Isolation and Characterization of Microalgae from Diverse Pakistani Habitats: Exploring Third-Generation Biofuel Potential
Abstract
1. Introduction
2. Materials and Methods
2.1. Sampling and Isolation
2.2. Strain Identification
2.3. Cultivation of Algal Strains
2.4. Analytical Methods
2.5. Growth Rate, Lipid Productivity, and Lipid Percentage
Percentage Lipid/dry weight biomass (%) = (WL/WB × 100)
2.6. FAME Analysis
2.7. Statistics
3. Results and Discussion
3.1. Isolation of Indigenous Strains
3.2. Growth Rate
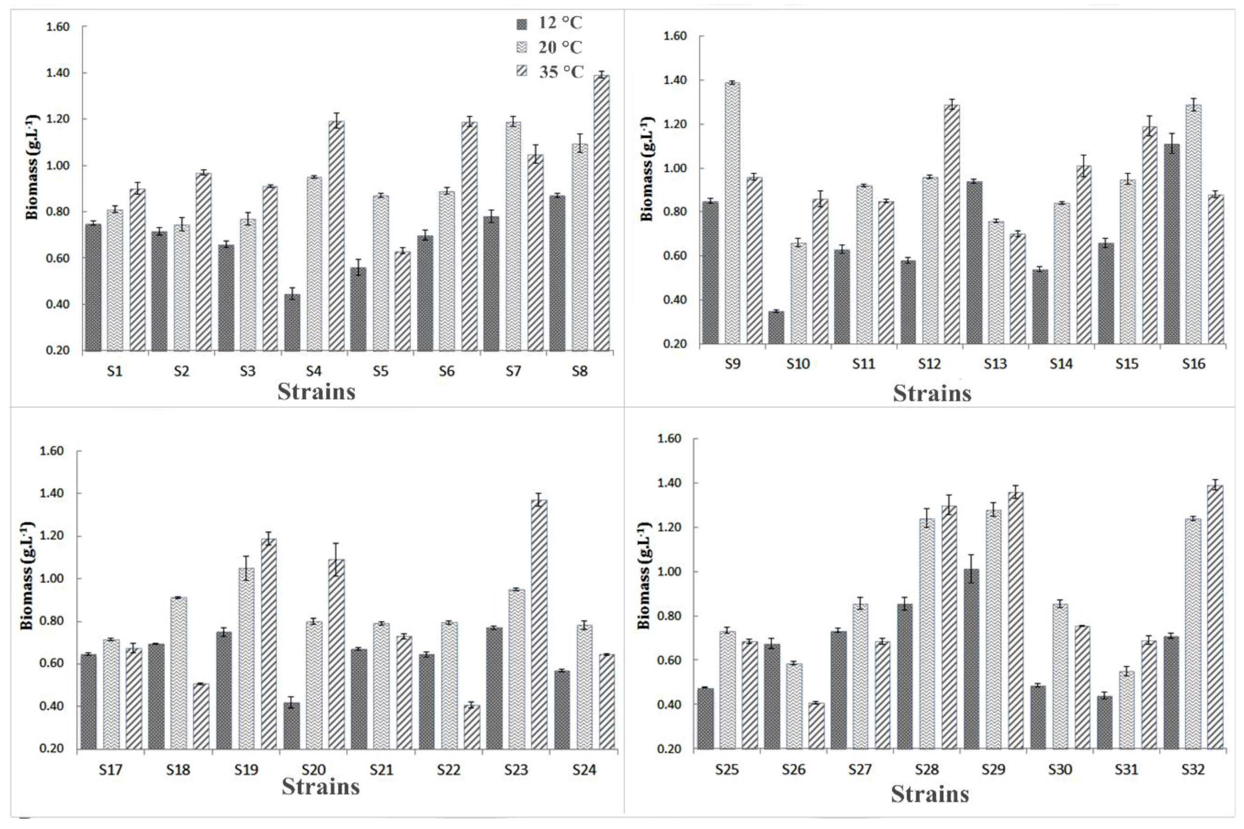
3.3. Biomass Production
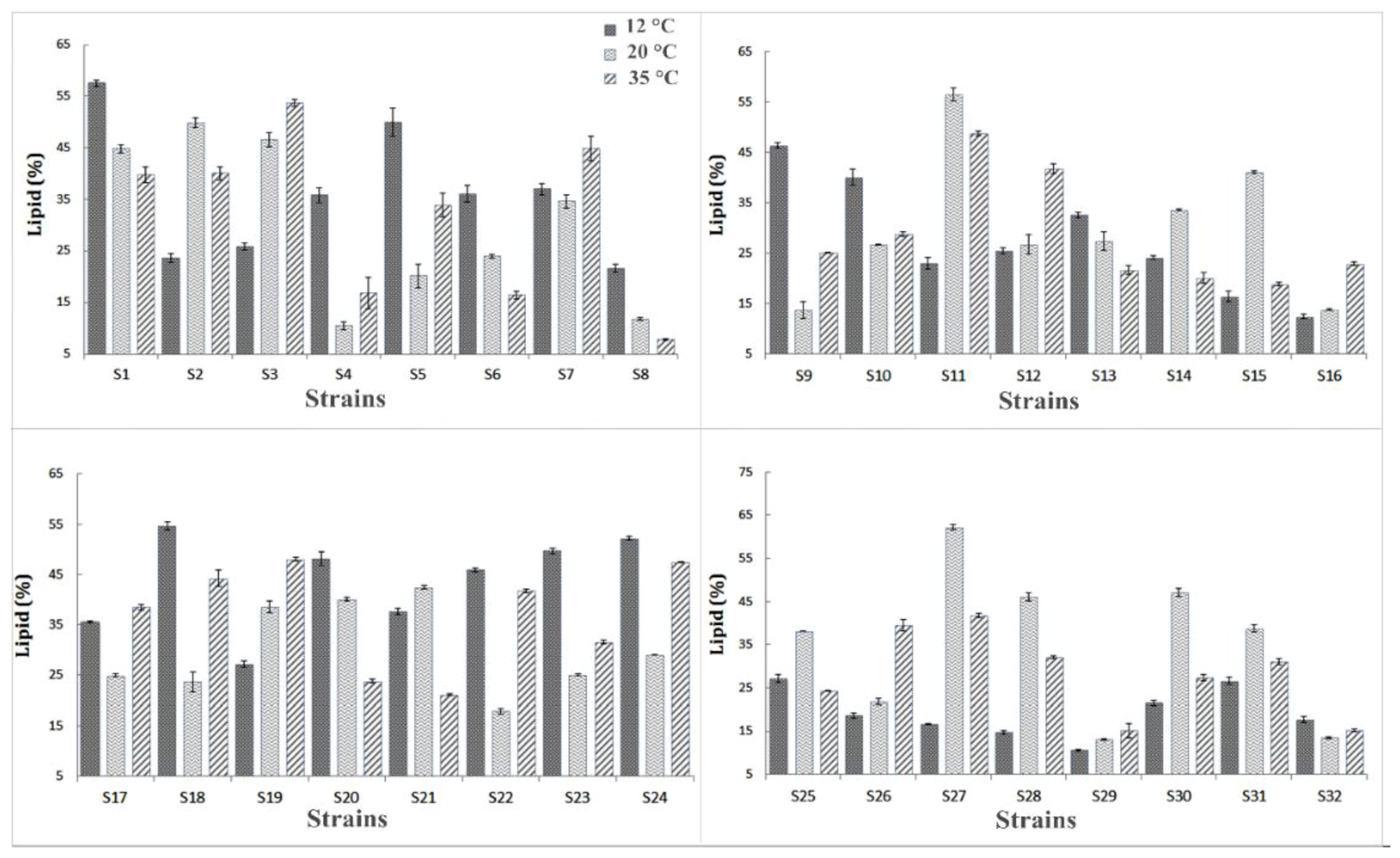
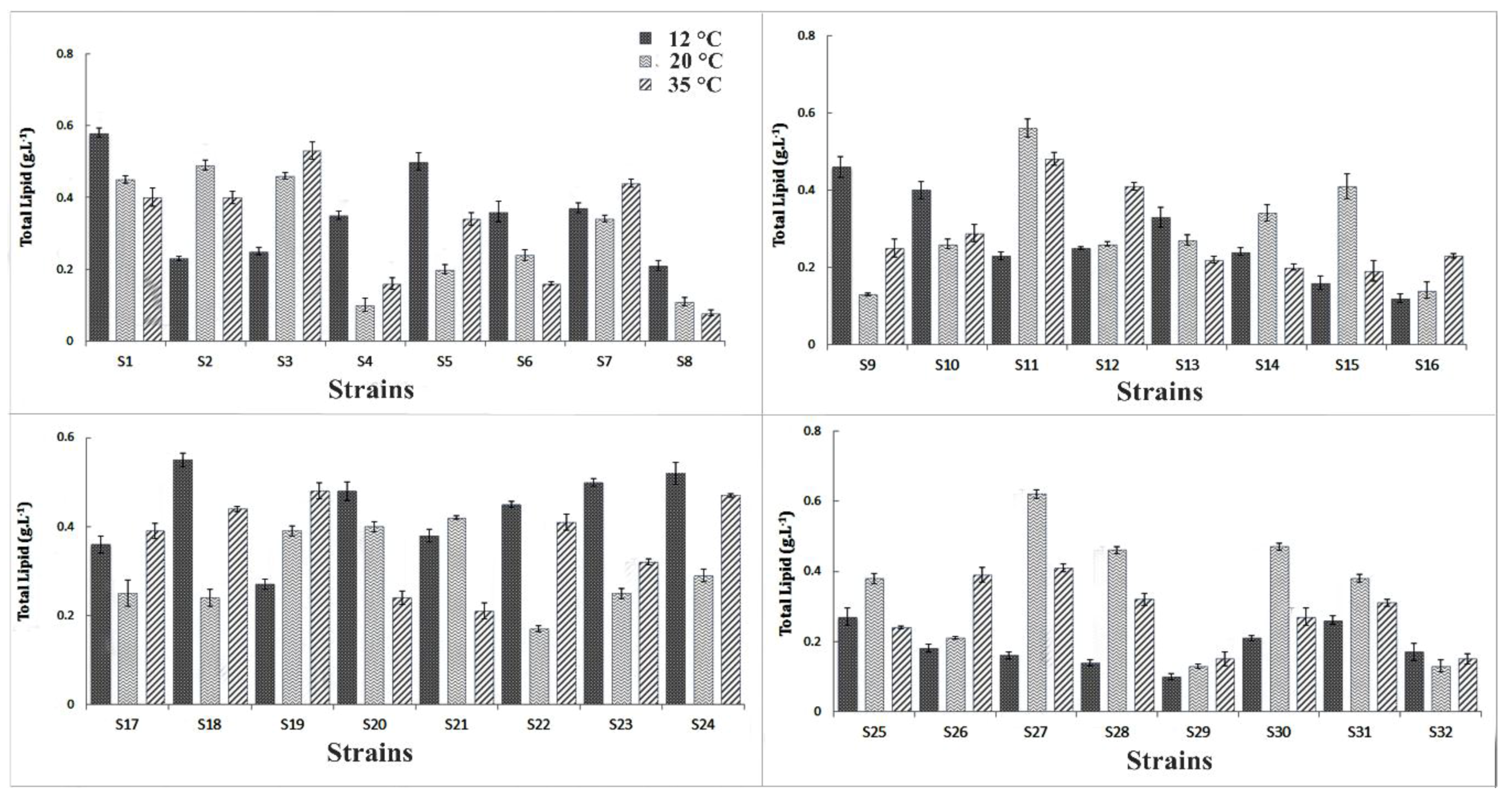
3.4. Percent Lipid and Total Lipid Content
3.5. Comparison of the Fatty Acid Composition of the Neutral Lipids Produced by the Different Strains
3.6. PCA Analysis
4. Conclusions
Supplementary Materials
Author Contributions
Funding
Acknowledgments
Conflicts of Interest
References
- Abdelaziz, A.E.M.; Leite, G.B.; Hallenbeck, P.C. Addressing the challenges for sustainable production of algal biofuels: I. Algal strains and nutrient supply. Environ. Techol. 2013, 34, 1783–1805. [Google Scholar] [CrossRef] [PubMed]
- Leite, G.B.; Abdelaziz, A.E.M.; Hallenbeck, P.C. Algal biofuels: Challenges and opportunities. Bioresour. Technol. 2013, 145, 134–141. [Google Scholar] [CrossRef] [PubMed]
- Paranjape, K.; Leite, G.B.; Hallenbeck, P.C. Strain variation in microalgal lipid production during mixotrophic growth with glycerol. Bioresour. Technol. 2016, 204, 80–88. [Google Scholar] [CrossRef] [PubMed][Green Version]
- Zienkiewicz, K.; Du, Z.Y.; Ma, W.; Vollheyde, K.; Benning, C. Stress-induced neutral lipid biosynthesis in microalgae—molecular, cellular and physiological insights. Biochim. Biophys. Acta (BBA)-Mol.Cell Biol. Lipids 2016, 1861, 1269–1281. [Google Scholar] [CrossRef] [PubMed]
- Hallenbeck, P.C.; Grogger, M.; Mraz, M.; Veverka, D. Solar biofuels production with microalgae. Appl. Energy 2016, 179, 136–145. [Google Scholar] [CrossRef]
- Singh, A.; Olsen, S.I. A critical review of biochemical conversion, sustainability and life cycle assessment of algal biofuels. Appl. Energy 2011, 88, 3548–3555. [Google Scholar] [CrossRef]
- Selvarajan, R.; Felföldi, T.; Tauber, T.; Sanniyasi, E.; Sibanda, T.; Tekere, M. Screening and evaluation of some green algal strains (Chlorophyceae) isolated from freshwater and soda lakes for biofuel production. Energies 2015, 8, 7502–7521. [Google Scholar] [CrossRef]
- Mureed, K.; Kanwal, S.; Hussain, A.; Noureen, S.; Hussain, S.; Ahmad, S.; Waqas, R. Biodiesel production from algae grown on food industry wastewater. Environ. Monit. Assess. 2018. [Google Scholar] [CrossRef]
- Das, P.; Lei, W.; Aziz, S.S.; Obbard, J.P. Enhanced algae growth in both phototrophic and mixotrophic culture under blue light. Bioresour. Technol. 2011, 102, 3883–3887. [Google Scholar] [CrossRef]
- Nalley, J.O.; O’Donnell, D.R.; Litchman, E. Temperature effects on growth rates and fatty acid content in freshwater algae and cyanobacteria. Algal Res. 2018, 35, 500–507. [Google Scholar] [CrossRef]
- Carneiro, M.L.N.; Pradelle, F.; Braga, S.L.; Gomes, M.S.P.; Martins, A.R.F.; Turkovics, F.; Pradelle, R.N. Potential of biofuels from algae: Comparison with fossil fuels, ethanol and biodiesel in Europe and Brazil through life cycle assessment (LCA). Renew. Sustain. Energy Rev. 2017, 73, 632–653. [Google Scholar] [CrossRef]
- Zhang, X.; Rong, J.; Chen, H.; He, C.; Wang, Q. Current status and outlook in application of microalgae in biodiesel production and environmental protection. Front. Energy Res. 2014, 2, 32. [Google Scholar] [CrossRef]
- Duong, V.T.; Li, Y.; Nowak, E.; Schenk, P.M. Microalgae isolation and selection for prospective biodiesel production. Energies 2012, 5, 1835–1849. [Google Scholar] [CrossRef]
- Abdelaziz, A.E.; Leite, G.B.; Belhaj, M.A.; Hallenbeck, P.C. Screening microalgae native to Quebec for wastewater treatment and biodiesel production. Bioresour. Technol. 2014, 157, 140–148. [Google Scholar] [CrossRef] [PubMed]
- Teoh, M.L.; Chu, W.L.; Phang, S.M. Effect of temperature change on physiology and biochemistry of algae: a review. Malaysian J. Sci. 2010, 29, 82–97. [Google Scholar] [CrossRef]
- Ras, M.; Steyer, J.P.; Bernard, O. Temperature effect on microalgae: a crucial factor for outdoor production. Rev. Environ. Sci. Bio/Technol. 2013, 12, 153–164. [Google Scholar] [CrossRef]
- Sonmez, C.; Elcin, E.; Akın, D.; Oktem, H.A.; Yucel, M. Evaluation of novel thermo-resistant Micractinium and Scenedesmus sp. for efficient biomass and lipid production under different temperature and nutrient regimes. Bioresour. Technol. 2016, 211, 422–428. [Google Scholar] [CrossRef]
- Wang, Y.; Ho, S.H.; Cheng, C.L.; Guo, W.Q.; Nagarajan, D.; Ren, N.Q.; Chang, J.S. Perspectives on the feasibility of using microalgae for industrial wastewater treatment. Bioresour. Technol. 2016, 222, 485–497. [Google Scholar] [CrossRef]
- Mutanda, T.; Ramesh, D.; Karthikeyan, S.; Kumari, S.; Anandraj, A.; Bux, F. Bioprospecting for hyper-lipid producing microalgal strains for sustainable biofuel production. Bioresour. Technol. 2011, 102, 57–70. [Google Scholar] [CrossRef]
- Odlare, M.; Nehrenheim, E.; Ribe, V.; Thorin, E.; Gavare, M.; Grube, M. Cultivation of algae with indigenous species - Potentials for regional biofuel production. Appl. Enegy 2011, 88, 3280–3285. [Google Scholar] [CrossRef]
- Wilkie, A.C.; Edmundson, S.J.; Duncan, J.G. Indigenous algae for local bioresource production: Phycoprospecting. Energy Sustain. Dev. 2011, 15, 365–371. [Google Scholar] [CrossRef]
- Jakob, G.; Wolf, J.; Bui, T.V.L.; Posten, C.; Kruse, O.; Stephens, E.; Ross, I.L.; Hankamer, B. Surveying a Diverse Pool of Microalgae as a Bioresource for Future Biotechnological Applications. J. Pet. Environ. Biotechnol. 2013. [Google Scholar] [CrossRef]
- Santhakumaran, P.S.; Kookal, S.K.; Ray, J.G. Biomass yield and biochemical profile of fourteen species of fast-growing green algae from eutrophic bloomed freshwaters of Kerala, South India. Biomass Bioenerg. 2018, 119, 155–165. [Google Scholar] [CrossRef]
- The International Energy Agency. Available online: https://www.iea.org/classicstats/statisticssearch/report/?year=2015&country=PAKISTAN&product=Indicators (accessed on 14 June 2019).
- Planning commission, Ministry of Planning Development and Reform, Government of Pakistan. Pakistan 2025: One Nation-One Vision. Available online: http://www.lse.ac.uk/GranthamInstitute/wp-content/uploads/laws/1527.pdf (accessed on 20 May 2019).
- Shah, S.H.; Raja, I.A.; Rizwan, M.; Rashid, N.; Mahmood, Q.; Shah, F.A.; Pervez, A. Potential of microalgal biodiesel production and its sustainability perspectives in Pakistan. Ren. Sustain. Energy Rev. 2018. [Google Scholar] [CrossRef]
- Ali, A.; Shinwari, Z.K.; Leghari, M.K. Diversity of the genera of Chlorophyta in fresh waters of district swat NWFP Pakistan. Pak. J. Bot. 2011, 43, 1759–1764. [Google Scholar]
- Zarina, A.; Shameel, M. Diversity of freshwater green macro algae in the Punjab and neighbouring areas of Pakistan. Pak. J. Bot. 2009, 41, 277–291. [Google Scholar]
- Musharraf, S.G.; Ahmed, M.A.; Zehra, N.; Kabir, N.; Choudhary, M.I.; Rahman, A.U. Biodiesel production from microalgal isolates of southern Pakistan and quantification of FAMEs by GC-MS/MS analysis. Chem. Cent. J. 2012. [Google Scholar] [CrossRef] [PubMed]
- Ghazala, B.; Shameel, M. Phytochemistry and bioactivity of some freshwater green algae from Pakistan. Pharmaceut. Biol. 2005, 43, 358–369. [Google Scholar] [CrossRef] [PubMed]
- Andersen, R.A.; Kawachi, M. Traditional microalgae isolation techniques. In Algal CulturingTechniques; Elsevier Academic Press: Burlington, MA, USA, 2005. [Google Scholar]
- Chen, W.; Zhang, C.; Song, L.; Sommerfeld, M.; Hu, Q. A high throughput Nile red method for quantitative measurement of neutral lipids in microalgae. J. Microbiol. Meth. 2009, 77, 41–47. [Google Scholar] [CrossRef]
- Orr, V.; Rehmann, L. Improvement of the Nile Red fluorescence assay for determination of total lipid content in microalgae independent of chlorophyll content. J. Appl. Phycol. 2015, 27, 2181–2189. [Google Scholar] [CrossRef]
- Bertozzini, E.; Galluzzi, L.; Penna, A.; Magnani, M. Application of the standard addition method for the absolute quantification of neutral lipids in microalgae using Nile red. J. Microbiol. Meth. 2011, 87, 17–23. [Google Scholar] [CrossRef] [PubMed]
- Van Wychen, S.; Ramirez, K.; Laurens, L.M. Determination of Total Lipids as Fatty Acid Methyl Esters (FAME) by In Situ Transesterification: Laboratory Analytical Procedure (LAP); Technical Report for National Renewable Energy Lab.(NREL): Golden, CO, USA, January 2016. [Google Scholar]
- Leite, G.B.; Paranjape, K.; Abdelaziz, A.E.; Hallenbeck, P.C. Utilization of biodiesel-derived glycerol or xylose for increased growth and lipid production by indigenous microalgae. Bioresour. Technol. 2015, 184, 123–130. [Google Scholar] [CrossRef] [PubMed]
- Rodríguez, F.; Derelle, E.; Guillou, L.; Le Gall, F.; Vaulot, D.; Moreau, H. Ecotype diversity in the marine picoeukaryote Ostreococcus (Chlorophyta, Prasinophyceae). Environ. Microbiol. 2005, 7, 853–859. [Google Scholar] [CrossRef] [PubMed]
- Sáez, A.G.; Lozano, E. Body Doubles. Nature 2005. [Google Scholar] [CrossRef] [PubMed]
- Bickford, D.; Lohman, D.J.; Sodhi, N.S.; Ng, P.K.L.; Meier, R.; Winker, K.; Ingram, K.K.; Das, I. Cryptic species as a window on diversity and conservation. Trends Ecol. Evol. 2007. [Google Scholar] [CrossRef]
- Hallenbeck, P.C.; Leite, G.B.; Abdelaziz, A.E.M. Exploring the diversity of microalgal physiology for applications in wastewater treatment and biofuel production. Algal Res. 2014, 6, 111–118. [Google Scholar] [CrossRef][Green Version]
- Griffiths, M.J.; Harrison, S.T. Lipid productivity as a key characteristic for choosing algal species for biodiesel production. J. Appl. Phycol. 2009, 21, 493–507. [Google Scholar] [CrossRef]
- Bellou, S.; Baeshen, M.N.; Elazzazy, A.M.; Aggeli, D.; Sayegh, F.; Aggelis, G. Microalgal lipids biochemistry and biotechnological perspectives. Biotechnol. Adv. 2014, 32, 1476–1493. [Google Scholar] [CrossRef]
- Chaisutyakorn, P.; Praiboon, J.; Kaewsuralikhit, C. The effect of temperature on growth and lipid and fatty acid composition on marine microalgae used for biodiesel production. J. Appl. Phycol. 2018, 30, 37–45. [Google Scholar] [CrossRef]
- Boer, d.K.; Moheimani, N.R.; Borowitzka, M.A.; Bahri, P.A. Extraction and conversion pathways for microalgae to biodiesel: a review focused on energy consumption. J. Appl. Phycol. 2012, 24, 1681–1698. [Google Scholar] [CrossRef]
- Gill, S.S.; Mehmood, M.A.; Ahmad, N.; Ibrahim, M.; Rashid, U.; Ali, S.; Nehdi, I.A. Strainselection, growth productivity and biomass characterization of novel microalgae isolated from fresh and waste waters of upper Punjab, Pakistan. Front. Life Sci. 2016, 9, 190–200. [Google Scholar] [CrossRef]
- Mubarak, M.; Shaija, A.; Suchithra, T.V. A review on the extraction of lipid from microalgae for biodiesel production. Algal Res. 2015, 7, 117–123. [Google Scholar] [CrossRef]
- Liu, A.Y.; Wei, C.H.E.N.; Zheng, L.L.; Song, L.R. Identification of high-lipid producers for biodiesel production from forty-three green algal isolates in China. Prog. Nat. Sci. Mater. Int 2011. [Google Scholar] [CrossRef]
- Lang, I.; Hodac, L.; Friedl, T.; Feussner, I. Fatty acid profiles and their distribution patterns in microalgae: a comprehensive analysis of more than 2000 strains from the SAG culture collection. BMC Plant Biol. 2011. [Google Scholar] [CrossRef] [PubMed]
- Schlagermann, P.; Göttlicher, G.; Dillschneider, R.; Rosello-Sastre, R.; Posten, C. Composition of algal oil and its potential as biofuel. J. Combust. 2012. [Google Scholar] [CrossRef]
- Stansell, G.; Gray, V.M.; Sym, S.D. Microalgal fatty acid composition: implications for biodiesel quality. J.Appl. Phycol. 2012. [Google Scholar] [CrossRef]







| Strains | Identification | Site | Location | pH | Source | Coordinates |
|---|---|---|---|---|---|---|
| 1. | Botryococcus sp | Drawer Fort | Desert/Cholistan | 7.6–8.6 | Rain-water Pond | 28.76°N, 71.33°E |
| 2. | Coelastrella sp | Jazzbanda | Dir (cold area) | 7.6 | Katoora Lake | 35.36°N, 72.34°E |
| 3. | Scenedesmus sp | Rumli | Islamabad | 6.8 | Rumli stream | 33.75°N, 73.15°E |
| 4. | Desmodesmus sp. | Rumli | Islamabad | 6.8 | Rumli stream | 33.75°N, 73.14°E |
| 5. | Tetraspora sp | Rawal-Lake | Islamabad | 7.3 | Lake | 33.70°N, 73.12°E |
| 6. | Tetradesmus sp. | Cholistan | Desert Bwp | 7.9 | Small water pond | 29.17°N, 72.43°E |
| 7. | Auxenochlorella sp. | Hanna | Quetta | 8.2 | Hanna lake | 30.15°N, 67.06°E |
| 8. | Desmodesmus sp. | Kaly-Pahar | Desert | – | Mud/soil | 29.176°N, 72.06°E |
| 9. | Scenedesmus/Desmodesmus | River Swat | Swat (cold area) | 7.4 | River | 34.84°N, 72.45°E |
| 10. | Chlorella sp | Jazz Banda | upper Dir (cold) | 7.9 | Water stream | 35.36°N, 72.34°E |
| 11. | Scenedesmus sp | Labarkot | Mansehra (cold) | 6.7 | Stone near water | 34.34°N, 73.23°E |
| 12. | Chlorococcum sp | Mine | Khewra-mine | 8.2 | Natural Pond | 32.64°N, 73.01°E |
| 13. | Desmodesmus sp | Mine | Khewra-mine | – | Muddy | 32.64°N, 73.01°E |
| 14. | Chlorococcum sp | Cholistan | Desert/Cholistan | 7.5 | Standing water | 28.76°N, 71.33°E |
| 15. | Desmodesmus bicellularis | Near mine | Khewra-mine | 8.9 | Pond | 32.64°N, 73.01°E |
| 16. | Flechtneria/Coelastrella | Salt range | Khewra-mine | 8.4 | Water pond | 29.19°N, 72.85°E |
| 17. | Acutodesmus sp | Fort Abbas | Desert/Cholistan | 6.9 | Standing water | 29. 125°N, 72.5133°E |
| 18. | Nannochloris sp | Fort Abbas | Desert/Cholistan | 7.4 | Standing water | 29.1560°N, 72.420°E |
| 19. | Coelastrella sp | River | Swat (cold area) | 6.9 | Swat river | 34.837°N, 72.451°E |
| 20. | Asterarcys sp | lake | Khewra-mine | 7.2 | Lake | 32.64°N, 73.01°E |
| 21. | Chlorosarcinopsis sp | Rumli | Islamabad | 7.3 | Jinnah Stream | 33.748°N, 73.128°E |
| 22. | Coccomyxa sp | Salt range | Khewra-mine | – | Soil | 32.81°N, 72.92°E |
| 23. | Chlorella sp | Labarkot | Manshra (cold) | 8.3 | Stagnant water | 34.34°N, 73.23°E |
| 24. | Neochloris/Chlorococcum | Sheringal Panjkora | upper Dir (cold) | 6.2 | Running water | 35.296°N, 72.001°E |
| 25. | Acutodesmus | Sheringal | upper Dir (cold) | 5.9 | Running water | 35.285°N, 72.01°E |
| 26. | Chlorella sp | Shahi wala | Desert/Cholistan | 7.6 | Natural pond | 29.034°N, 71.29°E |
| 27. | Desmodesmus sps | Kalar Kahar | Khewra-mine | 8.4 | Lake | 32.771°N 72.715°E |
| 28. | Chlorella sp | Kumrat valley | upper Dir (cold) | 6.7 | Running water | 35.55°N, 72.19°E |
| 29. | Scenedesmus sp | Kaly pahar1 | Desert/Cholistan | 7.3 | Natural pond 1 | 29.187°N, 72.15°E |
| 30. | Chlamydomonas/Neochloris | Kaly pahar2 | Desert/Cholistan | 7.5 | Natural pond 2 | 29.196°N, 72.106°E |
| 31. | Chlamydomonas sp | Katora Lake | upper Dir (cold) | 6.8 | Small Pond | 35.374°N, 72.344°E |
| 32. | Scendusmus/Acutodesmus | Fort Abbas | Desert/Cholistan | – | Soil | 29.18°N, 72.85°E |
© 2019 by the authors. Licensee MDPI, Basel, Switzerland. This article is an open access article distributed under the terms and conditions of the Creative Commons Attribution (CC BY) license (http://creativecommons.org/licenses/by/4.0/).
Share and Cite
Alam, M.M.; Mumtaz, A.S.; Russell, M.; Grogger, M.; Veverka, D.; Hallenbeck, P.C. Isolation and Characterization of Microalgae from Diverse Pakistani Habitats: Exploring Third-Generation Biofuel Potential. Energies 2019, 12, 2660. https://doi.org/10.3390/en12142660
Alam MM, Mumtaz AS, Russell M, Grogger M, Veverka D, Hallenbeck PC. Isolation and Characterization of Microalgae from Diverse Pakistani Habitats: Exploring Third-Generation Biofuel Potential. Energies. 2019; 12(14):2660. https://doi.org/10.3390/en12142660
Chicago/Turabian StyleAlam, Muhammad Maqsood, Abdul Samad Mumtaz, Megan Russell, Melanie Grogger, Don Veverka, and Patrick C. Hallenbeck. 2019. "Isolation and Characterization of Microalgae from Diverse Pakistani Habitats: Exploring Third-Generation Biofuel Potential" Energies 12, no. 14: 2660. https://doi.org/10.3390/en12142660
APA StyleAlam, M. M., Mumtaz, A. S., Russell, M., Grogger, M., Veverka, D., & Hallenbeck, P. C. (2019). Isolation and Characterization of Microalgae from Diverse Pakistani Habitats: Exploring Third-Generation Biofuel Potential. Energies, 12(14), 2660. https://doi.org/10.3390/en12142660

