Aerodynamic Shape Optimization of a Wavy Airfoil for Ultra-Low Reynolds Number Regime in Gliding Flight
Abstract
1. Introduction
2. Computational Methodology
2.1. Flow Equations
2.2. The Continuous Adjoint-Based Aerodynamic Optimization Method
2.3. The Adjoint Equations
2.4. Attitude Stability
3. Implementation Details
3.1. Shape Parameterization
3.2. The Objective Function
3.3. Computational Domain, Mesh, and Boundary Conditions
3.4. Implementation of the Numerical Method and Optimization Procedure
4. Results and Discussion
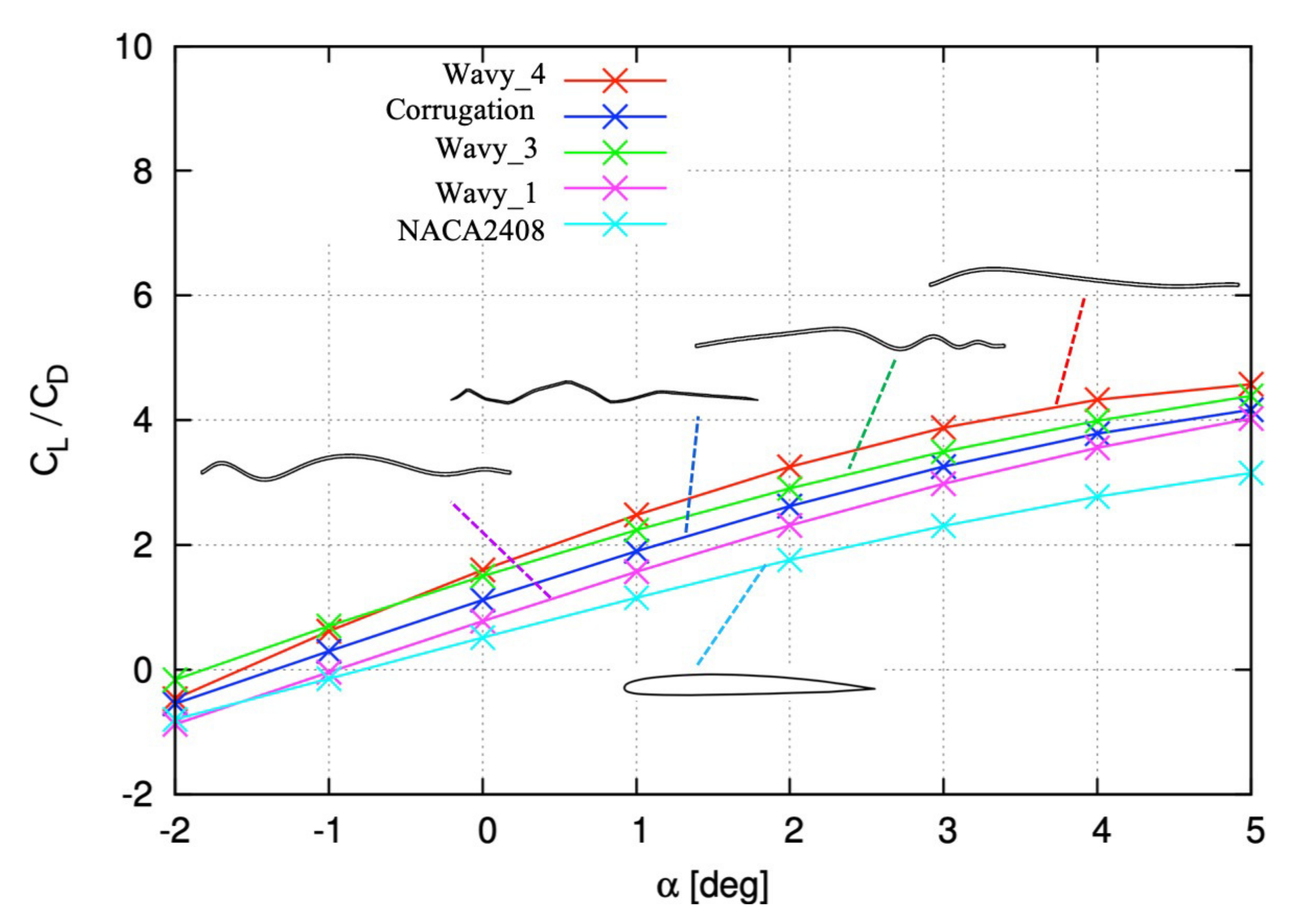
4.1. Effect of Waves
4.2. Shape Optimization
4.3. Hydrodynamic Moment and Attitude Stability
4.3.1. For the Problem Setting of Fixed Angle of Attack
4.3.2. For the Problem Setting of Angle of Attack Passively Changed by the Fluid Force
5. Conclusions
Author Contributions
Funding
Acknowledgments
Conflicts of Interest
Abbreviations
| MAVs | micro-air vehicles |
| NAVs | nano-air vehicles |
| PAVs | pico-air vehicles |
| SOR | successive over-relaxation |
| UAVs | unmanned aerial vehicles |
References
- Pines, D.J.; Bohorquez, F. Challenges facing future micro-air-vehicle development. J. Aircr. 2006, 43, 290–305. [Google Scholar] [CrossRef]
- Petricca, L.; Ohlckers, P.; Grinde, C. Micro-and nano-air vehicles: State of the art. Int. J. Aerosp. Eng. 2011, 2011, 214549. [Google Scholar] [CrossRef]
- Wood, R.J.; Finio, B.; Karpelson, M.; Ma, K.; Perez-Arancibia, N.O.; Sreetharan, P.S.; Tanaka, H.; Whitney, J.P. Progress on ‘pico’air vehicles. Int. J. Robot. Res. 2012, 31, 1292–1302. [Google Scholar] [CrossRef]
- Pelletier, A.; Mueller, T.J. Low Reynolds number aerodynamics of low-aspect-ratio, thin/flat/cambered-plate wings. J. Aircr. 2000, 37, 825–832. [Google Scholar] [CrossRef]
- Shyy, W.; Lian, Y.; Tang, J.; Viieru, D.; Liu, H. Aerodynamics of Low Reynolds Number Flyers; Cambridge University Press: Cambridge, UK, 2007; Volume 22. [Google Scholar]
- Ukken, M.G.; Sivapragasam, M. Aerodynamic shape optimization of airfoils at ultra-low Reynolds numbers. Sadhana 2019, 44, 130. [Google Scholar] [CrossRef]
- Carmichael, B.H. Low Reynolds Number Airfoil Survey, Volume 1; NASA Technical Report: Capistrano Beach, CA, USA, 1981.
- Lissaman, P.B.S. Low-Reynolds-number airfoils. Annu. Rev. Fluid Mech. 1983, 15, 223–239. [Google Scholar] [CrossRef]
- Mueller, T.J.; DeLaurier, J.D. Aerodynamics of small vehicles. Annu. Rev. Fluid Mech. 2003, 35, 89–111. [Google Scholar] [CrossRef]
- Thom, A.; Swart, P. The forces on an aerofoil at very low speeds. Aeronaut. J. 1940, 44, 761–770. [Google Scholar] [CrossRef]
- Sunada, S.; Yasuda, T.; Yasuda, K.; Kawachi, K. Comparison of wing characteristics at an ultralow Reynolds number. J. Aircr. 2002, 39, 331–338. [Google Scholar] [CrossRef]
- Kunz, P.J.; Kroo, I. Analysis and design of airfoils for use at ultra-low Reynolds numbers. Fixed Flapping Wing Aerodyn. Micro Air Veh. Appl. 2001, 195, 35–59. [Google Scholar]
- Mateescu, D.; Abdo, M. Analysis of flows past airfoils at very low Reynolds numbers. Proc. Inst. Mech. Eng. Part G J. Aerosp. Eng. 2010, 224, 757–775. [Google Scholar] [CrossRef]
- Takizawa, K.; Henicke, B.; Puntel, A.; Kostov, N.; Tezduyar, T.E. Space-time techniques for computational aerodynamics modeling of flapping wings of an actual locust. Comput. Mech. 2012, 50, 743–760. [Google Scholar] [CrossRef]
- Takizawa, K.; Tezduyar, T.E.; Kostov, N. Sequentially-coupled space–time FSI analysis of bio-inspired flapping-wing aerodynamics of an MAV. Comput. Mech. 2014, 54, 213–233. [Google Scholar] [CrossRef]
- Takizawa, K.; Tezduyar, T.E.; Buscher, A. Space–time computational analysis of MAV flapping-wing aerodynamics with wing clapping. Comput. Mech. 2015, 55, 1131–1141. [Google Scholar] [CrossRef]
- Wakeling, J.M.; Ellington, C.P. Dragonfly flight. I. Gliding flight and steady-state aerodynamic forces. J. Exp. Biol. 1997, 200, 543–556. [Google Scholar]
- Kesel, A.B. Aerodynamic characteristics of dragonfly wing sections compared with technical aerofoils. J. Exp. Biol. 2000, 203, 3125–3135. [Google Scholar]
- Sane, S.P. The aerodynamics of insect flight. J. Exp. Biol. 2003, 206, 4191–4208. [Google Scholar] [CrossRef]
- Rees, C.J. Form and function in corrugated insect wings. Nature 1975, 256, 200–203. [Google Scholar] [CrossRef]
- Khan, M.D.; Padhy, C.; Nandish, M.; Rita, K. Computational Analysis of Bio-Inspired Corrugated Airfoil with Varying Corrugation Angle. J. Aeonaut. Aerosp. Eng. 2018, 7, 1000208. [Google Scholar] [CrossRef]
- Luo, G.; Sun, M. The effects of corrugation and wing planform on the aerodynamic force production of sweeping model insect wings. Acta Mech. Sin. 2005, 21, 531–541. [Google Scholar] [CrossRef]
- Rudolph, R. Aerodynamic properties of Libellula quadrimaculata L.(Anisoptera: Libellulidae), and the flow around smooth and corrugated wing section models during gliding flight. Odonatologica 1978, 7, 49–58. [Google Scholar]
- Vargas, A.; Mittal, R.; Dong, H. A computational study of the aerodynamic performance of a dragonfly wing section in gliding flight. Bioinspir. Biomim. 2008, 3, 026004. [Google Scholar] [CrossRef] [PubMed]
- Okamoto, M.; Yasuda, K.; Azuma, A. Aerodynamic characteristics of the wings and body of a dragonfly. J. Exp. Biol. 1996, 199, 281–294. [Google Scholar] [PubMed]
- Murphy, J.T.; Hu, H. An experimental study of a bio-inspired corrugated airfoil for micro air vehicle applications. Exp. Fluids 2010, 49, 531–546. [Google Scholar] [CrossRef]
- Obata, A.; Sinohara, S. Flow visualization study of the aerodynamics of modeled dragonfly wings. AIAA J. 2009, 47, 3043–3046. [Google Scholar] [CrossRef]
- Tang, H.; Lei, Y.; Li, X.; Fu, Y. Numerical Investigation of the Aerodynamic Characteristics and Attitude Stability of a Bio-Inspired Corrugated Airfoil for MAV or UAV Applications. Energies 2019, 12, 4021. [Google Scholar] [CrossRef]
- Hu, H.; Tamai, M. Bioinspired corrugated airfoil at low Reynolds numbers. J. Aircr. 2008, 45, 2068–2077. [Google Scholar] [CrossRef]
- Du, G.; Sun, M. Aerodynamic effects of corrugation and deformation in flapping wings of hovering hoverflies. J. Theor. Biol. 2012, 300, 19–28. [Google Scholar] [CrossRef]
- Sun, W.H.; Miao, J.M.; Tai, C.H.; Hung, C.C. Optimization Approach on Flapping Aerodynamic Characteristics of Corrugated Airfoil. Int. J. Aerosp. Mech. Eng. 2011, 5, 364–371. [Google Scholar]
- Quagliarella, D.; Della Cioppa, A. Genetic algorithms applied to the aerodynamic design of transonic airfoils. J. Aircr. 1995, 32, 889–891. [Google Scholar] [CrossRef]
- Pierret, S.; Van den Braembussche, R.A. Turbomachinery blade design using a Navier–Stokes solver and artificial neural network. ASME J. Turbomach. 1999, 121, 322–326. [Google Scholar] [CrossRef]
- Ahn, C.S.; Kim, K.Y. Aerodynamic design optimization of a compressor rotor with Navier–Stokes analysis. Proc. Inst. Mech. Eng. Part A J. Power Energy 2003, 217, 179–183. [Google Scholar] [CrossRef]
- Jones, D.R.; Schonlau, M.; Welch, W.J. Efficient global optimization of expensive black-box functions. J. Glob. Optim. 1998, 13, 455–492. [Google Scholar] [CrossRef]
- Pironneau, O. On optimum profiles in Stokes flow. J. Fluid Mech. 1973, 59, 117–128. [Google Scholar] [CrossRef]
- Pironneau, O. On optimum design in fluid mechanics. J. Fluid Mech. 1974, 64, 97–110. [Google Scholar] [CrossRef]
- Giles, M.B.; Pierce, N.A. An introduction to the adjoint approach to design. Flow Turbul. Combust. 2000, 65, 393–415. [Google Scholar] [CrossRef]
- Mohammadi, B.; Pironneau, O. Shape optimization in fluid mechanics. Annu. Rev. Fluid Mech. 2004, 36, 255–279. [Google Scholar] [CrossRef]
- Okumura, H.; Kawahara, M. Shape optimization of body located in incompressible Navier–Stokes flow based on optimal control theory. Comput. Model. Eng. Sci. 2000, 1, 71–77. [Google Scholar]
- Reuther, J.; Jameson, A.; Farmer, J.; Martinelli, L.; Saunders, D. Aerodynamic shape optimization of complex aircraft configurations via an adjoint formulation. In Proceedings of the 34th Aerospace Sciences Meeting and Exhibit, Reno, NV, USA, 15–18 January 1996. [Google Scholar]
- Nadarajah, S.K.; Kim, S.; Jameson, A.; Alonso, J.J. Sonic boom reduction using an adjoint method for supersonic transport aircraft configurations. In IUTAM Symposium Transsonicum IV; Springer: Dordrecht, The Netherlands, 2003; pp. 355–362. [Google Scholar]
- Soto, O.; Lohner, R.; Yang, C. An adjoint-based design methodology for CFD problems. Int. J. Numer. Methods Heat Fluid Flow 2004, 14, 734–759. [Google Scholar] [CrossRef]
- Abraham, F.; Behr, M.; Heinkenschloss, M. Shape optimization in steady blood flow: A numerical study of non-Newtonian effects. Comput. Methods Biomech. Biomed. Eng. 2005, 8, 127–137. [Google Scholar] [CrossRef]
- Anderson, W.K.; Venkatakrishnan, V. Aerodynamic design optimization on unstructured grids with a continuous adjoint formulation. Comput. Fluids 1999, 28, 443–480. [Google Scholar] [CrossRef]
- Mohammadi, B. Optimization of aerodynamic and acoustic performances of supersonic civil transports. Int. J. Numer. Methods Heat Fluid Flow 2004, 14, 893–909. [Google Scholar] [CrossRef]
- Jain, S.; Bhatt, V.D.; Mittal, S. Shape optimization of corrugated airfoils. Comput. Mech. 2015, 56, 917–930. [Google Scholar] [CrossRef]
- Naka, H.; Hashimoto, H. Effects of passive deformation of dragonfly wings on aerodynamic characteristics. Trans. Jpn. Soc. Mech. Eng. 2016, 82, 15–21. [Google Scholar]
- Naka, H.; Hashimoto, H. Effect of flapping motion and feathering motion on dragonfly’s flight. J. Jpn. Soc. Des. Eng. 2016, 51, 788–801. [Google Scholar]
- Ciarlet, P.G. The Finite Element Method for Elliptic Problems; SIAM Publication: University City, PA, USA, 2002; Volume 40. [Google Scholar]
- Kajishima, T.; Taira, K. Computational Fluid Dynamics; Springer: New York, NY, USA, 2017. [Google Scholar]
- Tezduyar, T.; Behr, M.; Mittal, S.; Johnson, A. Computation of unsteady incompressible flows with the stabilized finite element methods: Space-time formulations, iterative strategies and massively parallel implementations. ASME Press Vessel. Pip. Div. Publ. PVP 1992, 246, 7–24. [Google Scholar]
- Tezduyar, T.; Aliabadi, S.; Behr, M.; Johnson, A.; Mittal, S. Parallel finite-element computation of 3D flows. Computer 1993, 26, 27–36. [Google Scholar] [CrossRef]
- Johnson, A.; Tezduyar, T. Mesh update strategies in parallel finite element computations of flow problems with moving boundaries and interfaces. Comput. Methods Appl. Mech. Eng. 1994, 119, 73–94. [Google Scholar] [CrossRef]
- Thompson, J.F.; Soni, B.K.; Weatherill, N.P. Handbook of Grid Generation; CRC Press: Boca Raton, FL, USA; New York, NY, USA; Washington, DC, USA; London, UK, 1998. [Google Scholar]
- Chorin, A.J. A numerical method for solving incompressible viscous flow problems. J. Comput. Phys. 1967, 2, 12–26. [Google Scholar] [CrossRef]
- Tamura, A.; Kikuchi, K.; Takahashi, T. Residual cutting method for elliptic boundary value problems. J. Comput. Phys. 1997, 137, 247–264. [Google Scholar] [CrossRef]
- Kajishima, T.; Ohta, T.; Okazaki, K.; Miyake, Y. High-order finite-difference method for incompressible flows using collocated grid system. JSME Int. J. Ser. B Fluids Therm. Eng. 1998, 41, 830–839. [Google Scholar] [CrossRef]
- Tang, H.; Lei, Y.; Li, X.; Fu, Y. Large-Eddy Simulation of an Asymmetric Plane Diffuser: Comparison of Different Subgrid Scale Models. Symmetry 2019, 11, 1337. [Google Scholar] [CrossRef]
- Tang, H.; Lei, Y.; Fu, Y. Noise Reduction Mechanisms of an Airfoil with Trailing Edge Serrations at Low Mach Number. Appl. Sci. 2019, 9, 3784. [Google Scholar] [CrossRef]
- Tang, H.; Lei, Y.; Li, X. An Acoustic Source Model for Applications in Low Mach Number Turbulent Flows, Such as a Large-Scale Wind Turbine Blade. Energies 2019, 12, 4596. [Google Scholar] [CrossRef]




















| Case | Angle of Attack | ||||
|---|---|---|---|---|---|
| 1000 | – | ||||
| 1000 | |||||
| 4000 | – |
| Number of Iterations Step | Time-Averaged Lift-to-Drag Ratio Value |
|---|---|
| 0 | |
| 13 |
| Case | (%) | (%) | (%) | (%) | Shape | |||
|---|---|---|---|---|---|---|---|---|
| NACA2408 | 95 | 5 | 20 | 80 | ![]() | |||
| Corrugated | 94 | 6 | 75 | 25 | ![]() | |||
| Wavy_1 | 94 | 6 | 72 | 28 | ![]() | |||
| Wavy_2 | 98 | 2 | 26 | 74 | ![]() | |||
| Wavy_3 | 95 | 5 | 78 | 22 | ![]() | |||
| Wavy_4 | 96 | 4 | 28 | 72 | ![]() |
| Case | (%) | (%) | (%) | (%) | Shape | |||
|---|---|---|---|---|---|---|---|---|
| NACA2408 | 95 | 5 | 20 | 80 | ![]() | |||
| Corrugated | 94 | 6 | 75 | 25 | ![]() | |||
| Wavy_4 | 96 | 4 | 28 | 72 | ![]() | |||
| Optimal | 98 | 2 | 24 | 76 | ![]() |
© 2020 by the authors. Licensee MDPI, Basel, Switzerland. This article is an open access article distributed under the terms and conditions of the Creative Commons Attribution (CC BY) license (http://creativecommons.org/licenses/by/4.0/).
Share and Cite
Tang, H.; Lei, Y.; Li, X.; Gao, K.; Li, Y. Aerodynamic Shape Optimization of a Wavy Airfoil for Ultra-Low Reynolds Number Regime in Gliding Flight. Energies 2020, 13, 467. https://doi.org/10.3390/en13020467
Tang H, Lei Y, Li X, Gao K, Li Y. Aerodynamic Shape Optimization of a Wavy Airfoil for Ultra-Low Reynolds Number Regime in Gliding Flight. Energies. 2020; 13(2):467. https://doi.org/10.3390/en13020467
Chicago/Turabian StyleTang, Hui, Yulong Lei, Xingzhong Li, Ke Gao, and Yanli Li. 2020. "Aerodynamic Shape Optimization of a Wavy Airfoil for Ultra-Low Reynolds Number Regime in Gliding Flight" Energies 13, no. 2: 467. https://doi.org/10.3390/en13020467
APA StyleTang, H., Lei, Y., Li, X., Gao, K., & Li, Y. (2020). Aerodynamic Shape Optimization of a Wavy Airfoil for Ultra-Low Reynolds Number Regime in Gliding Flight. Energies, 13(2), 467. https://doi.org/10.3390/en13020467











