Abstract
Plant-derived pharmaceuticals represent a highly compelling area of research and continue to attract significant interest from countries, regions, scientific communities, and pharmaceutical companies worldwide. Among these, α- and β-amyrins have been identified as high-value triterpenoid compounds with a broad spectrum of potential therapeutic properties, including anti-inflammatory, antidiabetic, antiatherosclerotic, analgesic, antigout, neuroprotective, anti-Parkinsonian, anticancer, antibacterial, and anti-HIV activities. Relevant information and data were obtained through comprehensive searches of major scientific databases, including Web of Science, Elsevier, and the National Library of Medicine. This study highlighted the pharmaceutical potential of α- and β-amyrins, supported by specific evidence from in vivo, in vitro, and clinical trials. Various extraction methods for α- and β-amyrins are discussed, followed by recommendations for future directions in the development of these compounds as pharmaceutical agents and functional food ingredients. This review highlights the therapeutic of α- and β-amyrin compounds in the prevention and treatment of various serious diseases worldwide, potentially opening new opportunities and directions for the pharmaceutical industry.
1. Introduction
Pharmaceuticals are commodities of high social significance [1] and an eternal need of the world [2]. The role of pharmaceuticals in treating, preventing, and improving health, and prolonging and enhancing the quality of life of billions of people worldwide is indisputable [3,4]. The global demand for pharmaceuticals is growing rapidly [5]. The global demand for pharmaceuticals is increasing rapidly, necessitating the expansion and advancement of production capabilities [6]. The global herbal medicine market was valued at approximately USD 230.03 billion in 2021 and is projected to grow to USD 430.05 billion by 2028, reflecting a compound annual growth rate (CAGR) of 11.32% [7].
The rapid growth of the global population, along with increasing environmental pollution, has driven rising pharmaceutical demand and profoundly affected pharmaceutical consumption patterns worldwide [8]. In recent decades, the research and development of pharmaceuticals has received significant attention from governments, scientists, companies, individuals, and organizations around the world [9]. According to global standards for evaluating living conditions, access to medicine for healthcare is considered a vital benchmark. For this reason, the development of pharmaceuticals is consistently prioritized by world leaders as a critical element of both social security and national development [10]. Following the COVID-19 pandemic and predictions of future natural disasters that may lead to the emergence of new diseases, the role and importance of the pharmaceutical industry have become more critical than ever. As a result, this field is increasingly attracting scientific research focused on analyzing viral variants and pathogens to develop effective strategies for combating more dangerous and complex diseases [11]. If the position of the pharmaceutical industry is destabilized, it could lead to shortages of essential medicines, causing widespread anxiety and disruption within society, and potentially impacting socio-political stability [12]. Moreover, against the backdrop of rapid population growth, persistent conflicts, and the emergence of epidemics, the demand for medicines continues to escalate, further complicating the global healthcare landscape [13]. There is a growing global trend toward the use of natural products such as raw materials in the production of medicines, health supplements, cosmetics, functional foods, nutritional products, and herbal beverages, all designed to promote and safeguard human health [14].
Triterpenoids are a class of terpenes composed of six isoprene units with the molecular formula C30H48. They can also be considered as consisting of three terpene units. Triterpenoids are a group of naturally occurring chemical compounds found in various animal and plant species [15,16]. Triterpenoids fulfill diverse functions in chemistry, acting as key precursors in the biosynthesis of various compounds such as steroids and saponins [17]. Triterpenoids are considered essential bioactive components in traditional medicine throughout many countries, such as China, Japan, Korea, and Vietnam [18]. Triterpenoids are compounds found in numerous plants, belonging to the isoprenoid group. These compounds are often present in plants as glycosides and saponins. Due to their diverse bioactivities and abundant availability, triterpenoids are considered a promising source of raw materials for the pharmaceutical industry [19].
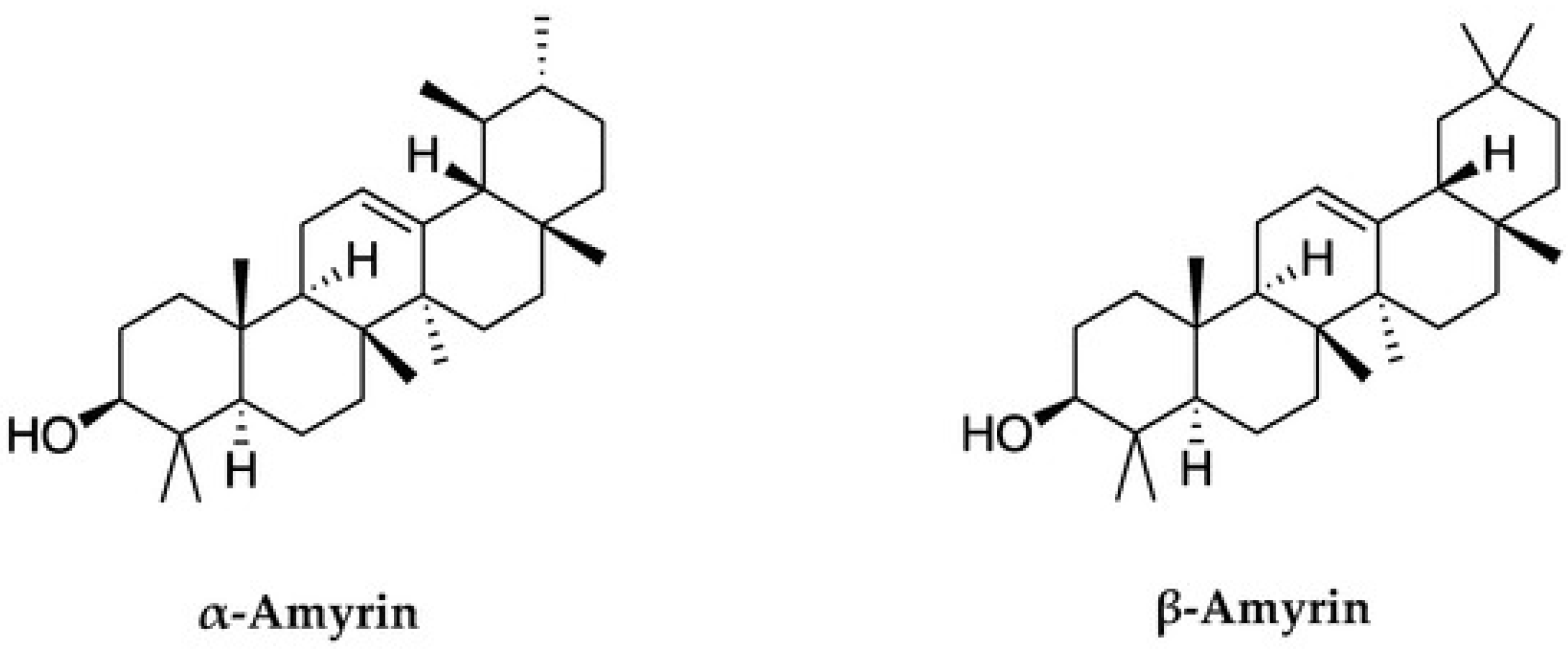
Within the class of triterpenoid acids, α-amyrin (characterized by an ursane skeleton) and β-amyrin (characterized by an oleanane skeleton) are two structurally related compounds, both belonging to the triterpenoid acid group [20]. Among these, ursane-type triterpenes, derived from α-amyrin, are the most common triterpenes, while oleanane-type triterpenes are derived from β-amyrin [21]. Amyrins occur in the surface wax of tomato fruit and dandelion coffee. Particularly, these two compounds have been extensively researched and were successfully extracted by the authors in significant quantities (10.75 g/kg) from the leaves of Celastrus hindsii [22].
α-Amyrin and β-amyrin are two representative compounds within the triterpenoid group. These compounds have similar chemical formulas but differ in the molecular structure of the α- and β-forms. In α-amyrin, the (CH3-29) group is attached at carbon position C19 facing forward, while the (CH3-30) group is attached at carbon position C20 facing backward. In β-amyrin, both the (CH3-29) and (CH3-30) groups are attached at carbon position C20 and face forward (Figure 1) [20,21,23]. α-Amyrin and β-amyrin are commonly found in plants, and previous research has successfully extracted them from Celastrus hindsii. However, the pharmaceutical values of these compounds are not widely known, and their isolation remains challenging. Therefore, this study clarified the therapeutic potential and biological activities of the two compounds. It served as a comprehensive summary of their value, aiming to maximize the inherent potential of this compound mixture as a foundation for the development of future pharmaceutical products.
Figure 1.
Molecular structure of α-amyrin and β-amyrin [23].
2. Materials and Methods
This study was carried out based on a comprehensive review of 550 scientific articles concerning α- and β-amyrins. Among these, 400 articles were screened and identified as relevant to the objectives of this research. From these, 350 articles with content most closely aligned with the research objectives were selected. Subsequently, 108 articles were excluded due to limitations in transparency, inadequate language clarity, or lack of indexing within the Science Citation Index (SCI) system. Ultimately, 242 articles containing the most comprehensive and clearly presented content and data were selected to serve as the foundation for this research project (Figure 2). This article integrates knowledge from reputable global sources. The information and data were derived from authoritative indexing systems, including the Science Citation Index (SCI), Science Citation Index Expanded (SCIE), and the Institute for Scientific Information (ISI), all of which cover high-quality research published in a vast number of peer-reviewed journals worldwide. The foundation of this research is a rigorously selected database of 242 scientific articles sourced from reputable academic publishers, including Springer, Elsevier, Wiley-Blackwell, Taylor & Francis, Oxford University Press, Cambridge University Press, the University of Chicago Press, InderScience Publishers, and Edward Elgar Publishing, covering the period from 1999 to 2025. Furthermore, the study integrates the authors’ expertise, informed by two prior research publications in MDPI-indexed journals.
Figure 2.
PRISMA flow diagram of the literature included in the review.
3. Results
3.1. Anti-Inflammatory Potential of α- and β-Amyrins
The anti-inflammatory properties of α- and β-amyrins were assessed in a rat model of acute periodontitis, in which the condition was induced by ligating the upper right second molar. Two hours prior to ligature placement, rats received intraperitoneal injections of α- and β-amyrins at doses of 5–10 mg/kg. Lumiracoxib and dexamethasone were used as positive controls, while a placebo group served as the negative control. Six hours after induction, plasma levels of tumor necrosis factor-α (TNF-α) were measured. After 24 h, the rats were sacrificed, and gingival tissues were analyzed using myeloperoxidase (MPO) activity and thiobarbituric acid reactive substance (TBARS) assays. The results showed that α- and β-amyrins, particularly at the 5 mg/kg dose, significantly reduced markers of inflammation. While lumiracoxib produced variable effects on the measured parameters, α- and β-amyrins demonstrated notable efficacy in mitigating acute inflammation. These results underscore the potential of α- and β-amyrins as promising therapeutic agents for managing inflammation associated with periodontal disease, and they highlight the need for further research into their efficacy in preventing chronic bone loss [24].
The anti-inflammatory and analgesic effects of α- and β-amyrin were assessed in experimental models involving the activation of cannabinoid receptor type 1 (CB1) and type 2 (CB2) signaling pathways. The findings demonstrated that both compounds markedly inhibited the production of pro-inflammatory cytokines and downregulated the expression of nuclear factor-kappa B (NF-κB) binding protein and cyclooxygenase (COX) enzymes. These results indicated that α- and β-amyrins may exert their anti-inflammatory effects, at least partially, through modulation of the endocannabinoid system, thereby highlighting their potential as therapeutic candidates for the treatment of inflammation and pain-related disorders [25].
The anti-inflammatory properties of α- and β-amyrin were evaluated in a TNBS-induced murine model of colitis, with the compounds administered in a 1:1 ratio. Following the induction of colitis via rectal administration of trinitrobenzene sulphonic acid (TNBS), the animals were monitored for 72 h to assess clinical and biochemical parameters. Systemic treatment with α- and β-amyrin (3 mg/kg, intraperitoneally) was compared to treatment with dexamethasone and to a vehicle-treated control group. Disease progression was evaluated through both macroscopic and microscopic assessments of colonic lesions, along with measurements of myeloperoxidase (MPO) activity and cytokine levels. Immunohistochemical analysis was performed to assess the expression of cyclooxygenase-2 (COX-2), vascular endothelial growth factor (VEGF), phosphorylated NF-κB (phospho-p65), and phosphorylated cAMP response element-binding protein (phospho-CREB). TNBS-induced colitis was characterized by severe tissue damage, marked neutrophil infiltration, and elevated levels of pro-inflammatory mediators. Treatment with α- and β-amyrin led to notable improvements in colonic tissue morphology, a significant reduction in polymorphonuclear cell infiltration, decreased levels of interleukin-1β (IL-1β), and restoration of the anti-inflammatory cytokine interleukin-10 (IL-10) in the colon. Furthermore, α- and β-amyrin markedly suppressed the expression of vascular endothelial growth factor (VEGF), cyclooxygenase-2 (COX-2), phosphorylated NF-κB (phospho-p65), and phosphorylated CREB (phospho-CREB). These findings highlight their potent anti-inflammatory activity in TNBS-induced colitis and underscore their potential as therapeutic candidates for the treatment of inflammatory bowel disease (IBD) [26].
α- and β-Amyrin exhibit potent anti-inflammatory activity, notably through modulation of the endocannabinoid system. In a murine model of colitis induced by dextran sulfate sodium (DSS), administration of these compounds significantly attenuated the severity of colonic lesions. This therapeutic effect was associated with decreased activity of inflammatory enzymes, including myeloperoxidase (MPO) and N-acetylglucosaminidase. Administration of the triterpenes also significantly reduced levels of pro-inflammatory cytokines such as tumor necrosis factor-alpha (TNF-α), interleukin-1β (IL-1β), and various chemokines, while enhancing the expression of the anti-inflammatory cytokine interleukin-4 (IL-4). Moreover, α- and β-amyrin downregulated the mRNA expression of several adhesion molecules involved in leukocyte recruitment and inflammation, including intercellular adhesion molecule-1 (ICAM-1), vascular cell adhesion molecule-1 (VCAM-1), platelet endothelial cell adhesion molecule-1 (PECAM-1), β2-integrin, CD68, and P-selectin. Importantly, these compounds also inhibited cannabinoid receptor type 1 (CB1), suggesting a role in modulating cannabinoid-mediated signaling. Additionally, they suppressed the expression of endocannabinoid-degrading enzymes such as monoglyceride lipase (MGL) and fatty acid amide hydrolase (FAAH), thereby enhancing endocannabinoid tone. Collectively, these findings support the therapeutic potential of α- and β-amyrin as novel agents for the treatment of inflammatory diseases, particularly those involving dysregulation of the cannabinoid system [27].
α- and β-amyrin have demonstrated considerable therapeutic potential in the treatment of acute pancreatitis. In a model of pancreatitis induced by L-arginine, treatment with these triterpenes significantly reduced the elevated pancreas wet weight to body weight ratio, an established marker of inflammation and edema. Furthermore, administration of α- and β-amyrin led to substantial decreases in serum amylase and lipase levels, which are key biochemical indicators of pancreatic injury. The compounds also markedly lowered concentrations of pro-inflammatory cytokines, including tumor necrosis factor-alpha (TNF-α) and interleukin-6 (IL-6). In pancreatic tissues, treatment with α- and β-amyrin reduced the activity of inflammation and oxidative stress markers, including myeloperoxidase (MPO), thiobarbituric acid reactive substances (TBARSs), and nitrate/nitrite levels. Immunohistochemical analysis further confirmed decreased expression of tumor necrosis factor-alpha (TNF-α) and inducible nitric oxide synthase (iNOS), reinforcing the observed anti-inflammatory effects. Collectively, these findings indicate that α- and β-amyrin exert both antioxidant and anti-inflammatory actions, highlighting their potential as therapeutic agents for the management of acute pancreatitis [28].
3.2. Antidiabetes Potential of α- and β-Amyrins
α- and β-amyrins have demonstrated significant antidiabetic and hypolipidemic properties in experimental models. Oral administration of these compounds resulted in marked reductions in blood glucose levels, total cholesterol, and serum triglycerides. At a dose of 100 mg/kg, α- and β-amyrin not only normalized blood glucose levels but also exhibited strong lipid-lowering effects. During oral glucose tolerance tests, elevated glucose concentrations were significantly reduced, indicating improved glucose metabolism. Additionally, plasma insulin levels and histopathological analysis of pancreatic tissue supported the beneficial role of α- and β-amyrin in preserving pancreatic function. Rats administered α- and β-amyrin at doses of 10, 30, and 100 mg/kg demonstrated dose-dependent improvements in lipid profiles. Notably, treatment at 100 mg/kg led to a substantial decrease in very low-density lipoprotein (VLDL) and low-density lipoprotein (LDL) cholesterol levels, accompanied by an increase in high-density lipoprotein (HDL) cholesterol. These findings underscore the potential of α- and β-amyrin as therapeutic agents for managing hyperglycemia and dyslipidemia. Moreover, their efficacy in reducing risk factors associated with atherosclerosis suggests their promise as lead compounds in the development of novel treatments for diabetes and cardiovascular diseases [29].
β-amyrin, extracted from the roots of Hemidesmus indicus, has demonstrated notable antidiabetic activity in experimental models. Its derivative, β-amyrin palmitate, exhibited significant antihyperglycemic effects in glucose-loaded rats. Remarkably, this compound showed potent antidiabetic activity in both alloxan-induced and streptozotocin-induced diabetic rat models, even at a very low dose of 50 µg/kg body weight. The primary mechanism of action of β-amyrin palmitate appears to involve inhibition of intestinal glucose absorption, thereby reducing postprandial hyperglycemia. These results suggest that β-amyrin and its derivatives have strong potential as lead compounds for the development of future antidiabetic therapeutics [30].
β-amyrin has been shown to possess significant antibacterial and antidiabetic properties through its enzymatic inhibitory activity. At a concentration of 24.24 µg/mL, β-amyrin effectively inhibited violacein production, with inhibit percentages ranging from 22.9 ± 1.2% to 42.1 ± 1.0%, suggesting its potential as an antiquorum sensing agent. Furthermore, β-amyrin exhibited notable α-amylase inhibitory activity, achieving inhibition rates between 49.8 ± 0.3% and 69.3 ± 1.0% at a concentration of 10 µg/mL. In addition, β-glucosidase inhibition assays further confirmed the compound’s effectiveness in targeting key carbohydrate-metabolizing enzymes. These findings highlight β-amyrin’s dual functionality in both antimicrobial and antidiabetic roles, supporting its potential development as a multifunctional therapeutic agent [31].
α-Amyrin has demonstrated significant hypoglycemic activity in murine models and has been shown to exert dual effects on peroxisome proliferator-activated receptors (PPARδ and PPARγ) in 3T3-L1 adipocytes, highlighting its potential for the management of type 2 diabetes. Mechanistically, α-amyrin activates both PPARδ and PPARγ, along with adenosine monophosphate-activated protein kinase (AMPK) and protein kinase B (Akt). These signaling pathways are crucial for the translocation of glucose transporter 4 (GLUT4), which plays a pivotal role in enhancing insulin sensitivity and combating insulin resistance. Studies suggest that α-amyrin acts as an allosteric activator of AMPK, promoting GLUT4 translocation and improving glucose uptake in target tissues. Given these multiple mechanisms, α-amyrin is considered a promising bioactive molecule for the development of novel, multi-target therapeutic strategies aimed at addressing diabetes and its associated metabolic complications [32].
β-Amyrin has been identified as a promising antidiabetic compound with beneficial effects on preventing renal failure. In vivo, streptozotocin-induced diabetic rats were used as a model for diabetic nephropathy (DN), while in vitro, high glucose (HG)-stimulated human proximal tubular HK-2 cells served as an experimental model. β-Amyrin demonstrated its ability to alleviate renal injury in diabetic rats and reduce both the inflammatory response and apoptosis in HG-stimulated HK-2 cells. Mechanistically, β-amyrin induced the upregulation of miR-181b-5p, which was found to interact with high mobility group box 2 (HMGB2), as confirmed by luciferase reporter assays. Furthermore, β-amyrin promoted the downregulation of HMGB2 expression. Overexpression of HMGB2 was shown to reverse the protective effects of miR-181b-5p on the inflammatory response and apoptosis of HG-treated HK-2 cells, suggesting that β-amyrin exerts its nonprotective effects through the miR-181b-5p/HMGB2 axis. These findings underscore β-amyrin’s potential as a therapeutic agent for managing diabetic nephropathy and preventing renal damage in diabetes [33].
β-Amyrin has demonstrated significant antidiabetic potential, as evidenced by its α-amylase inhibitory activity in vitro, with an IC50 of 19.50 µg, which is comparable to the standard antidiabetic drug acarbose (IC50: 11.25 µg). Further computational studies revealed that β-amyrin exhibits high binding affinity to four key targets involved in diabetes regulation: glucagon-like peptide-1 (GLP-1), glycogen synthase kinase (GSK), glucokinase (GK), and insulin receptor tyrosine kinase (IRTK). Additionally, β-amyrin was found to possess favorable physicochemical properties, including high stability and bioactivity, a smaller energy gap, lower hardness, and higher softness, all of which contribute to its potential as a promising lead compound for antidiabetic drug development [34].
3.3. Antiatherosclerosis Effect of α- and β-Amyrins
α- and β-Amyrins, isolated from a 95% ethanol extract of the fruits of the wild species C. scabrifolia, were evaluated for their lipid-lowering potential. Comprehensive spectroscopic and biochemical analyses were conducted to characterize the compounds. Their lipid-lowering activity was assessed using an in vitro HepG2 cell model. Results from molecular docking studies further supported the findings, indicating that both α- and β-amyrins exhibit strong potential as lipid-lowering agents [35].
α- and β-Amyrins were isolated from the stem and leaf extracts of Rhus sylvestris Siebold. Spectroscopic analysis confirmed the identity of the compounds, and cytotoxicity assays indicated that they were non-toxic at concentrations ranging from 0 to 1.0 μM. The compounds were further evaluated for their immunomodulatory properties, particularly their ability to inhibit cytokine secretion. In vitro studies using the murine macrophage cell line RAW264.7 demonstrated that α- and β-amyrins significantly reduced lipopolysaccharide (LPS)-induced secretion of interleukin-6 (IL-6) and tumor necrosis factor-alpha (TNF-α). Notably, TNF-α secretion was inhibited even at a low concentration of 0.01 μM. These findings suggest that α- and β-amyrins hold promise as potential therapeutic agents for TNF-α-related inflammatory conditions, including transplant rejection, type II diabetes, and atherosclerosis [36].
α- and β-Amyrins, isolated from Protium heptaphyllum, have demonstrated significant antiatherosclerotic potential and hepatoprotective effects. Using a mouse model of non-alcoholic fatty liver disease (NAFLD), male Swiss mice were fed a high-fat diet (HFD) for 15 weeks to induce fatty liver pathology. Histological analysis of liver tissue sections using hematoxylin and eosin (H&E) staining, along with biochemical evaluations, revealed that administration of α- and β-amyrins significantly attenuated hepatic steatosis and inflammation. Further mechanistic insights were obtained through RT-qPCR and Western blotting, which showed that these compounds reversed the expression of key signaling pathways associated with lipid accumulation and inflammatory responses. These findings support the potential of α- and β-amyrins as therapeutic agents for the prevention and treatment of NAFLD [37].
α- and β-Amyrins, isolated from Euphorbia hirta L., have demonstrated potent anti-inflammatory effects, particularly in the context of vascular inflammation. In vitro assays were conducted using endothelial cells (SVEC4-10 cell line) treated with a medium composed of 50% lipopolysaccharide (LPS)-activated macrophage culture supernatant (RAW medium). Treatment with α- and β-amyrins significantly inhibited the expression of the endothelin-1 (ET-1) gene, a known pro-inflammatory and vasoconstrictive marker. Furthermore, α- and β-amyrins restored the mRNA expression of endothelial nitric oxide synthase (eNOS), which was otherwise suppressed by RAW medium exposure. These findings suggest that α- and β-amyrins may serve as effective therapeutic agents in the prevention of vascular disorders associated with chronic inflammation [38].
The effects of α- and β-amyrins on angiogenesis and the underlying molecular mechanisms were investigated using cultured human umbilical vein endothelial cells (HUVECs). Treatment with α- and β-amyrins was found to be non-cytotoxic to HUVECs. These compounds promoted angiogenic activity by enhancing tube-like structure formation and increasing cell migration. Moreover, α- and β-amyrins significantly stimulated the phosphorylation of Akt and endothelial nitric oxide synthase (eNOS), resulting in elevated nitric oxide (NO) production. These results suggest that α- and β-amyrins promote neovascularization in endothelial cells through an Akt-eNOS signaling-dependent mechanism. Therefore, α- and β-amyrins may represent promising therapeutic agents for the treatment of vascular diseases [39].
The effects of α- and β-amyrins (20 mg/kg for 15 days) on vascular reactivity were evaluated in a mouse model of diet-induced obesity. Mice were fed a high-fat diet (HFD) for 15 weeks to induce obesity. The contractile responses of isolated thoracic aorta to potassium chloride (KCl) and phenylephrine, as well as endothelium-dependent and -independent vasodilation induced by acetylcholine and sodium nitroprusside, respectively, were assessed. Treatment with α- and β-amyrins prevented HFD-induced vascular dysfunction by restoring the attenuated contractile response to phenylephrine and improving vasodilatory responses to both acetylcholine and sodium nitroprusside. Furthermore, α- and β-amyrin administration reversed impaired K+ channel activation and restored the inhibitory effects of tetraethylammonium on vasodilation. These findings suggest that α- and β-amyrins exert significant vascular protective effects in the context of obesity-associated endothelial dysfunction [40].
3.4. Antinociceptive Effect of α- and β-Amyrins
The analgesic activity of α- and β-amyrins, extracted from Protium heptaphyllum, was evaluated using a murine model of oral pain induced by formalin or capsaicin. Mice were administered α- and β-amyrin intraperitoneally at doses of 10, 30, and 100 mg/kg. Morphine (5 mg/kg, subcutaneously) and vehicle (3% Tween 80) served as controls. Pain was induced by injecting 20 μL of formalin (1.5%) or capsaicin (1.5 g) into the orofacial region. α- and β-Amyrins significantly reduced facial rubbing behavior in both pain models. Notably, at 30 mg/kg, α- and β-amyrins potentiated the second phase of the formalin response in a naloxone-sensitive manner, indicating involvement of peripheral opioid pathways. In the capsaicin-induced pain model, α- and β-amyrins exhibited a pronounced analgesic effect at the 100 mg/kg dose. These findings suggest that α- and β-amyrins exert antinociceptive effects through mechanisms at least partially mediated by peripheral opioid receptors [41].
The antinociceptive properties of α- and β-amyrins, extracted from Protium kleinii, were evaluated in rat models of visceral and inflammatory pain. Visceral pain was induced by intravenous injection of acetic acid, and the compounds were administered via both intraperitoneal and oral routes. The treatment provided rapid and effective pain relief. Further, α- and β-amyrins were assessed in central nervous system pain pathways through formalin injections into the hind paw, examining nociceptive responses at the level of the cerebral cortex and ventricles. The compounds effectively inhibited both the neurogenic and inflammatory phases of nociception. Moreover, α- and β-amyrins significantly reduced nociceptive responses induced by 8-bromo-cAMP (8-Br-cAMP), 12-O-tetradecanoylphorbol-13-acetate (TPA), and glutamate, suggesting a broad-spectrum analgesic profile. Notably, these antinociceptive effects appeared to be independent of classical opioid, α-adrenergic, serotonergic, or nitrergic pathways. Furthermore, α- and β-amyrins significantly reduced mechanical hyperalgesia triggered by inflammatory mediators such as carrageenan, capsaicin, bradykinin, substance P, prostaglandin E2, 8-Br-cAMP, and TPA. These results suggest that α- and β-amyrins exert robust peripheral, spinal, and supraspinal antinociceptive effects, supporting their potential as novel agents for treating inflammatory and visceral pain [42].
The analgesic potential of α- and β-amyrins was demonstrated in the acetic acid-induced writhing test, where these compounds exhibited significant activity in reducing nociceptive responses. When administered orally, α- and β-amyrins effectively decreased the number of abdominal constrictions induced by acetic acid, indicating strong peripheral analgesic properties. Furthermore, in the formalin-induced pain model, α- and β-amyrins attenuated the behavioral responses associated with both the neurogenic and inflammatory phases of pain. These findings underscored the role of α- and β-amyrins in modulating pain perception and support their potential as therapeutic agents for the management of inflammatory and visceral pain [43].
Pharmacological activation of cannabinoid receptors CB1 and CB2 were a promising therapeutic strategy for the treatment of chronic pain and inflammation. In this context, α- and β-amyrins were investigated as bioactive compounds and demonstrated significant inhibition of persistent neuropathic pain and inflammation in murine models through oral administration. These triterpenes exerted their effects via both CB1 and CB2 receptor pathways. Notably, α- and β-amyrins exhibited strong inhibitory activity against the hydrolysis of 2-arachidonoyl glycerol (2-AG) in porcine brain homogenate, suggesting an indirect cannabimimetic mechanism. Rather than binding directly to cannabinoid receptors, α- and β-amyrins appear to enhance endocannabinoid signaling by preventing the enzymatic degradation of 2-AG. These findings position α- and β-amyrins as potential lead compounds for the development of novel analgesic and anti-inflammatory therapies targeting the endocannabinoid system [44].
3.5. Antigout Effect of α- and β-Amyrins
α- and β-Amyrin extracted from Celastrus hindsii were shown to possess antigout potential by inhibiting the activity of the xanthine oxidase (XO) enzyme, with an IC50 value of 258.22 µg/mL [23]. Compounds α- and β-amyrins, isolated from Tabebuia roseoalba leaves and identified in ethanol extracts by HPLC analysis, were shown to reduce serum uric acid concentrations and inhibit the inflammatory process associated with gout. The study evaluated their antihyperuricemic, hepatic xanthine oxidoreductase inhibitory, and anti-inflammatory activities in hyperuricemic rats and monosodium urate crystal-induced paw edema models [45]. β-Amyrin significantly reduced serum uric acid levels in hyperuricemic rats by inhibiting hepatic xanthine oxidase activity and effectively reduced monosodium urate crystal-induced paw edema. These findings suggest that β-amyrin is a promising agent for the treatment of gouty arthritis, hyperuricemia, and related inflammatory conditions [46].
α- and β-Amyrin were isolated from the pericarp, heartwood, and seed of Garcinia subelliptica. Structural identification of these triterpenoids was confirmed through spectroscopic analysis, including techniques such as NMR and mass spectrometry. Both compounds demonstrated a notable inhibitory effect on xanthine oxidase (XO), an enzyme involved in purine metabolism and a key contributor to uric acid production. This suggests their potential antigout and antioxidant applications. Flow cytometric analysis revealed that treatment of NTUB1 cells with compound 1, either alone or in combination with cisplatin, resulted in cell cycle arrest and a significant increase in apoptotic cell death after 24 h of exposure. These data suggested that the induction of cell cycle arrest and apoptosis in NTUB1 cells treated with compound 1 or with a combination of compound 1 and cisplatin for 24 h is mediated by an increased production of reactive oxygen species (ROS) [47].
3.6. Positive Effects of α- and β-Amyrins on Nerves
α- and β-Amyrins were studied for their pharmacological effects on sleep in mice. The sleep was induced using pentobarbital, and the mice were then administered α- and β-amyrin at concentrations of 1, 3, or 10 mg/kg. The results showed that α- and β-amyrins significantly extended the sleep duration in mice. This suggests that α- and β-amyrins have potential anti-insomnia effects, likely through the activation of the GABAergic neurotransmitter system in the brain [48]. α- and β-Amyrins isolated from Protium heptaphyllum have demonstrated anticonvulsant, sedative, and anxiolytic properties. In the study, rats were treated with α- and β-amyrins at concentrations of 2.5, 5, 10, and 25 mg/kg (i.p. or orally). The results showed a significant increase in barbiturate-induced sleep duration, confirming the sedative effect. Additionally, the study found that tyrosine levels increased by 89%, while levels of GABA and glutamate decreased by 72%, 55%, and 60%, respectively. Furthermore, excitatory amino acids were reduced, and inhibitory amino acids were increased, suggesting a shift towards a more inhibitory neurotransmitter profile [49].
α- and β-Amyrins extracted from Protium heptaphyllum were evaluated for their ability to reduce capsaicin-induced analgesia in mice. The results demonstrated that orally administered α- and β-amyrins (doses ranging from 3 to 100 mg/kg) effectively inhibited pain sensation induced by capsaicin applied to the plantar (1.6 μg) and colon (149 μg). Notably, α- and β-amyrins did not alter sleep duration, nor did they impair walking, locomotion, or cause any observable abnormalities. Additionally, these compounds significantly blocked the hyperthermic response induced by capsaicin (10 mg/kg). These findings suggest that α- and β-amyrins may be potential compounds for analgesia, likely involving the vanilloid receptor (TRPV1) and opioid mechanisms [50].
The isolation of α- and β-amyrin from Lobelia inflata leaves was studied for its effects on the central nervous system in mice. The results showed that α- and β-amyrins significantly reduced the immobility time of mice in a dose-dependent manner (5, 10, and 20 mg/kg). These compounds also dose-dependently reduce locomotor activity and potentiated methamphetamine-induced locomotor antagonism. Unlike imipramine, α- and β-amyrins did not affect haloperidol-induced rigidity, tetrabenazine-induced ptosis, or apomorphine-induced stereotypy. They also had no effect on the 5-hydroxytryptophan-induced head-clonic reaction. Additionally, α- and β-amyrins (5, 10, and 20 mg/kg) had a stronger effect on pentobarbital sodium-induced delirium than imipramine (10, 20, and 40 mg/kg). These findings suggest that α- and β-amyrins exhibit sedative and antidepressant-like effects, comparable to the activity of meandering [51].
α- and β-Amyrin, components found in the waxy surface of tomatoes and dandelion coffee, have been shown to improve memory impairment caused by cholinergic dysfunction. These compounds act as PI3K inhibitors, which help reduce long-term potentiation (LTP) impairment. In studies on Aβ-injected mouse models of Alzheimer’s disease, α- and β-amyrin were found to improve object recognition memory deficits. Furthermore, α- and β-amyrin treatment helped restore neurogenesis impairment induced by Aβ. These findings suggest that α- and β-amyrin are promising candidates for the treatment of Alzheimer’s disease [52]. The isomer mixture of α- and β-amyrin found in the resin of Protium heptaphyllum has demonstrated potential as an anti-inflammatory agent. Additionally, these compounds have been shown to have a protective effect on both the central and peripheral nervous systems, helping the brain respond to various effects on the central nervous system [53].
3.7. Anti-Parkinsonian Effects of α- and β-Amyrins
α- and β-Amyrins have been shown to offer protective effects on dopaminergic neurons by reducing 6-hydroxydopamine (6-OHDA)-induced cell damage. These compounds exhibit strong antioxidant activity, reducing intracellular reactive oxygen species (ROS) in C. elegans. α- and β-Amyrins significantly decrease α-synuclein aggregation in the NL5901 transgenic strain, upregulate LGG-1 mRNA expression, and increase the number of localized LGG-1 dots in the DA2123 transgenic strain. These results suggest that α- and β-amyrins could be beneficial in the treatment and slowing of Parkinson’s disease progression [54]. The use of α- and β-amyrins has been explored as a potential treatment to prevent Parkinson’s disease by targeting misfolded proteins and damaged organelles. These effects have been tested through mechanisms related to LGG-1, suggesting that α- and β-amyrins may play a role in mitigating the underlying causes of Parkinson’s disease [55]. Autophagy has been recognized as a promising therapeutic approach for preventing Parkinson’s disease, as it plays a crucial role in eliminating misfolded proteins and damaged organelles, which are key contributors to the disease’s progression [56]. During the process of autophagosome formation, LGG-1 plays a crucial role in structural maintenance, making it a valuable marker for monitoring autophagic activity [57].
α- and β-Amyrins have been shown to participate in the LGG-1-related autophagy pathway by enhancing LGG-1 expression and increasing the number of localized LGG-1 spots. These compounds have demonstrated the ability to protect dopaminergic neurons by reducing cell damage and preventing α-synuclein aggregation, both of which are associated with Parkinson’s disease symptoms [58]. Anti-Parkinsonian activities are closely linked to the regulation of cholesterol metabolism, as sterol-mediated cholesterol metabolism plays a significant role in neurological diseases. Low levels of LDL-C are often associated with a higher incidence of Parkinson’s disease. α- and β-Amyrins have been shown to regulate cholesterol metabolism, supporting their potential antineurological and antidementia effects. This suggests that α- and β-amyrins could be promising agents for the treatment of Parkinson’s disease [59].
3.8. Anticancer Potential of α- and β-Amyrins
Because of constant demand to develop new, effective and affordable anticancer drugs, the traditional medicinal system is a valuable and alternative resource for identifying novel anticancer agents. A study investigated the inhibitory activity of the compounds in methanolic bark extract of Shorea robusta on hepatocellular carcinoma by molecular docking studies on isolated α- and β-amyrins compounds. These compounds are used for docking on human oncogene protein. Docking studies of designed compounds were carried out using molecular docking servers. The recorded for alpha and beta amyrin binding with human Ras protein was −9.36 kcal/mol and −8.90 kcal/mol, respectively. Frontier singly occupied molecular orbitals (SOMO) were studied by density functional theory (DFT) and time dependent-DFT calculations. Among the calculated band gap energies, the β-MOs of α- and β-amyrin compounds have a very narrow band gap (−1.057 eV). These findings explain the anticancer activities of alpha and beta amyrin from Shorea robusta [60].
Another study aimed to evaluate the chemical composition of P. heptaphyllum resin and cytotoxicity on a breast cancer cell line (MCF-7). The chemical composition of the resin was determined by gas chromatography coupled with a mass spectrometer. Cytotoxicity was evaluated using an MTT assay. Annexin V-FITC, caspase-3, Angiotensin Converting Enzyme activity, and Tumor Necrosis Factor alpha (TNF-α) assays were performed to evaluate apoptosis and inflammatory events. The resin consisted of triterpenes, such as α- and β-amyrin. Cytotoxicity was only observed in fractions enriched with α- and β-amyrin. The resin and fractions elicited antiproliferative activity, increased activity of caspase-3 and ACE, and decreased the TNF-α level. Altogether, the resin and fractions enriched with α- and β-amyrin promoted cytotoxicity and apoptosis [61].
α- and β-Amyrins have been studied to exhibit significant pharmacological properties. One study was conducted to investigate the anticancer and pro-apoptotic effects of β-amyrin against HepG2 liver cancer cells. The antiproliferative potential of α- and β-amyrins was evaluated using the MTT assay. Apoptosis was assessed through DAPI staining, and DNA damage was analyzed using the comet assay. Cell cycle analysis was performed using flow cytometry, and protein expression levels were assessed by Western blotting. β-Amyrin exhibited significant anticancer activity against Hep-G2 liver cancer cells, with an IC50 value of 25 µM. The anticancer effects of α- and β-amyrins were attributed to the induction of apoptosis and G2/M phase cell cycle arrest in a dose-dependent manner. Based on the results of the study, α- and β-amyrins may represent a promising lead compound for the treatment of liver cancer [62].
The anticancer activity of α- and β-amyrins have been evaluated in various therapeutic combinations against colon cancer, aiming to identify the key mechanisms involved in mitigating nickel-induced carcinogenesis. To evaluate the ligand–protein interactions of four selected compounds with Vascular Endothelial Growth Factor (VEGF), Matrix Metalloproteinase-9 (MMP-9), and Interleukin-10 (IL-10), a molecular docking approach was employed using the PyRx bioinformatics tool. Ten rats, each weighing between 160 and 200 g, were administered intraperitoneal injections of nickel at a dose of 1 mL/kg once per week for three months. Following this exposure, the rats were treated with β-amyrin at a dose of 100 mg/kg body weight for one month. Correlation analysis was performed using Pearson’s correlation matrix. All parameters were significantly elevated in the positive control group, indicating pronounced inflammation. The study concluded that α- and β-amyrins are potent anticancer agents capable of targeting cancer biomarkers and hold future promise as a superior therapeutic approach against colon cancer [63].
Natural α- and β-amyrins were isolated from the endemic Brazilian plant Esenbeckia grandiflora Mart., and eight synthetic derivatives were subsequently obtained through esterification with bromoacetate, followed by treatment with various amines. The structures of all compounds were confirmed through analysis of 1H and 13C nuclear magnetic resonance (NMR), Fourier-transform infrared spectroscopy (FTIR), and high-resolution mass spectrometry (HRMS) data. The synthetic derivatives were evaluated for their cytotoxic activity against human tumor cell lines, including PC3 (prostate carcinoma), HCT-116 (colon carcinoma), and HL60 (leukemia). The HCT-116 and PC3 cell lines exhibited weak tumor growth inhibition, with inhibition ranges of 13.9–25.4% and 10.3–28.8%, respectively. In contrast, the derivatives demonstrated moderate cytotoxic activity against the HL60 leukemia cell line, with inhibition ranging from 13.6% to 59.0% [64].
α- and β-Amyrins were found to be highly active and non-toxic compounds against tumor cells. Their inhibitory effects were tested on four human tumor cell lines (HL-60, MDAMB-435, SF-295, and HCT-8), as well as on normal peripheral blood mononuclear cells (PBMCs). The results demonstrated that α- and β-amyrins exhibited significant anticancer activity while showing minimal toxicity to normal cells, making them promising candidates for further exploration in cancer therapy [65].
HeLa cells were treated with β-amyrin, and the cells were pretreated with 100 µM N-acetyl-L-cysteine for 1 h before treatment. The efficacy of β-amyrin was evaluated through antiproliferative activity measured by the MTT assay, genotoxicity using the micronucleus assay, and the determination of reactive oxygen species (ROS), nitric oxide (NO), and caspase-3 levels using fluorescence spectrophotometry and a colorimeter. Protein expression was assessed via immunoblotting. β-Amyrin (10–200 µM) inhibited the growth of cancer cells, with IC50 values ranging from 10 to 100 µM. Western blot analysis revealed that β-amyrin induced apoptosis-related proteins, including Bcl-2, caspase-3, caspase-9, phospho-p38 mitogen-activated protein kinase (MAPK), and phospho-Jun N-terminal kinase (JNK) in cancer cells. Genotoxic effects were observed following β-amyrin treatment, and HeLa cells exhibited a significant increase in total ROS. Protein expression analysis showed that β-amyrin upregulated MAPK-p38, phospho-JNK, and growth arrest and DNA damage-inducible β (GADD45β) in HeLa cells. These results suggest that β-amyrin induces apoptosis through a ROS-mediated mechanism by activating p38 MAPK and JNK pathways via the transcription factor GADD45β, which plays a major role in suppressing the growth of cervical cancer cells [66].
The mixture of α-amyrin and β-amyrin demonstrated anticancer potential against the MCF-7 breast cancer cell line with an IC50 value of 28.45 μg/mL. Importantly, this compound was not cytotoxic to normal cells, suggesting a selective action against cancer cells. These findings position α- and β-amyrin as promising candidates for developing treatments for breast cancer, with potential for fewer side effects due to their selective cytotoxicity [67].
The mixture of α-amyrin and β-amyrin, isolated from dichloromethane extract, exhibited significant antitumor activity against several cancer cell lines, including KB-oral, and NCI-H187, with IC50 values of 18.01 and 18.42 μg/mL, respectively. Additionally, α-amyrin and β-amyrin demonstrated strong antibacterial activity against Escherichia coli, with a minimum inhibitory concentration (MIC) of 31.25 μg/mL. These findings highlight the dual potential of α- and β-amyrin as both anticancer and antibacterial agents [68,69].
The study on α-amyrin and β-amyrin from Mesua ferrea stem bark demonstrated their significant in vitro anticancer activity against human colon cancer HCT116 cells. The compounds were tested using the MTT assay, which revealed their toxicity against various cancer cell lines, while also indicating their selective action, as they did not show similar toxicity to normal cell lines. This further supports the anticancer potential of α-amyrin and β-amyrin as promising therapeutic agents for cancer treatment [70].
α-Amyrin- and β-amyrin-loaded nanocapsules for intestinal delivery were evaluated, preliminarily, for their cytotoxic ability against leukemic cells. Nanocapsule formulations were designed by the solvent displacement–evaporation method. The cytotoxic potential of the nanocapsules was evaluated in vitro using different leukemic lineages. Nanocapsules coated with Kollicoat® Mae 100 P presented the smallest particle size (130 nm), the lowest zeta-potential (−38 mV), and the narrowest size distribution (PdI = 0.100). The entrapment efficiency was 65.47%, while the loading capacity was 2.40%. Nanocapsules release 100% of α-amyrin in 40 min (pH 7.4) by using a possible mechanism of swelling–diffusion. The formulation showed excellent on-shelf physicochemical stability for one year. Additionally, nanocapsules produced a selective cytotoxic effect on a human leukemia lineage Kasumi-1, an acute myeloid leukemia cell line, and produced cell death by apoptosis. α-Amyrin-loaded nanocapsules appear to be a promising nanoformulation that could be used against leukemia [71].
3.9. Antibacterial Potential of α- and β-Amyrins
The mixture of α- and β-amyrins isolated from Protium heptaphyllum demonstrates significant antibacterial activity against Escherichia coli and Staphylococcus aureus strains, including multidrug-resistant strains. Additionally, these compounds effectively inhibit efflux resistance mechanisms in S. aureus strains 1199B and K2068, which carry the NorA and MepA efflux pumps. α- and β-Amyrins showed a higher affinity for these efflux pumps (NorA and MepA) compared to commonly used antibiotics like ciprofloxacin and norfloxacin. This suggests that α- and β-amyrins may enhance antibiotic activity by inhibiting efflux pumps, thus preventing bacteria from expelling the antibiotics. These findings support the potential of α- and β-amyrins as promising antibacterial agents, especially when combined with conventional antibiotics, to combat multidrug-resistant infections [72].
A study demonstrated that the mixture of α- and β-amyrin isolated from Morinda lucida leaves exhibited strong antibacterial activity against multidrug-resistant strains of Enterobacteriaceae, including Klebsiella, Pragia, Serratia, Enterobacter, Providencia, and E. coli. The compound mixture showed inhibition zones ranging from 15 to 18 mm at a concentration of 0.093 µg/mL. These results suggest that α- and β-amyrins from M. lucida could be potent agents for treating infections caused by antibiotic-resistant bacteria. This supports the traditional use of M. lucida in herbal medicine, and these compounds may offer alternative or complementary treatment for infectious diseases that are resistant to conventional antibiotics [73].
Another study demonstrated that the α- and β-amyrin fraction (3.4 mg/mL) from C. trichotomum exhibited significant antibacterial activity against E. coli, S. aureus, and H. pylori. The compounds showed inhibition zones of 12 mm against E. coli and 13 mm against H. pylori, indicating their potential as antibacterial agents. At a lower concentration of 1.7 mg/mL, α- and β-amyrins still showed inhibition against H. pylori, with inhibition zones of 10 mm and 11 mm, respectively. These findings suggest that α- and β-amyrins from C. trichotomum could serve as promising therapeutic agents against infections caused by these bacterial strains, offering a potential alternative to traditional antibiotics [74].
3.10. Anti-HIV Potential of α- and β-Amyrins
The potential of α- and β-amyrins in combating HIV has been studied with promising outcomes. These compounds were extracted from the stems and roots of Kadsura lancilimba. Their structures and stereo chemistries were identified primarily from mass and NMR spectral data. α- and β-Amyrins inhibited HIV replication with an (IC50: 1.4 μg/mL). α- and β-Amyrins have shown antiviral activity, particularly against HIV, making them a significant discovery in the pursuit of treatments for this “disease of the century.” Their therapeutic potential could be a step forward in developing alternative treatments for HIV, especially given the ongoing need for more effective antiviral drugs [75]. This underscores the urgent need for safer, more effective drugs to combat resistant strains and advance acquired immunodeficiency syndrome (AIDS) therapeutics. α- and β-Amyrins were identified from Uncaria rhynchophylla hooks. These compounds exhibited potent inhibition of HIV-1 protease (PR), one of the essential enzymes in the virus’s life cycle, with 3β-hydroxy-27-p-Z-coumaroyloxyurs-12-en-28-oic acid (8) showing the most potent inhibitory activity.In a study using in silico docking, triterpene ester 8 demonstrated conventional hydrogen bonding with specific amino acid residues, Asp29B, Lys45B, and Asn25A, interacting with the aromatic hydroxyl group at position 7 and the carboxylic acid at position 28. Additionally, these interactions occur via π–anion and π–alkyl and alkyl hydrophobic interactions, which are responsible for the compound’s mode of action. These molecular docking studies strongly confirmed an excellent SAR. The study suggests that triterpene esters from U. rhynchophylla could represent a new class of potent HIV-1 PR inhibitors with less toxicity, suitable for combination antiretroviral therapy for AIDS [76]. The isolation of α- and β-amyrins, along with 10 other triterpene compounds from dried stems of Stauntonia obovatifoliola Hayata subsp, represented a significant step in the search for potential anti-HIV agents. Through the analysis of high-resolution EI/FAB-MS spectral data and 1D and 2D NMR spectra, the structures of these compounds were elucidated. Notably, α- and β-amyrins, along with other compounds from this plant, demonstrated HIV-1 protease inhibitory activity in the studies. This discovery highlighted the potential of these triterpenes as promising candidates for the development of novel anti-HIV therapies. Further, these results emphasize their importance in addressing the ongoing global HIV/AIDS epidemic [77]. α- and β-Amyrins, isolated from the leaves and twigs of Gardenia carinata, were structurally characterized using spectroscopic methods. These triterpenoids exhibited notable biological activities, specifically antitopoisomerase IIα and anti-HIV-1 properties. Remarkably, α- and β-amyrins were found to be completely non-cytotoxic, indicating their potential as safe therapeutic agents. The ability of these compounds to inhibit topoisomerase IIα, an enzyme critical in DNA replication and transcription, alongside their anti-HIV-1 activity, positions them as promising candidates for further research in the development of novel treatments for cancer and HIV, with minimal toxicity [78].
α- and β-Amyrins are triterpenoids that were isolated from Cassine xylocarpa stem and Maytenus cuzcoina root bark and studied for their anti-HIV potential. The structures of these compounds were elucidated using 1D and 2D NMR techniques. To enhance their anti-HIV activity, derivatives of triterpenoids were synthesized through chemical modification of parent compounds. These modified derivatives exhibited inhibitory effects on HIV replication, with IC50 values (4.08, 4.18, 1.70 μM) in the micromolar range. This indicates their strong potential as anti-HIV agents. The findings support the idea that α- and β-amyrins, both in their natural form and as modified derivatives, could be developed as valuable therapeutic agents for the treatment of HIV [79]. α- and β-Amyrin derivatives have demonstrated potent anti-HIV activity, with the derivatives being specifically characterized based on their C-3 configuration. This study aimed to explore how modifications to the C-3 position and the overall triterpene backbone influence their anti-HIV effectiveness. The results provided valuable insights into the structure–activity relationship of α- and β-amyrins, highlighting how changes in the chemical structure can enhance their ability to inhibit the growth of HIV cells. This research further identifies α- and β-amyrins, particularly their modified derivatives, as promising candidates for the development of anti-HIV therapies. The study emphasizes the importance of structural modifications in improving the efficacy of natural compounds in combating complex diseases like HIV [80].
3.11. The Isolation α- and β-Amyrins
The extraction of α- and β-amyrins from C. hindsii has proven highly effective, yielding a remarkable amount of 10.75 g/kg dry weight. This highlighted C. hindsii as a valuable source of raw material for α- and β-amyrins extraction. The identification and structural elucidation of the isolated compounds were carried out using advanced techniques such as gas chromatography–mass spectrometry (GC-MS), electrospray ionization–mass spectrometry (ESI-MS), and nuclear magnetic resonance (NMR). These methods enabled accurate characterization of the compounds and confirmed the effectiveness of the extraction process, thereby reinforcing C. hindsii as a promising source of bioactive triterpenoids [23].
4. Discussion
The world is currently facing a significant burden of disease. According to statistics from the World Health Organization, the global demand for pharmaceuticals increased steadily at an annual rate of 5.8% between 2014 and 2017 [81]. The demand for pharmaceuticals is expected to increase steadily at an annual rate of 9 to 11.6% in the coming years [82]. Antibiotic consumption accounted for the largest share, increasing by 16.3% from 29.5 to 34.3 billion defined daily doses (DDDs) between 2016 and 2023 [83]. Cardiovascular drugs rank second, followed by anticancer drugs in third place and anti-infectives in fourth. The fifth largest segment of the pharmaceutical market includes treatments for metabolic disorders such as diabetes, together with thyroid and pituitary diseases [84]. The demand for cholesterol-lowering drugs increased nearly fourfold, the use of antidepressants doubled, and the consumption of antihypertensives and antidiabetics nearly doubled between 1999 and 2012 [85,86]. In recent years, medications for the treatment of diabetes, hypertension, acquired immunodeficiency syndrome (AIDS), malaria, and tuberculosis have ranked among those with the highest global demand [87]. The demand for pharmaceuticals is increasing not only in quantity but also in the need for higher quality and greater variety. In particular, the COVID-19 pandemic in 2020 starkly highlighted the urgent need for effective pharmaceuticals [88]. Pharmaceutical consumption is increasing rapidly worldwide due to an aging population and the growing need for clinical management [89]. Global population growth is a major factor contributing to the increased demand for pharmaceuticals [90]. As society develops, the demand for pharmaceuticals, healthcare, and protection is increasingly focused on addressing more complex needs [91]. Therefore, the pharmaceutical industry is becoming increasingly vital, and natural compounds continue to serve as a crucial source of raw materials for drug development [92]. The discovery of natural compounds with potent biological activity has opened promising avenues for the development of new drugs [93]. The pharmaceutical industry always requires strict standards for all input materials to ensure safety, efficacy, and quality in the development of therapeutic products [94]. Therefore, the research and development of compounds such as α- and β-amyrin to serve the global pharmaceutical industry is of great importance.
Figure 3 illustrates the synthesis of α- and β-amyrin activities that have been studied, aiming to clarify the potential contributions of these compounds to the pharmaceutical industry. The pharmacological activities of the α- and β-amyrin mixture have been extensively studied both in vitro and in vivo to support future medicinal applications. Research has demonstrated that α- and β-amyrin possess a wide range of therapeutic properties, including analgesic, anti-inflammatory, anticonvulsant, antidepressant, gastroprotective, hepatoprotective, antipancreatitis, antihyperglycemic, and hypolipidemic effects [95]. α- and β-Amyrin have also been shown to exhibit anticancer and anti-inflammatory properties, and beneficial effects in cardiovascular disease, diabetes, and arthritis [96]. Notably, these compounds have been shown to be non-toxic to normal cells [97]. Therefore, α- and β-amyrin represented a promising source of raw materials for the development of future medicinal products.
Figure 3.
The summary diagram of α- and β-amyrins’s pharmaceutical potential.
Inflammation is the body’s biological response to external or internal agents [98]. Dangerous inflammatory conditions include hepatitis, appendicitis, colitis, gastritis, encephalitis, and nephritis [99]. One of the most serious inflammatory diseases is pneumonia, which is closely linked to coronavirus disease [100]. Periodontal disease leads to gum recession and deterioration of the bone structure that supports teeth [101]. Inflammation can negatively affect bone health by disrupting bone growth and accelerating bone loss [102]. Inflammation is also associated with depression, contributing to symptoms such as mood swings, loss of appetite, and sleep disturbances [103]. Inflammation can activate immune cells to respond to bacteria already present in the digestive system, leading to chronic inflammation, inflammatory bowel disease (IBD), Crohn’s disease, and ulcerative colitis [104]. Arthritis is associated with inflammation and an increased risk of cardiovascular problems [105]. Inflammation is also associated with cardiovascular disease leading to atherosclerosis in the arteries, increasing the risk of cardiovascular disease [106]. Chronic inflammation is associated with an increased risk of many types of cancer, including lung, esophageal, cervical, and gastrointestinal cancers. When immune cells initiate an inflammatory response, the regulatory ability of the immune system is impaired, creating a favorable environment for cancer cells to thrive [107,108]. Inflammation can negatively affect sleep, causing difficulty falling asleep or leading to excessive sleepiness [109]. Therefore, inflammation is not only the body’s response to harmful agents, but also at the core of many serious diseases. This study demonstrated that the anti-inflammatory potential of α- and β-amyrin (Table 1) has opened many opportunities for the development of adjuvant drugs for the treatment of related conditions.
Table 1.
The anti-inflammatory activities of α- and β-amyrins.
Diabetes is a chronic disease that affects the body’s ability to produce or use insulin, a hormone that helps convert glucose into energy [110]. The effects of diabetes are significant on the endocrine system. It causes both acute and chronic complications associated with diabetes [111]. Diabetes causes a buildup of ketones that can lead to ketoacidosis if not detected and treated promptly, which can lead to loss of consciousness or even death [112]. Diabetes can lead to kidney damage [113]. Diabetes can cause irreversible damage that can lead to kidney failure [114]. Hyperglycemic hyperosmolar syndrome (HHS) occurs in patients with type 2 diabetes. If left untreated, HHS can lead to serious complications such as heart attack, stroke, or infection [115]. Diabetes is the leading cause of gastroparesis [116]. High blood sugar, oxidative stress, and inflammation from diabetes can lead to hardening of the blood vessels [117]. Diabetes can lead to paralysis of the limbs, leaving the individual unaware of injuries or infections [118]. One of the harmful effects of diabetes is an increased risk in developing infections or diabetic foot ulcers [119]. Diabetes increases the risk of high blood pressure, which puts additional stress on the heart [120]. Diabetes can lead to various skin problems, including dry skin and skin infections [121]. Diabetes can damage peripheral nerves, impairing the patient’s ability to perceive heat, cold, and pain [122]. Diabetics are more likely to develop cataract at an earlier age than those without diabetes [123]. In 2015, approximately 422 million people worldwide were living with diabetes. The number of diabetic patients has been steadily increasing over the years, and each year around 1.5 million people die from diabetes-related complications [124]. Diabetes results in many serious consequences and poses a significant challenge to global health. Studies conducted both in vivo and in vitro have demonstrated the antidiabetic potential of α- and β-amyrin (Table 2). These findings highlight the considerable value of α- and β-amyrin and suggest numerous opportunities for developing antidiabetic drugs.
Table 2.
Studies on the antidiabetes potential of α- and β-amyrins.
Atherosclerosis causes blockages caused by plaque, which consists of fats, cholesterol, calcium, and other substances that build up on the walls of arteries [125]. Atherosclerosis disrupts blood flow, preventing oxygen and nutrients from reaching vital organs and tissues, contributing to the development of cardiovascular disease. If an atherosclerotic plaque ruptures and forms a blood clot, it can lead to a heart attack or stroke [126]. Patients with coronary atherosclerosis may experience angina and myocardial infarction, which can lead to heart failure [127]. Atherosclerosis can progress to a stroke, causing sudden weakness or numbness in one arm or leg, slurred or difficult speech, temporary loss of vision in one eye, or drooping eyelid [128]. Atherosclerosis increases the risk of stroke, heart attack, and gangrene, which can lead to amputation [129]. Atherosclerosis can lead to chronic kidney disease, preventing the kidneys from effectively removing toxins and excess fluid from the blood [130]. Atherosclerosis has been extensively studied as a cause of many dangerous complications. The strong antiatherosclerotic potential of α- and β-amyrin is documented in Table 3, opening new opportunities and directions for the development of pharmaceutical products. These findings highlight the value of α- and β-amyrin in supporting and treating diseases related to atherosclerosis.
Table 3.
Studies on the antiatherosclerosis potential of α- and β-amyrins.
Nociception is the process by which noxious stimuli are encoded by the sensory nervous system. A series of events and processes are required for an organism to detect a painful stimulus, which is then converted into a molecular signal. This signal is recognized and processed to activate the appropriate response [131]. Nociception causes discomfort and may indicate that tissues are being damaged. To alleviate this, antinociceptive treatments are often used. While these treatments may not eliminate pain, they provide relief, helping the patient feel more comfortable [132]. Antinociception drugs are effective in the treatment of headaches, colds, and flu [133]. Antinociception drugs are used for muscle pain [134], joint pain [135], and back pain due to disc herniation or spinal stenosis [136]. Antinociception is applied to treat physical trauma [137], surgery [138], or childbirth [139]. Non-steroidal anti-inflammatory pain relievers (NSAIDs) comprise a group of drugs that includes meloxicam, piroxicam, aspirin, diclofenac, indomethacin, etc. This group of drugs is used to treat fever, headaches and pain, colds, and sinusitis [140]. Non-steroidal anti-inflammatory pain relievers (NSAIDs) have been studied and shown to provide a novel mechanism for antinociception [141]. Paracetamol pain reliever is the most popular drug and is the basic pain reliever in treating mild to moderate pain, especially fever reduction [142]. Paracetamol pain reliever is a kind of antinociception [143]. Thus, α- and β-amyrin have been proven to possess antinociceptive properties (Table 4). This indicates that α- and β-amyrin hold significant value, comparable to many other pharmaceuticals, in treating various diseases and complications related to nociception. α- and β-Amyrin were considered valuable discoveries in the development of effective pharmaceutical treatments.
Table 4.
Studies on the antinociceptive potential of α- and β-amyrins.
Gout is a common form of arthritis characterized by sudden and severe pain in the joints, particularly in the toes, fingers, and knees. The affected joints become red, swollen, and extremely painful, often making it difficult for patients to walk [144]. Gout occurs in individuals who have elevated levels of uric acid in their blood. It can form sharp, needle-like crystals that accumulate in the joints, causing intense pain and inflammation [145]. Uric acid crystals can accumulate in the tubes that carry urine from the kidneys to the bladder, leading to the formation of kidney stones [146]. Tophi are deposits of urate crystals that form around joints in people with long-term gout. These crystals appear as nodules, bulging underneath the skin in areas such as the feet, knees, wrists, fingers, and heel tendons [147]. The areas surrounding the tophi are often hot, soft, swollen, and painful. This swelling can limit joint movement, reduce the range of motion, and cause significant difficulty in daily activities [148]. Chronic gouty arthritis can result in permanent joint damage, leading to deformity and stiffness [149]. High uric acid levels in the body can lead to kidney stones [150]. Gout can lead to kidney failure, increasing the risk of kidney damage, potentially causing scarring that impairs kidney function [151]. Complications of gout can also include bone fractures, which weaken bones, increase the risk of osteoporosis, and make patients more susceptible to fractures [152]. Although gout does not directly cause cardiovascular disease, studies show that people with gout are twice as likely to have a heart attack or stroke as people without the disease. Cardiovascular complications associated with gout are particularly dangerous because patients are twice as likely to die from heart failure as people without gout [153]. Many people with gout have sleep disturbances because gout attacks often flare up at night. Gout can cause fatigue, stress, and a host of other health problems associated with insomnia [154]. Decreased bone density is a common complication of gout, due to bone damage and impaired bone function. This increases the risk of other bone and joint diseases, including osteoporosis, osteoarthritis, and fractures [155,156]. The impact of gout on human life and health is of great concern. The discovery of the antigout potential of α- and β-amyrin (Table 5) is considered a breakthrough in the development of pharmaceuticals that can effectively treat this condition. The harmful effects of gout on human life and health are concerning. The discovery of the antigout potential of α- and β-amyrin (Table 5) is considered a significant breakthrough in the development of pharmaceuticals that can effectively treat this condition.
Table 5.
Studies on the antigout potential of α- and β-amyrins.
Sedatives work by slowing down brain activity, helping to calm and regulate the nervous system. These drugs have a direct effect on the central nervous system, either stimulating or inhibiting nerve activity to prevent and treat various conditions [157]. Insomnia is a type of sleep disorder that manifests in various forms, including difficulty falling asleep, trouble staying asleep, waking up too early despite not obtaining enough rest, and being unable to return to sleep after waking [158]. Insomnia can be a symptom of underlying mental health conditions [159]. The positive effects of α- and β-amyrin on the nervous system, including sedation and promoting better sleep, are considered among its greatest values (Table 6). These findings have shown the promising potential of this compound in the development of pharmaceuticals and functional foods aimed at sedatives, sleeping aids, and supporting or stimulating the nervous system.
Table 6.
Studies on the positive effects of α- and β-amyrins on nerves.
Parkinson’s disease is a neurological disorder that typically occurs when a group of brain cells degenerate, impairing the brain’s ability to control muscle movements. This leads to difficulties in walking, slow leg movements, and hand tremors. As the disease progresses, it can affect nerve cells, leading to a deficiency of dopamine, a key neurotransmitter involved in motor control [160]. Progressive Parkinson’s disease can increase the risk of death, particularly as symptoms, such as hallucinations, cognitive decline, worsening motor disability, comorbidities, and prolonged disease duration, become more severe [161]. Individuals with advanced Parkinson’s disease may experience falls, pressure ulcers, difficulty swallowing, and weakness. These complications are associated with an increased risk of early death [162]. Thus, finding effective pharmaceuticals to treat Parkinson’s disease is an urgent need. The results demonstrating the potential of α- and β-amyrin in treating Parkinson’s disease (Table 7) offer promising opportunities to develop pharmaceuticals that can support and treat this condition.
Table 7.
Studies on the anti-Parkinsonian potential of α- and β-amyrins.
Cancer is a group of diseases that can originate in various organs and tissues throughout the human body. These cells grow beyond the normal regulatory boundaries of the body and can invade nearby tissues. When cancer spreads to other parts of the body through the bloodstream or lymphatic system, a process known as metastasis, it leads to complex complications and is a major cause of death [163]. Cancer is recognized as the leading cause of death worldwide, posing a major challenge to global public health. In 2020 alone, there were approximately 18 million new cancer diagnoses and 10 million cancer-related deaths. According to the World Health Organization (WHO), cancer is the second leading cause of death after cardiovascular diseases in 112 countries and territories [164]. As shown in Table 8, the global cancer burden remains alarming, characterized by a substantial number of new diagnoses and deaths. Lung cancer leads in mortality, followed sequentially by colorectal, liver, female breast, and stomach cancers [165].
Table 8.
New cases and deaths in 2022 from 20 cancers and all cancers combined.
The overall incidence of cancer is expected to be two to three times higher in some countries. Globally, the cancer burden is projected to reach 28.4 million cases by 2040, representing a 47% increase from 2020 [166]. The world is currently confronted with significant challenges arising from the increasing burden of cancer. Consequently, the discovery and development of effective cancer therapies has become an urgent global priority [167]. α- and β-Amyrins have demonstrated strong anticancer activities (Table 9), making them highly valuable compounds. These research findings played an important role in the development of pharmaceuticals and functional foods aimed at supporting and treating various types of cancer.
Table 9.
Studies on the anticancer potential of α- and β-amyrins.
Bacteria are responsible for numerous human diseases and can be transmitted via ingestion (fecal oral route), inhalation (airborne or droplet transmission), or close contact with an infected person or contaminated surface. Once bacteria infect the host, a compromised immune system due to factors such as age, chronic illness, or immunosuppression can enable bacterial proliferation and progression to clinical disease [168]. The detrimental effects of bacteria can be extremely serious, as they can thrive and multiplying rapidly in diverse environments. Moreover, their microscopic size makes them invisible to the naked eye, rendering detection and control more challenging. These characteristics emphasize the critical importance of studying bacterial infectious diseases and implementing effective preventive measures to safeguard human health [169]. Since the discovery of bacteria, it has become clear that they pose a significant danger to humans, causing and spreading various diseases. There is no part of the human body that is immune to bacterial infection [170]. Bacteria can multiply in the body and release toxins that can damage the body’s tissues, leading to sickness [171]. Sore throats, staphylococcal infections, cholera, tuberculosis, and food poisoning are all caused by bacteria [172]. Bacteria are extremely dangerous causes of diseases and health problems in humans [173]. Any organ or part of the body can be susceptible to bacterial infections. If left untreated, these infections may progress rapidly and potentially lead to fatal outcomes [174].
Table 10 shows that bacteria are responsible for numerous serious diseases in humans, as they can invade and damage nearly any part of the body. Consequently, the identification of effective pharmaceutical agents to combat and treat bacterial infections is of great importance. The antibacterial potential of α- and β-amyrins, as demonstrated in Table 11, highlight their promise as potential pharmaceutical candidates for the development of effective products aimed at the prevention and treatment of bacterial infections.
Table 10.
Groups of diseases caused by bacteria.
Table 11.
Studies on the antibacterial potential of α- and β-amyrins.
Human Immunodeficiency Virus (HIV) is the virus that causes immunodeficiency in humans [196]. It attacks the immune system, specifically CD4 white blood cells, which play a crucial role in helping the body fight off infections and diseases [197]. Over time, HIV gradually weakens the immune system, making the body more vulnerable to serious infections and cancers that it would normally be able to resist [198]. This includes opportunistic infections such as pneumonia, tuberculosis, encephalitis, and oral thrush, caused by bacteria, viruses, fungi, or parasites [199]. If left untreated, HIV progresses to its final stage: AIDS (Acquired Immunodeficiency Syndrome), which significantly increases the risk of death [200]. HIV can also affect the brain and nervous system, leading to memory loss, poor concentration, depression, dementia, and potentially severe neurological complications such as meningitis and encephalitis [201]. Additionally, it raises the risk of heart attacks [202], liver cirrhosis [203], kidney failure [204], pneumonia [205], chronic diarrhea [206], weight loss [207], and malabsorption [208]. By late 2024, an estimated 40.8 million individuals worldwide were living with HIV, among them approximately 1.4 million children under the age of 15. That same year saw around 1.3 million new HIV infections and nearly 630,000 deaths resulting from AIDS-related conditions [209]. Given the alarming global impact of HIV, the discovery of α- and β-amyrins’s anti-HIV properties, as presented in Table 12, represents a meaningful contribution toward efforts to combat this disease of the century.
Table 12.
Studies on the anti-HIV potential of α- and β-amyrins.
Table 13 illustrates the mechanisms underlying the pharmaceutical activities of α- and β-amyrin. Additionally, the bioactivities of α- and β-amyrins can be explained as follows: From a molecular structural perspective, α- and β-amyrins are triterpenoids, a class of compounds composed of six isoprene units [40]. They exhibit physical properties such as a relatively high molecular weight, typically ranging from 400 to 500 Daltons, which enables them to interact with other large molecules in biological environments [210,211]. Chemically, α- and β-amyrins are triterpenoids with acidic characteristics. Consequently, they demonstrate notable antioxidant activity, allowing them to effectively scavenge free radicals [212].
Table 13.
Mechanism of formation of pharmaceutical potential of α- and β-amyrins.
Table 14 summarizes studies investigating the pharmaceutical potential of α- and β-amyrins. Most of this research has been carried out at the in vitro and in vivo levels. Furthermore, significant attention has been given to non-cytotoxicity assays to evaluate the safety profile of α- and β-amyrins. However, clinical trials specifically assessing these compounds have yet to be conducted or reported. Consequently, the absence of clinical studies represents both a challenge and a promising opportunity for future research on α- and β-amyrins. Notably, a specialized extraction method detailed in Table 15 has yielded the highest reported global quantities of α- and β-amyrins. These findings collectively highlight and reinforce the significant value of these compounds for pharmaceutical development.
Table 14.
α- and β-Amyrins’s pharmaceutical potential research level accreditation.
Table 15.
The source quantification of α- and β-amyrins.
5. Conclusions
The global demand for pharmaceuticals continues to rise steadily. The identification of the pharmacological potential of α- and β-amyrins including anti-inflammatory, antidiabetic, antiatherosclerotic, receptor-modulating, antigout, neuroprotective, anti-Parkinsonian, anticancer, anti-infective, and anti-HIV activities without significant cytotoxicity represents a valuable advancement. Numerous studies have demonstrated the efficacy of α- and β-amyrins at both in vitro and in vivo levels, thereby opening promising avenues for future clinical investigations. Owing to their diverse and adaptable biochemical response mechanisms, coupled with a unique molecular structure, α- and β-amyrins exhibit notable bioactivities. This study further corroborates the significance of our previous research by achieving the highest reported extraction yield of α- and β-amyrins worldwide, reaching 10.75 g/kg. These findings serve as an important reference for subsequent studies exploring the application of α- and β-amyrins, while also laying a foundational basis for the development of pharmaceuticals and functional foods derived from these valuable compounds.
Author Contributions
T.D.V. wrote the manuscript. L.H.A., T.D.X. and N.D.D. supervised and corrected the revised version. All authors have read and agreed to the published version of the manuscript.
Funding
This research received no external funding.
Acknowledgments
We would like to sincerely thank the Kume Sangou company, Hiroshima province, Japan for your cooperation and the favorable conditions that helped us carry out this research.
Conflicts of Interest
The Author Tran Duc Viet was employed by the Research and Development Department of Kume Sangyo Co., Ltd. The authors declare that the research was conducted in the absence of any commercial or financial relationships that could be construed as a potential conflict of interest. The authors further confirm that there are no known financial or personal relationships that could have appeared to influence the work reported in this paper.
References
- Aus der Beek, T.; Weber, F.A.; Bergmann, A.; Hickmann, S.; Ebert, I.; Hein, A.; Küster, A. Pharmaceuticals in the environment Global occurrences and perspectives. Environ. Toxicol. Chem. 2016, 35, 823–835. [Google Scholar] [CrossRef] [PubMed]
- Meyer, J.C.; Schellack, N.; Stokes, J.; Lancaster, R.; Zeeman, H.; Defty, D.; Steel, G. Ongoing initiatives to improve the quality and efficiency of medicine use within the public healthcare system in South Africa; a preliminary study. Front. Pharmacol. 2017, 8, 751. [Google Scholar] [CrossRef] [PubMed]
- Ding, B. Pharma Industry 4.0: Literature review and research opportunities in sustainable pharmaceutical supply chains. Process Saf. Environ. Prot. 2018, 119, 115–130. [Google Scholar] [CrossRef]
- Seyhan, A.A. Lost in translation: The valley of death across preclinical and clinical divide–identification of problems and overcoming obstacles. Transl. Med. Commun. 2019, 4, 18. [Google Scholar] [CrossRef]
- Fisher, M.C.; Hawkins, N.J.; Sanglard, D.; Gurr, S.J. Worldwide emergence of resistance to antifungal drugs challenges human health and food security. Science 2018, 360, 739–742. [Google Scholar] [CrossRef]
- Algorri, M.; Abernathy, M.J.; Cauchon, N.S.; Christian, T.R.; Lamm, C.F.; Moore, C.M. Re-envisioning pharmaceutical manufacturing: Increasing agility for global patient access. J. Pharm. Sci. 2022, 111, 593–607. [Google Scholar] [CrossRef] [PubMed]
- Anh, L.T.P.; Thuy, D.N. Role of Regulatory Policies and Benefits for Herbal Medicine Development in Vietnam. World News Nat. Sci. 2025, 59, 193–203. [Google Scholar]
- Gonzalez Pena, O.I.; López Zavala, M.Á.; Cabral Ruelas, H. Pharmaceuticals market, consumption trends and disease incidence are not driving the pharmaceutical research on water and wastewater. Int. J. Environ. Res. Public Health 2021, 18, 2532. [Google Scholar] [CrossRef]
- Wouters, O.J.; McKee, M.; Luyten, J. Estimated research and development investment needed to bring a new medicine to market, 2009–2018. JAMA 2020, 323, 844–853. [Google Scholar] [CrossRef]
- Perehudoff, K. Universal access to essential medicines as part of the right to health: A cross-national comparison of national laws, medicines policies, and health system indicators. Glob. Health Action 2020, 13, 1699342. [Google Scholar] [CrossRef]
- Abunna, F.; Mamo, G.; Megersa, B. One Health–A holistic solution for sustainable management of globalization-driven public health challenges. Ethiop. Vet. J. 2022, 26, 107–131. [Google Scholar] [CrossRef]
- Dalal, P.K.; Roy, D.; Choudhary, P.; Kar, S.K.; Tripathi, A. Emerging mental health issues during the COVID-19 pandemic: An Indian perspective. Indian J. Psychiatry 2020, 62, 354. [Google Scholar] [CrossRef] [PubMed]
- Gossling, S.; Scott, D.; Hall, C.M. Pandemics, tourism, and global change: A rapid assessment of COVID-19. J. Sustain. Tour. 2020, 29, 1–20. [Google Scholar] [CrossRef]
- Newman, D.J.; Cragg, G.M. Natural products as sources of new drugs over the nearly four decades from 01/1981 to 09/2019. J. Nat. Prod. 2020, 83, 770–803. [Google Scholar] [CrossRef] [PubMed]
- Roy, A.; Saraf, S. Limonoids: Overview of significant bioactive triterpenes distributed in plants kingdom. Biol. Pharm. Bull. 2006, 29, 191–201. [Google Scholar] [CrossRef]
- Garg, A.; Sharma, R.; Dey, P.; Kundu, A.; Kim, H.S.; Bhakta, T.; Kumar, A. Analysis of triterpenes and triterpenoids. In Recent Advances in Natural Products Analysis; Elsevier: Amsterdam, The Netherlands, 2020; pp. 393–426. [Google Scholar]
- Augustin, J.M.; Kuzina, V.; Andersen, S.B.; Bak, S. Molecular activities, biosynthesis, and evolution of triterpenoid saponins. Phytochemistry 2011, 72, 435–457. [Google Scholar] [CrossRef]
- Nguyen, N.H.; Ha, T.K.Q.; Yang, J.L.; Pham, H.T.T.; Oh, W.K. Triterpenoids from the genus Gynostemma: Chemistry and pharmacological activities. J. Ethnopharmacol. 2021, 268, 113574. [Google Scholar] [CrossRef]
- Mahato, S.B.; Sen, S. Advances in triterpenoid research, 1990–1994. Phytochemistry 1997, 44, 1185–1236. [Google Scholar] [CrossRef]
- Li, Y.; Wang, J.; Li, L.; Song, W.; Li, M.; Hua, X.; Xue, Z. Natural products of pentacyclic triterpenoids: From discovery to heterologous biosynthesis. Nat. Prod. Rep. 2023, 40, 1303–1353. [Google Scholar] [CrossRef]
- Luchnikova, N.A.; Grishko, V.V.; Ivshina, I.B. Biotransformation of oleanane and ursane triterpenic acids. Molecules 2020, 25, 5526. [Google Scholar] [CrossRef]
- Morita, M.; Shibuya, M.; Kushiro, T.; Masuda, K.; Ebizuka, Y. Molecular cloning and functional expression of triterpene synthases from pea (Pisum sativum) New α-amyrin-producing enzyme is a multifunctional triterpene synthase. Eur. J. Biochem. 2000, 267, 3453–3460. [Google Scholar] [CrossRef]
- Viet, T.D.; Xuan, T.D.; Anh, L.H. α-Amyrin and β-amyrin isolated from Celastrus hindsii leaves and their antioxidant, anti-xanthine oxidase, and anti-tyrosinase potentials. Molecules 2021, 26, 7248. [Google Scholar] [CrossRef]
- Holanda Pinto, S.A.; Pinto, L.M.S.; Cunha, G.M.A.; Chaves, M.H.; Santos, F.A.; Rao, V.S. Anti-inflammatory effect of α, β-Amyrin, a pentacyclic triterpene from Protium heptaphyllum in rat model of acute periodontitis. Inflammopharmacology 2008, 16, 48–52. [Google Scholar] [CrossRef] [PubMed]
- Da Silva, K.A.S.; Paszcuk, A.F.; Passos, G.F.; Silva, E.S.; Bento, A.F.; Meotti, F.C.; Calixto, J.B. Activation of cannabinoid receptors by the pentacyclic triterpene α, β-amyrin inhibits inflammatory and neuropathic persistent pain in mice. J. Pain 2011, 152, 1872–1887. [Google Scholar] [CrossRef] [PubMed]
- Vitor, C.E.; Figueiredo, C.P.; Hara, D.B.; Bento, A.F.; Mazzuco, T.L.; Calixto, J.B. Therapeutic action and underlying mechanisms of a combination of two pentacyclic triterpenes, α-and β-amyrin, in a mouse model of colitis. Br. J. Pharmacol. 2009, 157, 1034–1044. [Google Scholar] [CrossRef] [PubMed]
- Matos, I.; Bento, A.F.; Marcon, R.; Claudino, R.F.; Calixto, J.B. Preventive and therapeutic oral administration of the pentacyclic triterpene α, β-amyrin ameliorates dextran sulfate sodium-induced colitis in mice: The relevance of cannabinoid system. Mol. Immunol. 2013, 54, 482–492. [Google Scholar] [CrossRef]
- Melo, C.M.; Carvalho, K.M.M.B.; de Sousa Neves, J.C.; Morais, T.C.; Rao, V.S.; Santos, F.A.; Chaves, M.H. α, β-amyrin, a natural triterpenoid ameliorates L-arginine-induced acute pancreatitis in rats. World J. Gastroenterol. 2010, 16, 4272. [Google Scholar] [CrossRef]
- Santos, F.A.; Frota, J.T.; Arruda, B.R.; de Melo, T.S.; da Silva, A.A.D.C.A.; Brito, G.A.D.C.; Rao, V.S. Antihyperglycemic and hypolipidemic effects of α, β-amyrin, a triterpenoid mixture from Protium heptaphyllum in mice. Lipids Health Dis. 2012, 11, 98. [Google Scholar] [CrossRef]
- Nair, S.A.; Sabulal, B.; Radhika, J.; Arunkumar, R.; Subramoniam, A. Promising anti-diabetes mellitus activity in rats of β-amyrin palmitate isolated from Hemidesmus indicus roots. Eur. J. Pharmacol. 2014, 734, 77–82. [Google Scholar] [CrossRef]
- Tamfu, A.N.; Munvera, A.M.; Botezatu, A.V.D.; Talla, E.; Ceylan, O.; Fotsing, M.T.; Dinica, R.M. Synthesis of benzoyl esters of β-amyrin and lupeol and evaluation of their antibiofilm and antidiabetic activities. Results Chem. 2022, 4, 100322. [Google Scholar] [CrossRef]
- Giacoman-Martínez, A.; Alarcón-Aguilar, F.J.; Zamilpa, A.; Huang, F.; Romero-Nava, R.; Román-Ramos, R.; Almanza-Pérez, J.C. α-Amyrin induces GLUT4 translocation mediated by AMPK and PPARδ/γ in C2C12 myoblasts. Can. J. Physiol. Pharmacol. 2021, 99, 935–942. [Google Scholar] [CrossRef]
- Xu, W.; Zhang, H.; Zhang, Q.; Xu, J. β-Amyrin ameliorates diabetic nephropathy in mice and regulates the miR-181b-5p/HMGB2 axis in high glucose-stimulated HK-2 cells. Environ. Toxicol. 2021, 37, 637–649. [Google Scholar] [CrossRef]
- Rathinavel, T.; Ammashi, S.; Gnanendra Shanmugam, S.T. Identification of anti-diabetic phytocompounds from Ficus racemosa and its validation through in silico molecular modeling. Int. J. Adv. Sci. Eng. 2019, 5, 1085–1098. [Google Scholar]
- Zhu, Q.J.; Lang, L.J.; Wang, Y.; Zhang, D.Q.; Jiang, B.; Xiao, C.J. Triterpenoids from the fruits of wild species of Crataegus scabrifolia and their lipid-lowering activities. Russ. J. Bioorg. Chem. 2022, 48, 1291–1298. [Google Scholar]
- Ding, Y.; Nguyen, H.T.; Kim, S.I.; Kim, H.W.; Kim, Y.H. The regulation of inflammatory cytokine secretion in macrophage cell line by the chemical constituents of Rhus sylvestris. Bioorg. Med. Chem. Lett. 2009, 19, 3607–3610. [Google Scholar] [CrossRef] [PubMed]
- De Lima, R.P.; Nunes, P.I.G.; Viana, A.F.S.C.; de Oliveira, F.T.B.; Silva, R.A.C.; Alves, A.P.N.N.; Santos, F.A. α, ß-Amyrin prevents steatosis and insulin resistance in a high-fat diet-induced mouse model of NAFLD via the AMPK-mTORC1-SREBP1 signaling mechanism. Braz. J. Med. Biol. Res. 2021, 54, e11391. [Google Scholar]
- Shih, M.F.; Cherng, J.Y. Reduction of adhesion molecule production and alteration of eNOS and endothelin-1 mRNA expression in endothelium by Euphorbia hirta L. through its beneficial β-amyrin molecule. Molecules 2014, 19, 10534–10545. [Google Scholar] [CrossRef] [PubMed]
- Ishii, M.; Nakahara, T.; Ikeuchi, S.; Nishimura, M. β-Amyrin induces angiogenesis in vascular endothelial cells through the Akt/endothelial nitric oxide synthase signaling pathway. Biochem. Biophys. Res. Commun. 2015, 467, 676–682. [Google Scholar] [CrossRef]
- Santos, F.A.; Carvalho, K.M.M.B.; Batista-Lima, F.J.; Nunes, P.I.G.; Viana, A.F.S.C.; da Silva, A.A.d.C.A.; de Brito, T.S. The triterpenoid alpha, beta-amyrin prevents the impaired aortic vascular reactivity in high-fat diet-induced obese mice. Naunyn-Schmiedeberg’s Arch. Pharmacol. 2017, 390, 1029–1039. [Google Scholar] [CrossRef]
- Pinto, S.H.; Pinto, L.M.S.; Guedes, M.A.; Cunha, G.M.A.; Chaves, M.H.; Santos, F.A.; Rao, V.S. Antinoceptive effect of triterpenoid α, β-amyrin in rats on orofacial pain induced by formalin and capsaicin. Phytomedicine 2008, 15, 630–634. [Google Scholar] [CrossRef]
- Otuki, M.F.; Ferreira, J.; Lima, F.V.; Meyre-Silva, C.; Malheiros, A.; Muller, L.A.; Calixto, J.B. Antinociceptive properties of mixture of α-amyrin and β-amyrin triterpenes: Evidence for participation of protein kinase C and protein kinase A pathways. J. Pharmacol. Exp. Ther. 2005, 313, 310–318. [Google Scholar] [CrossRef]
- Soldi, C.; Pizzolatti, M.G.; Luiz, A.P.; Marcon, R.; Meotti, F.C.; Mioto, L.A.; Santos, A.R. Synthetic derivatives of the α-and β-amyrin triterpenes and their antinociceptive properties. Bioorg. Med. Chem. 2008, 16, 3377–3386. [Google Scholar] [CrossRef]
- Chicca, A.; Marazzi, J.; Gertsch, J. The antinociceptive triterpene β-amyrin inhibits 2-arachidonoylglycerol (2-AG) hydrolysis without directly targeting cannabinoid receptors. Br. J. Pharmacol. 2012, 167, 1596–1608. [Google Scholar] [CrossRef]
- Ferraz-Filha, Z.S.; Araújo, M.C.D.P.M.; Ferrari, F.C.; Dutra, I.P.A.R. Tabebuia roseoalba: In vivo hypouricemic and anti-inflammatory effects of its ethanolic extract and constituents. Planta Med. 2016, 82, 1395–1402. [Google Scholar] [CrossRef]
- Hernandez-Vázquez, L.; Palazón Barandela, J.; Navarro-Ocaña, A. The Pentacyclic Triterpenes α, β-Amyrins: A Review of Sources and Biological Activities; IntechOpen: London, UK, 2012; pp. 487–502. [Google Scholar]
- Lin, K.W.; Huang, A.M.; Tu, H.Y.; Lee, L.Y.; Wu, C.C.; Hour, T.C.; Lin, C.N. Xanthine oxidase inhibitory triterpenoid and phloroglucinol from Guttiferaceous plants inhibit growth and induced apoptosis in human NTUB1 cells through a ROS-dependent mechanism. J. Agric. Food Chem. 2011, 59, 407–414. [Google Scholar] [CrossRef] [PubMed]
- Jeon, S.J.; Park, H.J.; Gao, Q.; Lee, H.E.; Park, S.J.; Hong, E.; Ryu, J.H. Positive effects of β-amyrin on pentobarbital-induced sleep-in mice via GABAergic neurotransmitter system. Behav. Brain Res. 2015, 291, 232–236. [Google Scholar] [CrossRef] [PubMed]
- Aragao, G.F.; Carneiro, L.M.V.; Juniora, A.P.F.; Bandeira, P.N.; Lemos, T.L.G.; Viana, G.S.d.B. Evidence for excitatory and inhibitory amino acids participation in the neuropharmacological activity of alpha-and beta-amyrin acetate. Open Pharm. Sci. 2009, 3, 9–16. [Google Scholar]
- Oliveira, F.A.; Costa, C.L.; Chaves, M.H.; Almeida, F.R.; Cavalcante, Í.J.; Lima, A.F.; Rao, V.S. Attenuation of capsaicin-induced acute and visceral nociceptive pain by α-and β-amyrin, a triterpene mixture isolated from Protium heptaphyllum resin in mice. J. Life Sci. 2005, 77, 2942–2952. [Google Scholar] [CrossRef]
- Subarnas, A.N.A.S.; Tadano, T.; Oshima, Y.; Kisara, K.; Ohizumi, Y. Pharmacological properties of β-amyrin palmitate, a novel centrally acting compound, isolated from Lobelia inflata leaves. J. Pharm. Pharmacol. 1993, 45, 545–550. [Google Scholar] [CrossRef]
- Park, H.J.; Kwon, H.; Lee, J.H.; Cho, E.; Lee, Y.C.; Moon, M.; Jung, J.W. β-Amyrin ameliorates Alzheimer’s disease-like aberrant synaptic plasticity in the mouse hippocampus. Biomol. Ther. 2020, 28, 74–82. [Google Scholar] [CrossRef]
- Frota Aragão, G.; Oliveira Nogueira, A.; Félix Xavier Júnior, F.A.; Azul Monteiro Evangelista, J.S.; Nogueira Bandeira, P.; Fernandes, C.; Sampaio Assreuy, A.M. Acute toxicity study of the isomeric mixture of alpha and beta amyrin from Protium heptaphyllum (Aubl.) Marchand. Acta Sci. Biol. Sci. 2023, 45, e66144. [Google Scholar] [CrossRef]
- Wei, C.C.; Chang, C.H.; Liao, V.H.C. Anti-Parkinsonian effects of β-amyrin are regulated via LGG-1 involved autophagy pathway in Caenorhabditis elegans. Phytomedicine 2017, 36, 118–125. [Google Scholar] [CrossRef]
- Zhang, T.; Liu, R.; Chang, M.; Jin, Q.; Zhang, H.; Wang, X. Health benefits of 4, 4-dimethyl phytosterols: An exploration beyond 4-desmethyl phytosterols. Food Funct. 2020, 11, 93–110. [Google Scholar] [CrossRef] [PubMed]
- Giordano, S.; Darley-Usmar, V.; Zhang, J. Autophagy as an essential cellular antioxidant pathway in neurodegenerative disease. Redox Biol. 2014, 2, 82–90. [Google Scholar] [CrossRef] [PubMed]
- Sigmond, T.; Barna, J.; Tóth, M.L.; Takács-Vellai, K.; Pásti, G.; Kovács, A.L.; Vellai, T. Autophagy in Caenorhabditis elegans. Methods Enzymol. 2008, 451, 521–540. [Google Scholar] [PubMed]
- Braak, H.; Del Tredici, K. Invited Article: Nervous system pathology in sporadic Parkinson disease. J. Neurol. 2008, 70, 1916–1925. [Google Scholar] [CrossRef]
- Huang, X.; Chen, H.; Miller, W.C.; Mailman, R.B.; Woodard, J.L.; Chen, P.C.; Poole, C. Lower low-density lipoprotein cholesterol levels are associated with Parkinson’s disease. Mov. Disord. 2007, 22, 377–381. [Google Scholar] [CrossRef]
- Kamaraj, M.; Olikkavi, K.; Vennila, L.; Bose, S.S.; Raj, S.M. In silico docking and anti-cancer activity of the isolated compounds (Alpha and Beta Amyrin) from methanolic bark extract of Shorea robusta. Int. J. Pure Med. Res. 2019, 4, 11–15. [Google Scholar]
- Lima, E.M.; Nascimento, A.M.; Lenz, D.; Scherer, R.; Meyrelles, S.S.; Boëchat, G.A.; Endringer, D.C. Triterpenes from the Protium heptaphyllum resin-chemical composition and cytotoxicity. Rev. Bras. Farmacogn. 2014, 24, 399–407. [Google Scholar] [CrossRef]
- Wen, S.; Gu, D.; Zeng, H. Antitumor effects of beta-amyrin in Hep-G2 liver carcinoma cells are mediated via apoptosis induction, cell cycle disruption and activation of JNK and P38 signalling pathways. J. BUON 2018, 23, 965–970. [Google Scholar]
- Zahid, S.; Malik, A.; Waqar, S.; Zahid, F.; Tariq, N.; Khawaja, A.I.; Ali, Q. Countenance and implication of Β-sitosterol, Β-amyrin and epiafzelechin in nickel exposed Rat: In-silico and in-vivo approach. Sci. Rep. 2023, 13, 21351. [Google Scholar] [CrossRef] [PubMed]
- Victor, M.M.; David, J.M.; dos Santos, M.A.; Barreiros, A.L.; Barreiros, M.L.; Andrade, F.S.; Pessoa, C. Synthesis and evaluation of cytotoxic effects of amino-ester derivatives of natural α, β-amyrin mixture. Bioorg. Med. Chem. 2017, 28, 2155–2162. [Google Scholar] [CrossRef]
- Barros, F.W.; Bandeira, P.N.; Lima, D.J.; Meira, A.S.; de Farias, S.S.; Albuquerque, M.R.J.; do Ó Pessoa, C. Amyrin esters induce cell death by apoptosis in HL-60 leukemia cells. Bioorg. Med. Chem. 2011, 19, 1268–1276. [Google Scholar] [CrossRef] [PubMed]
- Anburaj, J.; Tamilselvi, E.; Swapna, S.; Amuthavalli, K. β-Amyrin Modulates P38 MAPK and Jnk Pathway to Inhibit Cell Proliferation and Induce ROS-mediated Apoptosis in HeLa Cells. Indian J. Pharm. Sci. 2020, 82, 420–428. [Google Scholar] [CrossRef]
- Park, S.; Hwang, K.; Na, J.R.; Lee, K.; Jeong, E.S.; Kim, S. Triterpenoids from the leaves of Dendropanax morbifera Léveille and its cytotoxic activity toward breast MCF-7 and lung A549 cancer cells. J. Food Sci. Preserv. 2018, 25, 471–481. [Google Scholar] [CrossRef]
- Keawsa-Ard, S.; Liawruangrath, B.; Kongtaweelert, S. Bioactive compounds from Mesua ferrea stems. Chiang Mai J. Sci. 2015, 42, 185–955. [Google Scholar]
- Han, G.; Lee, D.G. Antibacterial mode of action of β-Amyrin promotes apoptosis-like death in Escherichia coli by producing reactive oxygen species. J. Microbiol. Biotechnol. 2022, 32, 1547. [Google Scholar] [CrossRef]
- Asif, M.; Al-Mansoub, M.A.; Khan, M.S.S.; Yehya, A.H.S.; Ezzat, M.O.; Oon, C.E.; Majid, A.M.S.A. Molecular mechanisms responsible for programmed cell death-inducing attributes of terpenes from Mesua ferrea stem bark towards human colorectal carcinoma HCT 116 cells. J. Appl. Biomed. 2017, 15, 71–80. [Google Scholar] [CrossRef]
- Neto, S.F.; Prada, A.L.; Achod, L.D.R.; Torquato, H.F.V.; Lima, C.S.; Paredes-Gamero, E.J.; Amado, J.R.R. α-amyrin-loaded nanocapsules produce selective cytotoxic activity in leukemic cells. Biomed. Pharmacother. 2021, 139, 111656. [Google Scholar] [CrossRef]
- Oliveira, R.C.; Bandeira, P.N.; Lemos, T.L.; Dos Santos, H.S.; Scherf, J.R.; Rocha, J.E.; Teixeira, A.M. In silico and in vitro evaluation of efflux pumps inhibition of α, β-amyrin. J. Biomol. Struct. Dyn. 2022, 40, 12785–12799. [Google Scholar] [CrossRef]
- Bata, M.M.; Adeshina, G.O.; Onaolapo, J.A.; Musa, A.M.; Mshelia, E.H.; Salihu, M.S.; Dauda, G. Antibacterial Activity of A and Β Amyrin Isolated from Morinda lucida Against Some Multidrug Resistant Enterobacteriaceae. J. Biol. Today’s World 2023, 14, 1–9. [Google Scholar]
- Choi, J.W.; Cho, E.J.; Lee, D.G.; Choi, K.; Ku, J.; Park, K.W.; Lee, S. Antibacterial activity of triterpenoids from Clerodendron trichotomum. J. Appl. Biol. Chem. 2012, 55, 169–172. [Google Scholar] [CrossRef]
- Chen, D.F.; Zhang, S.X.; Wang, H.K.; Zhang, S.Y.; Sun, Q.Z.; Cosentino, L.M.; Lee, K.H. Novel anti-HIV lancilactone C and related triterpenes from Kadsura lancilimba. J. Nat. Prod. 1999, 62, 94–97. [Google Scholar] [CrossRef] [PubMed]
- Lee, J. Triterpene esters from Uncaria rhynchophylla hooks as potent HIV-1 protease inhibitors and their molecular docking study. Sci. Rep. 2024, 14, 31576. [Google Scholar] [CrossRef] [PubMed]
- Wei, Y.; Ma, C.M.; Chen, D.Y.; Hattori, M. Anti-HIV-1 protease triterpenoids from Stauntonia obovatifoliola Hayata subsp. intermedia. Phytochemistry 2008, 69, 1875–1879. [Google Scholar] [CrossRef]
- Kongkum, N.; Tuchinda, P.; Pohmakotr, M.; Reutrakul, V.; Piyachaturawat, P.; Jariyawat, S.; Napaswad, C. Cytotoxic, antitopoisomerase IIα, and anti-HIV-1 activities of triterpenoids isolated from leaves and twigs of Gardenia carinata. J. Nat. Prod. 2013, 76, 530–537. [Google Scholar] [CrossRef]
- Callies, O.; Bedoya, L.M.; Beltrán, M.; Muñoz, A.; Calderón, P.O.; Osorio, A.A.; Bazzocchi, I.L. Isolation, structural modification, and HIV inhibition of pentacyclic lupane-type triterpenoids from Cassine xylocarpa and Maytenus cuzcoina. J. Nat. Prod. 2015, 78, 1045–1055. [Google Scholar] [CrossRef]
- Qian, K.; Kuo, R.Y.; Chen, C.H.; Huang, L.; Morris-Natschke, S.L.; Lee, K.H. Anti-AIDS agents 81. Design, synthesis, and structure—Activity relationship study of betulinic acid and moronic acid derivatives as potent HIV maturation inhibitors. J. Med. Chem. 2010, 53, 3133–3141. [Google Scholar] [CrossRef]
- Kesselheim, A.S.; Sinha, M.S.; Avorn, J.; Sarpatwari, A. Pharmaceutical policy in the United States in 2019: An overview of the landscape and avenues for improvement. Stanf. Law Policy Rev. 2019, 30, 421. [Google Scholar]
- Tichy, E.M.; Hoffman, J.M.; Suda, K.J.; Rim, M.H.; Tadrous, M.; Cuellar, S.; Schumock, G.T. National trends in prescription drug expenditures and projections for 2022. Am. J. Health Pharm. 2022, 79, 1158–1172. [Google Scholar] [CrossRef]
- Klein, E.Y.; Impalli, I.; Poleon, S.; Denoel, P.; Cipriano, M.; Van Boeckel, T.P.; Nandi, A. Global trends in antibiotic consumption during 2016–2023 and future projections through 2030. Proc. Natl. Acad. Sci. USA 2024, 121, e2411919121. [Google Scholar] [CrossRef]
- Lee, H.; Park, D.; Kim, D.S. Determinants of growth in prescription drug spending using 2010–2019 health insurance claims data. Front. Pharmacol. 2021, 12, 681492. [Google Scholar] [CrossRef] [PubMed]
- Kantor, E.D.; Rehm, C.D.; Haas, J.S.; Chan, A.T.; Giovannucci, E.L. Trends in prescription drug use among adults in the United States from 1999–2012. JAMA 2015, 314, 1818–1830. [Google Scholar] [CrossRef] [PubMed]
- ElSayed, N.A.; Aleppo, G.; Aroda, V.R.; Bannuru, R.R.; Brown, F.M.; Bruemmer, D.; Gabbay, R.A. 10. Cardiovascular disease and risk management: Standards of care in diabetes-2023. Diabetes Care 2023, 46, S158–S190. [Google Scholar] [CrossRef] [PubMed]
- Makam, P.; Matsa, R. “Big Three” infectious diseases: Tuberculosis, malaria and HIV/AIDS. Curr. Top. Med. Chem. 2021, 21, 2779–2799. [Google Scholar] [CrossRef]
- Nandi, A.; Pecetta, S.; Bloom, D.E. Global antibiotic use during the COVID-19 pandemic: Analysis of pharmaceutical sales data from 71 countries, 2020–2022. EClinicalMedicine 2023, 57, 101848. [Google Scholar] [CrossRef]
- Haider, R.H.R. Pharmaceutical Market: An Overview. IJIS 2023, 2, 2087–2104. [Google Scholar] [CrossRef]
- Alshehri, S.; Alshammari, R.; Alyamani, M.; Dabbagh, R.; Almalki, B.; Aldosari, O.; Shakeel, F. Current and future prospective of pharmaceutical manufacturing in Saudi Arabia. Saudi Pharm. J. 2023, 31, 605–616. [Google Scholar] [CrossRef]
- Fisher, W.; Okediji, R.L.; Sampath, P.G. Fostering production of pharmaceutical products in developing countries. Mich. J. Int. Law 2022, 43, 1. [Google Scholar] [CrossRef]
- Atanasov, A.G.; Zotchev, S.B.; Dirsch, V.M.; Supuran, C.T. Natural products in drug discovery: Advances and opportunities. Nat. Rev. Drug Discov. 2021, 20, 200–216. [Google Scholar] [CrossRef]
- Marques, C.M.; Moniz, S.; de Sousa, J.P.; Barbosa-Povoa, A.P.; Reklaitis, G. Decision-support challenges in the chemical-pharmaceutical industry: Findings and future research directions. Comput. Chem. Eng. 2020, 134, 106672. [Google Scholar] [CrossRef]
- Wang, H.; Chen, Y.; Wang, L.; Liu, Q.; Yang, S.; Wang, C. Advancing herbal medicine: Enhancing product quality and safety through robust quality control practices. Front. Pharmacol. 2023, 14, 1265178. [Google Scholar] [CrossRef] [PubMed]
- ALSAEDI, H.K.; Alwan, N.A.; Al-Masoudi, E.A. Physiological and biochemical effect of α-Amyrin: A review. J. Med. Life Sci. 2024, 6, 443–452. [Google Scholar] [CrossRef]
- Oboh, M.; Govender, L.; Siwela, M.; Mkhwanazi, B.N. Anti-diabetic potential of plant-based pentacyclic triterpene derivatives: Progress made to improve efficacy and bioavailability. Molecules 2021, 26, 7243. [Google Scholar] [CrossRef]
- Yadav, V.R.; Prasad, S.; Sung, B.; Kannappan, R.; Aggarwal, B.B. Targeting inflammatory pathways by triterpenoids for prevention and treatment of cancer. Toxins 2010, 2, 2428–2466. [Google Scholar] [CrossRef]
- Placha, D.; Jampilek, J. Chronic inflammatory diseases, anti-inflammatory agents and their delivery nanosystems. Pharmaceutics 2021, 13, 64. [Google Scholar] [CrossRef]
- Yu, H.; Gao, R.; Liu, Y.; Fu, L.; Zhou, J.; Li, L. Stimulus-Responsive Hydrogels as Drug Delivery Systems for Inflammation Targeted Therapy. Adv. Sci. 2024, 11, e2306152. [Google Scholar] [CrossRef]
- Robb, C.T.; Regan, K.H.; Dorward, D.A.; Rossi, A.G. Key mechanisms governing resolution of lung inflammation. Semin. Immunopathol. 2016, 38, 425–448. [Google Scholar] [CrossRef]
- Suhana, M.I.; Farha, A.; Hassan, B.M. Inflammation of the Gums. Malays. Fam. Physician. 2020, 15, 71. [Google Scholar]
- Turner, J.D.; Naylor, A.J.; Buckley, C.; Filer, A.; Tak, P.P. Fibroblasts and osteoblasts in inflammation and bone damage. Adv. Exp. Med. Biol. 2018, 1060, 37–54. [Google Scholar]
- Lee, C.H.; Giuliani, F. The role of inflammation in depression and fatigue. Front. Immunol. 2019, 10, 1696. [Google Scholar] [CrossRef]
- Cristofori, F.; Dargenio, V.N.; Dargenio, C.; Miniello, V.L.; Barone, M.; Francavilla, R. Anti-inflammatory and immunomodulatory effects of probiotics in gut inflammation: A door to the body. Front. Immunol. 2021, 12, 578386. [Google Scholar] [CrossRef]
- Rezus, E.; Cardoneanu, A.; Burlui, A.; Luca, A.; Codreanu, C.; Tamba, B.I.; Rezuș, C. The link between inflammaging and degenerative joint diseases. Int. J. Mol. Sci. 2019, 20, 614. [Google Scholar] [CrossRef]
- Henein, M.Y.; Vancheri, S.; Longo, G.; Vancheri, F. The role of inflammation in cardiovascular disease. Int. J. Mol. Sci. 2022, 23, 12906. [Google Scholar] [CrossRef]
- Munn, L.L. Cancer and inflammation. Wiley Interdiscip. Rev. Syst. Biol. Med. 2017, 9, e1370. [Google Scholar] [CrossRef] [PubMed]
- Da Silva Júnior, W.F.; Bezerra de Menezes, D.L.; de Oliveira, L.C.; Koester, L.S.; Oliveira de Almeida, P.D.; Lima, E.S.; Neves de Lima, Á.A. Inclusion complexes of β and HPβ-cyclodextrin with α, β amyrin and in vitro anti-inflammatory activity. Biomolecules 2019, 9, 241. [Google Scholar] [CrossRef] [PubMed]
- Ditmer, M.; Gabryelska, A.; Turkiewicz, S.; Białasiewicz, P.; Małecka-Wojciesko, E.; Sochal, M. Sleep problems in chronic inflammatory diseases: Prevalence, treatment, and new perspectives: A narrative review. J. Clin. Med. 2021, 11, 67. [Google Scholar] [CrossRef] [PubMed]
- Mukhtar, Y.; Galalain, A.; Yunusa, U. A modern overview on diabetes mellitus: A chronic endocrine disorder. Eur. J. Biol. 2020, 5, 1–14. [Google Scholar] [CrossRef]
- Rahman, M.S.; Hossain, K.S.; Das, S.; Kundu, S.; Adegoke, E.O.; Rahman, M.A.; Pang, M.G. Role of insulin in health and disease: An update. Int. J. Mol. Sci. 2021, 22, 6403. [Google Scholar] [CrossRef]
- Mohajan, D.; Mohajan, H.K. Hyperglycaemia among Diabetes Patients: A Preventive Approach. Innov. Sci. Technol. 2023, 2, 27–33. [Google Scholar] [CrossRef]
- Pecoits-Filho, R.; Abensur, H.; Betonico, C.C.; Machado, A.D.; Parente, E.B.; Queiroz, M.; Vencio, S. Interactions between kidney disease and diabetes: Dangerous liaisons. Diabetol. Metab. Syndr. 2016, 8, 50. [Google Scholar] [CrossRef]
- Alicic, R.Z.; Rooney, M.T.; Tuttle, K.R. Diabetic kidney disease: Challenges, progress, and possibilities. Clin. J. Am. Soc. Nephrol. 2017, 12, 2032–2045. [Google Scholar] [CrossRef]
- Umpierrez, G.E. Hyperglycemic crises: Diabetic ketoacidosis and hyperglycemic hyperosmolar state. Med. Clin. N. Am. 2020, 101, 587–606. [Google Scholar]
- Bharucha, A.E.; Kudva, Y.C.; Prichard, D.O. Diabetic gastroparesis. Endocr. Rev. 2019, 40, 1318–1352. [Google Scholar] [CrossRef] [PubMed]
- Katakami, N. Mechanism of development of atherosclerosis and cardiovascular disease in diabetes mellitus. Atheroscler. Thromb. 2018, 25, 27–39. [Google Scholar] [CrossRef]
- Edmonds, M.; Kesavan, R.; Bal, A. Evaluation and Examination of the Diabetic Foot. In Functional Limb Salvage; Springer: Cham, Switzerland, 2023; pp. 107–131. [Google Scholar]
- Armstrong, D.G.; Tan, T.W.; Boulton, A.J.; Bus, S.A. Diabetic foot ulcers: A review. JAMA 2023, 330, 62–75. [Google Scholar] [CrossRef] [PubMed]
- Libianto, R.; Batu, D.; MacIsaac, R.J.; Cooper, M.E.; Ekinci, E.I. Pathophysiological links between diabetes and blood pressure. Can. J. Cardiol. 2018, 34, 585–594. [Google Scholar] [CrossRef]
- Andamari, I.; Thio, H.B.; Soebono, H. Potential skin problems of diabetes mellitus patients: A review. J. Med. Sci. 2022, 54, 3. [Google Scholar] [CrossRef]
- Bruschi, L.K.M.; da Rocha, D.A.; Gesteira Filho, E.L.; Barboza, N.D.M.P.; Frisanco, P.A.B.; Callegaro, R.M.; Arbex, A.K. Diabetes mellitus and diabetic peripheral neuropathy. Open J. Endocr. Metab. Dis. 2017, 7, 12–21. [Google Scholar] [CrossRef]
- Kropp, M.; Golubnitschaja, O.; Mazurakova, A.; Koklesova, L.; Sargheini, N.; Vo, T.T.K.S.; Thumann, G. Diabetic retinopathy as the leading cause of blindness and early predictor of cascading complications—Risks and mitigation. EPMA J. 2023, 14, 21–42. [Google Scholar] [CrossRef]
- Standl, E.; Khunti, K.; Hansen, T.B.; Schnell, O. The global epidemics of diabetes in the 21st century: Current situation and perspectives. Eur. J. Prev. Cardiol. 2019, 26 (Suppl. S2), 7–14. [Google Scholar] [CrossRef] [PubMed]
- Kakadiya, J. Causes, symptoms, pathophysiology and diagnosis of atherosclerosis–a review. PharmacologyOnline 2009, 3, 420–442. [Google Scholar]
- Badimon, L.; Padró, T.; Vilahur, G. Atherosclerosis, platelets and thrombosis in acute ischaemic heart disease. Eur. Heart J. Acute Cardiovasc. Care 2012, 1, 60–74. [Google Scholar] [CrossRef] [PubMed]
- Swirski, F.K.; Nahrendorf, M. Leukocyte behavior in atherosclerosis, myocardial infarction, and heart failure. Science 2013, 339, 161–166. [Google Scholar] [CrossRef]
- Mendelson, S.J.; Prabhakaran, S. Diagnosis and management of transient ischemic attack and acute ischemic stroke: A review. JAMA 2021, 325, 1088–1098. [Google Scholar] [CrossRef]
- Garg, P.K.; O’Neal, W.T.; Mok, Y.; Heiss, G.; Coresh, J.; Matsushita, K. Life’s simple 7 and peripheral artery disease risk: The atherosclerosis risk in community study. Am. J. Prev. Med. 2018, 55, 642–649. [Google Scholar] [CrossRef]
- Valdivielso, J.M.; Rodríguez-Puyol, D.; Pascual, J.; Barrios, C.; Bermúdez-López, M.; Sánchez-Niño, M.D.; Ortiz, A. Atherosclerosis in chronic kidney disease: More, less, or just different? Arterioscler. Thromb. Vasc. Biol. 2019, 39, 1938–1966. [Google Scholar] [CrossRef]
- Cortelli, P.; Giannini, G.; Favoni, V.; Cevoli, S.; Pierangeli, G. Nociception and autonomic nervous system. Neurol. Sci. 2013, 34, 41–46. [Google Scholar] [CrossRef]
- Poulsen, I.; Balle, M.; Givard, K.L. Nociception coma scale–revised: Nurses’ experience in clinical practice. Pain. Manag. Nurs. 2019, 20, 592–598. [Google Scholar] [CrossRef]
- Chen, Y.; Yu, H.; Guo, F.; Wu, Y.; Li, Y. Antinociceptive and anti-inflammatory activities of a standardized extract of bis-iridoids from Pterocephalus hookeri. J. Ethnopharmacol. 2018, 216, 233–238. [Google Scholar] [CrossRef]
- Lin, C.C.J.; Chen, W.N.; Chen, C.J.; Lin, Y.W.; Zimmer, A.; Chen, C.C. An antinociceptive role for substance P in acid-induced chronic muscle pain. Proc. Natl. Acad. Sci. USA 2012, 109, E76–E83. [Google Scholar] [CrossRef]
- Araujo, I.W.F.; Chaves, H.V.; Pachêco, J.M.; Val, D.R.; Vieira, L.V.; Santos, R.; Benevides, N.M.B. Role of central opioid on the antinociceptive effect of sulfated polysaccharide from the red seaweed Solieria filiformis in induced temporomandibular joint pain. Int. Immunopharmacol. 2017, 44, 160–167. [Google Scholar] [CrossRef]
- Diwan, A.D.; Melrose, J. Intervertebral disc degeneration and how it leads to low back pain. JOR Spine 2023, 6, e1231. [Google Scholar] [CrossRef]
- Yamamotova, A. Endogenous antinociceptive system and potential ways to influence it. Physiol. Res. 2019, 68, S195–S205. [Google Scholar] [CrossRef]
- Zhang, W.; Suo, M.; Yu, G.; Zhang, M. Antinociceptive and anti-inflammatory effects of cryptotanshinone through PI3K/Akt signaling pathway in a rat model of neuropathic pain. Chem. Biol. Interact. 2019, 305, 127–133. [Google Scholar] [CrossRef] [PubMed]
- Sulaiman, M.R.; Hussain, M.K.; Zakaria, Z.A.; Somchit, M.N.; Moin, S.; Mohamad, A.S.; Israf, D.A. Evaluation of the antinociceptive activity of Ficus deltoidea aqueous extract. Fitoterapia 2008, 79, 557–561. [Google Scholar] [CrossRef] [PubMed]
- Fokunang, C.; Fokunang, E.T.; Frederick, K.; Ngameni, B.; Ngadjui, B. Overview of non-steroidal anti-inflammatory drugs (nsaids) in resource limited countries. MOJ Toxicol. 2018, 4, 5–13. [Google Scholar]
- Santenna, C.; Kumar, S.; Balakrishnan, S.; Jhaj, R.; Ahmed, S.N. A comparative experimental study of analgesic activity of a novel non-steroidal anti-inflammatory molecule–zaltoprofen, and a standard drug–piroxicam, using murine models. J. Exp. Pharmacol. 2019, 11, 85–91. [Google Scholar] [CrossRef]
- Freo, U.; Ruocco, C.; Valerio, A.; Scagnol, I.; Nisoli, E. Paracetamol: A review of guideline recommendations. J. Clin. Med. 2021, 10, 3420. [Google Scholar] [CrossRef]
- Kaur, M. Mechanism of Action, Kinetics and a Bioactive Metabolites AM404 of Paracetamol. J. Clin. Med. Res. 2020, 1, 1–9. [Google Scholar]
- Ragab, G.; Elshahaly, M.; Bardin, T. Gout: An old disease in new perspective–A review. J. Adv. Res. 2017, 8, 495–511. [Google Scholar] [CrossRef] [PubMed]
- Perez-Ruiz, F.; Dalbeth, N.; Bardin, T. A review of uric acid, crystal deposition disease, and gout. Adv. Ther. 2015, 32, 31–41. [Google Scholar] [CrossRef] [PubMed]
- Malhotra, M.; Tandon, P.; Wadhwa, K.; Melkani, I.; Singh, A.P.; Singh, A.P. The complex pathophysiology of urolithiasis (kidney stones) and the effect of combinational drugs. J. Drug Deliv. Ther. 2022, 12, 194–204. [Google Scholar] [CrossRef]
- Pattamapaspong, N.; Vuthiwong, W.; Kanthawang, T.; Louthrenoo, W. Value of ultrasonography in the diagnosis of gout in patients presenting with acute arthritis. Skeletal. Radiol. 2017, 46, 759–767. [Google Scholar] [CrossRef]
- Oh, Y.J.; Moon, K.W. Presence of tophi is associated with a rapid decline in the renal function in patients with gout. Sci. Rep. 2021, 11, 5684. [Google Scholar] [CrossRef]
- Parthasarathy, P.; Vivekanandan, S. Urate crystal deposition, prevention and various diagnosis techniques of GOUT arthritis disease: A comprehensive review. Health Inf. Sci. Syst. 2018, 6, 19. [Google Scholar] [CrossRef]
- Anaizi, N. The impact of uric acid on human health: Beyond gout and kidney stones. Adv. Biomed. Res. 2023, 45, 158–169. [Google Scholar] [CrossRef]
- Borghi, C.; Agabiti-Rosei, E.; Johnson, R.J.; Kielstein, J.T.; Lurbe, E.; Mancia, G.; Tsioufis, K.P. Hyperuricaemia and gout in cardiovascular, metabolic and kidney disease. Eur. J. Intern. Med. 2020, 80, 1–11. [Google Scholar] [CrossRef]
- Dehlin, M.; Jacobsson, L.; Roddy, E. Global epidemiology of gout: Prevalence, incidence, treatment patterns and risk factors. Eur. J. Rheumatol. 2020, 16, 380–390. [Google Scholar] [CrossRef]
- Cipolletta, E.; Tata, L.J.; Nakafero, G.; Avery, A.J.; Mamas, M.A.; Abhishek, A. Association between gout flare and subsequent cardiovascular events among patients with gout. JAMA 2022, 328, 440–450. [Google Scholar] [CrossRef]
- Singh, J.A. Any sleep is a dream far away: A nominal group study assessing how gout affects sleep. Rheumatology 2018, 57, 1925–1932. [Google Scholar] [CrossRef]
- Pascual, E.; Addadi, L.; Andrés, M.; Sivera, F. Mechanisms of crystal formation in gout—A structural approach. Nat. Rev. Rheumatol. 2015, 11, 725–730. [Google Scholar] [CrossRef]
- Lee, Y.H.; Song, G.G. Uric acid level, gout and bone mineral density: A Mendelian randomization study. Eur. J. Clin. Investig. 2019, 49, e13156. [Google Scholar] [CrossRef] [PubMed]
- Akeju, O.; Brown, E.N. Neural oscillations demonstrate that general anesthesia and sedative states are neurophysiologically distinct from sleep. Curr. Opin. Neurobiol. 2017, 44, 178–185. [Google Scholar] [CrossRef] [PubMed]
- Devi, C.B.P.; Samreen, S.; Kumari, N.K.; Sharma, J.V.C. A review on insomnia: The sleep disorder. Pharma Innov. J. 2018, 7, 227–230. [Google Scholar]
- Morin, C.M.; Drake, C.L.; Harvey, A.G.; Krystal, A.D.; Manber, R.; Riemann, D.; Spiegelhalder, K. Insomnia disorder. Nat. Rev. Dis. Primers 2015, 1, 15026. [Google Scholar] [CrossRef]
- Bloem, B.R.; Okun, M.S.; Klein, C. Parkinson’s disease. Lancet 2021, 397, 2284–2303. [Google Scholar] [CrossRef]
- Akbar, U.; McQueen, R.B.; Bemski, J.; Carter, J.; Goy, E.R.; Kutner, J.; Kluger, B. Prognostic predictors relevant to end-of-life palliative care in Parkinson’s disease and related disorders: A systematic review. J. Neurol. Neurosurg. Psychiatry 2021, 92, 629–636. [Google Scholar] [CrossRef]
- Hinson, V.K.; Bergmann, K.J.; Revuelta, G.J.; Vaughan, C.L. A primer on Parkinson’s disease. J. Mov. Disord. 2014, 25, 812–833. [Google Scholar]
- Mattiuzzi, C.; Lippi, G. Current cancer epidemiology. J. Epidemiol. Glob. Health 2019, 9, 217–222. [Google Scholar] [CrossRef]
- Bray, F.; Laversanne, M.; Weiderpass, E.; Soerjomataram, I. The ever-increasing importance of cancer as a leading cause of premature death worldwide. Cancer 2021, 127, 3029–3030. [Google Scholar] [CrossRef]
- Bray, F.; Laversanne, M.; Sung, H.; Ferlay, J.; Siegel, R.L.; Soerjomataram, I.; Jemal, A. Glob. Cancer Stat. 2022: GLOBOCAN estimates of incidence and mortality worldwide for 36 cancers in 185 countries. CA Cancer J. Clin. 2024, 74, 229–263. [Google Scholar]
- Ghufran, M.S.; Soni, P.; Duddukuri, G.R. The global concern for cancer emergence and its prevention: A systematic unveiling of the present scenario. In Bioprospecting of Tropical Medicinal Plants; Springer: Cham, Switzerland, 2023; pp. 1429–1455. [Google Scholar]
- Filho, A.M.; Laversanne, M.; Ferlay, J.; Colombet, M.; Piñeros, M.; Znaor, A.; Bray, F. The GLOBOCAN 2022 cancer estimates: Data sources, methods, and a snapshot of the cancer burden worldwide. Int. J. Cancer 2025, 156, 1336–1346. [Google Scholar] [CrossRef] [PubMed]
- Zhang, Y.J.; Li, S.; Gan, R.Y.; Zhou, T.; Xu, D.P.; Li, H.B. Impacts of gut bacteria on human health and diseases. Int. J. Mol. Sci. 2015, 6, 7493–7519. [Google Scholar] [CrossRef] [PubMed]
- Mather, A.E.; Gilmour, M.W.; Reid, S.W.; French, N.P. Foodborne bacterial pathogens: Genome-based approaches for enduring and emerging threats in a complex and changing world. Nat. Rev. Microbiol. 2024, 22, 543–555. [Google Scholar] [CrossRef]
- Soni, J.; Sinha, S.; Pandey, R. Understanding bacterial pathogenicity: A closer look at the journey of harmful microbes. Front. Microbiol. 2024, 15, 1370818. [Google Scholar] [CrossRef]
- Vouga, M.; Greub, G. Emerging bacterial pathogens: The past and beyond. Clin. Microbiol. Infect. 2016, 22, 12–21. [Google Scholar] [CrossRef]
- Poulain, B.; Popoff, M.R. Why are botulinum neurotoxin-producing bacteria so diverse and botulinum neurotoxins so toxic? Toxins 2019, 11, 34. [Google Scholar] [CrossRef]
- Wang, H.; Wei, C.X.; Min, L.; Zhu, L.Y. Good or bad: Gut bacteria in human health and diseases. Biotechnol. Biotechnol. Equip. 2018, 32, 1075–1080. [Google Scholar] [CrossRef]
- Rana, D.S.; Sharma, V.; Sheershwal, A. Understanding host-pathogen interactions in urinary tract infections and advancements in diagnostic methods. Urol. Sci. 2025, 36, 61–75. [Google Scholar] [CrossRef]
- Wang, J.; Sang, L.; Chen, Y.; Sun, S.; Chen, D.; Xie, X. Characterisation of Staphylococcus aureus strain causing severe respiratory disease in rabbits. World Rabbit. Sci. 2019, 27, 41–48. [Google Scholar] [CrossRef]
- Froes, F.; Roche, N.; Blasi, F. Pneumococcal vaccination and chronic respiratory diseases. Int. J. Chron. Obstruct. Pulmon. Dis. 2017, ume 12, 3457–3468. [Google Scholar] [CrossRef]
- Otshudiema, J.O.; Acosta, A.M.; Cassiday, P.K.; Hadler, S.C.; Hariri, S.; Tiwari, T.S. Respiratory illness caused by Corynebacterium diphtheriae and C. ulcerans, and use of diphtheria antitoxin in the United States, 1996–2018. Clin. Infect. Dis. 2021, 73, e2799–e2806. [Google Scholar] [CrossRef] [PubMed]
- Noguchi, S.; Yatera, K.; Kawanami, T.; Yamasaki, K.; Naito, K.; Akata, K.; Mukae, H. The clinical features of respiratory infections caused by the Streptococcus anginosus group. BMC Pulm. Med. 2015, 15, 133. [Google Scholar] [CrossRef] [PubMed]
- Kim, H.S.; Arellano, K.; Park, H.; Todorov, S.D.; Kim, B.; Kang, H.; Holzapfel, W.H. Assessment of the safety and anti-inflammatory effects of three Bacillus strains in the respiratory tract. Environ. Microbiol. 2021, 23, 3077–3098. [Google Scholar] [CrossRef] [PubMed]
- Khan, S.; Imran, A.; Malik, A.; Chaudhary, A.A.; Rub, A.; Jan, A.T.; Rolfo, C. Bacterial imbalance and gut pathologies: Association and contribution of E. coli in inflammatory bowel disease. Crit. Rev. Clin. Lab. Sci. 2019, 56, 1–17. [Google Scholar] [CrossRef]
- Zha, L.; Garrett, S.; Sun, J. Salmonella infection in chronic inflammation and gastrointestinal cancer. Diseases 2019, 7, 28. [Google Scholar] [CrossRef]
- Matanza, X.M.; Clements, A. Pathogenicity and virulence of Shigella sonnei: A highly drug-resistant pathogen of increasing prevalence. Virulence 2023, 14, 2280838. [Google Scholar] [CrossRef]
- Agyei, F.K.; Scharf, B.; Duodu, S. Vibrio cholerae bacteremia: An enigma in cholera-endemic African countries. Trop. Med. Infect. 2024, 9, 103. [Google Scholar] [CrossRef]
- Fotopoulou, E.T.; Jenkins, C.; Painset, A.; Amar, C. Listeria monocytogenes: The silent assassin. J. Med. Microbiol. 2024, 73, 001800. [Google Scholar] [CrossRef]
- Jerse, A.E.; Wu, H.; Packiam, M.; Vonck, R.A.; Begum, A.A.; Garvin, L.E. Estradiol-treated female mice as surrogate hosts for Neisseria gonorrhoeae genital tract infections. Front. Microbiol. 2011, 2, 107. [Google Scholar] [CrossRef] [PubMed]
- Theel, E.S.; Katz, S.S.; Pillay, A. Molecular and direct detection tests for Treponema pallidum subspecies pallidum: A review of the literature, 1964–2017. Clin. Infect. Dis. 2020, 71, S4–S12. [Google Scholar] [CrossRef] [PubMed]
- Al-Tawfiq, J.A.; Spinola, S.M. Infections caused by Haemophilus ducreyi: One organism, two stories. Clin. Microbiol. Rev. 2024, 37, e00135-24. [Google Scholar] [CrossRef] [PubMed]
- Ghasemian, E.; Harding-Esch, E.; Mabey, D.; Holland, M.J. When bacteria and viruses collide: A tale of Chlamydia trachomatis and sexually transmitted viruses. Viruses 2023, 15, 1954. [Google Scholar] [CrossRef]
- Jensen, J.S.; Cusini, M.; Gomberg, M.; Moi, H.; Wilson, J.; Unemo, M. 2021 European guideline on the management of Mycoplasma genitalium infections. J. Eur. Acad. Dermatol. Venereol. 2022, 36, 641–650. [Google Scholar] [CrossRef]
- Chen, H.; Zhang, J.; He, Y.; Lv, Z.; Liang, Z.; Chen, J.; Liu, X. Exploring the role of Staphylococcus aureus in inflammatory diseases. Toxins 2022, 14, 464. [Google Scholar] [CrossRef]
- Martín-Romero, M.; Clavero-Martínez, D.; Castillo-Navarro, A.M.; García-Vázquez, E. Neisseria meningitidis bacteraemia and SARS-CoV-2 infection: A coinfection that reminds previous epidemic outbreaks. Rev. Esp. Quimioter. 2022, 35, 293. [Google Scholar] [CrossRef]
- Zhao, Y.; Lin, Q.; Zhang, T.; Zhen, S.; Wang, J.; Jiang, E.; Feng, S. Pseudomonas aeruginosa bloodstream infection in patients with hematological diseases: Clinical outcomes and prediction model of multidrug-resistant infections. J. Infect. 2023, 86, 66–117. [Google Scholar] [CrossRef]
- Vinayaka, A.C.; Golabi, M.; Than, T.L.Q.; Wolff, A.; Bang, D.D. Point-of-care diagnosis of invasive non-typhoidal Salmonella enterica in bloodstream infections using immunomagnetic capture and loop-mediated isothermal amplification. N. Biotechnol. 2022, 66, 1–7. [Google Scholar] [CrossRef]
- Kravtsov, A.L.; Bugorkova, S.A.; Klyueva, S.N.; Shmelkova, T.P.; Kozhevnikov, V.A. Human blood granulocyte degranulation and lysis intensity during interaction with Yersinia pestis in the ex vivo model of bacteriemia. J. Microbiol. epidemiology Immunobiol. 2025, 102, 80–90. [Google Scholar] [CrossRef]
- Méric, G.; Mageiros, L.; Pensar, J.; Laabei, M.; Yahara, K.; Pascoe, B.; Sheppard, S.K. Disease-associated genotypes of the commensal skin bacterium Staphylococcus epidermidis. Nat. Commun. 2018, 9, 5034. [Google Scholar] [CrossRef]
- German Advisory Committee Blood (Arbeitskreis Blut), Subgroup ‘Assessment of Pathogens Transmissible by Blood’. Human immunodeficiency virus (HIV). Transfus Med. Hemother. 2016, 43, 203–222. [Google Scholar] [CrossRef] [PubMed]
- Kapila, A.; Chaudhary, S.; Sharma, R.B.; Vashist, H.; Sisodia, S.S.; Gupta, A. A review on: Hiv aids. IJPBR. 2016, 4, 69–73. [Google Scholar]
- Duggal, S.; Chugh, T.D.; Duggal, A.K. HIV and malnutrition: Effects on immune system. J. Immunol. Res. 2012, 2012, 784740. [Google Scholar] [CrossRef] [PubMed]
- Antony, B. Opportunistic Infections in HIV/AIDS: An Overview. Holist. Approach. Infect. Dis. 2017, 217–230. [Google Scholar]
- Prabhu, S.R.; van Wagoner, N. Human immunodeficiency virus infection and acquired immunodeficiency syndrome (HIV/AIDS): An overview. Sexually Transm. Oral Dis. 2023, 51–71. [Google Scholar]
- Saini, A.K.; Gupta, A.A.; Keservani, R.K.; Kachave, R.N.; Dharmamoorthy, G.; Kesharwani, R.K.; Patil, S.J. HIV/AIDS neurological disorders. In A Review on Diverse Neurological Disorders; Academic Press: Cambridge, MA, USA, 2024; pp. 291–298. [Google Scholar]
- Hsue, P.Y.; Waters, D.D. HIV infection and coronary heart disease: Mechanisms and management. Nat. Rev. Cardiol. 2019, 16, 745–759. [Google Scholar] [CrossRef]
- Kaspar, M.B.; Sterling, R.K. Mechanisms of liver disease in patients infected with HIV. BMJ Open Gastroenterol. 2017, 4. [Google Scholar] [CrossRef]
- Alfano, G.; Cappelli, G.; Fontana, F.; Di Lullo, L.; Di Iorio, B.; Bellasi, A.; Guaraldi, G. Kidney disease in HIV infection. J. Clin. Med. 2019, 8, 1254. [Google Scholar] [CrossRef]
- Gordin, F.M.; Roediger, M.P.; Girard, P.M.; Lundgren, J.D.; Miro, J.M.; Palfreeman, A.; Slater, L.N. Pneumonia in HIV-infected persons: Increased risk with cigarette smoking and treatment interruption. Am. J. Respir. Crit. Care Med. 2008, 178, 630–636. [Google Scholar] [CrossRef]
- Elfstrand, L.; Florén, C.H. Management of chronic diarrhea in HIV-infected patients: Current treatment options, challenges and future directions. HIV AIDS 2010, 219–224. [Google Scholar] [CrossRef]
- Bailin, S.S.; Gabriel, C.L.; Wanjalla, C.N.; Koethe, J.R. Obesity and weight gain in persons with HIV. Curr. HIV/AIDS Rep. 2020, 17, 138–150. [Google Scholar] [CrossRef]
- King, A.B. Elemental Diet in HIV Infection: Dietary Management of the Patient with Diarrhea or Malabsorption. Uses Elem. Diet Clin. Sit. 2018, 219–241. [Google Scholar]
- Kumar, M.; Murmu, N.; Kujur, A.; Singh, S.; Kumar, D.; Sagar, V.; Singh, S.B. A Study on the Quality of Life and Economic Burden Among People Living With HIV/AIDS and Attending a Tertiary Care Hospital in Jharkhand, India. Cureus 2025, 17. [Google Scholar] [CrossRef]
- Kumar, T. Molecular docking studies possible treatment of diabetes using vasicine against islet amyloid polypeptide. Int. J. Res. Appl. Sci. Eng. Technol. 2021, 9, 4202–4209. [Google Scholar] [CrossRef]
- Ching, J.; Lin, H.S.; Tan, C.H.; Koh, H.L. Quantification of α-and β-amyrin in rat plasma by gas chromatography–mass spectrometry: Application to preclinical pharmacokinetic study. J. Mass Spectrom. 2011, 46, 457–464. [Google Scholar] [CrossRef]
- Ferreira, R.G.; Silva Junior, W.F.; Veiga Junior, V.F.; Lima, Á.A.; Lima, E.S. Physicochemical characterization and biological activities of the triterpenic mixture α, β-amyrenone. Molecules 2017, 22, 298. [Google Scholar] [CrossRef]
- Angsusing, J.; Singh, S.; Samee, W.; Tadtong, S.; Stokes, L.; O’Connell, M.; Chittasupho, C. Anti-inflammatory activities of Yataprasen Thai traditional formulary and its active compounds, beta-amyrin and stigmasterol, in RAW264. 7 and THP-1 cells. Pharmaceuticals 2024, 17, 1018. [Google Scholar] [CrossRef]
- Krishnan, K.; Mathew, L.E.; Vijayalakshmi, N.R.; Helen, A. Anti-inflammatory potential of β-amyrin, a triterpenoid isolated from Costus igneus. Inflammopharmacology 2014, 22, 373–385. [Google Scholar] [CrossRef]
- Melo, C.M.; Morais, T.C.; Tomé, A.R.; Brito, G.A.C.; Chaves, M.H.; Rao, V.S.; Santos, F.A. Anti-inflammatory effect of α, β-amyrin, a triterpene from Protium heptaphyllum, on cerulein-induced acute pancreatitis in mice. J. Inflamm. Res. 2011, 60, 673–681. [Google Scholar] [CrossRef]
- Hryhorowicz, S.; Kaczmarek-Ryś, M.; Zielińska, A.; Scott, R.J.; Słomski, R.; Pławski, A. Endocannabinoid system as a promising therapeutic target in inflammatory bowel disease a systematic review. Front. Immunol. 2021, 12, 790803. [Google Scholar] [CrossRef]
- Zhang, Y.; Ren, C.; Lu, G.; Mu, Z.; Cui, W.; Gao, H.; Wang, Y. Anti-diabetic effect of mulberry leaf polysaccharide by inhibiting pancreatic islet cell apoptosis and ameliorating insulin secretory capacity in diabetic rats. Int. Immunopharmacol. 2014, 22, 248–257. [Google Scholar] [CrossRef]
- Perera, H.K.I.; Premadasa, W.K.V.K.; Poongunran, J. α-glucosidase and glycation inhibitory effects of Costus speciosus leaves. BMC Complement. Altern. Med. 2015, 16, 2. [Google Scholar] [CrossRef]
- Thouvenot, K.; Turpin, T.; Taïlé, J.; Clément, K.; Meilhac, O.; Gonthier, M.P. Links between insulin resistance and periodontal bacteria: Insights on molecular players and therapeutic potential of polyphenols. Biomolecules. 2022, 12, 378. [Google Scholar] [CrossRef]
- Abdel-Sattar, E.; El Zalabani, S.M.; Sabry, M.M. Role of Dietary Supplements in Cardiovascular Diseases. J. Cardioprot. Nat. Prod. Prom. Hop. 2018, 193–246. [Google Scholar]
- Sunil, C.; Irudayaraj, S.S.; Duraipandiyan, V.; Al-Dhabi, N.A.; Agastian, P.; Ignacimuthu, S. Antioxidant and free radical scavenging effects of β-amyrin isolated from Symplocos cochinchinensis Moore. leaves. Ind. Crops Prod. 2014, 61, 510–516. [Google Scholar] [CrossRef]
- Philpott, H.T.; McDougall, J.J. Combatting joint pain and inflammation by dual inhibition of monoacylglycerol lipase and cyclooxygenase-2 in a rat model of osteoarthritis. Arthritis Res. Ther. 2020, 22, 9. [Google Scholar] [CrossRef] [PubMed]
- De-Almeida, S.C.X.; da-Silva, Â.C.; Sousa, N.R.T.; Amorim, I.H.F.; Leite, B.G.; Neves, K.R.T.; de-Barros Viana, G.S. Antinociceptive and anti-inflammatory activities of a triterpene-rich fraction from Himatanthus drasticus. Braz. J. Med. Biol. Res. 2019, 52, e7798. [Google Scholar] [CrossRef]
- Vikrama Chakravarthi, P.; Murugesan, S.; Arivuchelvan, A.; Sukumar, K.; Arulmozhi, A.; Jagadeeswaran, A. Therapeutic antigout and antioxidant activity of Piper betle L. in gout-induced broilers. Br. Poult. Sci. 2022, 63, 324–331. [Google Scholar] [CrossRef]
- Fischer, S.P.M.; Brusco, I.; Camponogara, C.; Piana, M.; Faccin, H.; Gobo, L.A.; Oliveira, S.M. Arctium minus crude extract presents antinociceptive effect in a mice acute gout attack model. Inflammopharmacology 2018, 26, 505–519. [Google Scholar] [CrossRef]
- Banik, B.; Das, S.; Das, M.K. Medicinal Plants with Potent Anti-inflammatory and Anti-arthritic Properties Found in Eastern Parts of the Himalaya: An Ethnomedicinal Review. Pharmacogn. Rev. 2020, 14, 121–137. [Google Scholar] [CrossRef]
- Baburaj, R.; Sandur, V.R.; Das, K. Investigation of the Pro-active Role of Alpha Amyrin Nanoemulsions in Quashing Neurodegeneration, Excitotoxicity, and Neuronal Inflammation-A Combined in vivo and in silico Approach. Indian J. Pharm. Educ. Res. 2024, 58, 240–253. [Google Scholar] [CrossRef]
- Liu, J.; Meng, T.; Wang, C.; Cheng, W.; Zhang, Q.; Cheng, G. Natural products for the treatment of depression: Insights into signal pathways influencing the hypothalamic–pituitary–adrenal axis. Medicine. 2023, 102, e35862. [Google Scholar] [CrossRef]
- Goldberg, J.L.; Barres, B.A. The relationship between neuronal survival and regeneration. Annu. Rev. Neurosci. 2000, 23, 579–612. [Google Scholar] [CrossRef]
- Alghamdi, S.S.; Suliman, R.S.; Aljammaz, N.A.; Kahtani, K.M.; Aljatli, D.A.; Albadrani, G.M. Natural products as novel neuroprotective agents; computational predictions of the molecular targets, ADME properties, and safety profile. Plants 2022, 11, 549. [Google Scholar] [CrossRef]
- Ranjbar, M.M.; Assadolahi, V.; Yazdani, M.; Nikaein, D.; Rashidieh, B. Virtual Dual inhibition of COX-2/5-LOX enzymes based on binding properties of alpha-amyrins, the anti-inflammatory compound as a promising anti-cancer drug. EXCLI J. 2016, 15, 238. [Google Scholar]
- Drif, A.I.; Avula, B.; Khan, I.A.; Efferth, T. COX2-Inhibitory and Cytotoxic Activities of Phytoconstituents of Matricaria chamomilla L. J. Appl. Sci. 2023, 13, 8935. [Google Scholar] [CrossRef]
- Beg, M.A.; Shivangi; Afzal, O.; Akhtar, M.S.; Altamimi, A.S.A.; Hussain, A.; Imam, M.A.; Ahmad, M.N.; Chopra, S.; Athar, F. Potential efficacy of β-amyrin targeting mycobacterial universal stress protein by in vitro and in silico approach. Molecules 2022, 27, 4581. [Google Scholar] [CrossRef]
- Kwun, M.S.; Lee, H.J.; Lee, D.G. β-amyrin-induced apoptosis in Candida albicans triggered by calcium. J. Microbiol. Biotechnol. 2021, 125, 630–636. [Google Scholar] [CrossRef]
- Mi, G.; Shi, D.; Wang, M.; Webster, T.J. Reducing bacterial infections and biofilm formation using nanoparticles and nanostructured antibacterial surfaces. Adv. Healthc. Mater. 2018, 7, 1800103. [Google Scholar] [CrossRef]
- Mamidala, E.; Munipally, P. Inhibitory potential of α-Amyrin from Calotropis procera against HIV-1 reverse transcriptase: Insights from in silico and in vitro assays. Pharmaceuticals 2025, 16, 258–288. [Google Scholar]
- Hasan, K.; Ferdianti, F.N.; Paryati, S.P. Anti-HIV Transcriptase Herbs: A Review. Acta Med. Health Sci. 2023, 2, 96–108. [Google Scholar] [CrossRef]
- Rüdiger, A.L.; Siani, A.C.; Junior, V.V. The chemistry and pharmacology of the South America genus Protium Burm. f. (Burseraceae). Pharmacogn. Rev. 2007, 1, 93–104. [Google Scholar]
- Okoye, N.N.; Ajaghaku, D.L.; Okeke, H.N.; Ilodigwe, E.E.; Nworu, C.S.; Okoye, F.B.C. Beta-amyrin and alpha-amyrin acetate isolated from the stem bark of Alstonia boonei display profound anti-inflammatory activity. Pharm. Biol. 2014, 52, 1478–1486. [Google Scholar] [CrossRef] [PubMed]
- Sirat, H.M.; Susanti, D.; Ahmad, F.; Takayama, H.; Kitajima, M. Amides, triterpene, and flavonoids from the leaves of Melastoma malabathricum L. J. Nat. Med. 2010, 64, 492–495. [Google Scholar] [CrossRef] [PubMed]
- Saeidnia, S.; Ara, L.; Hajimehdipoor, H.; Read, R.W.; Arshadi, S.; Nikan, M. Chemical constituents of Swertia longifolia Boiss. with α-amylase inhibitory activity. Res. Pharm. Sci. 2016, 11, 23–32. [Google Scholar] [PubMed]
- Quan, N.V.; Xuan, T.D.; Tran, H.D.; Thuy, N.T.D.; Trang, L.T.; Huong, C.T.T.; Tuyen, P.T. Antioxidant, α-amylase and α-glucosidase inhibitory activities and potential constituents of Canarium tramdenum bark. Molecules 2019, 24, 605. [Google Scholar] [CrossRef]
Disclaimer/Publisher’s Note: The statements, opinions and data contained in all publications are solely those of the individual author(s) and contributor(s) and not of MDPI and/or the editor(s). MDPI and/or the editor(s) disclaim responsibility for any injury to people or property resulting from any ideas, methods, instructions or products referred to in the content. |
© 2025 by the authors. Licensee MDPI, Basel, Switzerland. This article is an open access article distributed under the terms and conditions of the Creative Commons Attribution (CC BY) license (https://creativecommons.org/licenses/by/4.0/).


