Spatial Distribution Characteristics and Influencing Factors of Traditional Villages in China
Abstract
:1. Introduction
2. Materials and Methods
2.1. Data Sources and Processing
2.2. Methods
2.2.1. Nearest Neighbour Index
2.2.2. Geographic Concentration Index
2.2.3. Imbalance Index
2.2.4. Kernel Density Analysis
2.2.5. Pearson’s Correlation Analysis
3. Results
3.1. Spatial Distribution Characteristics of Traditional Villages in China
3.2. Influencing Factors of Traditional Villages in China
3.2.1. Socioeconomic Influencing Factors
Level of Economic Development
Transport Accessibility Conditions
Population Size
Distance from Central Cities
3.2.2. Cultural and Historical Influencing Factors
Number of Cultural and Related Industrial Legal Entities above Designated Size
Intangible Cultural Heritage
3.2.3. Physical Influencing Factors
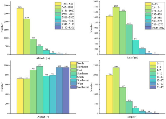
Altitude
Relief
Aspect
Slope
Climate
4. Discussion
4.1. Value of Protecting Traditional Villages
4.2. How to Protect and Develop Traditional Villages in China
4.3. Validations and Limitations of the Study
5. Conclusions
Author Contributions
Funding
Institutional Review Board Statement
Informed Consent Statement
Data Availability Statement
Conflicts of Interest
References
- He, Y.; Zhang, T.; Xiong, D. Evaluation on cultural value of traditional villages and differential revitalization: A case study of Jiaozuo City, Henan Province. Econ. Geogr. 2020, 40, 230–239. [Google Scholar]
- Katapidi, I. Heritage policy meets community praxis: Widening conservation approaches in the traditional villages of central Greece. J. Rural. Stud. 2021, 81, 47–58. [Google Scholar] [CrossRef]
- Liu, D.; Hu, J.; Chen, J. The study of spatial distribution patterns of traditional villages in China. Chin. Popul. Res. Environ. 2014, 24, 157–162. [Google Scholar]
- Paraskevopoulou, A.T.; Nektarios, P.A.; Kotsiris, G. Post-fire attitudes and perceptions of people towards the landscape character and development in the rural Peloponnese: A case study of the traditional village of Leontari, Arcadia, Greece. J. Environ. Manag. 2019, 241, 567–574. [Google Scholar] [CrossRef] [PubMed]
- Xu, S.; Dong, L. Sustainable development of Chinese Traditional Villages under the “Belt and Road Initiative”. J. Southwest For. Uni. 2021, 5, 50–53. [Google Scholar]
- Gao, J.; Wu, B. Revitalizing traditional villages through rural tourism: A case study of Yuanjia Village, Shaanxi Province, China. Tour. Manag. 2017, 63, 223–233. [Google Scholar] [CrossRef]
- Chen, X.; Xie, W.; Li, H. The spatial evolution process, characteristics and driving factors of traditional villages from the perspective of the cultural ecosystem: A case study of Chengkan Village. Habitat Int. 2020, 104, 102250. [Google Scholar] [CrossRef]
- Fu, J.; Zhou, J.; Deng, Y. Heritage values of ancient vernacular residences in traditional villages in Western Hunan, China: Spatial patterns and influencing factors. Build Environ. 2021, 188, 107473. [Google Scholar] [CrossRef]
- Feng, Y.; Yu, W.; Lei, R. Spatial distribution features and controlling factors of traditional villages in Guangdong Province. Sci. Geogr. Sin. 2017, 37, 236–243. [Google Scholar]
- Li, J.; Chu, J.; Ye, J. Spatial evolutionary characteristics and driving mechanism of traditional villages in ancient Huizhou. Econ. Geogr. 2018, 38, 153–165. [Google Scholar]
- Li, B.; Zeng, C.; Liu, P.; Dou, Y. System characteristics and dynamic mechanism of transformation development of human settlement environment in traditional villages: A case study of Lanxi Village, Jiangyong County. Econ. Geogr. 2019, 39, 153–159. [Google Scholar]
- Ma, H.; Tong, Y. Spatial differentiation of traditional villages using ArcGIS and GeoDa: A case study of Southwest China. Ecol. Inform. 2022, 68, 101416. [Google Scholar] [CrossRef]
- Ma, Y.; Huang, Z. Research on spatial distribution and accessibility of the traditional villages in the urban agglomeration on the middle reaches of the Yangtze River based on GWR model. Hum. Geogr. 2017, 32, 78–85. [Google Scholar]
- Tong, Y.; Long, H. The spatial differentiation factors of ethnic traditional villages in Guizhou. Econ. Geogr. 2015, 35, 133–137. [Google Scholar]
- Wen, J.; Wu, Y. Villages with a loss of villages: The transformation of the traditional villages and reflections on rurality. Soc. Stud. 2017, 32, 22–45, 242–243. [Google Scholar]
- Dewi, L.K.Y. Modeling the Relationships between Tourism Sustainable Factor in the Traditional Village of Pancasari. Proc.-Soc. Behav. Sci. 2014, 135, 57–63. [Google Scholar] [CrossRef] [Green Version]
- Ghaderi, Z.; Michael Hall, M.C.; Ryan, C. Overtourism, residents and Iranian rural villages: Voices from a developing country. J. Outdoor Recreat. Tourism. 2022, 37, 100487. [Google Scholar] [CrossRef]
- Xie, H.; Li, Y.; Wei, Y. Influencing factor sand spatial distribution of the characteristic towns in Zhejiang Province. Sci. Geogr. Sin. 2018, 38, 1283–1291. [Google Scholar]
- Xue, M.; Wang, C.; Dou, W. Spatial distribution characteristics of traditional villages in the Yellow River basin and influencing factors. J. Arid Land Res. Environ. 2020, 34, 94–99. [Google Scholar]
- Yan, S. Analysis of the characteristic and causes of Chinese traditional villages distribution. J. Dly. Univ. 2014, 13, 25–29. [Google Scholar]
- Kong, Y.; Zhang, J.; Zhao, B. Research on the spatial patterns of traditional villages under the background of new urbanization: A case study of villages in northern China. Urban Stud. 2015, 22, 44–51. [Google Scholar]
- Wang, D.; Zhu, Y.; Zhao, M.; Lv, Q. Multi-dimensional hollowing characteristics of traditional villages and its influence mechanism based on the micro-scale: A case study of Dongcun Village in Suzhou, China. Land Use Policy 2021, 101, 105146. [Google Scholar] [CrossRef]
- Li, J.; Wang, X.; Li, X. Spatial distribution characteristics and influencing factors of Chinese traditional villages. Econ. Geogr. 2020, 40, 144–153. [Google Scholar]
- Ju, X.; Yang, C.; Zhao, M.; Xu, Y.; Zhou, D.; Zhang, Y. Spatial Distribution Characteristics and Influencing Factors of Traditional Villages in Zhejiang, Anhui, Shaanxi, Yunnan Provinces. Econ. Geogr. 2022, 42, 222–230. [Google Scholar]
- Xiong, M. Spatial distribution and influence factors of Chinese traditional villages. J. Beijing I Technol. 2014, 16, 153–158. [Google Scholar]
- Guan, Z.; Wang, T.; Zhi, X. Temporal-spatial pattern differentiation of traditional villages in central plains economic region. Econ. Geogr. 2017, 37, 225–232. [Google Scholar]
- Liang, B.; Xiao, D.; Tao, J.; Ji, J.; Zuo, X.; Huang, Y. Spatio-Temporal Distribution and Evolution of Hakka Traditional Villages in Ganzhou. Econ. Geogr. 2018, 38, 196–203. [Google Scholar]
- Kang, J.; Zhang, J.; Hu, H.; Zhou, J.; Xiong, J. Analysis on the spatial distribution characteristics of Chinese traditional villages. Prog. Geogr. 2016, 35, 839–850. [Google Scholar]
- Clark, P.J.; Evans, F.C. Distance to nearest neighbor as a measure of spatial relationships in population. Ecology 1954, 35, 445–453. [Google Scholar] [CrossRef]
- Tian, H. Spatial distributive characteristics and its influencing factors of traditional villages in Beijing-Tianjin-Hebei Region. Econ. Geogr. 2020, 40, 143–149. [Google Scholar]
- Silverman, B.W. Density Estimation for Statistics and Data Analysis; Chapman and Hall: London, UK, 1986. [Google Scholar]
- Pearson, E.S. Karl Pearson: An appreciation of some aspects of his life and work. Biometrika 1936, 28, 193–257. [Google Scholar] [CrossRef]
- Qin, X.; Li, Y.; Lu, Z.; Pan, W. What makes better village economic development in traditional agricultural areas of China? Evidence from 338 villages. Habitat Int. 2020, 106, 102286. [Google Scholar] [CrossRef]
- Zhou, Q. Strategy for strengthening the protection of traditional villages during urbanization process. Urban Rural. Dev. 2014, 8, 6–13+4. [Google Scholar]
- Zhang, S. A study on traditional villages as a form of human settlement and their integrated conservation. Urban Plan. 2017, 2, 44–49. [Google Scholar]
- Wang, N. Geographical embeddedness, geographic disembeddedness and social protection mechanism of traditional villages. Tour. Trib. 2017, 32, 1–3. [Google Scholar]
- Hu, X.; Li, H.; Zhang, X.; Chen, X.; Yuan, Y. Multi-dimensionality and the totality of rural spatial restructuring from the perspective of the rural space system: A case study of traditional villages in the ancient Huizhou region, China. Habitat Int. 2019, 94, 102062. [Google Scholar] [CrossRef]
- Pei, Y.; Gong, K.; Leng, J. Study on the inter-village space of a traditional village group in Huizhou Region: Hongguan Village group as an example. Front. Archit. Res. 2020, 9, 588–605. [Google Scholar] [CrossRef]
- Zhang, Y.; Long, H.; Ma, L.; Tu, S.; Chen, K. Research progress of urban-rural relations and its implications for rural revitalization. Geogr. Res. 2019, 38, 578–594. [Google Scholar]
- Chen, H.; Gao, Q. An empirical study on the positive role of rural rules and regulations in rural governance. Tinghua Univ. Law J. 2018, 12, 62–88. [Google Scholar]
- Wu, J.; Lu, Y.; Gao, H.; Wang, M. Cultivating historical heritage area vitality using urban morphology approach based on big data and machine learning. Comput. Environ. Urban Syst. 2022, 91, 101716. [Google Scholar] [CrossRef]
- Min, Z.; Hong, L. Minshuku: Traditional village preservation and development, Xichong Village, Wuyuan County. Planners 2017, 33, 82–88. [Google Scholar]











| Provinces | Batch 1 | Batch 2 | Batch 3 | Batch 4 | Batch 5 | Total |
|---|---|---|---|---|---|---|
| Tianjin | 1 | 0 | 0 | 2 | 1 | 4 |
| Ningxia | 4 | 0 | 0 | 1 | 0 | 5 |
| Shanghai | 5 | 0 | 0 | 0 | 0 | 5 |
| Jilin | 0 | 2 | 4 | 3 | 2 | 11 |
| Heilongjiang | 2 | 1 | 2 | 1 | 8 | 14 |
| Xinjiang | 4 | 3 | 8 | 2 | 1 | 18 |
| Beijing | 9 | 4 | 3 | 5 | 1 | 22 |
| Liaoning | 0 | 0 | 8 | 9 | 13 | 30 |
| Jiangsu | 3 | 13 | 10 | 2 | 5 | 33 |
| Tibet | 5 | 1 | 5 | 8 | 16 | 35 |
| Inner Mongolia | 3 | 5 | 16 | 20 | 2 | 46 |
| Gansu | 7 | 6 | 2 | 21 | 18 | 54 |
| Hainan | 7 | 0 | 12 | 28 | 17 | 64 |
| Shaanxi | 5 | 8 | 17 | 41 | 43 | 114 |
| Chongqing | 14 | 2 | 47 | 11 | 36 | 110 |
| Qinghai | 13 | 7 | 21 | 38 | 44 | 123 |
| Shandong | 10 | 6 | 21 | 38 | 50 | 125 |
| Henan | 16 | 46 | 37 | 25 | 81 | 205 |
| Hebei | 32 | 7 | 18 | 88 | 61 | 206 |
| Hubei | 28 | 15 | 46 | 29 | 88 | 206 |
| Guangdong | 40 | 51 | 35 | 34 | 103 | 263 |
| Guangxi | 39 | 30 | 20 | 72 | 119 | 280 |
| Sichuan | 20 | 42 | 22 | 141 | 108 | 333 |
| Jiangxi | 33 | 56 | 36 | 50 | 168 | 343 |
| Anhui | 25 | 40 | 46 | 52 | 237 | 400 |
| Fujian | 48 | 25 | 52 | 104 | 265 | 494 |
| Shanxi | 48 | 22 | 59 | 150 | 271 | 550 |
| Zhejiang | 43 | 47 | 86 | 225 | 235 | 636 |
| Hunan | 30 | 42 | 19 | 166 | 401 | 658 |
| Yunnan | 62 | 232 | 208 | 113 | 93 | 708 |
| Guizhou | 90 | 202 | 134 | 119 | 179 | 724 |
| In total | 646 | 915 | 994 | 1598 | 2666 | 6819 |
Publisher’s Note: MDPI stays neutral with regard to jurisdictional claims in published maps and institutional affiliations. |
© 2022 by the authors. Licensee MDPI, Basel, Switzerland. This article is an open access article distributed under the terms and conditions of the Creative Commons Attribution (CC BY) license (https://creativecommons.org/licenses/by/4.0/).
Share and Cite
Bian, J.; Chen, W.; Zeng, J. Spatial Distribution Characteristics and Influencing Factors of Traditional Villages in China. Int. J. Environ. Res. Public Health 2022, 19, 4627. https://doi.org/10.3390/ijerph19084627
Bian J, Chen W, Zeng J. Spatial Distribution Characteristics and Influencing Factors of Traditional Villages in China. International Journal of Environmental Research and Public Health. 2022; 19(8):4627. https://doi.org/10.3390/ijerph19084627
Chicago/Turabian StyleBian, Jiaojiao, Wanxu Chen, and Jie Zeng. 2022. "Spatial Distribution Characteristics and Influencing Factors of Traditional Villages in China" International Journal of Environmental Research and Public Health 19, no. 8: 4627. https://doi.org/10.3390/ijerph19084627
APA StyleBian, J., Chen, W., & Zeng, J. (2022). Spatial Distribution Characteristics and Influencing Factors of Traditional Villages in China. International Journal of Environmental Research and Public Health, 19(8), 4627. https://doi.org/10.3390/ijerph19084627

