these compounds evaporate. Most personal care products which include shampoos, lotions, hygiene products, and hair products contain siloxanes and these are released into the wastewater which then get adsorbed by sludge. They do not biologically decompose, but accumulate in the activated sludge [15]. The volatile ones are released into the atmosphere through volatilization, whereas the relatively stable siloxanes remain in the sludge. The siloxanes that are found in biogas originate mainly from anaerobic sludge digestion in municipal wastewater treatment plants or landfills.
In the wastewater treatment process, the siloxanes have a tendency of accumulating on active sludge resulting in their removal from wastewater. Previous studies have shown that about 68% of siloxanes remained in the sludge, whereas the rest is discharged through effluent or lost via volatilization [16]. This is different from anaerobic digestion process where siloxanes are mainly released from extracellular polymeric substances. Larger molecular weight siloxanes are degraded into small compounds and or volatile compounds, which eventually are found in biogas and the rest remain. The volatilization process of the siloxanes is influenced by several factors of which the mains ones are temperature, fermentation, and retention time of the substrate [1]. The biogas siloxanes amounts vary according to feedstock used and it was estimated that between 20 and 50% of D5 in wastewater and activated sludge transfers ends up in the biogas [14]. Generally, in the bioreactor produced gas, the main volatile siloxane components are D5 and D4 which both often make more than 90% of the total siloxane concentration of biogas. In the digesters, the siloxanes that are soluble in water are not found in the biogas as they remain in the water phase and get discharged, whereas the insoluble remain in the sludge. The other source of siloxanes are silicones that are used as anti-foaming agents in digesters which are broken down into siloxanes [12].
The primary origin of landfill siloxanes includes detergents, cosmetics, sewage sludge disposed of in the landfill, jars that contain the remains of silicon-concentrated products, and also from landfill where sewage sludge was discarded off. Their levels are usually higher in active landfills than closed landfills. The siloxane content of biogas from landfills or anaerobic sludge digestion is two to three times higher than that of biogas from agricultural feedstock [17,18]. The major components of siloxanes in a landfill biogas arear L2, L3, D3, D4, and D5, and they follow the order D4 > L2 > D5 > L3, and the main component is D4 constituting an average of about 60% of the total siloxanes [1,5]. In addition to siloxanes, silanols are also found in biogas but their concentration is low is biogas produced from municipal sludge digestion due to the fact that they are soluble in water [15].

2.1.2. Negative Effects of Siloxanes

Among all the impurities found in biogas, siloxanes are among the trace compounds that are very difficult to control and have the strongest unpleasant effect on the utilization of biogas [5]. The presence of silicon compounds in the biogas has serious effects on the combustion engine where it is used. During the combustion process, siloxanes in the biogas are oxidized to form silicon dioxide which is then deposited on engine components such as spark plugs, valves and the turbo compressor resulting in shortening of engine life and in jeopardizing the warranties of the engines. The combustion oxidation reaction to form silicon dioxide (SiO2) is shown in Equation (1).
( ( CH 3 ) 2 2 SiO ) n   + 4 nO 2 nSiO 2 + 2 nCO 2 + 3 nH 2 O
The formed silica has severe effects on the combustion engine or generator due to its abrasive nature and can act as an electrical and thermal insulator resulting in reduced engine performance [19]. This insulating layer represses the function of spark plugs and can interfere with the sensors in the engine thus affecting heat transfer. The formed silica could be deposited on the engine combustion chamber’s wall surfaces resulting in the wearing down of the cylinder surface, reduced sealability of the engine, and lubricant distribution that is oil adherence on the surface is impaired [17]. All these problems both increase the maintenance costs of the engine and reduced maintenance intervals from between 40,000 and 20,000 h to about 14,000 h. It has been reported that silicon dioxide nanoparticles that are not deposited on the engine surfaces can be released into the atmosphere in the outlet gases and these are mutagenic, toxic, and carcinogenic [1,20].
When siloxanes are found in biogas, they reduce the electrical output in the equipment used for electricity production. Their presence and also other impurities in biogas increase the risk on downstream equipment and domestic gas boilers; hence, a standard was established. In Spain and Austria, the maximum siloxane constraint concentration was set at 10 mg/m3 [21] and in Holland it is 5 ppmv. In Germany, the siloxane concentration limit was 6 mg/m3 in biogas to be used in thermoelectric units. For heat and power generation, the allowed siloxane levels were 10 mg/m3 in Switzerland. In general, all utilization standards for the allowed siloxane concentration was revised due to the increase in siloxane concentration in biogas.
Equipment such as turbines which operate at elevated temperature are very susceptible to damage as a result of the presence of siloxanes. Siloxanes also have a huge negative impact on the performance of solid oxide fuel cells (SOFCs). Haga et al. 2009 carried out a study to determine the effect of decamethylcyclopentasiloxane (D5) which is the dominant siloxane in biogas from digesters, on SOFC anodes electrochemical activity [22]. They found out that siloxane poisoning decreased the voltages gradually with time leading to serious deterioration of the performance of the cell as a result of the formation of silicon dioxide both on top and within the porous anode as described in Equations (2) and (3). All these negative impacts discussed show that is really necessary to remove siloxanes in biogas utilization so that the energy use efficiency in industry and fuels is greatly improved.
( ( CH 3 ) 2 SiO ) 5   + 25   H 2 O   5   Si ( OH ) 4 + 10   CO + 30   H 2
Si ( OH ) 4     SiO 2 +   H 2 O

3. Abatement Techniques

It is recommended that the biogas that will be utilized as transport fuel be clean so as to have a high energy content. There are different standards used for biogas utilized as vehicle fuel for instance in Sweden, there is standard for biogas employed as vehicle fuel, which regulates methane, hydrogen sulfide, and water contents. The biogas to be used in the grid should meet the gas grid quality demands, irrespective of the end use. Generally, the limit of 15 mg/m3 of siloxanes have been imposed by several engine manufacturers and if it exceeds this, a gas pre-treatment is highly recommended. The recommended concentration of siloxanes in biogas for electricity production vary according to the equipment/engine used, for instance, per cubic meter of CH4, the siloxane concentration were suggested to be; microturbine (<0.01 ppm), turbine (0.087 ppm), fuel cell (<0.01), reciprocating engine (9–44 ppm), and Stirling engine (0.42 ppm for D4); these values depends also on the suppler [23,24]. Turbines are more prone to damage caused by siloxanes due to the fact that they work under high temperature. The engine manufacturers also set the quality of gas to be used in their equipment for warranties, the following siloxanes concentrations were set; Caterpillar (<21 ppm/m3CH4), Deutz (<10 ppm/m3CH4), Jenbacher without catalyzer (10 ppm/m3CH4), Man (<5 ppm/m3CH4), Waukesha (<50 ppm/m3CH4), and should not be detectable in Jenbacher with catalyzer [25].
There are several methods available for the removal of siloxanes from biogas and some of these are presented in Table 3. The methods include adsorption which involves adsorption on the adsorbent material’s surface, refrigeration/condensation, biological degradation, and membrane separation [26]. To increase the performance of the system, a combination of these methods is employed. The choice of the method depends entirely on the composition and properties of the compounds, for instance the volatilization method is capable of removing D3 and D6 but cannot completely remove D4 and D5 implying that another method such as degradation is required [27]. The siloxanes which are large and linear are not stable and they have a tendency of breaking into small compounds. Cyclic siloxanes such as D3, which are smaller can easily, volatilize but siloxanes with high molecular weight such as D5 due to their relatively low vapor pressures do not volatilize [28].
Table 3 shows some methods that can be used to remove siloxanes from biogas, their efficiency, advantages, and disadvantages.

3.1. Adsorption

This process also referred to as chemisorption involves the physical attraction of the adsorbate on the adsorbent. The siloxane molecules are attracted to available sites on the adsorption material’s surface. This adsorption process is not selective hence other trace compounds in the gas which are irrelevant when considering as utilization are adsorbed too. There are several factors that determine the efficient removal of the siloxanes and these include high surface areas and large adsorbent micropore diameter which determines the accessibility of the molecules to the adsorption surface. In a typical biogas treatment unit, adsorbents are put in columns whose size are based on the material’s adsorption capacity and the levels of the siloxanes that need to be removed. With repeated use, the adsorbent becomes saturated with the adsorbate and in that case replacement adsorbent needs to be replaced or even regeneration although the adsorption capacity will not be the same, between 5 and 25% less than the initial adsorption capacity [31].
The adsorbents can be silicon or carbon-based materials as shown in Figure 3 and have been used for the removal of siloxanes. These include activated carbon (AC), activated alumina [32], natural clay minerals [33], molecular sieves [34], alkaline oxide [35], and silica gel, which has good retention properties [36]. The adsorbents differ in their performances in adsorbing different types of siloxanes, i.e., adsorption capacity depends strongly on the siloxane type (since they have different polarities), relative humidity of the biogas, and nature of the adsorbent. The adsorption capacity of the siloxanes differs from one molecule to another depending on the chemical structure of the compound. A lot of research has been done on siloxane removal by adsorption but to come up with an efficient, stable, and easily regenerated adsorbent that is significant cost-effective remains a challenge. A comprehensive discussion on the various adsorbents that have been used so far for siloxane removal is given the following sections.

3.1.1. Adsorption Using Silica Gel

Silica gel with molecular formula (SiO2)·nH2O is an amorphous porous material obtained by polymerizing silicic acid with an acid such as sulfuric acid and hydrochloric acid. It is normally used in bead form with diameters between 1 mm and 5 mm characterized by high porosity and high hydroscopicity. It is also polar, which makes it a good adsorbent of polar molecules such as siloxanes. The adsorption forces between the silica gel and adsorbate are quite weak, which makes the regeneration of silica gel easy with a desorption efficiency of up to 95% at 250 °C for 20 min which is higher than that of AC under the same conditions [1]. In previous studies it was found that silica gel’s adsorption capacity for siloxane was about 100 mg/g which was ten times greater than the adsorption capacity of AC under similar conditions [37]. In a different study by Wheless and Pierce, it was discovered that silica gel could make a 50% increase in siloxane loading capacity than AC [30]. Silica gel is not only better than AC but also molecular sieves as reported by Finocchio et al. who found out that it adsorbed D3 better than the molecular sieves [35].
To improve the adsorption capacity, the silica can be modified. Jafari et al. 2016 modified mesoporous silica by functionalizing with a methyl group which resulted in very good removal of siloxane impurities due to the increase in surface area from 391 m2/g to 798 m2/g [38]. In another study it was found that acetylated silica gel had better adsorption properties for siloxanes as compared to simple silica gel and it was eased to regenerate by heat treatment at 110 °C [39].
The adsorption capacity of three different adsorbents namely Chameleon R silica gel with surface area of 690 m2/g, 13X zeolite with a surface area of 700 m2/g and activated carbon with a surface area of 930 m2/g was investigated under the same conditions using D4 as an adsorbate, and silica gel showed the highest adsorption capacity [40]. It is worthwhile to take not of the fact that the surface chemistry of silica gel is dominated by Si-O-Si and Si-O-H groups that have an affinity for molecules similar to D4 thus improving adsorption. For the dry gas, the maximum silica gel loading capacity is about 0.1 g of siloxane per gram of silica gel. It can be easily be regenerated by heating at 250° C for about 20 min and in most cases almost 95% of the adsorbed siloxane is removed although the efficiency differs from siloxane to siloxane depending on how volatile the siloxane is.

3.1.2. Adsorption Using Activated Carbon

Activated carbon (AC) also known as activated charcoal is an amorphous, non-graphitic form of carbon with an extensive internal porous structure with micropores and mesopores that have large surface areas of between 600 and 1600 m2/g. ACs can have an acidic or basic character that is depended on the method of activation or impregnation [14], and have been used a lot to remove impurities in both gases and liquids for decades. Its non-polar nature makes it preferentially adsorbs molecules which are non-polar and/or those with a small degree of ionization, which makes it suitable for siloxane removal [41]. It is mainly suitable for applications such as microturbine and fuel cell application where the requirement for gas usage is low levels of siloxanes. Basically, there three types of AC: catalytic-impregnated which can be regenerated, impregnated carbons, and virgin carbons, which are carbons that are not impregnated [42]. The catalytic impregnated AC are made by treating with a chemical containing nitrogen such as urea resulting in addition of nitrogen functionalities. On the other hand, the impregnated AC are as a result of mixing with a solid or liquid chemical, such as sodium carbonate, potassium permanganate, and sodium hydroxide before, during, or after activation.
ACs have several advantages which include high porosity, large surface area, high adsorption capacity, inexpensive, easily availability, and stability. In addition to these advantages it also has disadvantages, such as (i) non selectivity adsorption for siloxanes; hence, there is competition with other impurities and also adsorbs methane resulting in reduced methane content. It was found that the adsorption of methane on AC is two times more as that of zeolite, (ii) blockage of pores is expected due siloxane polymerization, and (iii) regeneration not effective because siloxanes are difficult to desorb hence frequent replacement of adsorbent. For instance, at Trecatti in the United Kingdom where it is necessary to change AC on a weekly basis costs nearly €2000 per change [12].
Several studies have been done using ACs on the removal of siloxanes and they proved to be good [43,44]. The removal of cyclic siloxane by ACs was found to be more effective when compared to the removal of linear siloxanes due to the changes they undergo on its surface and the displacement of the previously adsorbed lighter linear siloxanes [30]. Matsui and Imamura investigated twenty-two different ACs and the found out that some ACs had a good ability of the siloxane adsorption of the siloxane (D4) compared with silica gel and molecular sieves [34]. In non-continuous operation, the siloxane concentration has been reported to be reduced below 0.1 mg/m3 [45].
The performance of ACs on the adsorption of siloxanes differ as they are influenced by several factors which include; the source and surface properties [46]. The properties of biogas such as moisture content and temperature also affect siloxane removal of which the moisture content is the most significant factor. To avoid reduced performance efficiency of the AC system, they are used in conjunction with other pre-treatment methods like refrigeration or condensation to remove water that might saturates the carbon filter. The removal of water from biogas before being subjected to AC unit increases the life of the AC and performance of the system. It has been found that when the gas if free from water, AC can adsorb from 5000 to 15,000 mg of siloxanes per kilogram of carbon [30]. Where siloxane concentrations are high, it is also advisable for the gas to be pre-treated by cooling prior to adsorption. According to Sigot et al., the adsorption of siloxanes decreased tenfold and higher when the relative humidity is between 50 and 70% [40]. This suggests that water should be removed from the biogas before it enters into AC units to improve adsorption of siloxanes. In addition to water, hydrogen sulfide can also be adsorbed saturating active sites causing poor siloxane removal [47].
Since both ACs and siloxanes are hydrophobic, physical adsorption would be the major mechanism of adsorption. An investigation on the relationship between D4 removal and characteristics of AC was carried and it was found out that the most favorable characteristics of AC to remove siloxanes are 1.7–3 nm pores, high surface areas, and a lot of super micropores and small mespores [46].

3.1.3. Adsorption Using Activated Aluminum Oxide

Activated alumina is a porous solid that is comprised of aluminum oxide (Al2O3) that is partially hydroxylated. They are usually prepared by heat treatment of aluminum hydroxide precursors and are commonly used as adsorbents, catalysts, and support for catalysts. It has several advantages which include (i) effective thermal regeneration, (ii) has a lot of capillary channels and high surface area, and (iii) strong affinity for impurities in biogas. Its disadvantages include high costs and short effective life.
Alumina was demonstrated to be a providential material for siloxane elimination, in view of an investigation by other researchers [35]. The disintegration of hexamethylcyclopentasiloxane was tried at different temperatures that ranged between 200 °C and 400 °C on acidic as well as the basic oxides alumina (Al2O3), MgO, CaO, and silica. Results demonstrated that MgO, SiO2 and CaO indicated the negligible expulsion of D3. An absorption of 24 wt.% at 250 °C was indicated by the alumina, which was presented to a blend of carbon dioxide and methane and immersed with hexamethylcyclopentasiloxane at 25 °C. The utilization of humidified gas rose to a decrease by 5 wt.%. Nevertheless, at a temperature of 400 °C, the uptake of D3 re-expanded to 31 wt.%.
Lee et al. 2001 investigated the adsorption capability of different adsorbents; AC, molecular sieves 13×, and activated Al2O3 for D4 and they found out that activated Al2O3 was the best among the three adsorbents [48]. The adsorption capacity of mesoporous alumina was found to be stable and to retaining its adsorption capacity after repeated use (three cycles) when compared to AC and silica gel, meaning that it has high adsorption performance which is sustainable [49].

3.2. Absorption

This abatement technique depends on the siloxane solubility in high boiling points organic solvents such as tetradecane. Siloxanes which are cyclic and also linear are quite stable against both chemical and biochemical degradation but high temperatures, strong bases and strong acids catalyze the splitting of the bonds between silicon and oxygen. However, due to the formation of a lot of precipitated carbonates caused by high levels of carbon dioxide in biogas, strong bases are less preferred as it can prompt precipitation challenges in the equipment and increased operation costs. There are two ways in which siloxanes removal can be done: (i) physical absorption using long carbon chain organic solvents in a splashing device, and (ii) a packed column. A 100% removal of siloxanes is challenging to achieve on the basis that they are extremely volatile, and they are dismantled from the solvent at increased gas flow rates. This challenge is not there if siloxanes are chemically retained, because there is conversion of siloxanes to components of low volatility. The higher the volatility of a siloxane the more difficult it is to condense; hence, the reduction of the concentration of L2, D3, and L3 through cryogenic condensation is more difficult than D4, L4, and D5 [5].
An expulsion of siloxanes beyond 95% can be achieved with sulfuric acid and nitric acid solutions whose concentrations are 480 dm3 m−3 and 650 dm3 m−3, respectively at 60 °C. Phosphoric acid was observed as not effectual at a concentration of 850 dm3 m−3 fixation and a temperature of 60 °C. Acid utilization nevertheless could be challenging because of the corrosive/destructive potential they have. Their practicable implementation as adsorbent in biogas plants must be assessed with care due to the expected health and environmental hazards. Selexol can be utilized to accomplish great siloxane expulsion which are above 98% [30]. A few different solvents and mineral oils were additionally assessed for their absorptive capability in removing siloxanes, but yielded unsatisfactory outcomes [50]. This methodology is efficient depending on the type of contacting phase used; however, it also poses disadvantages including the operational expense that is very high, there is toxicity from solvents and also a lot of energy is needed to regenerate contacting phase; in addition, the solvents used are highly flammable as well. Huppmann et al. 1996 tested tetradecane and they proved that its efficiency for D4 collection was 97% [51]. A 60% removal of siloxanes was achieved by Stoddart et al. 1999 when they used an absorption system that utilized a hydrocarbon oil as a solvent [52].
Table 4 shows some absorption methods and their advantages and disadvantages.

3.3. Refrigeration/Condensation

At frosty temperatures and low pressure, some of the compounds that are in the biogas condenses and isolation is possible. This straightforward eminent technique can be utilized for the expulsion of siloxanes and moisture from the biogas. Nonetheless, significant expenses due to the consumption of a lot of energy can prohibit the utilization of this innovation. Normally, a unit comprises of a heat exchanger and also chamber for cooling, which allows compacted gas is distribution and cooling by a coil framework filled with a freezing operator that is siphoned and recycled from the fridge. It was noticed that refrigeration or condensation do not regularly accomplish satisfactory siloxane expulsion. The prediction made was that, cleaning the unit for cooling utilized for retaining siloxanes could be challenging; besides, the identification of the reference of this issue could be found. It has been reported that the efficiency of a refrigeration framework usually fluctuates from between 15 and 50% siloxane expulsion to 95% contingent upon the cooling temperatures applied [30]. To be able to remove above 99% of the siloxanes, freezing to −70 °C is necessary but it is energy intensive, hence a techno-economic analysis would be required so as to know if it is sustainable or not [45]. It has been reported that only 26% of siloxanes condense to liquids when the temperature is at −25 °C, [54]. Research on a few techniques for the removal of siloxanes from biogas was done and it was reported that refrigeration revealed lower execution for the removal of siloxane than adsorption strategies [37]. The main advantage of this innovation is that, it is not poisonous and there is no need for the removal of its adsorption media as it is in the initiated carbon technique.
Basically, the procedure of condensation and refrigeration is utilized as a measure for gas pretreatment preceding the utilization of activated carbon. Another report also reported an efficiency of up to 90% siloxane removal by using a deep refrigerator at approximately −30 °C for a sewage digester biogas [1,26]. A hypothetical model was built up by Ajhar et al., 2010, to assess and estimate the concentration of siloxane in an ideal gas through a purification by deep chilling at a pressure of 1 bar and a temperature of 70 °C [50]. The hypothetical expulsion effectiveness relies emphatically upon their intrinsic properties as well as the saturation partial pressure in a gas mixture. As per the model, the higher the siloxane volatility is, the more troublesome the condensation will be, hence, there is a direct proportionality. Sufficient and adequate siloxane removal cannot be accomplished by only using the condensation/refrigeration innovation hence to improve the efficiency of siloxane removal, refrigeration can be used together with other different methods, for example, enacted carbon adsorption to eliminate siloxane [45].

3.4. Membrane Separation Techniques

In relation to other techniques used for siloxane separation, peculiar to membrane separation is the certitude that the material applied (the membrane) can be an extremely thin layer, generally ranging at approximately around 0.220 mm, and space that is taken by the membrane is essentially quite lower contrasted to the different techniques. The major advantages of this technique are that they require low energy and the resulting methane purity is quite pure. The membranes used are either polymers or inorganic that are distinguished by big surface regions for partition whilst having a small capacity, although other materials for separation are bigger such that they can subscribe to high operational expenses. The penetrability and selectiveness of a membrane towards specific particles or molecules rely upon the pore sizes as well as interactions between molecules [55,56].
To enhance the methane content in the biogas, those membranes that have high siloxane or methane selectiveness can be utilized. Despite the fact that methods that use membrane for siloxane removal were accustomed very well for CO2 expulsion, including mechanical applications, there are only few publications showing the outcomes of the use of membranes for removing siloxanes where expulsion efficiency above 80% were acquired. The underlying speculations and operational expenses must be dissected properly before executing this strategy to suit a specific industrial office. The determination of the type of membrane is additionally significant for long-haul performance [50,57].
It has been reported that poly dimethyl siloxane-membranes can be utilized as an alternative for membrane separation of siloxanes and some volatile organic trace compounds [50]. Moreover, they exhibit high water characteristic permeance hence serve as a perfect dehumidifier. The reenacted membrane selectivity for siloxane was ranging between 20 and 70 folded more compared to nitrogen. This membrane is likewise portrayed by high water porousness, thus subsequently appropriate for the expulsion of water from the biogas. This membrane can be likewise utilized in removing other poisonous organic chemicals, including benzene, toluene, ethylbenzene, xylene and halogenated hydrocarbons. The membrane separation was checked for octylmethyltetrasiloxane and further tests could be led for other direct and cyclic siloxanes present in the biogas [50,57].
This mode of separation seems to be more advantageous as it is a simple way of removal of siloxanes. Moreover, it offers a large surface area and a small volume nevertheless there is high risk of membrane destruction due to the chemicals, pH, and excess pressure that will be used during the process. There is also a chance that the pressure will drop hence affecting the results. It is relatively expensive when compared to other abatement techniques as membranes need to be changed often due dangerous compounds from the biogas whose particles, and hydrogen sulfide, can significantly damage the membrane.

3.5. Catalytic Process

Catalytic frameworks are irregular regarding landfill locales. In spite of the fact that volatile organic compounds are normally decimated by catalytic strategies, a complex lattice, for instance, landfill biogas makes their expulsion more formidable, in light of the fact that numerous minor parts present in landfill gas (LFG) operate as toxic substances. Urban and his colleagues proposed a reactant filtration procedure merged together with landfill gas use in MCFC (molten carbonate fuel cells). The catalytic procedure converts the toxic landfill gas minor compounds to easily removable products fin the stream of gas by a resulting adsorption step. Two catalysts are involved in the procedure. The principal material is an economically enacted alumina that functions to eliminate high convergences of volatile siloxanes, which deleteriously affect both the resulting catalyst and a downstream liquid carbonate energy unit. Alumina gets deactivated after some time and should be supplanted intermittently. The subsequent material is a mercantile V2O5–TiO2 catalyst which influence a lot in the oxidation/hydrolysis of inorganic and organic model compounds into simple compounds, gases that are “corrosive” (HCl, HF, and SO2), that can be handily taken out through retention by alkalized alumina for instance. An ideal cycle temperature was discovered to be in the scope of 250–400 °C.

3.6. Biological Removal

In spite of the fact that siloxanes are accounted for to be generally stable against biological disintegration, some ongoing research and studies explored the chance of eliminating siloxanes by biological methods. Siloxane biodegradation has been explored by Accettola et al. 2008 to assess the chance of utilizing a biofiltration framework to treat biogas [29]. The analysis concentrated on the debasement of octamethylcyclotetrasiloxane D4 in cluster cultures as well as Hexamethylcyclopentasiloxane D3 in a bio-streaming filter by microorganisms present in an initiated muck from a civil wastewater plant and from a silicon-producing organization. Results showed that D4 can be biodegraded by a network of microorganisms. The prevailing genus was distinguished as Pseudomonas, while different microorganisms discovered included Zooglea, Xanthomonadacea, Rhodanobacter as well as Mesorhizobium. A disintegration compound from D4, dimethylsilanediol (DMSD), has moreover been discovered handful in bacterial cultures than in the treatment of an air stream contaminated with siloxane. Results indicated an expulsion percentage of 10–20% of D3, though a similar framework in abiotic conditions revealed zero elimination.
Xu et al., 2013, examined the expulsion productivity of activated sludge under anaerobic conditions. After 60 d handling, removal efficiencies of 3.0%, 44.4%, 62.8%, and 18.1% sequentially were obtained for D3, D4, D5, and D6. The outcome infers that siloxanes can be biodegradable, yet the effectiveness of biodegradation is exceptionally low.
Popat and Deshusses reviewed on a study where aerobic and anaerobic biotrickling filter (BTF) was used for siloxane removal executed at laboratory scale. The D4 in the test biogas at a gas stream rate of 0.5 L/min had a concentration of approximately 45 mg/m3 and was the solely carbon and fuel source in the entire activity framework. The examination proposed that siloxane expulsion by organic cycle needs to take a long residence time, and the evacuation proficiency of both anaerobic and vigorous framework was low. The examination additionally found that there fundamentally was a direct connection between the expulsion effectiveness and the vacant bed residence time [1,58]. Oftenly, hydrogen sulfide is regularly found together with siloxane in biogas. The presence of H2S ought to be contemplated for biological removal in biogas treatment. BTF under anoxic conditions, has just been demonstrated to eliminate H2S from biogas [59]. Hence, the possibilities for organic biogas treatment are establishing an extensive technique eliminating H2S and siloxane at low concentration concurrently from biogas, which could be an appealing financially savvy elective strategy contrasted and more costly conventional treatment.

4. Economic Aspect of Individual Adsorbents

When choosing adsorbents in an industrial equipment, it is always important to consider the economic balance of the used adsorbent. In some cases materials that with the high adsorption capacity for siloxanes are expensive to use hence the best choice will be that one which has the highest adsorption capacity when the price of required adsorbent to fill the adsorption tower is taken into consideration. It was found that the ration of ratio of adsorption capacity for siloxanes to the price of the adsorbent is very important for industrial use of some of the adsorbents. The cost of some systems for siloxane removal depend heavily on the concentration of inlet siloxane in the biogas and the frequency of replacing the adsorbent.
Some of the economic aspects to be considered are (i) interest on loan in the event that there is no enough money and one needs to take a loan from the bank, (ii) the current and future cost of construction materials, (iii) saving of foreign currency, (iv) the current and future cost of labor, and finally (v) the current/future cost of alternative fuels [60]. One would need to assess if there are no other cheaper fuels when compared to investing in biogas upgrading using expensive adsorbents. Some systems require a lot of energy to upgrade biogas whereas others require less.
Before a method to be used is chosen for biogas upgrading, it is necessary to also consider how different compounds present in the biogas affect the overall process, the produced gas, and the possible need for treatment of other streams such as waste gas or process water [61]. Another economical aspect is the cost of minimizing methane slip in an upgrading plant. It is inevitable but can be minimized and it can vary between plants using the same upgrading technique. In some cases, the cost of reducing the methane slip which can be achieved through altering the process design with more membrane steps or changed operational parameters could be more such that extra investment packages are needed to reach the lowest reported methane slip. Hence, in some case there is a tradeoff between methane slip and investment or operational cost.
There are several factors that affect the specific production cost for a biogas upgrading unit and these may differ for different techniques as they require different consumables such as energy and chemicals and their costs need to be taken into account. The units could be equipped with a heat recovery which could lower the operational costs but with slightly higher investment cost. Another aspect is that results in different costs is the service agreements that are available on the market, and this is related to the given guarantees.

5. Conclusions and Recommendations

The paper highlighted the problems that are related to siloxanes when they are found in biogas and it is very clear that the economical use of biogas can only be achieved when there is a proper siloxane removal technique. The removal of siloxane from biogas definitely can be achieved using different methods and the effectiveness of each method relies on careful consideration of the characteristics of the both biogas and siloxane, as well as the technological aspects of the method. In the event that two methods need to be combined for successful impurity removal, a cost benefit analysis might be required. Among the abatement techniques available for siloxane removal, adsorption seem to be quite important and we recommend its use because of several advantages discussed in the manuscript, but a lot of studies need to be conducted so that (i) the adsorbents do not also adsorb methane, i.e., selective siloxane removal, (ii) the regeneration process is easy and cheap, and (iii) and the efficiency of the regenerated material remains fairly high after repeated use. Since the quality of biogas required varies depending with applications, comprehensive information of biogas quality at every site is vital for planning upgrading facility.
The use of adsorbents for siloxane removal seem to be very viable; hence, further research is certainly required to increase the lifespan of the adsorbents and the efficiency of the regenerated adsorbents to make the process cheap, although poisoning by be other impurities is inevitable. The optimization of the process of each technique needs to be done so that optimum conditions are known for a cost-effective removal of siloxanes.
It is also recommended that before an abatement technique is chosen, the concentration of the siloxanes in the biogas should be determined so that the best method can be applied for the best results. The development of techniques which can remove siloxanes and other impurities, such hydrogen sulfide from biogas, need to be developed as it will definitely reduce the costs of the installations, reduce technological, and environmental risks. Having mentioned all that, something that would significantly increase costs and technical complexity in these processes should be avoided.
Although the upgrading to biomethane can generally improve quality of the air and minimize greenhouse gas emissions, methane losses in the off-gas can greatly affect the sustainability of the whole process. Hence, it is highly recommended that the losses be minimized to avoid such.

Author Contributions

Conceptualization, P.N. and P.M.; resources, P.N. and G.M.; writing—original draft preparation, E.S.C. and P.N.; writing—review and editing, E.S.C. and P.N.; supervision; G.M. and P.M.; visualization, P.M. All authors have read and agreed to the published version of the manuscript.

Funding

The authors are thankful to NRF for funding.

Conflicts of Interest

The authors declare no conflict of interest.

References

  1. Shen, M.; Zhang, Y.; Hu, D.; Fan, J.; Zeng, G. A review on removal of siloxanes from biogas: With a special focus on volatile methylsiloxanes. Environ. Sci. Pollut. Res. 2018, 25, 30847–30862. [Google Scholar] [CrossRef] [PubMed]
  2. Mukumba, P.; Makaka, G.; Shonhiwa, C. An Assessment of the Performance of a Biogas Digester when insulated with sawdust. Int. J. Energy Power Eng. 2015, 4, 24–31. [Google Scholar] [CrossRef]
  3. Obileke, K.; Nwokolo, N.; Makaka, G.; Mukumba, P.; Onyeaka, H. Anaerobic digestion: Technology for biogas production as a source of renewable energy—A review. Energy Environ. 2020, 2020. [Google Scholar] [CrossRef]
  4. Hepburn, C.A.; Martin, B.D.; Simms, N.; McAdam, E.J. Characterization of full-scale carbon contactors for siloxane removal from biogas using online Fourier transform infrared spectroscopy. Environ. Technol. 2014, 36, 178. [Google Scholar] [CrossRef]
  5. Gao, R.L.; Cheng, S.K.; Li, Z.F. Research progress of siloxane removal from biogas. Int. J. Agric. Biol. Eng. 2017, 10, 30–39. [Google Scholar]
  6. Kuo, J.; Dow, J. Biogas production from anaerobic digestion of food waste and relevant air quality implications. J. Air Waste Manag. Assoc. 2017, 67, 1000–1011. [Google Scholar] [CrossRef]
  7. Gislon, P.; Galli, S.; Monteleone, G. Siloxanes Removal from Biogas by High Surface Area Adsorbents. Waste Manag. 2013, 33, 2687–2693. [Google Scholar] [CrossRef] [PubMed]
  8. United States Environmental Protection Agency EPA/600/R-15/304 Anaerobic Digestion and Its Applications. Available online: https://www.epa.gov/sites/production/files/2016-07/documents/ad_and_applications-final_0.pdf (accessed on 13 July 2020).
  9. Petersson, A. The Biogas Handbook: Science, Production and Applications; Woodhead Publishing Limited: Sawston, UK, 2013; Chapter 14; pp. 329–341. [Google Scholar] [CrossRef]
  10. Sun, Q.; Li, H.; Yan, J.; Liu, L.; Yu, Z.; Yu, X. Selection of appropriate biogas upgrading technology-a review of biogas cleaning, upgrading and utilisation. Renew. Sust. Energ. Rev. 2015, 51, 521–532. [Google Scholar] [CrossRef]
  11. Kochetkov, A.; Smith, J.S.; Ravikrishna, R.; Valsaraj, K.T.; Thibodeaux, L. Air-water partition constants for volatile methyl siloxanes. Environ. Toxicol. Chem. 2001, 20, 21842188. [Google Scholar] [CrossRef]
  12. Dewil, R.; Appels, L.; Baeyens, J. Energy use of biogas hampered by the presence of siloxanes. Energy Convers. Manag. 2006, 47, 1711–1722. [Google Scholar] [CrossRef]
  13. Monteith, H.; Yajima, K.; Andrews, D.; Steel, P. Assessing feasibility of direct drive technology for energy recovery from digester biogas. In Proceedings of the 79th Annual Technical Conference WEFTEC, Dallas, TX, USA, 21–25 October 2006; pp. 3517–3540. [Google Scholar]
  14. Gaj, K. Adsorptive Biogas Purification from Siloxanes—A critical Review. Energies 2020, 13, 2605. [Google Scholar] [CrossRef]
  15. Arnold, M. Reduction and Monitoring of Biogas Trace Compounds. 2009. Available online: https://www.vtt.fi/inf/pdf/tiedotteet/2009/T2496.pdf (accessed on 25 September 2020).
  16. Bletsou, A.A.; Asimakopoulos, A.G.; Stasinakis, A.S.; Thomaidis, N.S.; Kannan, K. Mass loading and fate of liner and cyclic siloxanes in a wastewater treatment plant in Greece. Environ. Sci. Technol. 2013, 47, 1824–1832. [Google Scholar] [CrossRef]
  17. Cheng, Y.; Shoeib, M.; Ahrens, L.; Harner, T.; Ma, J. Wastewater treatment plants and landfills emit volatile methyl siloxanes (VMSs) to the atmosphere: Investigations using a new passive air sampler. Environ. Pollut. 2011, 159, 2380–2386. [Google Scholar] [CrossRef]
  18. Rasi, S.; Lantela, J.; Veijanen, A.; Rintala, J. Landfill gas upgrading with countercurrent water wash. Waste Manag. 2008, 28, 1528–1534. [Google Scholar] [CrossRef]
  19. Liang, K.; Li, R.; Sheehan, J. Removing Siloxanes: Solution to Combustion Equipment Problems. In Proceedings of the WEFTEC 2002 Conference Proceedings, Chicago, IL, USA, 28 September–2 October 2002. [Google Scholar]
  20. Tansel, B.; Surita, S.C. Oxidation of siloxanes during biogas combustion and nanotoxicity of Si-based particles released to the atmosphere. Environ. Toxicol. Pharm. 2014, 37, 166–173. [Google Scholar] [CrossRef]
  21. Huguen, P.; Le Saux, G. Perspectives for a European Standard on Biomethane: A Biogasmax Proposal. In BIOGASMAX-Integrated Project; 2010; Volume 019795, Available online: https://trimis.ec.europa.eu/sites/default/files/project/documents/20120601_135059_69928_d3_8_new_lmcu_bgx_eu_standard_14dec10_vf__077238500_0948_26012011.pdf (accessed on 30 September 2020).
  22. Haga, K.; Adachib, S.; Shiratoria, Y.; Itoha, K.; Sasakia, K. Poisoning of SOFC anodes by various fuel impurities. Solid State Ionics 2008, 179, 1427–1431. [Google Scholar] [CrossRef]
  23. EPRI. Assessment of Fuel Gas Cleanup Systems for Waste Gas Fueled Power Generation; Electric Power Research Institute 1012763 Technical Update; EPRI: Palo Alto, CA, USA, December 2006; p. 117. [Google Scholar]
  24. Ruokomäki, J. Biogas Criteria for SOFC. Product Centre Ecotech; Wärtsilä Finland Oy: Helsinki, Finland, 2009. [Google Scholar]
  25. Environmental Agency. Guidance on Gas Treatment Technologies for Landfill Gas Engines; Environmental Agency: Bristol, UK, 2002; p. 91. [Google Scholar]
  26. Soreanu, G.; Be´land, M.; Falletta, P.; Edmonson, K.; Svoboda, L.; Al-Jamal, M.; Seto, P. Approaches concerning siloxane removal from biogas: A review. Can. Biosyst. Eng. 2011, 53, 8.1–8.18. [Google Scholar]
  27. Xu, L.; Shi, Y.; Cai, Y. Occurrence and fate of volatile siloxanes in a municipal wastewater treatment plant of Beijing, China. Water. Res. 2013, 47, 715–724. [Google Scholar] [CrossRef] [PubMed]
  28. Badjagbo, K.; Furtos, A.; Alaee, M.; Moore, S.; Sauve, S. Direct analysis of volatile methylsiloxanes in gaseous matrixes using atmospheric pressure chemical ionization-tandem mass spectrometry. Anal. Chem. 2009, 81, 7288–7293. [Google Scholar] [CrossRef] [PubMed]
  29. Accettola, F.; Guebitz, G.M.; Schoeftner, R. Siloxane removal from biogas by biofiltration: Biodegradation studies. Clean Technol. Environ. Policy 2008, 10, 211–218. [Google Scholar] [CrossRef]
  30. Wheless, E.; Pierce, J. Siloxanes in Landfill and Digester Gas Update. 2004. Available online: http://www.scsengineers.com/Papers/Pierce_2004Siloxanes_Update_Paper.pdf (accessed on 19 July 2010).
  31. Manocha, S.M. Porous Carbons. Sadhana 2003, 28, 335–348. [Google Scholar] [CrossRef]
  32. Higgins, S. Siloxane Removal Process. U.S. Patent 7,306,652 B2, 11 December 2007. [Google Scholar]
  33. Kim, J.; Choi, H.; Yoo, I. Adsorption of the Siloxane Contained in Landfill Gas using Clay Mineral. J. Korean Ind. Eng. Chem. 2006, 17, 465–470. [Google Scholar]
  34. Matsui, T.; Imamura, S. Removal of siloxane from digestion gas of sewage sludge. Bioresour. Technol. 2010, 101, S29–S32. [Google Scholar] [CrossRef] [PubMed]
  35. Finocchio, E.; Garuti, G.; Baldi, M.; Busca, G. Decomposition of hexamethylcyclotrisiloxane over solid oxides. Chemosphere 2008, 72, 1659–1663. [Google Scholar] [CrossRef]
  36. Seo, D.; Yun, S.; Kim, M.; Oh, I.; Song, S.; Chun, S. Experimental study on the removal of siloxane from landfill gas by adsorption. In Proceedings of the 11th International Waste Management and Landfill Symposium, Cagliari, Italy, 1–6 October 2007; p. 10. [Google Scholar]
  37. Schweigkofler, M.; Niessner, R. Removal of siloxanes in biogases. J. Hazard. Mater. 2001, 83, 183–196. [Google Scholar] [CrossRef]
  38. Jafari, T.; Jiang, T.; Zhong, W.; Khakpash, N.; Deljoo, B.; Aindow, M.; Singh, P.; Suib, S.L. Modified Mesoporous Silica for Efficient Siloxane Capture. Langmuir 2016, 32, 2369–2377. [Google Scholar] [CrossRef] [PubMed]
  39. Liu, Y.H.; Meng, Z.Y.; Wang, J.Y.; Dong, Y.F.; Ma, Z.C. Removal of siloxanes from biogas using acetylated silica gel as adsorbent. Pet. Sci. 2019, 16, 920–928. [Google Scholar] [CrossRef]
  40. Sigot, L.; Ducom, G.; Benadda, B.; Laboure, C. Adsorption of octamethylcyclotetrasiloxane on silica gel for biogas purification. Fuel 2014, 135, 205–209. [Google Scholar] [CrossRef]
  41. Barton, T.J.; Bull, L.M.; Klemperer, W.G.; Loy, D.A.; McEnaney, B.; Misono, M.; Monson, P.A.; Pez, G.; Scherer, G.W.; Vartuli, J.C.; et al. Tailored porous materials. Chem. Mater. 1999, 11, 2633–2656. [Google Scholar] [CrossRef]
  42. Abatzoglou, N.; Boivin, S. A review of biogas purification processes. Biofuels Bioprod. Bioref. 2009, 3, 42–71. [Google Scholar] [CrossRef]
  43. Oshita, K.; Ishihara, Y.; Takaoka, M.; Takeda, N.; Matsumoto, T.; Morisawa, S.; Kitayama, A. Behaviour and adsorptive removal of siloxanes in sewage sludge biogas. Water Sci. Technol. 2010, 61, 2003–2012. [Google Scholar] [CrossRef] [PubMed]
  44. Boulinguiez, B.; Le Cloirec, P. Biogas pre-upgrading by adsorption of trace com-pounds onto granular activated carbons and an activated carbon fiber cloth. Water Sci. Technol. 2009, 59, 935–944. [Google Scholar] [CrossRef]
  45. Rossol, D.; Schmelz, K.G.; Hohmann, R. Siloxanes in Digester Gas- Experiences Gained with Different Gas Treatment Methods at the Emscher River and Lippe River Associations. KA Wasserwirtsch. Abwasser Abfall 2003, 50, 1043–1051. [Google Scholar]
  46. Yu, M.; Gong, H.; Chen, Z.; Zhang, M. Adsorption characteristics of activated carbon for siloxanes. J. Environ. Chem. Eng. 2013, 1, 1182–1187. [Google Scholar] [CrossRef]
  47. Kuhn, J.N.; Elwell, A.C.; Elsayed, N.H.; Joseph, B. Requirements, techniques, and costs for contaminant removal from landfill gas. Waste Manag. 2017, 63, 246–256. [Google Scholar] [CrossRef]
  48. Lee, S.H.; Cho, W.; Song, T.Y.; Kim, H.; Lee, W.J.; Lee, Y.C.; Baek, Y. Removal process for octamethylcyclotetrasiloxane from biogas in sewage treatment plant. J. Ind. Eng. Chem. 2001, 7, 276–280. [Google Scholar]
  49. Zhong, W.; Jiang, T.; Jafari, T.; Poyraz, A.S.; Wu, W.; Kriz, D.A.; Du, S.; Biswas, S.; Pettes, M.T.; Suib, S.L. Modified inverse micelle synthesis for mesoporous alumina with a high D4 siloxane adsorption capacity. Microporous Mesoporous Mat. 2017, 239, 328–335. [Google Scholar] [CrossRef]
  50. Ajhar, M.; Travesset, M.; Yuce, S.; Melin, T. Review: Siloxane removal from landfill and digester gas-a technology overview. Bioresour. Technol. 2010, 101, 2913–2923. [Google Scholar] [CrossRef]
  51. Huppmann, R.; Lohoff, H.W.; Schroder, H.F. Cyclic siloxanes in the biological waste water treatment process—determination, quantification and possibilities of elimination. Fr. J. Anal. Chem. 1996, 354, 66–71. [Google Scholar]
  52. Stoddart, J.; Zhu, M.; Staines, J.; Rothery, E.; Lewicki, R. Experience with halogenated hydrocarbons removal from landfill gas. In Proceedings of the Sardinia 1999 Seventh International Waste Management and Landfill Symposium, Cagliari, Italy, 4–8 October 1999; Volume 2, pp. 489–498. [Google Scholar]
  53. Ryckebosch, E.; Drouillon, M.; Vervaeren, H. Techniques for transformation of biogas to biomethane. Biomass Bioenergy 2011, 35, 1633–1645. [Google Scholar] [CrossRef]
  54. Hagmann, M.; Hesse, E.; Hentschel, P.; Bauer, T. Purifi cation of biogasremoval of volatile silicones. In Proceedings of the Sardinia 2001 Eighth International Waste Management and Landfi Symposium, Cagliari, Italy, 1–5 October 2001; pp. 641–644. [Google Scholar]
  55. Pandey, P.; Chauhan, R.S. Membranes for gas separation. Prog. Polym. Sci. 2001, 26, 853893. [Google Scholar] [CrossRef]
  56. Meinema, H.A.; Dirrix, R.W.J.; Terpstra, R.A.; Jekerle, J.; Ko sters, P.H. Ceramic membranes for gas separation recent developments and state of the art. Interceram 2005, 54, 8691. [Google Scholar]
  57. Favre, E.; Bounaceur, R.; Roizard, D. Biogas, membranes, and carbon dioxide capture. J. Memb. Sci. 2009, 328, 11–14. [Google Scholar] [CrossRef]
  58. Popat, S.C.; Deshusses, M.A. Biological removal of siloxanes from landfill and digester gases: Opportunities and challenges. Environ. Sci. Technol. 2008, 42, 8510–8515. [Google Scholar] [CrossRef]
  59. de Arespacochaga, N.; Valderrama, C.; Raich-Montiu, J.; Crest, M.; Mehta, S.; Cortina, J.L. Understanding the effects of the origin, occurrence, monitoring, control, fate and removal of siloxanes on the energetic valorization of sewage biogas—A review. Renew. Sustain. Energy Rev. 2015, 52, 366–381. [Google Scholar] [CrossRef]
  60. Omer, A. Biogas technology for sustainable energy generation: Development and perspectives. MOJ App. Bio. Biomech. 2017, 1, 137–148. [Google Scholar] [CrossRef][Green Version]
  61. Hoyer, K.; Hulteberg, C.; Svensson, M.; Jernberg, J.; Nörregård, Ö. Biogas Upgrading-Technical Review; Lund University Publications: Lund, Sweden, 2016; pp. 1–76. ISBN 978-91-7673-275-5. [Google Scholar]
Figure 1. Anaerobic digester system [8]. Reproduced from [8], United States Environmental Protection Agency: 2015.
Figure 1. Anaerobic digester system [8]. Reproduced from [8], United States Environmental Protection Agency: 2015.
Energies 13 06088 g001
Figure 2. The repeating structural units for linear siloxanes (left) and cyclic (right) siloxanes. (e.g., n = 1: L2) [12].
Figure 2. The repeating structural units for linear siloxanes (left) and cyclic (right) siloxanes. (e.g., n = 1: L2) [12].
Energies 13 06088 g002
Figure 3. Silicon and carbon based adsorbents for siloxane removal from biogas.
Figure 3. Silicon and carbon based adsorbents for siloxane removal from biogas.
Energies 13 06088 g003
Table 1. The composition of biogas from anaerobic digester and landfill gas [9,10]. Adapted from [9], Woodhead Publishing: 2013 & [10] Elsevier: 2015.
Table 1. The composition of biogas from anaerobic digester and landfill gas [9,10]. Adapted from [9], Woodhead Publishing: 2013 & [10] Elsevier: 2015.
CompoundAnaerobic Digester BiogasLandfill GasEffects on Biogas Usage
Methane50–80 mol%30–60
Carbon dioxide15–50 mol%15–40
  • Reduces calorific value.
  • Causes corrosion
  • Anti-knock properties of engine
Oxygen0–1 mol%0–10
  • Gives rise to corrosion
Nitrogen0–5 mol%0–50
  • Decreases calorific value
  • Anti-knock properties of engines
Hydrogen Sulfide100–10,000 mg/m30–1000 mg/m3
  • Catalytic converter poison
  • Health hazard
  • Corrosion
Ammonia0–100 mg/m30–5 mg/m3
  • Emissions
  • Anti-knock properties of engines
  • Gives rise to corrosion
Total chlorine0–100 mg/m30–800 mg/m3-
Total fluorine0–100 mg/m30–800 mg/m3
SiloxanesNot known0–50 mg/m3
Table 2. Names and physical properties of typical siloxane compounds in biogas [13,14]. Adapted from [14], MDPI: 2020.
Table 2. Names and physical properties of typical siloxane compounds in biogas [13,14]. Adapted from [14], MDPI: 2020.
NameFormulaAbbreviationMolecular Weight (g/mol)Water Solubility 25 °C (mg/L)Vapor Pressure 25 °C (kPa)Boiling Point (°C)
PentamethyldisiloxaneC5H15OSi2-148--86
HexamethyldisiloxaneC6H18OSi2L2, MM1620.935.613101
OctamethyltrisiloxaneC8H24O2Si3L3, MDM2370.0340.445153
DecamethyltetrasiloxaneC10H30O3Si4L43110.006740.05194
DodecamethylpentasiloxaneC12H36O4Si5L53850.0003090.013230
HexamethylcyclotrisiloxaneC12H18O3Si3D32221.561.16135.2
OctamethylcyclotetrasiloxaneC8H24O4Si4D42970.0560.14175.7
DecamethylcyclopentasiloxaneC10H30O5Si5D53710.0170.03211.1
DodecamethylcyclohexasiloxaneC12H36O6Si6D64450.0050.003245
Table 3. Methods for siloxane removal from biogas [5,26,29,30]. Adapted from [26], Canadian Biosystem Engineering: 2011.
Table 3. Methods for siloxane removal from biogas [5,26,29,30]. Adapted from [26], Canadian Biosystem Engineering: 2011.
MethodRemoval Efficiency (%)AdvantagesDisadvantages
Adsorption e.g., silica-gel, activated carbon, zeolites90–99
  • It is simple.
  • Has high adsorption capacity.
  • High degree of regeneration is possible.
  • It is relatively cheap.
  • Adsorbent can be lost during the regeneration process
  • Activated carbon is not suitable for humid gases and is non-selective so it adsorbs irrelevant gases.
  • Adsorption capacity and material are lost after the regeneration process.
  • There is risk of pressure drop
Degradation (using 97% sulfuric acid).95–99 (60 °C)
56–70 (at RT)
  • It is simple and cheap.
  • It is relatively non-toxic
  • Dangerous to handle and transport.
  • There is a risk of corrosion.
Liquid Absorption97–99
  • It is efficient.
  • High operational costs.
  • Solvents are flammable and toxic which has a negative impact on the environment.
  • A lot of energy is needed for regeneration.
Membrane-
  • It is simple and offers a large surface area and small volume.
There is a possibility of fouling and membrane destruction by chemicals and excess pressure.
Refrigeration/Condensation95 (−28.89 ℃)
  • It is simple.
  • Has low reagent cost and safe.
  • There is no media for disposal.
Uses a lot of energy.
Biotrickling filtration10–43
  • It is simple
  • It is cheap and economical
  • The efficiency is low.
  • There is risk of pressure drop, fouling and loss of material by regeneration process
RT: Room temperature.
Table 4. Advantages and disadvantages of absorption methods [53].
Table 4. Advantages and disadvantages of absorption methods [53].
Absorption MethodAdvantagesDisadvantages
Organic solventsVery high removal efficiency (97%)
  • 100% removal of siloxanes is impossible.
Strong acidHigh removal efficiency (<95%)
  • The system used can be corroded
  • It is not ecologically friendly
  • Dangerous and poisonous chemicals used
Strong baseNot used due to CO32− precipitation
  • Corrosion occurs
  • There is CO32− precipitation
  • Dangerous and poisonous chemicals used
Publisher’s Note: MDPI stays neutral with regard to jurisdictional claims in published maps and institutional affiliations.

Share and Cite

MDPI and ACS Style

Nyamukamba, P.; Mukumba, P.; Chikukwa, E.S.; Makaka, G. Biogas Upgrading Approaches with Special Focus on Siloxane Removal—A Review. Energies 2020, 13, 6088. https://doi.org/10.3390/en13226088

AMA Style

Nyamukamba P, Mukumba P, Chikukwa ES, Makaka G. Biogas Upgrading Approaches with Special Focus on Siloxane Removal—A Review. Energies. 2020; 13(22):6088. https://doi.org/10.3390/en13226088

Chicago/Turabian Style

Nyamukamba, Pardon, Patrick Mukumba, Evernice Shelter Chikukwa, and Golden Makaka. 2020. "Biogas Upgrading Approaches with Special Focus on Siloxane Removal—A Review" Energies 13, no. 22: 6088. https://doi.org/10.3390/en13226088

APA Style

Nyamukamba, P., Mukumba, P., Chikukwa, E. S., & Makaka, G. (2020). Biogas Upgrading Approaches with Special Focus on Siloxane Removal—A Review. Energies, 13(22), 6088. https://doi.org/10.3390/en13226088

Note that from the first issue of 2016, this journal uses article numbers instead of page numbers. See further details here.

Article Metrics

Back to TopTop