Abstract
The conversion of methane was investigated in a packed-bed dielectric barrier discharge (DBD) plasma reactor operated at ambient conditions. High dielectric BaTiO3 was utilized as packing in comparison with γ-alumina, α-alumina, and silica-SBA-15. Results show a considerably lower conversion of CH4 and C2 yield for the BaTiO3 packed reactor, which is even less than that obtained for the nonpacked reactor. In contrast, the low dielectric alumina (γ and α) packed reactor improved the conversion of CH4 and C2 yield. Additionally, the alumina packed reactor shifted the distribution of C2 compounds towards C2H4 higher than that obtained for the nonpacked reactor and resulted in a higher energy efficiency compared to the BaTiO3 packed reactor. This is attributed to the small pore size of BaTiO3 (10–200 nm) and its high dielectric constant, whereas the polarization inside small pores does not lead to the formation of an overall strong electric field.
1. Introduction
The properties of packing materials can remarkably affect the performance of dielectric barrier discharge (DBD) plasma reactors, influencing the conversion and selectivity of the desired products. The presence of a packing inside the discharge gap has a mutual impact on the properties of both the plasma and the packed material [1]. The presence of the packing particles can change the characteristics of the plasma, modifying the strength of the electric field, resulting in a different distribution of energy absorbed by plasma species (e.g., radicals, electrons, ions), which consequently influences the conversion and distribution of the final products. On the other hand, the exposure of the catalyst to plasma discharges will change the properties of the catalyst surface, which can lead to different adsorption, reactivity, and desorption properties for the plasma-treated catalyst surface. As a consequence, the catalyst shows a different performance when used as the packing in a plasma reactor to its performance in a conventional thermal catalytic reactor. Several studies have investigated these mutual effects of plasma and catalyst on each other and their synergy for different applications such as methane reforming, CO2 conversion, and the removal of volatile organic compounds (i.e., VOCs like toluene) [2,3,4,5,6,7,8,9,10]. According to the existing literature, different parameters such as dielectric constant, surface area, porosity, packing density, and the shape of the packing are considered as the parameters that effectively change the conversion and the yield of products [11,12,13,14,15,16,17]. Among all important properties of the packing, the dielectric property of the packing is one of the determining factors in creating a synergistic plasma-catalyst system [18].
Rico et al. [19] investigated the effect of packing γ-alumina and BaTiO3 for dry reforming of methane and for the decomposition of methanol to hydrogen. According to their study, γ-alumina showed a better performance in improving the conversion and the yield of H2 compared to the reactor packed with BaTiO3. The authors explained that a better performance of γ-alumina could be ascribed to a better catalytic activity of γ-alumina, whereas the presence of alumina particles could create a cumulative synergy in improving the conversion of methane; however, the effect of the dielectric constant of the tested materials was not discussed. Chiremba et al. [20] studied the conversion of methane using a BaTiO3 packed bed in different process conditions. It was found that the yield of H2 was dependent on the presence of BaTiO3 as well as on the applied specific energy density. The distribution of C2 products was greatly influenced by the amount of the specific energy density, where a low specific energy density (≤100 kJ/L) was favourable for achieving a higher selectivity of C2H4 rather than C2H6. Their results, furthermore, indicated that the conversion of methane was almost independent of the applied discharge power for a BaTiO3 packed reactor; however, they did not report these results, either in comparison with the performance of a nonpacked DBD plasma reactor or in comparison with low dielectric packings. Thus, further investigation on the performance of a DBD plasma reactor for coupling reactions of methane is needed to gain insight into the proper choice of packing to be integrated with the DBD plasma discharges. This furthermore demands the evaluation of the energy efficiency to be considered for all choices of the packings.
Therefore, in the present study, the comparison between the performance of a packed and a nonpacked DBD reactor for coupling of methane was investigated. High and low dielectric materials with different porosities including BaTiO3, γ-alumina, silica-SBA-15, and α-alumina were utilized as the packing, where the conversion of CH4 and the distribution of C2 products were influenced by the presence of the packing. We discuss how the presence of the solid particles and their interaction with the plasma discharges shift the distribution of C2H2, C2H4, and C2H6 products, exhibiting different trends for low and high dielectric packings. Moreover, the energy efficiency is discussed in detail for both the nonpacked and the packed reactor system.
2. Materials and Methods
2.1. Materials and Characterization
The following materials were utilized as the packing materials: BaTiO3 (Alfa Aesar (Kandel, Germany), 18 m2/gr), γ-alumina (Alfa Aesar (Kandel, Germany), 234 m2/gr), α-alumina (Alfa Aesar (Kandel, Germany), 0.82 m2/gr), and silica-SBA-15 (Sigma Aldrich (Zwijndrecht, Nederland), 673 m2/gr). The surface area of the samples was measured with nitrogen physisorption at 77 K with a Surface Area and Porosity Analyzer, TriStar, Micrometrics. The results are mentioned inside the brackets for each material above.
2.2. The Operation of the Packed Bed DBD Plasma Reactor
The mixture of CH4 and Ar was introduced to the inlet of the DBD reactor, which was made of a quartz tube, acting as the dielectric with an i.d. (inner diameter) of 4 mm and an o.d. (outer diameter) of 6 mm. A stainless-steel rod with a diameter of 1.6 mm, acting as the high-voltage electrode, was fixed at the centre of the quartz tube. The quartz tube was covered with a rigid stainless-steel tube with a length of 10 cm, which acted as the ground electrode. In the case of the packed reactor, the powder was sieved within the particle size range of 100–300 µm and packed inside the discharge gap of the DBD plasma reactor, covering the discharge gap (1.2 mm) between the high-voltage electrode and the dielectric quartz tube for the 10 cm length of the plasma discharge zone. A total flow rate of 50 mL/min of the mixture of methane and argon was applied, containing 5 vol % of CH4 as the reactant.
The DBD plasma was generated between the high-voltage electrode and the ground electrode by applying a high voltage of 7–8 kV with a frequency of 23 kHz, in order to obtain a constant range of 7–8 W for the input power during the operation of the DBD reactor. A high-voltage probe (TESTEC TT-HVP15 HF), a probe for connecting the ground electrode (TESTEC TT-HV 250), a 3.9 nF capacitor, and an oscilloscope (Pico Scope 2000 series) were used to measure the discharge power. The discharge power was calculated from Q-V Lissajous figures. All experiments were initiated under ambient conditions. The temperature of the outer surface of the ground electrode was monitored with a thermocouple. The plasma reactions were initiated at room temperature, and the temperature reached 52 °C in about 1 hr and stabilized around this level for the rest of the reaction time. This followed a similar trend for all experiments. Furthermore, the outlet temperature of the reactor was measured with a thermocouple, which was close to the ambient temperature, and therefore, no heating effect was observed at the outlet of the reactor.
The reaction products were analysed with an online Varian 450 Gas Chromatograph (GC) equipped with TCD and FID detectors. The products were separated by Hayesep T and Q, Molsieve 13× and PoraBOND Q columns to analyze gas-phase products. The GC was calibrated with a standard mixture of methane and products, with a known concentration of each compound, in a range similar to that obtained in the actual reaction experiments. For a calibrated gas compound in the GC, the molar concentration of that compound corresponded with the chromatograph peak area of that compound. The obtained molar concentrations during the plasma reaction were used to calculate the flow rate of CH4 and products (molar concentration of each compound × total flow rate measured at the outlet of the reactor). The conversion of CH4, the selectivity of gas-phase products, the selectivity of deposits and the yield of hydrogen were calculated based on the following equations:
3. Results and Discussion
3.1. The Dielectric Constant of the Packed Materials
The literature values for the dielectric constant of the tested materials are presented in Table 1. Among all tested materials, BaTiO3 possesses the highest dielectric constant (>1000) [18]. In general, the dielectric constant of ferroelectric materials, i.e., BaTiO3, can largely vary depending on the applied frequency and temperature.
Table 1.
The dielectric constant of the tested materials.
Dong et al. [21] measured the dielectric constant of BaTiO3 powder, supplied by Alfa Acer, similar to the powder tested in the present study. It was found that the value for the dielectric constant of BaTiO3 is above 1000 for a wide range of applied frequencies and temperatures. In comparison with BaTiO3, γ-alumina, α-alumina, and silica-SBA-15 possess significantly lower dielectric constants, as reported in several studies [18,22,23]. Alumina (γ and α) has a higher dielectric constant than silica-SBA-15, which is known for its low dielectric properties [24].
3.2. The Effect of Packing on Plasma Electrical Parameters
The presence of packing with different dielectric constants influences the plasma electrical parameters, such as applied voltage, discharge power, and the characteristics of discharges. The applied voltage and discharge power are shown in Table 2 for the nonpacked (blank) reactor and the packed reactor. When the plasma gap is packed with solid particles, a higher voltage of 8.9–10.0 kV is required to keep the input energy in the range of 7–8 W, compared to the voltage applied for the blank reactor (7.6 kV).
Table 2.
Voltage applied for the nonpacked reactor (Blank) and the packed reactor with different dielectric materials.
Due to the presence of solid particles, the gap between the high-voltage electrode and the ground electrode decreases. This therefore reduces the space for the formation of discharges in comparison with the nonpacked (Blank) reactor. As a result, the breakdown voltage of a packed-bed DBD plasma reactor was expected to be lower than the breakdown voltage of a DBD plasma reactor without packing. This has been experimentally demonstrated in previous studies for different reactions [22,25,26]. According to the present study, presented in Table 3, all materials utilized as the packing exhibited a lower breakdown voltage compared to the nonpacked reactor. Results indicate that the breakdown voltage was not largely dependent on the dielectric constant of the packing, except for BaTiO3, which was relatively lower (ca. 30%) than that for γ-alumina, α-alumina, and silica-SBA-15. This indicates that a lower breakdown voltage for the packed-bed DBD reactor originates from the reduction of the discharge gap, as well as the pressure drop of the gas flow across the packed bed [10].
Table 3.
The breakdown voltage for the Blank and the packed reactor obtained from Lissajous figures.
The plasma volume can be entirely covered with discharges as long as the charges generated on the high-voltage electrode can be fully transferred to the ground electrode, which is a typical case for a nonpacked DBD reactor. This becomes a different case when the plasma discharge gap is occupied by solid particles. In this case, each particle of the packing functioned as a capacitor, which could bridge the transfer of charges across the plasma discharge zone. In addition, at the same time, each particle could trap the charges as well. This phenomenon is called “partial discharging” in packed-bed DBD plasma reactors [19,22,27,28], where a part of the charges is trapped by solid particles rather than being transferred across the bed. This affects the strength of the generated electric field between the high-voltage electrode and the ground electrode and, consequently, impacts the conversion and the selectivities of the final products.
The presence of dielectric materials increases the overall capacitance of the plasma electric circuit due to their high dielectric constant compared to a nonpacked reactor. The capacitance (C) is inversely proportional to the applied voltage (V) and correlated by C = Q/V, where Q is the amount of the charge, which is transferred across the discharge gap. In order to inhibit the partial discharging, the applied voltage should be sufficiently higher than the breakdown voltage to generate a full discharging across the packed bed. This can be seen in Lissajous figures (Figure 1), which show that the voltages applied for both cases of a nonpacked and packed reactor are considerably higher than the breakdown voltage of the reactor.
Figure 1.
Lissajous figures for different packing materials packed inside the dielectric barrier discharge (DBD) plasma reactor.
The presence of the packing influences the shape of the Lissajous figure, changing from a parallelogram form, which is a typical form for nonpacked DBD plasma reactors, to an oval form (almond shape), when the discharge gap is packed with a catalyst, as shown in Figure 1. This can be attributed to the occurrence of a combination of filamentary discharges accompanied with surface discharges, which are formed across the packed bed, rather than only filamentary discharges, which are typically formed when no packing is utilized [15,27,29].
3.3. The Conversion of Methane
The conversion of methane as a function of time is shown in Figure 2. The BaTiO3 packed-bed reactor demonstrates a remarkably lower conversion (below 20%), in contrast to γ-alumina, α-alumina, and silica-SBA-15. This indicates that using BaTiO3 with a high dielectric constant as the packing leads to a lower conversion of methane.
Figure 2.
Conversion of methane as a function of time for different packing materials.
Among low dielectric materials, the silica-SBA-15 packed reactor shows a relatively lower conversion of methane compared to γ-alumina and α-alumina. This can be ascribed to the high surface area of silica-SBA-15 (673 m2/gr) as well as its known high porosity, which therefore can increase the possibilities of partial discharging due to the trapping of charges inside the small pores of silica-SBA-15. This therefore reduces the propagation of plasma discharges across the bed, which is the case for a highly porous silica-SBA-15 packing, where the interrupted plasma propagation causes the formation of a weaker electric field and, consequently, leads to a lower conversion of methane. In addition, the conversion of methane is accompanied with the formation of solid deposits, which can become significantly greater for a highly porous material. The presence of solid products on the packing can additionally influence the formation of discharges and the sustainability of the plasma, leading to a weaker overall electric field.
Zhang et al. [30] studied the rate of electron impact ionization for a DBD plasma reactor in combination with catalyst particles in a modelling study. The authors considered a wide range of dielectric constants for a catalyst, starting from 4 up to 1000, and investigated the strength of the electric field formed inside the catalyst pores with different sizes. It was found that the formation of microdischarges could be greatly affected by the dielectric constant of the packing, which also depends on the porosity of the utilized catalyst. It was discussed how, for a pore size of 100 µm, the rate of ionization is enhanced only for materials with dielectric constants below 300. In this case, porous structures (i.e., Al2O3 and SiO2) are more likely to allow the formation of discharges even inside the small pores, due to their low dielectric constant in comparison with a high dielectric material (i.e., BaTiO3). However, the pore sizes studied by Zhang et al. [30] are in the range of 10 to 100 µm, whereas typical pores in catalytic packings are much smaller.
BaTiO3 tested in the present study had a pore size distribution within the range of 10–200 nm, as shown in Figure 3. The pore volume of the tested γ-alumina is shown in Figure 4. Compared to BaTiO3, γ-alumina possesses smaller pore diameters with a narrow size distribution of around 20 nm.
Figure 3.
Pore volume of tested BaTiO3 as a function of pore diameter.
Figure 4.
Pore volume of tested γ-alumina as a function of pore diameter.
The experimental results of the present study indicate that a high dielectric material (i.e., BaTiO3) cannot enhance the plasma electric field. This is related to the combined effect of the dielectric constant and the porosity of BaTiO3. For small pores, the walls of the pore are in close proximity. In this way, for a high dielectric material with small pores, the accumulation of charges inside the pores does not lead to a strong electric field, as the mutual polarization of the walls counteracts the effect of each other. Thus, high dielectric BaTiO3 with small pores functions as a medium that can mainly store the energy rather than transfer it to CH4 molecules. In contrast, γ-alumina with a remarkably lower dielectric constant, and even with smaller pores than BaTiO3, can still improve the strength of the electric field and, consequently, enhance the conversion of methane.
3.4. The Distribution of Products
The selectivities of C2 products are shown in Figure 5. BaTiO3 exhibits a higher selectivity towards unsaturated compounds (C2H2 and C2H4). For γ-alumina, α-alumina, and silica-SBA-15, the distribution of C2 products shifts towards a higher production of C2H2 and C2H4, which is higher than that obtained for the nonpacked reactor. This indicates that the enhancement of the electric filed across the bed for low dielectric materials shifts the distribution of CHx radicals (i.e., generated by decomposition of CH4), resulting in a higher production of CH2 and CH radicals (i.e., obtained via H abstraction reactions) rather than CH3 radicals. This increases the rate of dimerization of CH2 and CH radicals, and therefore leads to the formation of a higher amount of C2H4 and C2H2.
Figure 5.
Selectivity of C2 products as a function of time for different packing materials: (a) Acetylene selectivity; (b) ethylene selectivity; and (c) ethane selectivity.
For the BaTiO3 packed plasma reactor, the selectivity of C2H2 and C2H4 reached 18% and 32%, respectively, higher than the values of 7% and 6% obtained for the nonpacked reactor; however, a low conversion of methane resulted in a low yield of C2. For a better comparison, the yield of C2 products is depicted in Figure 6. A lower yield of C2 was obtained for the BaTiO3 packed plasma reactor. Similarly, the yield of C2H4 (Figure 6) was lower for the reactor packed with BaTiO3.
Figure 6.
Yield of C2 products as a function of time for different packing materials.
Figure 7 clearly shows that for γ-alumina, α-alumina, and silica-SBA-15, C2H4 yield increases, except BaTiO3, which shows almost the same yield as the nonpacked reactor. The C2H4 yield reaches a range of 3.3–3.8% for γ-alumina, α-alumina, and silica-SBA-15, nearly two times more than the value of 1.8% obtained for the nonpacked reactor. In this way, the distribution of CHx radicals appears to be largely influenced for the packed reactor, shifting to a greater production of CH2 radicals, which consequently leads to a higher production of C2H4.
Figure 7.
Yield of C2H4 as a function of time for different packing materials.
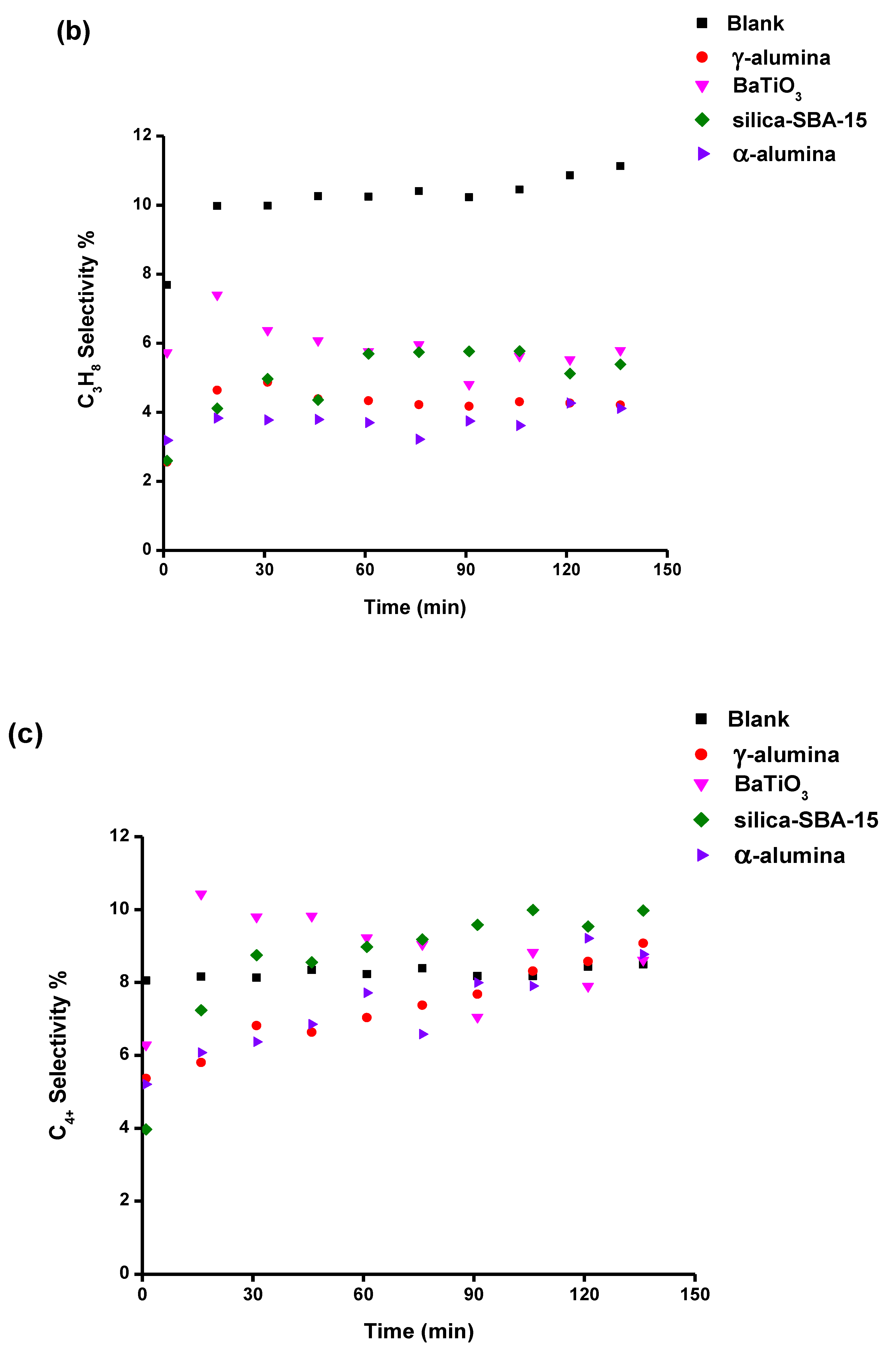
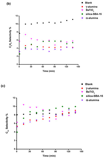
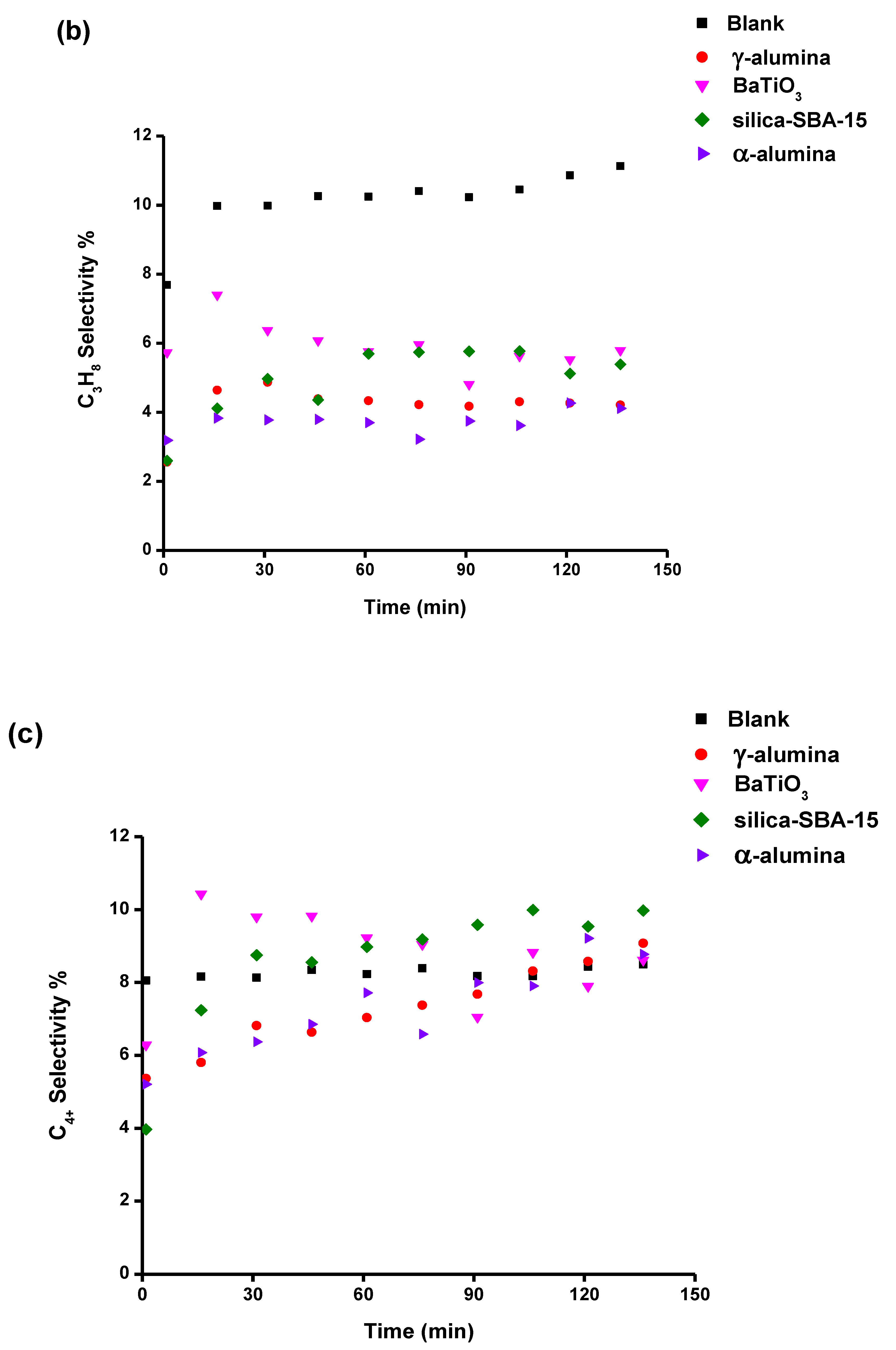
The selectivities of C3 and larger hydrocarbons (C4+) are depicted in Figure 8. The selectivity of C3H6 increases to a higher value for the packed reactor in comparison with the nonpacked reactor, as shown in Figure 8a. In contrast, the formation of C3H8 (Figure 8b) is lower for the packed reactor. Similar to the changes obtained for the selectivity of C2H4, the selectivity of C3 hydrocarbons shifts towards unsaturated C3H6. The enhancement of the electric field, due to the presence of the packing particles, increases the energy of the generated electrons and plasma-induced species (e.g., radicals) to a higher level. This extra energy changes the distribution of CHx radicals and also changes the distribution of C2Hy radicals (i.e., obtained via recombination of CHx radicals). In this case, the distribution of C2Hy radicals shifts to a higher production of C2H3 and C2H radicals rather than C2H5 radicals, obtained via H abstraction reactions. As a result, the rate of the formation of unsaturated C2 products (i.e., obtained from dimerization of CH2 and CH) and the rate of the formation of C3H6 product (i.e., obtained from recombination of CH2, C2H3, and H) become greater, resulting in a higher selectivity of C2H2, C2H4, and C3H6. The formation of C4+ is slightly influenced by the presence of the packing and it remains at the same level as in the nonpacked reactor, as shown in Figure 8c.

Figure 8.
The selectivity of C3 and other hydrocarbon (C4+) products as a function of time for different packing materials: (a) C3H6 selectivity; (b) C3H8 selectivity; and (c) other hydrocarbons selectivity.
The selectivity of deposits is depicted in Figure 9a. A lower amount of deposits is formed for the BaTiO3 packed reactor. This can be attributed to a lower conversion of methane, which is proportional to a lower yield of H2 (i.e., obtained from decomposition of CH4 depicted in Figure 9b), which therefore leads to a lower formation of deposits. A lower formation of deposits is favourable for the sustainability of the process, but on the other hand, the C2 yield significantly drops when a low conversion of methane is achieved. Therefore, a low dielectric material (i.e., alumina) is preferred as the packing in a packed-bed DBD plasma reactor rather than a high dielectric material (i.e., BaTiO3).
Figure 9.
The selectivity of deposits (a) and the yield of H2 (b) as a function of time for different packing materials.
3.5. The Behaviour of BaTiO3 and γ-Alumina at Different Discharge Powers
The effect of input power on the performance of BaTiO3 packed reactor was evaluated, as shown in Figure 10.
Figure 10.
The effect of discharge power on the conversion of methane and the selectivity of products for the reactor packed with BaTiO3.
The conversion of methane tends to increase from 7.8% to 16.5% by increasing the discharge power from 3.0 W to 5.5 W. Increasing the discharge power from 5.5 W to 10.2 W does not promote the conversion of methane for the BaTiO3 packed reactor, whereas the conversion of methane slightly changes from 16.5% to 17.2%. This can be attributed to the small pores of BaTiO3 in combination with its high dielectric properties. In this way, applying higher values of discharge power can only increase the charge density inside the pores, but does not lead to a strong polarization [30]. As a consequence, the overall electric field between the high voltage electrode and the ground electrode almost remains at the same level of intensity, and the conversion of CH4 therefore becomes independent of discharge power.
The selectivity of deposits increases from 36.1% to 44.5% by increasing the discharge power from 3.0 W to 10.2 W, as shown in Figure 10. In contrast, the selectivity of C2 products decreases from 48.5% to 38.4%. This indicates that the extra energy provided to the plasma discharges mainly contributes to the decomposition of CH4, which generates a higher amount of C radicals rather than CHx radicals (i.e., CH3, CH2, CH). In this way, a lower generation of CHx radicals leads to a lower formation of C2 products, and consequently, a higher formation of deposits.
Figure 11 depicts the conversion of methane versus discharge power for the reactor packed with BaTiO3 and γ-alumina, as well as for the nonpacked reactor. It can be seen that increasing the discharge power has a positive effect in improving the conversion of methane in the case of using γ-alumina as the packing, in contrast to the BaTiO3 packed reactor. Likewise, H2 yield follows the same trend as the conversion of methane, as shown in Figure 12.
Figure 11.
The conversion of methane as a function of discharge power for the reactor packed with BaTiO3 and γ- alumina and the blank reactor.
Figure 12.
Yield of H2 as a function of discharge power for the reactor packed with BaTiO3 and γ-alumina and the blank reactor.
The yield of C2 versus discharge power is depicted in Figure 13. For the nonpacked reactor, the yield of C2 slightly increases; however, for the γ-alumina packed reactor, the yield of C2 follows an ascending trend. For BaTiO3 packed reactor, the yield of C2 is independent of the discharge power, following the same trend as obtained for the conversion of CH4 at elevated discharge powers.
Figure 13.
Yield of C2 products as a function of discharge power for the reactor packed with BaTiO3 and γ-alumina and the blank reactor.
Figure 14 shows the yield of C2H4 as a function of discharge power. For the nonpacked reactor, the yield of C2H4 remains almost unchanged by increasing the discharge power. This indicates that increasing the discharge power mainly increases the rate of CH4 decomposition to form H2 and deposits. In contrast, for both the BaTiO3 and γ-alumina packed reactor, the yield of C2H4 improves by increasing the discharge power, whereas this effect is more profound for the γ-alumina packed reactor.
Figure 14.
Yield of C2H4 as a function of discharge power for the reactor packed with BaTiO3 and γ-alumina and the blank reactor.
3.6. The Analysis of the Energy Efficiency
In order to analyse the energy efficiency, two definitions are considered. In the first analysis, the energy efficiency is defined based on the amount of converted methane divided by the discharge power, applied for the plasma reaction as shown in the equation below:
These values are presented in Table 4.
Table 4.
The energy efficiency.
The second definition is based on the high heat value of the products, the amount of converted methane, and the discharge power as represented in the equation below:
where i is product; HHV(i) is high heat value of i (J/mol); molar flow rate of i is in mol/s; and discharge power is in watts.
The results of the second definition are represented in Figure 15. Similar conclusions can be drawn from both definitions of the energy efficiency. It can be seen that BaTiO3 could convert a lower amount of methane compared to other packing materials, as well as compared to the nonpacked reactor. This implies that high dielectric BaTiO3 can transfer a small part of the input energy for the activation of CH4 molecules. In this case, compared to γ-alumina, α-alumina, and silica-SBA-15, a part of the input energy is dissipated into the BaTiO3 packed bed, instead of being transferred across the packed bed. This leads to a lower conversion of CH4 and, consequently, a lower energy efficiency. This becomes a different case when the DBD reactor is packed with alumina particles. A higher energy efficiency is obtained, significantly higher than that obtained for the BaTiO3 packed reactor.
Figure 15.
The energy efficiency for the blank (nonpacked) reactor and the packed reactor.
The silica-SBA-15 packed reactor possesses a relatively lower energy efficiency (0.0938 mmol/kJ) than the values obtained for the γ-alumina (0.1315 mmol/kJ) and α-alumina (0.1468 mmol/kJ) packed reactor, due to the partial discharging, which can become greater for a packing with a high surface area and porosity (i.e., silica-SBA-15). In this way, the charges generated on the high-voltage electrode can be trapped inside the pores, and therefore, discharges are not able to bridge the gap between the high-voltage electrode and the ground electrode. As a result, the strength of the electric field becomes relatively weaker. This has been reported to take place when DBD plasma discharges are combined with different packing materials utilized for other applications [22,27,28]. In order to achieve a complete discharging, charges generated on the high-voltage electrode should be entirely transferred to the ground electrode. In the case of using packing, each particle of the packed bed can behave as a capacitor, which is capable of both transferring as well as trapping the charges inside the pores. This largely depends on the dielectric properties of the packing and its porosity.
The dielectric constants of α-alumina and γ-alumina are nearly the same. The conversion of methane and the energy efficiency for both α-alumina and γ-alumina packed reactors are at the same level, despite their differences in surface area and porosity. Thus, it can be stated that in the case of alumina (γ or α phase), the dielectric constant has a dominant effect compared to its surface area and its porosity. This furthermore indicates that the catalytic activity of γ-alumina does not contribute to improving the conversion and the distribution of products, whereas α-alumina (i.e., having no catalytic activity) can still boost the conversion of methane, due to its dielectric properties.
4. Conclusions
In this article, the conversion of methane in a packed-bed DBD plasma reactor was conducted to evaluate the effect of dielectric properties of the packing in combination with the effect of porosity. Results indicated that high dielectric BaTiO3 resulted in a lower conversion of methane compared to the reactor packed with low dielectric materials (i.e., γ-alumina, α-alumina, and silica-SBA-15) and compared to the nonpacked reactor. This was elucidated considering the small-sized pores of BaTiO3 particles (i.e., within the range of nm), which could not enhance the generated electric field due to the weak polarization inside the pores. It was furthermore found that increasing the discharge power could only slightly promote the conversion of CH4 for a BaTiO3 packed plasma reactor. In contrast, for a γ-alumina packed reactor, increasing the discharge power could significantly promote the conversion of methane as well as the yield of C2 products. The energy efficiency was improved by the presence of low dielectric materials inside the discharge zone, where the highest energy efficiency was achieved for α-alumina and γ-alumina within the range of 0.13–0.15 mmol of converted methane/kJ.
Author Contributions
Conceptualization, M.T.; Methodology, M.T.; Data Curation, M.T.; Data Analysis, M.T.; Writing—Original Draft, M.T.; Writing—Review and Editing, H.G. and M.T. All authors have read and agreed to the published version of the manuscript.
Funding
This research received no external funding.
Conflicts of Interest
The authors declare no conflict of interest.
References
- Whitehead, J.C. Plasma-catalysis: The known knowns, the known unknowns and the unknown unknowns. J. Phys. D Appl. Phys. 2016, 49, 243001. [Google Scholar] [CrossRef]
- Liao, X.B.; Guo, Y.F.; He, J.H.; Ou, W.J.; Ye, Q.D. Hydroxyl radicals formation in dielectric barrier discharge during decomposition of toluene. Plasma Chem. Plasma Process. 2010, 30, 841–853. [Google Scholar] [CrossRef]
- Nozaki, T.; Muto, N.; Kado, S.; Okazaki, K. Dissociation of vibrationally excited methane on Ni catalyst: Part 1. Application to methane steam reforming. Catal. Today. 2004, 89, 57–65. [Google Scholar] [CrossRef]
- Wallis, A.E.; Whitehead, J.C.; Zhang, K. Plasma-assisted catalysis for the destruction of CFC-12 in atmospheric pressure gas streams using TiO2. Catal. Lett. 2007, 113, 29–33. [Google Scholar] [CrossRef]
- Jo, S.; Lee, D.H.; Kang, W.S.; Song, Y.H. Effect of packing material on methane activation in a dielectric barrier discharge reactor. Phys. Plasmas 2013, 20, 123507. [Google Scholar] [CrossRef]
- Whitehead, J.C. Plasma catalysis: A solution for environmental problems. Pure Appl. Chem. 2010, 82, 1329–1336. [Google Scholar] [CrossRef]
- Jo, S.; Kim, T.; Lee, D.H.; Kang, W.S.; Song, Y.H. Effect of the electric conductivity of a catalyst on methane activation in a dielectric barrier discharge reactor. Plasma Chem. Plasma Process. 2014, 34, 175–186. [Google Scholar] [CrossRef]
- Kasinathan, P.; Park, S.; Choi, W.; Hwang, Y.; Chang, J.; Park, Y. Plasma-enhanced methane direct conversion over particle-size adjusted MOx/Al2O3 (M = Ti and Mg) catalysts. Plasma Chem. Plasma Process. 2014, 34, 1317–1330. [Google Scholar] [CrossRef]
- Kraus, M.; Egli, W.; Haffner, K.; Eliasson, B.; Kogelschatz, U.; Wokaun, A. Investigation of mechanistic aspects of the catalytic CO2 reforming of methane in a dielectric-barrier discharge using optical emission spectroscopy and kinetic modelling. Phys. Chem. Chem. Phys. 2002, 4, 668–675. [Google Scholar] [CrossRef]
- Tu, X.; Gallon, H.J.; Whitehead, J.C. Electrical and spectroscopic diagnostics of a single-stage plasma-catalysis system: Effect of packing with TiO2. J. Phys. D Appl. Phys. 2011, 44, 482003. [Google Scholar] [CrossRef]
- Kameshima, S.; Mizukami, R.; Yamazaki, T.; Prananto, L.A. Tomohiro Nozaki, Oxidation behavior of Ni/Al2O3 catalyst in non-thermal plasma-enabled catalysis. J. Phys. D Appl. Phys. 2018, 51, 114006. [Google Scholar] [CrossRef]
- Ray, D.; Subrahmanyam, C. CO2 decomposition in a packed DBD plasma reactor: Influence of packing materials. RSC Adv. 2016, 6, 39492–39499. [Google Scholar] [CrossRef]
- Trinh, H.Q.; Mok, Y.S. Plasma-catalytic oxidation of acetone in annular porous monolithic ceramic-supported catalysts. Chem. Eng. J. 2014, 251, 199–206. [Google Scholar] [CrossRef]
- Vandenbroucke, A.M.; Morent, R.; Geyter, N.D.; Leys, C. Non-thermal plasmas for non-catalytic and catalytic VOC abatement. J. Hazard. Mater. 2011, 195, 30–54. [Google Scholar] [CrossRef]
- Butterworth, T.; Elder, R.; Allen, R. Effects of particle size on CO2 reduction and discharge characteristics in a packed bed plasma reactor. Chem. Eng. J. 2016, 293, 55–67. [Google Scholar] [CrossRef]
- Puligundla, P.; Lee, T.; Mok, C. Inactivation effect of dielectric barrier discharge plasma against foodborne pathogens on the surfaces of different packaging materials. Innov. Food Sci. Emerg. Technol. 2016, 36, 221–227. [Google Scholar] [CrossRef]
- Gandhi, M.S.; Mok, Y.S. Effect of packing materials on the decomposition of tetrafluoroethane in a packed-bed dielectric barrier discharge plasma reactor. Int. J. Environ. Sci. Technol. 2015, 12, 499–506. [Google Scholar] [CrossRef]
- Butterworth, T.; Allen, R.W.K. Plasma-catalyst interaction studied in a single pellet DBD reactor: Dielectric constant effect on plasma dynamics. Plasma Source Sci. Technol. 2017, 26, 065008. [Google Scholar] [CrossRef]
- Rico, V.J.; Hueso, J.L.; Cotrino, J.; Gonzalez-Elipe, A.R. Evaluation of different dielectric barrier discharge plasma configurations as an alternative technology for green C1 chemistry in the carbon dioxide reforming of methane and the direct decomposition of methanol. J. Phys. Chem. A 2010, 114, 4009–4016. [Google Scholar] [CrossRef]
- Chiremba, E.; Zhang, K.; Kazak, C.; Akay, G. Direct nonoxidative conversion of methane to hydrogen and higher hydrocarbons by dielectric barrier discharge plasma with plasma catalysis promoters. AIChE J. 2017, 63, 4418–4429. [Google Scholar] [CrossRef]
- Dong, L.; Stone, D.S.; Lakes, R.S. Dielectric and viscoelastic properties of KNbO3 doped BaTiO3. J. Appl. Phys. 2011, 109, 063531. [Google Scholar] [CrossRef]
- Mei, D.; Zhu, X.; He, Y.L.; Yan, J.D.; Tu, X. Plasma-assisted conversion of CO2 in a.dielectric barrier discharge reactor: Understanding the effect of packing materials. Plasma Sources Sci. Technol. 2015, 24, 015011. [Google Scholar] [CrossRef]
- Yu, Q.; Kong, M.; Liu, T.; Fei, J.; Zheng, X. Characteristics of the Decomposition of CO2 in a Dielectric Packed-Bed Plasma Reactor. Plasma Chem. Plasma Process. 2012, 32, 153–163. [Google Scholar] [CrossRef]
- Sethuraman, K.; Lakshmikandhan, T.; Alagar, M. Surface free energy and dielectric properties of vinyltriethoxysilane functionalized SBA-15-reinforced unsaturated polyester nanocomposites. Polym. Compos. 2016, 37, 3433–3441. [Google Scholar] [CrossRef]
- Gallon, H.J.; Tu, X.; Whitehead, J.C. Effects of reactor packing materials on H2 production by CO2 reforming of CH4 in a dielectric barrier discharge. Plasma Process. Polym. 2012, 9, 90–97. [Google Scholar] [CrossRef]
- Tu, X.; Verheyde, B.; Corthals, S.; Paulussen, S.; Sels, B.F. Effect of packing solid material on characteristics of helium dielectric barrier discharge at atmospheric pressure. Phys. Plasmas 2011, 18, 080702. [Google Scholar] [CrossRef]
- Tu, X.; Gallon, H.J.; Twigg, M.V.; Gorry, P.A.; Whitehead, J.C. Dry reforming of methane over a Ni/Al2O3 catalyst in a coaxial dielectric barrier discharge reactor. J. Phys. D Appl. Phys. 2011, 44, 274007. [Google Scholar] [CrossRef]
- Dou, B.; Bin, F.; Wang, C.; Jia, Q.; Li, J. Discharge characteristics and abatement of volatile organic compounds using plasma reactor packed with ceramic Raschig rings. J. Electrost. 2013, 71, 939–944. [Google Scholar] [CrossRef]
- Peeters, F.J.J.; van de Sanden, M.C.M. The influence of partial surface discharging on the electrical characterization of DBDs. Plasma Sources Sci. Technol. 2015, 24, 015016. [Google Scholar] [CrossRef]
- Zhang, Y.R.; Neyts, E.C.; Bogaerts, A. Influence of the material dielectric constant on plasma generation inside catalyst pores. J. Phys. Chem. C 2016, 120, 25923–25934. [Google Scholar] [CrossRef]
© 2020 by the authors. Licensee MDPI, Basel, Switzerland. This article is an open access article distributed under the terms and conditions of the Creative Commons Attribution (CC BY) license (http://creativecommons.org/licenses/by/4.0/).















