You are currently viewing a new version of our website. To view the old version click .
Energies
  • Article
  • Open Access

21 September 2018

Combined Blade-Element Momentum—Lifting Line Model for Variable Loads on Downwind Turbine Towers

Research Institute for Applied Mechanics, Kyushu University, 6-1 Kasugakoen, Kasuga, Fukuoka 816-8580, Japan
This article belongs to the Collection Wind Turbines

Abstract

Downwind rotors are a promising concept for multi-megawatt scale large wind turbines due to their advantages in safety and cost reduction. However, they have risks from impulsive loads when one of the blades passes across the tower wake, where the wind speed is lower and locally turbulent. Although the tower shadow effects on the tower loads have been discussed in former studies, there is currently no appropriate model for the blade-element and momentum theory so far. This study formulates the tower shadow effects on the tower load variation induced by blades using the lifting line theory, which does not require any empirical parameters. The method is verified via computational fluid dynamics for a 2 MW(megawatt), 3-bladed downwind turbine. The amplitude and the phase of the variation are shown to be accurate in outboard sections, where the rotor-tower clearance is large (>3.0 times of the tower diameter) and the ratio of the blade chord length is small (<0.5 times of the tower diameter), in both of rated and cut-out conditions.

1. Introduction

Upwind turbines have been predominant throughout the 30-year history of modern commercial wind turbines. Yoshida [,] showed the advantages of downwind turbines in complex terrains in terms of performance due to the smaller rotor wind misalignment between the negative tilt angles of the downwind rotor and the upflow wind. Since then, modern commercial downwind turbines have been a subject of interest for use in complex terrains. The most essential reason why downwind turbines had been avoided is the tower shadow effect, which generates impulsive loads and infrasound when one of the blades passes through the tower wake [].
Design loads are calculated based on the international design standard IEC61400-1 [] or guidelines for certification bodies DNV-GL []; in a large number of cases of design load combined with the wind model, the wind turbine conditions can experience failures, as well as various kinds of wind and marine conditions. The flexibilities of the structure and the controls, in addition to the aerodynamics, hydrodynamics, aero-elastics, and control of the wind turbines, strongly affect the load. The blade-element momentum (BEM) method is the most popular tool for determining these characteristics [,]. Therefore, modeling of the tower shadow effect is the most important technical challenge in the design of downwind wind turbines. The most common tower shadow model considers the wind speed profile behind an isolated tower [,], which assumes a free stream wind and ignores the interaction between the rotor and the tower.
There are studies regarding the variable loads of downwind turbines caused by tower shadow effects. Matiz-Chicacausa and Lopez [] analyzed the tower shadow effects of downwind turbines using the actuator line model combined with computational fluid dynamics (CFD), which showed good agreement with the experiment. Wang and Coton [] developed a high-resolution tower shadow model for downwind turbines, which was in good agreement with the experiment, with the exception of the high angle of the attack region. Zahle et al. [] developed a 2-dimensional CFD model for tower shadow effects on three different tower configurations for downwind turbines. Zhao et al. [] compared upwind and downwind rotors in two different rotor speed conditions using CFD. The tower shadow effect is dominant in the downwind configuration. Although, these studies contributed to expand the understanding of the phenomenon, they are still not applicable for the load calculations based on the design standards and guidelines. The studies by Yoshida and Kiyoki [,] are exceptions, as they developed a load equivalent tower shadow modeling method for the BEM of downwind turbines. These comprised a bell-shaped wind speed profile behind the tower, which provides the equivalent load variation with the wind turbine CFD. This model was applied to the development of the first multi-megawatt-scale commercial downwind turbines, including the SUBARU 80/20 [], the later Hitachi 2 MW, and the later Hitachi 5 MW [] wind turbines. However, despite determining the appropriate rotor load variations behind the tower, CFD modeling is required for each condition, which is not very convenient for practical applications. Furthermore, the tower shadow effects on the tower loads have not been reported to this point.
Considering these situations, a tower shadow modeling method was developed for the BEM calculation of downwind turbines using the lifting line (LL) theory.

2. Methodology

The present method to calculate the variable loads for downwind turbines using BEM consists of the following four steps. The formulations in each step are explained in this section.
(1)
Rotor BEM
(2)
Blade circulation
(3)
Pressure around the tower induced by blade circulation
(4)
Tower section drag variations from blade induction

2.1. Rotor BEM

The BEM model is the most common theory for the wind turbine load calculation due to its productivity and accuracy. Detailed information of the theory is available in numbers of publications such as reference []. The outline is summarized below. Numbers of modifications and models considered in practical applications are omitted here.
The inflow speed W and angle ϕ at the blade element at station radius r are calculated as shown in Equations (1) and (2).
W = [ U 0 ( 1 a ) ] 2 + [ r Ω ( 1 + a ) ] 2 ,
ϕ = tan 1 [ U 0 ( 1 a ) r Ω ( 1 + a ) ] ,
where U0 and Ω are the wind speed and rotor angular speed, respectively, and a and a′ are the axial and tangential induction factors.
The thrust and torque per unit length, dT/dr and dQ/dr, respectively, are calculated in Equations (3) and (4) according to the blade-element theory.
d T d r = 1 2 ρ W 2 B c ( C l cos ϕ + C d sin ϕ ) ,
d Q d r = 1 2 ρ W 2 B c r ( C l sin ϕ C d cos ϕ ) ,
where ρ is the air density, B is the number of the blades, and, c, Cl, and Cd are the chord length and lift and drag coefficients at the blade element, respectively.
On the other hand, the thrust and torque per unit length are also provided using the momentum theory in Equations (5) and (6).
d T d r = 2 ρ U 2 ( 2 π r ) a ( 1 a )  
d Q d r = ρ ( 2 π r ) U ( 1 a ) 2 a r 2 Ω  
The distributions of a, a′, Cl, and Cd are calculated using the BEM model assuming the thrust and torque by the two means to be equal. The tower wake wind speed distribution is not necessary here, as a steady state wind speed is assumed normal to the rotor in the present model.

2.2. Blade Circulation

First, we calculate the circulation of the blade sections using the lifting line theory. The section lift per unit length dL/dr is calculated using BEM and LL in Equation (7).
d L d r = 1 2 ρ W 2 c C l = ρ W Γ  
Therefore, the circulation Γ is calculated in Equation (8).
Γ = 1 2 W c C l  

2.3. Blade-Induced Wind Speed and Pressure around Tower

The velocity du induced by the circulation Γ of the blade section dr in the previous section is calculated by the Biot-Savart law in Equation (9).
d u = Γ 4 π e B Z × e T B Δ x T B 2 d r ,
where eBZ is the unit vector along the blade axis, and ΔxTB is the vector from the blade section to the tower section, which consists of the distance ΔxTB and the unit vector eTB in Equation (10).
Δ x T B = e T B Δ x T B  
The schematic of the equation is shown in Figure 1. Here, du is normal to both of eZB and eTB.
Figure 1. Schematic of the induced velocity du at the tower element dzT, induced by the circulation Γ at the blade element dr.
Therefore, the total inducted velocity u on the tower axis is calculated in Equation (11) by integrating along all the blades.
u = n = 1 B ( 0 R Γ 4 π e B Z × e T B Δ x T B 2 d r ) n  
The derivative to the windward, or tower xT axis, is defined in Equation (12).
d u d x T = n = 1 B ( 0 R Γ 4 π e B Z × d d x T ( e T B Δ x T B 2 ) d r ) n  
where R is the rotor radius.
The pressures at the locations of the tower center are calculated by Bernoulli’s law. Relative wind speeds at the blade section (180 degrees of azimuth angle), tower section, and free stream are shown in Figure 2. The pressures with and without the blade circulation effects, pT1 and pT0, respectively, are described in Equations (13) and (14).
p S = p T 0 + 1 2 ρ [ U 0 ( 1 a T ) ] 2 + 1 2 ρ [ r Ω ( 1 + a T ) ] 2  
p S = p T 1 + 1 2 ρ [ U 0 ( 1 a T ) u ] 2 + 1 2 ρ [ r Ω ( 1 + a T ) v ] 2 + 1 2 ρ w 2  
where pS is the total pressure relative to the blade section, aT and aT′ are axial and tangential induction factors at the location of tower center, respectively, and (u, v, w) are elements of the induction velocity u in the xT-yT-zT coordinate system.
Figure 2. Relative wind speeds at the blade section (180 degrees of azimuth angle), tower section, and free stream.
From Equations (13) and (14), the pressure deviation pT between the conditions with and without blade circulation is approximated as Equation (15) assuming aT << 1 and a′T << 1.
p T = p T 1 p T 0 = ρ u U 0 ( 1 a T ) + ρ v r Ω ( 1 + a T ) 1 2 ρ w 2 ρ u U 0 + ρ v r Ω 1 2 ρ w 2
Therefore, the pressure differential dpT/dxT is shown in Equation (16).
d p T d x T = ρ U 0 d u d x T + ρ r Ω d v d x T ρ w d w d x T  

2.4. Tower Section Drag Variation by Blade Induction

The drag per unit length on the tower section dfXT/dzT is calculated from Equation (17), assuming a uniform pressure for the reference distance ΔxT around the tower section.
d f X T d z T = D T d p T d x T Δ x T  
Assuming the uniform pressure slope above, dfXT/dzT is also expressed in Equation (18) more generally.
d f X T d z T = π / 2 π / 2 ( d p T d x T D T cos ϕ T ) ( D T 2 cos ϕ T ) d ϕ T  
The reference distance is calculated in Equation (19) from Equations (17) and (18).
Δ x T = π 4 D T  
Therefore, the tower section load deviation from the rotor interaction is shown in Equation (20).
d f X T d z T = π ρ D T 2 4 ( U 0 d u d x T + r Ω d v d x T w d w d x T )  
Furthermore, the deviation of the tower section drag coefficient ΔCdT is shown in Equation (21).
Δ C d T = d f X T / d z T ρ U 0 2 D T / 2 = π D T 2 U 0 2 ( U 0 d u d x T + r Ω d v d x T w d w d x T )  

3. Analysis Conditions

3.1. Wind Turbine

The prototype of the SUBARU 80/2.0 downwind turbine (Figure 3) [,], which is the first MW-class commercial downwind turbine, is used in this study. Its general specifications are shown in Table 1. The schematics of the rear view (−xT) and the side view (+yT) are calculated as shown in Figure 4, assuming a rigid structure. The rotor rotates counterclockwise in the rear view. The five lines in these figures show the tower stations ηT in front of the blade station radius r normalized by the rotor radius R at 180 degrees from the rotor azimuth angle. A large clearance is maintained by the tilt and coning of the rotor.
Figure 3. The SUBARU 80/2.0 prototype [,].
Table 1. The SUBARU 80/2.0 prototype general specifications [,].
Figure 4. Schematic of the wind turbine at 180 degrees of the rotor azimuth angle [,,].
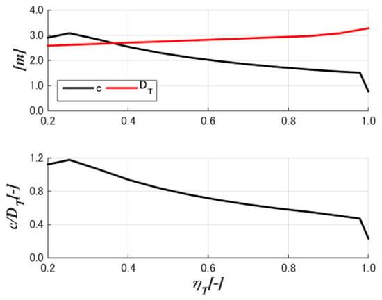
The distributions of the blade chord length c, the tower diameter DT, and their ratio are shown in Figure 5. Bladed (DNV GL Bladed, version 4.7; DNV GL: Bristol, UK, 2016.) is used for the BEM, and the model is assumed to be stiff. The normalized clearance between the tower and the rotor ΔxR/DT at 6 degrees (rated) and 26 degrees (cut-out) of blade pitch angles are shown in Figure 6.
Figure 5. Blade chord length c, tower diameter DT, and their ratio c/DT [].
Figure 6. Rotor-tower clearance to tower diameter ΔxR/DT, and leading and trailing edge positions.

3.2. Wind Conditions

-
Wind speed (U0): 13 m/s (rated wind speed) and 25 m/s (cut-out wind speed).
-
Turbulence: 0% (steady).
-
Wind Shear: 0 (uniform).

3.3. Operation Conditions

The rotor speed and the pitch angle are nR and θ, respectively, and are described below:
(1)
Rated: U0 = 13 m/s, nR = 17.5 min−1, and θ = 6 degrees.
(2)
Cut-out: U0 = 25 m/s, nR =17.5 min−1, and θ = 26 degrees.

4. Analysis Results

4.1. Rotor BEM

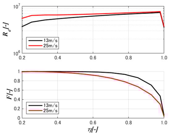
The distribution of the Reynolds number Re along the blade, which is in the order of 5–7 × 106, is shown in the top subplot of Figure 7. The tip/root loss function F, which is assumed by Pradtl’s function, is shown at the bottom of the figure.
Figure 7. Reynolds number Re and tip/root loss factor F along the blade.
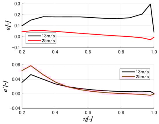
The axial induction factor a is shown in the top subplot in Figure 8 and is almost constant, approximately 0.17–0.19 between 30% and 85% of the blade station radius at 13 m/s. It is smaller than 0.05 and takes on negative values locally on the outboard sections at 25 m/s. The distribution of the tangential induction factor a′ is shown in the bottom subplot of the figure. Although, the total torque is identical to 13 m/s, the inboard sections share larger parts at 25 m/s.
Figure 8. Axial and tangential induction factors a and a′ along the blade.
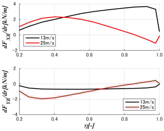
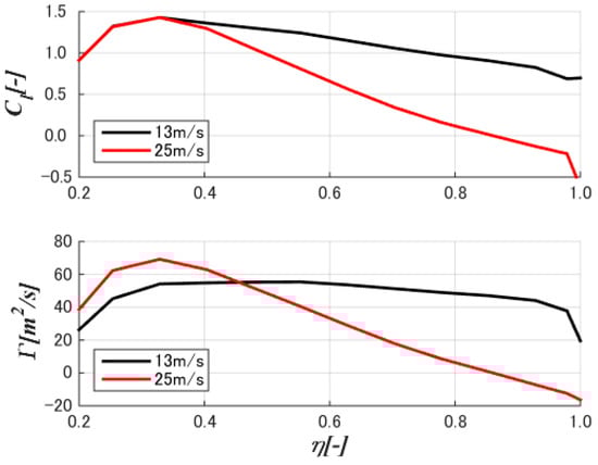
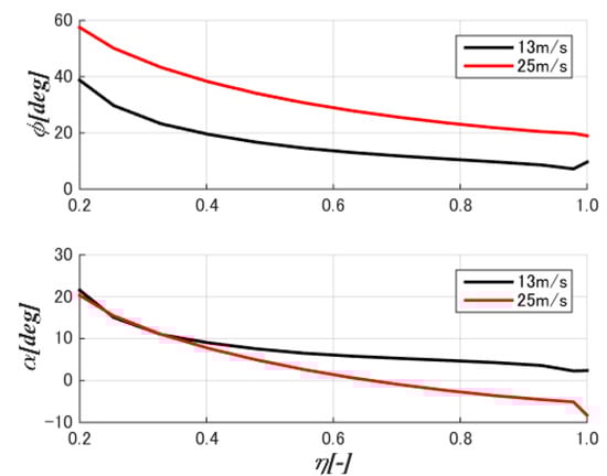
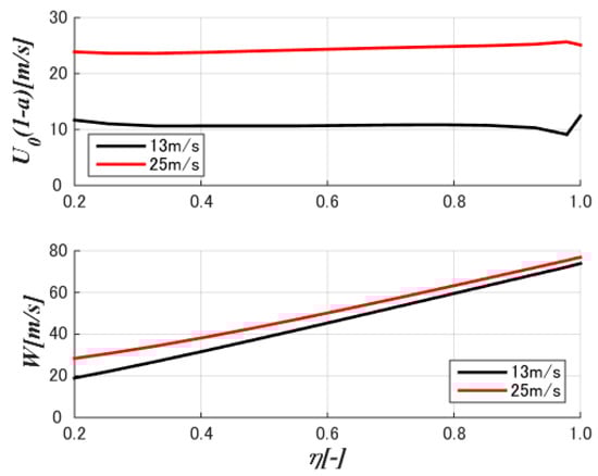
The distribution of the axial wind speed U0(1 − a), relative wind speed W, inflow angle ϕ on the rotor plane, and angle of attack α of the blade section are shown in Figure 9 and Figure 10. The distributions of the lift coefficient Cl and circulation Γ along the blade are shown in Figure 11. The distribution of the Γ is similar to the Cl, as the relative wind speed and chord length are proportional and inversely proportional to the blade station radius, respectively. The drag coefficient Cd and the lift to drag ratio are shown in Figure 12. The out-of-plane load dFXB/dr and the in-plane load dFYB/dr are shown in Figure 13.
Figure 9. Axial and relative wind speeds U0(1 − a) and W along the blade.
Figure 10. Inflow angle ϕ and angle of attack α along the blade.
Figure 11. Lift coefficient Cl and circulation Γ along the blade.
Figure 12. Drag coefficients Cd and lift to drag ratio Cl/Cd along the blade section.
Figure 13. Axial and tangential blade aerodynamic loads FXB and FYB per unit length.

4.2. Blade Circulation

The distributions of the circulations are shown in the bottom subplot of Figure 11. Although the distribution is almost uniform at 13 m/s, it is quite smaller in the outboard section at 25 m/s.

4.3. Blade Induced Wind Speed and Pressure around the Tower

The induced velocity of the total of three blades and blade 1 are shown in Figure 14 and Figure 15, where ϕR is the rotor azimuth angle, which is same as for blade 1. The top and bottom subplots show the axial and tangential velocities at the tower center. The axial velocity changes from positive to negative at 180 degrees of rotor azimuth. The tangential velocity takes on a maximum value here. The interactions of the blades are most distinct around 180 degrees and are mainly caused by the closest blade. However, the neighboring blades are affected slightly at approximately 120 and 240 degrees but negligibly at approximately 180 degrees.
Figure 14. Induced velocities by the three blades with respect to the rotor azimuth ϕR and the tower section ηT.
Figure 15. Induced velocities by blade 1 with respect to the rotor azimuth ϕR and the tower section ηT.
Figure 16 shows the induced lateral velocities at the tower section at ηT by blade 1 at the normalized station radius η1 for 13 m/s and 25 m/s. Blade 1 is located just behind the tower, 180 degrees of azimuth angle. The diagonal line indicates they are at the same height. These figures show that the lateral velocities are most strongly induced by the blade section around the same height, although they are slightly shifted to the inner board.
Figure 16. Induced lateral velocity distribution by blade 1 at 180 degrees of azimuth angle.
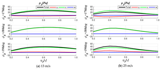
The distributions of induced pressure are shown in Figure 17 and are similar to the induced velocity distributions. The shares of the pressure variation, terms 1–3 in Equation (15), are shown in Figure 18. However, the major parts are induced by the lateral component v, and the axial component u decreases (<180 degrees) or increases (>180 degrees) slightly. The vertical component w is unaffected.
Figure 17. Induced pressure and pressure gradients at the tower with respect to the rotor azimuth ϕR and the tower section ηT.
Figure 18. Share of the induced pressure at the tower.

4.4. Tower Section Drag Variation by Rotor Induction

The deviations of the tower drag and its coefficients with respect to the tower section and the rotor azimuth angle are shown in Figure 19. The deviations of approximately 180 degrees of the azimuth angle at 13 m/s show steeper characteristics than at 25 m/s. Obviously, the deviations at 13 m/s are much larger than at 25 m/s. In other words, the deviations in the tower loads from the tower shadow effect are small at 25 m/s.
Figure 19. Induced drag and drag coefficients of the tower sections with respect to the rotor azimuth ϕR and the tower section ηT.

5. Verification by CFD

5.1. CFD Outlines

The results in the section chapter are verified by CFD in Reference []. The ANSYS CFX (Canonsburg, PA, USA, 2006) with k-ω SST turbulence model is used with the sliding mesh model for coupling of the rotating rotor and the fixed tower. The two simulation conditions, rated (13 m/s) and cut-out (25 m/s) wind speeds, are identical as in the previous chapter.
CFD results at 0 and 180 degrees of azimuth angles in the rated wind speed conditions are shown in Figure 20a,b. The tower leeside surfaces show pressure rise, while one of three blades is just behind the tower as indicated in the figure. This phenomenon had been ignored so far.
Figure 20. Wind Turbine computational fluid dynamics (CFD) at 13 m/s wind speed, 17.5 min−1 of rotor speed, and 6 degrees of pitch angle [,].

5.2. Verification Tower Variable Loads

Variations of the drag coefficients ΔCdT and the deviation from the average of 4 typical tower sections ηT at 13 m/s and 25 m/s are shown in Figure 21. Here, “BEM+LL” indicates the present method and “BEM (Conv)” is the conventional BEM, which considers the constant tower drag coefficient for the tower aerodynamics.
Figure 21. Tower section drag coefficients ΔCdT as to the rotor azimuth ϕR.
The ΔCdT at 100% ηT are shown in Figure 21a. The top and bottom subplots show 13 m/s and 25 m/s, respectively. The variations are almost zero for all three cases at 25 m/s, where the circulations of the blade outboard sections are around zero, as shown in Figure 11. However, the differences at 13 m/s are distinct. The present method shows almost identical variations with the CFD in both the amplitude and phase, which is different from the conventional method. This indicates that the present model does not express the load variations in cases where the circulation is large.
The ΔCdT at 75% and 50% ηT in Figure 21b,c is also similar to Figure 21a. The variation in the present method is in good agreement with the CFD at 13 m/s, although the deviations from the CFD are larger than for the 100% ηT. This is still obviously better than for the conventional BEM, which shows a constant value.
One of the factors is the effect of the tower wake on the blade load, which is neglected in the present model. The rotor-tower clearance (Figure 6) gets smaller inboard, and is smaller than 2.5 DT and 2.0 DT from the center and the surface of the tower between 20–40% ηT. The blade chord length to tower diameter ratio (Figure 5) is larger than 0.8 between 20–50% ηT. Both of the two conditions above decrease the accuracy of the present model.
Deviations in ΔCdT from the present method to the CFD are shown below. The deviation in normalized blade station radius is shown in Figure 22. The accuracy in the inboard section is worse than in the other sections. In the inboard section, the clearance between the rotor and the tower is smaller (Figure 23), and the chord length is longer than in the other parts of the blade (Figure 24). Additionally, the deviation tends to be smaller where the circulation is small, as shown in Figure 25.
Figure 22. Deviation in the range of the drag coefficient ΔCd,Range as a function of the blade station radius ΔxR/DT.
Figure 23. Deviation in the range of the drag coefficient ΔCd,Range as a function of the rotor-tower clearance ΔxR/DT.
Figure 24. Deviation in the range of the drag coefficient ΔCd,Range as a function of the chord length c/DT.
Figure 25. Deviation in the range of the drag coefficient ΔCd,Range as a function of the circulation Γ.
Although the present method shows almost identical agreement with the CFD results, the agreement decreases moving towards the blade root. There are several differences in the inboard and outboard sections affecting the accuracy of the present method, which models the interactions of the blades using the lifting line theory. Furthermore, the present model does not consider the chordwise distribution of the circulation. As a result, the present method is expected to be modified.

6. Conclusions

The lifting line-based blade interaction method to determine the tower load via the blade-element and momentum method is formulated in this study. The model expresses the load variations, which were neglected in former models. The method indicates that most of the interaction is provided by the closest blade, in particular in the vicinity of the tower section. Additionally, the effect of the lateral induction is much larger than the axial and vertical effects. The method was verified with CFD for a 2 MW, 3-bladed downwind turbine.
The tower load variations according to the present model in outboard sections, where the rotor-tower clearance is large (>3.0 times of the tower diameter) and the ratio of the blade chord length is small (<0.5 times of the tower diameter), are shown to be accurate in both rated and cut-out conditions. The present model expresses the amplitude and phase of the tower load variation in different thrust conditions in outboard sections.
There is room for improvement in inboard sections, where the rotor-tower clearance is small and the blade chord to the tower diameter is large. Furthermore, the model is planned to be extended to blade load deviation in a future study.

Funding

This research received no external funding.

Acknowledgments

I express gratitude to Hitachi Ltd. for providing the data for this research.

Conflicts of Interest

The author declares no conflict of interest.

Nomenclature

a Axial induction factor at the rotor
a Tangential induction factor at the rotor
a T Axial induction factor at the tower
a T Tangential induction factor at the tower
B Number of blades
c Blade chord length
C l Lift coefficient
C d Drag coefficient
D T Tower diameter
e T B Unit vector from the blade element to the tower section
e Z B Unit vector along the blade axis
F Tip/root loss function
f X T Tower drag
L Lift
n R Rotor speed
p S Total pressure
p T 0 Tower pressure without the circulation effects
p T 1 Tower pressure with the circulation effects
Q Rotor torque
R Rotor radius
r Station radius of the blade element
R e Reynolds number
T Rotor thrust
u Velocity (vector) induced by the blade circulation
U 0 Free stream wind speed
u xT-wise component of u
v yT-wise component of u
W Inflow wind speed at the blade element
w zT-wise component of u
x T Longitudinal (or windward) position
y T Lateral position to the lefthand side of the wind
z T Vertical position to the top
Greek
α Angle of attack
Δ C d T Deviation of the tower drag coefficient
Δ F X T Deviation of the tower drag
Δ x R Rotor-tower clearance
Δ x T B Relative position (vector) from the blade element to the center of the tower section
Δ x T B Distance from the blade element to the center of the tower section
ϕ Inflow angle of the blade element
ϕ 1 Azimuth angle of blade 1
ϕ R Rotor azimuth angle
Γ Circulation of the blade element
η Blade station radius of the blade element normalized by the rotor radius
η T Tower section at same height as η
θ Blade pitch angle
ρ Air density
Ω Rotor angular speed
Subscript
13 , 25 Wind speed [m/s]
B Blade
R Rotor
R a n g e Range
T Tower
Abbreviations
BEMBlade-element and momentum method
CFDComputational fluid dynamics
LELeading edge of the blade
LLLifting line theory
TETrailing edge of the blade

References

  1. Yoshida, S. Performance of downwind turbines in complex terrains. Wind Eng. 2006, 30, 487–501. [Google Scholar] [CrossRef]
  2. Yoshida, S. Nacelle Yaw Measurement of Downwind Turbines in Complex Terrains. Available online: https://www.windtech-international.com/editorial-features/nacelle-yaw-measurement-downwind-turbines-in-complex-terrain (accessed on 19 July 2018).
  3. Gipe, P. Wind Energy Comes of Age; John Wiley and Sons: Chichester, UK, 1995. [Google Scholar]
  4. Wind Turbines—Part 1: Design Requirements. Available online: https://webstore.iec.ch/preview/info_iec61400-1%7Bed3.0%7Den.pdf (accessed on 19 July 2018).
  5. Guidelines for the Certifications of Wind Turbines. Available online: https://3989ac5bcbe1edfc864a-0a7f10f87519dba22d2dbc6233a731e5.ssl.cf2.rackcdn.com/acecmn/pdf-s/Session_3_-_Handout_3_-_GL_Guideline_for_the_Certification_of_Wind_Turbines.pdf (accessed on 19 July 2018).
  6. Burton, T.; Jenkins, N.; Sharpe, D.; Bossanyi, E. Wind Energy Handbook, 2nd ed.; John Wiley and Sons: Chichester, UK, 2011. [Google Scholar]
  7. Jonkman, J.M.; Buhl, M.L., Jr. FAST User’s Guide. Available online: https://www.nrel.gov/docs/fy06osti/38230.pdf (accessed on 19 July 2018).
  8. Wang, T.; Coton, F.N.; Galbraith, R.A.M. An examination of two tower-shadow modeling strategies for downwind turbines. Am. Inst. Aeronaut. Astronaut. 1998. [Google Scholar] [CrossRef]
  9. Barman, K.; Dahlberg, J.A.; Meijer, S. Measurement of the tower wake of the Swedish prototype wind energy conversion system (WECS) Maglarp (Sweden) and calculations of its effect on noise and blade loading. In Proceedings of the European Wind Energy Conference 1984, Hamburg, Germany, 22–26 October 1984. [Google Scholar]
  10. Matiz-Chicacausa, A.; Lopez, O.D. Full downwind turbine simulations using actuator line method. Model. Simul. Eng. 2018. [Google Scholar] [CrossRef]
  11. Wang, T.; Coton, F.N. A high resolution tower shadow model for downwind wind turbines. J. Wind Eng. Ind. Aerodyn. 2001, 89, 873–892. [Google Scholar] [CrossRef]
  12. Zahle, F.; Madsen, H.A.; Sorensen, N.N. Evaluation of Tower Shadow Effects on Various Wind Turbine Concepts. Available online: http://orbit.dtu.dk/files/3550506/ris-r-1698.pdf (accessed on 19 July 2018).
  13. Zhao, Q.; Sheng, C.; Afjeh, A. Computational aerodynamic analysis of offshore upwind and downwind turbines. J. Aerodyn. 2014. [Google Scholar] [CrossRef]
  14. Yoshida, S.; Kiyoki, S. Load equivalent tower shadow modeling for downwind turbines. J. JSME 2007, 73, 1273–1279. [Google Scholar] [CrossRef]
  15. Yoshida, S.; Kiyoki, S. Load equivalent tower shadow modeling. In Proceedings of the European Wind Energy Conference 2007, Milano, Italy, 7–10 May 2007. [Google Scholar]
  16. Nagao, T.; Kato, T.; Shiraishi, T.; Yoshida, S.; Sugino, J. Development of advanced wind turbine systems for remote islands. Wind Eng. 2006, 28, 729–740. [Google Scholar] [CrossRef]
  17. Saeki, M.; Sano, T.; Kato, H.; Owada, M.; Yoshida, S. Concept of the HITACHI 5MW offshore downwind turbine. In Proceedings of the European Wind Energy Conference 2014, Barcelona, Spain, 10–13 March 2014. [Google Scholar]
  18. Hitachi Ltd. Wind Turbine/Products/HTW2.0-80/Specification. Available online: http://www.hitachi.com/products/power/wind-turbine/products/htw2000_80/specification (accessed on 1 September 2018).

Article Metrics

Citations

Article Access Statistics

Multiple requests from the same IP address are counted as one view.