Speed Control of Permanent Magnet DC Motor with Friction and Measurement Noise Using Novel Nonlinear Extended State Observer-Based Anti-Disturbance Control
Abstract
1. Introduction
1.1. Background
1.2. Related Work
1.3. Paper Scope and Contribution
1.4. Problem Statement and Motivation
- Its states approach as accurate as possible the states of (3) through time and coincide with them as .
- It reduces the peaking phenomenon.
- It avoids large transient behaviours.
- It guarantees fast-convergence and robustness concerning noise.
1.5. Paper Structure
2. Basic Definitions and Assumptions
- V(x) is positive definite.
- .
3. Main Results
3.1. The Proposed NLESO
3.2. Stability Analysis of the Proposed NLESO
3.3. Mismatched Disturbance and System of Integrals Chain
4. Application of The Proposed NLESO in ADRC
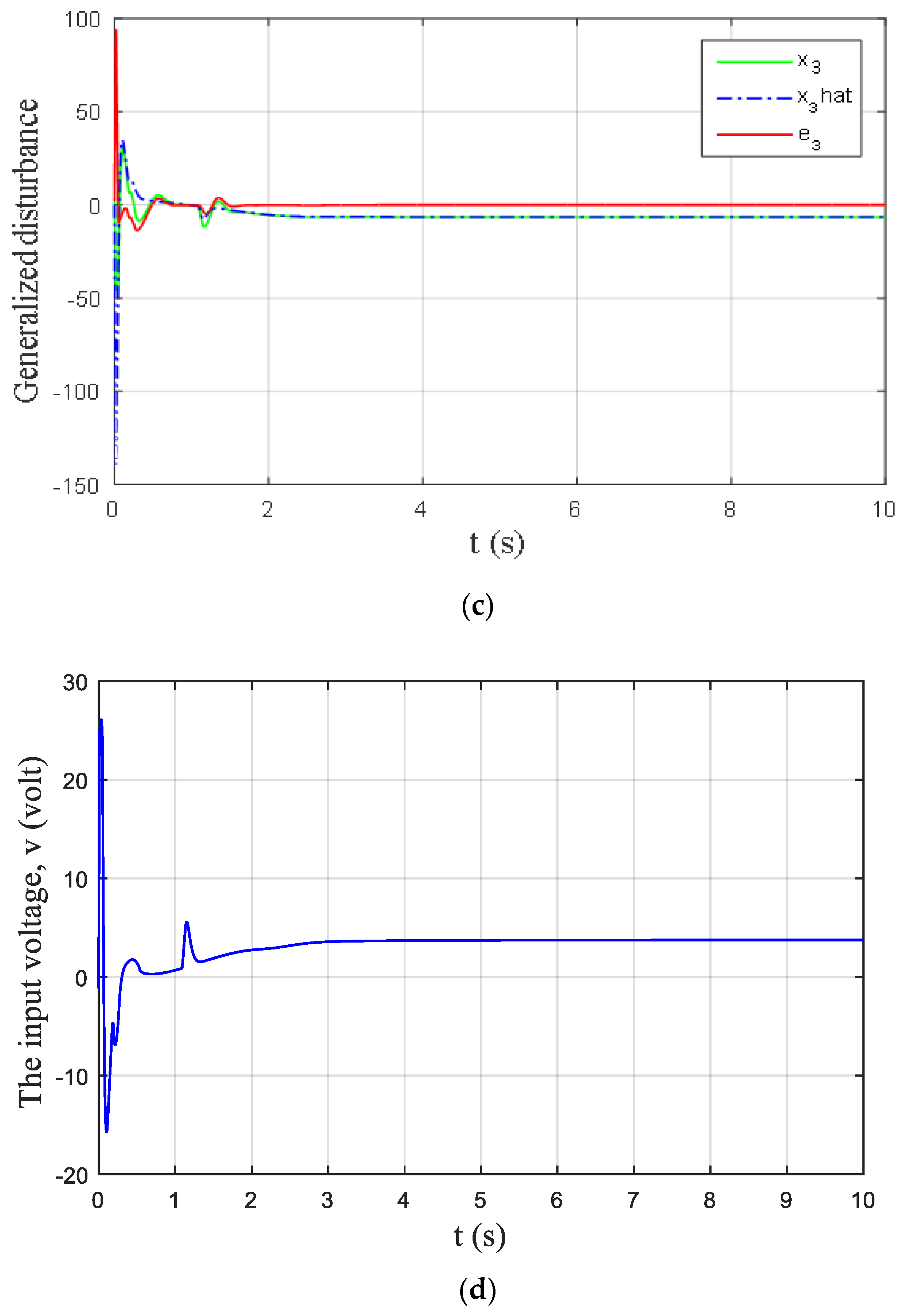
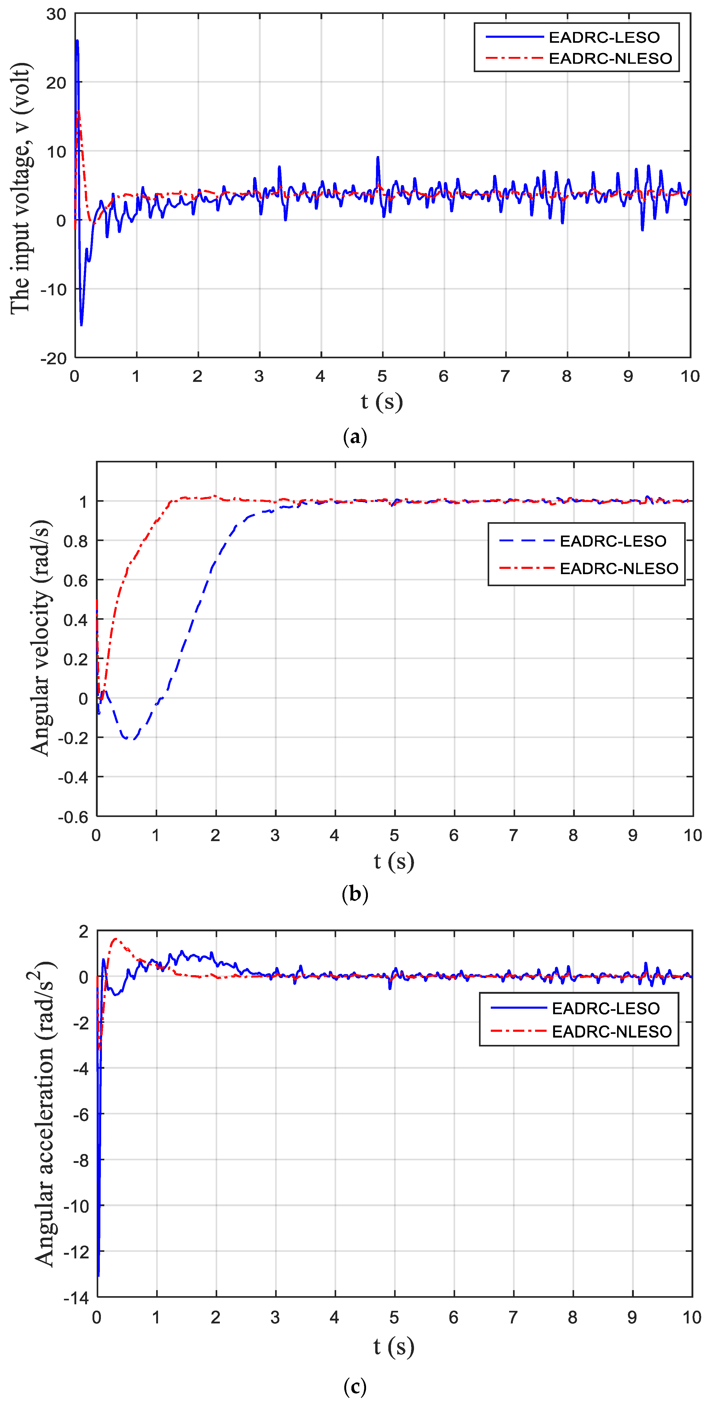
5. Simulations Results
6. Conclusions
Author Contributions
Funding
Conflicts of Interest
Appendix A
Appendix B
References
- Guo, B.Z.; Zhao, Z.L. Active Disturbance Rejection Control for Nonlinear Systems: An Introduction, 1st ed.; John Wiley & Sons Singapore Pte. Ltd.: Singapore, 2016. [Google Scholar]
- Han, J. From PID to Active Disturbance Rejection Control. IEEE Trans. Ind. Electron. 2009, 56, 900–906. [Google Scholar] [CrossRef]
- Abdul-adheem, W.R.; Ibraheem, I.K. Improved Sliding Mode Nonlinear Extended State Observer based Active Disturbance Rejection Control for Uncertain Systems with Unknown Total Disturbance. Int. J. Adv. Comput. Sci. Appl. 2016, 7, 80–93. [Google Scholar]
- Qing, Z.; Gao, Z. On Practical Applications of Active Disturbance Rejection Control. In Proceedings of the Chinese Control Conference, Beijing, China, 29–31 July 2010; pp. 6095–6100. [Google Scholar]
- Abdul-Adheem, W.R.; Ibraheem, I.K. On The Active Input Output Feedback Linearization of Single Link Flexible Joint Manipulator, An Extended State Observer Approach. arXiv 2018, arXiv:1805.00222v1. [Google Scholar]
- Huang, Y.; Xue, W.; Gao, Z.; Sira-Ramirez, H.; Wu, D.; Sun, D. Active Disturbance Rejection Control: Methodology, Practice and Analysis. In Proceedings of the 33rd Chinese Control Conference, Nanjing, China, 28–30 July 2014; pp. 1–5. [Google Scholar] [CrossRef]
- Palli, G.; Strano, S.; Terzo, M. Sliding-mode observers for state and disturbance estimation in electro-hydraulic systems. Control Eng. Pract. 2018, 74, 58–70. [Google Scholar] [CrossRef]
- Strano, S.; Terzo, M. Accurate state estimation for a hydraulic actuator via a SDRE nonlinear filter. Mech. Syst. Signal Process. 2016, 75, 576–588. [Google Scholar] [CrossRef]
- Pappalardo, C.M.; Guida, D. Control of nonlinear vibrations using the adjoint method. Meccanica 2017, 52, 2503–2526. [Google Scholar] [CrossRef]
- Pappalardo, C.; Guida, D. Use of the Adjoint Method for Controlling the Mechanical Vibrations of Nonlinear Systems. Machines 2018, 6, 19. [Google Scholar] [CrossRef]
- Guo, L.; Cao, S. Anti-disturbance control theory for systems with multiple disturbances: A survey. ISA Trans. 2014, 53, 846–849. [Google Scholar] [CrossRef]
- Radke, A.; Gao, Z. A survey of state and disturbance observers for practitioners. In Proceedings of the 2006 American Control Conference, Minneapolis, MN, USA, 14–16 June 2006; pp. 5183–5188. [Google Scholar] [CrossRef]
- Tian, G.; Gao, Z. From Poncelet’s invariance principle to Active Disturbance Rejection. In Proceedings of the 2009 American Control Conference, St. Louis, MO, USA, 10–12 June 2009; pp. 2451–2457. [Google Scholar] [CrossRef]
- Johnson, C.D. Accommodation of External Disturbances in Linear Regulator and Servomechanism Problems. IEEE Trans. Autom. Control 1973, 16, 635–644. [Google Scholar] [CrossRef]
- Umeno, T.; Hori, Y. Robust Speed Control of DC Servomotors Using Modern Two Degrees-of-Freedom Controller Design. IEEE Trans. Ind. Electron. 1991, 38, 363–368. [Google Scholar] [CrossRef]
- Kwon, S.J.; Chung, W.K. Robust performance of the multiloop perturbation compensator. IEEE/ASME Trans. Mechatron. 2002, 7, 190–200. [Google Scholar] [CrossRef]
- Gao, Z. Active disturbance rejection control: A paradigm shift in feedback control system design. In Proceedings of the American Control Conference, Minneapolis, MN, USA, 14–16 June 2006; pp. 2399–2405. [Google Scholar] [CrossRef]
- Najm, A.A.; Ibraheem, I.K. On The Design of Nonlinear PID Controller for Nonlinear Quadrotor System. Eng. Sci. Technol. 2019. [Google Scholar] [CrossRef]
- Maher, R.A.; Mohmmed, I.A.; Ibraheem, I.K. State-Space Based H∞ Robust Controller Design for Boiler-Turbine System. Arab. J. Sci. Eng. 2012, 37, 1767–1776. [Google Scholar] [CrossRef]
- Ibraheem, I.K. A Digital-Based Optimal AVR Design of Synchronous Generator Exciter Using LQR Technique. Al-Khwarizmi Eng. J. 2011, 7, 82–94. [Google Scholar]
- Ibraheem, I.K.; Ibraheem, G.A. Motion Control of An Autonomous Mobile Robot using Modified Particle Swarm Optimization Based Fractional Order PID Controller. Eng. Technol. J. 2016, 34, 2406–2419. [Google Scholar]
- Ibraheem, I.K. Robust Governor Design for Hydro machines using H∞ Loop-Shaping Techniques. In Proceedings of the 6th Engineering Conference, Baghdad, Iraq, 5–7 April 2009; pp. 1–10. [Google Scholar]
- Ibraheem, I.K. On the frequency domain solution of the speed governor design of non-minimum phase hydro power plant. Mediterr. J. Meas. Control 2012, 8, 422–429. [Google Scholar]
- Guo, B.Z.; Zhao, Z.-L. On convergence of non-linear extended state observer for multi-input multi-output systems with uncertainty. IET Control Theory Appl. 2012, 6, 2375–2386. [Google Scholar] [CrossRef]
- Huang, Y.; Xue, W. Active disturbance rejection control: Methodology and theoretical analysis. ISA Trans. 2014, 53, 963–976. [Google Scholar] [CrossRef]
- Pu, Z.; Yuan, R.; Yi, J.; Tan, X. A Class of Adaptive Extended State Observers for Nonlinear Disturbed Systems. IEEE Trans. Ind. Electron. 2015, 62, 5858–5869. [Google Scholar] [CrossRef]
- Bao, D.; Tang, W. Adaptive sliding mode control of ball screw drive system with extended state observer. In Proceedings of the 2nd International Conference on Control, Automation and Robotics (ICCAR), Hong Kong, China, 19–22 April 2016; pp. 133–138. [Google Scholar] [CrossRef]
- Godbole, A.A.; Kolhe, J.P.; Talole, S.E. Performance analysis of generalized extended state observer in tackling sinusoidal disturbances. IEEE Trans. Control Syst. Technol. 2013, 21, 2212–2223. [Google Scholar] [CrossRef]
- Li, J.; Qi, X.; Xia, Y.; Pu, F.; Chang, K. Frequency domain stability analysis of nonlinear active disturbance rejection control system. ISA Trans. 2014, 56, 1–8. [Google Scholar] [CrossRef]
- Li, J.; Xia, Y.; Qi, X.; Gao, Z. On the Necessity, Scheme, and Basis of the Linear-Nonlinear Switching in Active Disturbance Rejection Control. IEEE Trans. Ind. Electron. 2017, 64, 1425–1435. [Google Scholar] [CrossRef]
- Mao, J.; Gu, L.; Wu, A.; Wu, G.; Zhang, X.; Chen, D. Back-stepping Control for Vertical Axis Wind Power Generation System Maximum Power Point Tracking based on Extended State Observer. In Proceedings of the 35th Chinese Control Conference, Chengdu, China, 27–29 July 2016; pp. 8649–8653. [Google Scholar] [CrossRef]
- Yang, H.; Yu, Y.; Yuan, Y.; Fan, X. Back-stepping control of two-link flexible manipulator based on an extended state observer. Adv. Space Res. 2015, 56, 2312–2322. [Google Scholar] [CrossRef]
- Huang, Y.; Han, J. Analysis and design for the second order nonlinear continuous extended states observer. Chin. Sci. Bull. 2000, 45, 1938–1944. [Google Scholar] [CrossRef]
- Bhat, S.P.; Bernstein, D.S. Finite-time stability of homogeneous systems. In Proceedings of the 1997 American Control Conference (Cat. No. 97CH36041), Albuquerque, NM, USA, 6 June 1997; Volume 4, pp. 2513–2514. [Google Scholar]
- Bhat, S.P.; Bernstein, D.S. Finite-Time Stability of Continuous Autonomous Systems. SIAM J. Control Optim. 2000, 38, 751–766. [Google Scholar] [CrossRef]
- Bhat, S.P.; Bernstein, D.S. Continuous finite-time stabilization of the translational and rotational double integrators. IEEE Trans. Autom. Control 1998, 43, 678–682. [Google Scholar] [CrossRef]
- Levant, A. Higher-order sliding modes, differentiation and output-feedback control. Int. J. Control 2003, 76, 924–941. [Google Scholar] [CrossRef]
- Filippov, A.F. Differential Equations with Discontinuous Right Hand Side; Springer: Berlin/Heidelberg, Germany, 1988. [Google Scholar]
- Yi, H.; Jingqing, H. The self-stable region approach for second order nonlinear uncertain systems. In Proceedings of the IFAC 14th Triennial World Congress, Beijing, China, 5–9 July 1999; Volume 32, pp. 2262–2267. [Google Scholar] [CrossRef]
- Guo, B.Z.; Wu, Z.H. Output tracking for a class of nonlinear systems with mismatched uncertainties by active disturbance rejection control. Syst. Control Lett. 2017, 100, 21–31. [Google Scholar] [CrossRef]
- Khalil, H.K. Nonlinear Systems, 3rd ed.; Prentice Hall: Upper Saddle River, NJ, USA, 2002. [Google Scholar]
- Isidori, A. Nonlinear Control Systems; Springer Science & Business Media: Berlin/Heidelberg, Germany, 2013. [Google Scholar]
- Li, S.; Yang, J.; Chen, W.H.; Chen, X. Generalized extended state observer based control for systems with mismatched uncertainties. IEEE Trans. Ind. Electron. 2012, 59, 4792–4802. [Google Scholar] [CrossRef]
- Abdul-Adheem, W.R.; Ibraheem, I.K. A Novel Second-Order Nonlinear Differentiator With Application to Active Disturbance Rejection Control. In Proceedings of the the 1st International Scientific Conference of Engineering Sciences and the 3rd Scientific Conference of Engineering Sciences, Diyala, Iraq, 10–11 January 2018; pp. 68–73. [Google Scholar]
- Abdul-Adheem, W.R.; Ibraheem, I.K. From PID to Nonlinear State Error Feedback Controller. Int. J. Adv. Comput. Sci. Appl. 2017, 8, 312–322. [Google Scholar]
- Humaidi, A.J. Experimental Design and Verification of Extended State Observers for Magnetic Levitation System Based on PSO. Open Electr. Electron. Eng. J. 2018, 12, 110–120. [Google Scholar] [CrossRef]
- Humaidi, A.J.; Badr, H.M.; Hameed, A.H. PSO-Based Active Disturbance Rejection Control for Position Control of Magnetic Levitation System. In Proceedings of the IEEE 5th International Conference on Control, Decision and Information Technologies (CoDIT’18), Thessaloniki, Greece, 10–13 April 2018; pp. 922–928. [Google Scholar]
- Humaidi, A.J.; Badr, H.M.; Ajil, A.R. Design of Active Disturbance Rejection Control for Single-Link Flexible Joint Robot Manipulator. In Proceedings of the IEEE 22nd International Conference on System Theory, Control and Computing (ICSTCC) Design, Sinaia, Romania, 10–12 October 2018; pp. 452–457. [Google Scholar]
- Humaidi, A.J.; Badir, H.M. Linear and Nonlinear Active Disturbance Rejection Controllers for Single-Link Flexible Joint Robot Manipulator based on PSO Tuner. J. Eng. Sci. Technol. Rev. 2018, 11, 133–138. [Google Scholar] [CrossRef]
- Sun, Y.H.; Chen, T.; Wu, C.Q.; Shafai, C. A comprehensive experimental setup for identification of friction model parameters. Mech. Mach. Theory 2016, 100, 338–357. [Google Scholar] [CrossRef]
- Mahfouz, A.A.; Salem, F.A. Mechatronics Design of a Mobile Robot System. Int. J. Intell. Syst. Appl. 2013, 3, 23–36. [Google Scholar] [CrossRef]










© 2019 by the authors. Licensee MDPI, Basel, Switzerland. This article is an open access article distributed under the terms and conditions of the Creative Commons Attribution (CC BY) license (http://creativecommons.org/licenses/by/4.0/).
Share and Cite
J. Humaidi, A.; Kasim Ibraheem, I. Speed Control of Permanent Magnet DC Motor with Friction and Measurement Noise Using Novel Nonlinear Extended State Observer-Based Anti-Disturbance Control. Energies 2019, 12, 1651. https://doi.org/10.3390/en12091651
J. Humaidi A, Kasim Ibraheem I. Speed Control of Permanent Magnet DC Motor with Friction and Measurement Noise Using Novel Nonlinear Extended State Observer-Based Anti-Disturbance Control. Energies. 2019; 12(9):1651. https://doi.org/10.3390/en12091651
Chicago/Turabian StyleJ. Humaidi, Amjad, and Ibraheem Kasim Ibraheem. 2019. "Speed Control of Permanent Magnet DC Motor with Friction and Measurement Noise Using Novel Nonlinear Extended State Observer-Based Anti-Disturbance Control" Energies 12, no. 9: 1651. https://doi.org/10.3390/en12091651
APA StyleJ. Humaidi, A., & Kasim Ibraheem, I. (2019). Speed Control of Permanent Magnet DC Motor with Friction and Measurement Noise Using Novel Nonlinear Extended State Observer-Based Anti-Disturbance Control. Energies, 12(9), 1651. https://doi.org/10.3390/en12091651

