Correlation between Lindane Use and the Incidence of Thyroid Cancer in the United States: An Ecological Study
Abstract
1. Introduction
2. Materials and Methods
Statistical Analysis
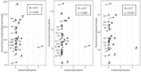
3. Results
4. Discussion
5. Conclusions
Supplementary Materials
Author Contributions
Funding
Institutional Review Board Statement
Informed Consent Statement
Data Availability Statement
Conflicts of Interest
References
- Davies, L.; Welch, H.G. Increasing incidence of thyroid cancer in the United States, 1973–2002. JAMA 2006, 295, 2164–2167. [Google Scholar] [CrossRef] [PubMed]
- Kitahara, C.M.; Sosa, J.A. The changing incidence of thyroid cancer. Nat. Rev. Endocrinol. 2016, 12, 646–653. [Google Scholar] [CrossRef] [PubMed]
- Alsen, M.; Sinclair, C.; Cooke, P.; Ziadkhanpour, K.; Genden, E.; van Gerwen, M. Endocrine Disrupting Chemicals and Thyroid Cancer: An Overview. Toxics 2021, 9, 14. [Google Scholar] [CrossRef] [PubMed]
- Fiore, M.; Conti, G.O.; Caltabiano, R.; Buffone, A.; Zuccarello, P.; Cormaci, L.; Cannizzaro, M.A.; Ferrante, M. Role of Emerging Environmental Risk Factors in Thyroid Cancer: A Brief Review. Int. J. Environ. Res. Public Health 2019, 16, 1185. [Google Scholar] [CrossRef] [PubMed]
- Leemans, M.; Couderq, S.; Demeneix, B.; Fini, J.B. Pesticides with Potential Thyroid Hormone-Disrupting Effects: A Review of Recent Data. Front. Endocrinol. 2019, 10, 743. [Google Scholar] [CrossRef]
- Deziel, N.C.; Warren, J.L.; Huang, H.; Zhou, H.; Sjodin, A.; Zhang, Y. Exposure to polychlorinated biphenyls and organochlorine pesticides and thyroid cancer in connecticut women. Environ. Res. 2021, 192, 110333. [Google Scholar] [CrossRef]
- Freire, C.; Koifman, R.J.; Sarcinelli, P.N.; Rosa, A.C.S.; Clapauch, R.; Koifman, S. Long-term exposure to organochlorine pesticides and thyroid status in adults in a heavily contaminated area in Brazil. Environ. Res. 2013, 127, 7–15. [Google Scholar] [CrossRef]
- Purdue, M.P.; Hoppin, J.A.; Blair, A.; Dosemeci, M.; Alavanja, M.C. Occupational exposure to organochlorine insecticides and cancer incidence in the Agricultural Health Study. Int. J. Cancer 2007, 120, 642–649. [Google Scholar] [CrossRef]
- Lerro, C.C.; Freeman, L.E.B.; DellaValle, C.T.; Andreotti, G.; Hofmann, J.N.; Koutros, S.; Parks, C.G.; Shrestha, S.; Alavanja, M.C.; Blair, A.; et al. Pesticide exposure and incident thyroid cancer among male pesticide applicators in agricultural health study. Environ. Int. 2021, 146, 106187. [Google Scholar] [CrossRef]
- Attaullah, M.; Yousuf, M.J.; Shaukat, S.; Anjum, S.I.; Ansari, M.J.; Buneri, I.D.; Tahir, M.; Amin, M.; Ahmad, N.; Ullah Khan, S. Serum organochlorine pesticides residues and risk of cancer: A case-control study. Saudi J. Biol. Sci. 2018, 25, 1284–1290. [Google Scholar] [CrossRef]
- Mekonen, S.; Ibrahim, M.; Astatkie, H.; Abreha, A. Exposure to organochlorine pesticides as a predictor to breast cancer: A case-control study among Ethiopian women. PLoS ONE 2021, 16, e0257704. [Google Scholar]
- Han, M.A.; Kim, J.H.; Song, H.S. Persistent organic pollutants, pesticides, and the risk of thyroid cancer: Systematic review and meta-analysis. Eur. J. Cancer Prev. 2019, 28, 344–349. [Google Scholar] [CrossRef] [PubMed]
- Lindane–World Health Organization. Available online: https://monographs.iarc.who.int/wp-content/uploads/2018/07/mono113-02.pdf (accessed on 23 August 2022).
- Lindane (Gamma-Hexachlorocyclohexane)–US EPA. Available online: https://www.epa.gov/sites/default/files/2016-09/documents/lindane.pdf (accessed on 23 August 2022).
- Brown, V.J. Life after Lindane in California: Water Concentrations, Poison Control Calls Drop Following Ban; National Institute of Environmental Health Sciences: Durham, CA, USA, 2008. [Google Scholar]
- IARC Monographs on the Identification of Carcinogenic Hazards to Humans. Available online: https://monographs.iarc.who.int/list-of-classifications (accessed on 23 August 2022).
- Lindane-Stockholm Convention. Available online: http://chm.pops.int/Implementation/Alternatives/AlternativestoPOPs/ChemicalslistedinAnnexA/Lindane/tabid/5865/Default.aspx (accessed on 23 August 2022).
- Schinasi, L.; Leon, M.E. Non-Hodgkin lymphoma and occupational exposure to agricultural pesticide chemical groups and active ingredients: A systematic review and meta-analysis. Int. J. Environ. Res. Public Health 2014, 11, 4449–4527. [Google Scholar] [CrossRef] [PubMed]
- Blair, A.; Cantor, K.P.; Zahm, S.H. Non-Hodgkin’s lymphoma and agricultural use of the insecticide lindane. Am. J. Ind. Med. 1998, 33, 82–87. [Google Scholar] [CrossRef]
- Biomonitoring Summary CDC. Available online: https://www.cdc.gov/biomonitoring/Hexachlorocyclohexane_BiomonitoringSummary.html (accessed on 23 August 2022).
- Misra, K.; Brar, K.S.; Verma, M.; Tyagi, R.; Trivedy, R.; Sharma, S. Lindane-A contaminant of global concern. I Control Pollut. 2007, 23, 169–187. [Google Scholar]
- Lindane (Persistent Organic Pollutant) in the EU. Available online: https://www.europarl.europa.eu/RegData/etudes/STUD/2016/571398/IPOL_STU(2016)571398_EN.pdf (accessed on 23 August 2022).
- Jayaraj, R.; Megha, P.; Sreedev, P. Organochlorine pesticides, their toxic effects on living organisms and their fate in the environment. Interdiscip. Toxicol. 2016, 9, 90–100. [Google Scholar] [CrossRef]
- U.S. Cancer Statistics Data Visualizations Tool. Available online: www.cdc.gov/cancer/dataviz (accessed on 23 August 2022).
- ArcGIS. Available online: https://www.esri.com/en-us/arcgis/about-arcgis/overview (accessed on 23 August 2022).
- Thelin, G.P.; Stone, W.W. Estimation of annual agricultural pesticide use for countries of the conterminous United States, 1992–2009. In U.S. Geological Survey Scientific Investigations Report; US Department of the Interior, US Geological Survey: Sacramento, CA, USA, 2013; Volume 54. [Google Scholar]
- Humphreys, E.H.; Janssen, S.; Heil, A.; Hiatt, P.; Solomon, G.; Miller, M.D. Outcomes of the California ban on pharmaceutical lindane: Clinical and ecologic impacts. Environ. Health Perspect. 2008, 116, 297–302. [Google Scholar] [CrossRef]
- Schafer, K. Lindane; Partial Ban in California Spurs Action in Other States. Glob. Pestic. Campaign. 2004, 14, 12. [Google Scholar]
- IARC Monographs Evaluate DDT, Lindane, and 2,4-D World Health Organization. Available online: https://www.iarc.who.int/wp-content/uploads/2018/07/pr236_E.pdf (accessed on 23 August 2022).
- Spinelli, C.; Ghionzoli, M.; Oreglio, C.; Sanna, B.; De Napoli, L.; Morganti, R.; Antonelli, A.; Morabito, A.; Miccoli, P. Increased trend of thyroid cancer in childhood over the last 30 years in EU countries: A call for the pediatric surgeon. Eur. J. Pediatr. 2022, 181, 3907–3913. [Google Scholar] [CrossRef]
- Salimi, F.; Asadikaram, G.; Abolhassani, M.; Nejad, H.Z.; Bagheri, F.; Kahnouei, M.M.; Abbasi-jorjandi, M.; Sanjari, M. Association between Organochlorine Pesticides and Thyroid Tumors; an in-silico and in-vivo Case Control Study. Res. Sq. 2020, 1–38. [Google Scholar] [CrossRef]
- Klaunig, J.E. Oxidative Stress and Cancer. Curr. Pharm. Des. 2018, 24, 4771–4778. [Google Scholar] [CrossRef] [PubMed]
- Reuter, S.; Gupta, S.C.; Chaturvedi, M.M.; Aggarwal, B.B. Oxidative stress, inflammation, and cancer: How are they linked? Free Radic. Biol. Med. 2010, 49, 1603–1616. [Google Scholar] [CrossRef] [PubMed]
- Program, N.T. Bioassay of lindane for possible carcinogenicity. Natl. Cancer Inst. Carcinog. Tech. Rep. Ser. 1977, 14, 1–99. [Google Scholar]
- Anand, M.; Agrawal, A.; Rehmani, B.; Gupta, G.; Rana, M.; Seth, P. Role of GABA receptor complex in low dose lindane (HCH) induced neurotoxicity: Neurobehavioural, neurochemical and electrophysiological studies. Drug Chem. Toxicol. 1998, 21, 35–46. [Google Scholar] [CrossRef]
- Alvarez-Pedrerol, M.; Ribas-Fitó, N.; Torrent, M.; Carrizo, D.; Garcia-Esteban, R.; Grimalt, J.O.; Sunyer, J. Thyroid disruption at birth due to prenatal exposure to beta-hexachlorocyclohexane. Environ. Int. 2008, 34, 737–740. [Google Scholar] [CrossRef]
- Goldner, W.S.; Sandler, D.P.; Yu, F.; Hoppin, J.A.; Kamel, F.; Levan, T.D. Pesticide use and thyroid disease among women in the Agricultural Health Study. Am. J. Epidemiol. 2010, 171, 455–464. [Google Scholar] [CrossRef]
- Shrestha, S.; Parks, C.G.; Goldner, W.; Kamel, F.; Umbach, D.M.; Ward, M.H.; Lerro, C.C.; Koutros, S.; Hofmann, J.N.; Freeman, L.E.B.; et al. Pesticide Use and Incident Hypothyroidism in Pesticide Applicators in the Agricultural Health Study. Environ. Health Perspect. 2018, 126, 97008. [Google Scholar] [CrossRef]
- Schantz, S.L.; Widholm, J.J. Cognitive effects of endocrine-disrupting chemicals in animals. Environ. Health Perspect. 2001, 109, 1197–1206. [Google Scholar] [CrossRef]
- Cohn, B.A.; Wolff, M.S.; Cirillo, P.M.; Sholtz, R.I. DDT and breast cancer in young women: New data on the significance of age at exposure. Environ. Health Perspect. 2007, 115, 1406–1414. [Google Scholar] [CrossRef]
- Johri, A.; Dhawan, A.; Singh, R.L.; Parmar, D. Persistence in alterations in the ontogeny of cerebral and hepatic cytochrome P450s following prenatal exposure to low doses of lindane. Toxicol. Sci. 2008, 101, 331–340. [Google Scholar] [CrossRef][Green Version]
- Siddiqui, M.K.; Srivastava, S.; Srivastava, S.P.; Mehrotra, P.K.; Mathur, N.; Tandon, I. Persistent chlorinated pesticides and intra-uterine foetal growth retardation: A possible association. Int. Arch. Occup. Environ. Health 2003, 76, 75–80. [Google Scholar] [CrossRef] [PubMed]
- Rivera, S.; Rosa, R.; Martínez, E.; Suñol, C.; Serrano, M.T.; Vendrell, M.; Rodríguez-Farré, E.; Sanfeliu, C. Behavioral and monoaminergic changes after lindane exposure in developing rats. Neurotoxicol. Teratol. 1998, 20, 155–160. [Google Scholar] [CrossRef]
- Brannen, K.C.; Devaud, L.L.; Liu, J.; Lauder, J.M. Prenatal exposure to neurotoxicants dieldrin or lindane alters tert-butylbicyclophosphorothionate binding to GABA(A) receptors in fetal rat brainstem. Dev. Neurosci. 1998, 20, 34–41. [Google Scholar] [CrossRef] [PubMed]




| Year | Correlation Coefficient | p-Value |
|---|---|---|
| 1999 | 0.021 | 0.911 |
| 2000 | 0.109 | 0.567 |
| 2001 | 0.059 | 0.753 |
| 2002 | 0.122 | 0.521 |
| 2003 | 0.133 | 0.482 |
| 2004 | 0.110 | 0.561 |
| 2005 | 0.06 | 0.764 |
| 2006 | 0.02 | 0.929 |
| 2007 | 0.05 | 0.791 |
| 2008 | 0.01 | 0.954 |
| 2009 | 0.06 | 0.756 |
| 2010 | 0.07 | 0.716 |
| 2011 | 0.07 | 0.725 |
| 2012 | 0.06 | 0.742 |
| 2013 | −0.04 | 0.838 |
| 2014 | 0.13 | 0.482 |
| 2015 | 0.09 | 0.623 |
| 2016 | 0.14 | 0.453 |
| 2017 | 0.04 | 0.821 |
| 2018 | 0.09 | 0.611 |
| 2019 | 0.17 | 0.364 |
| Year | Mann-Kendall | p-Value |
|---|---|---|
| 1992–2007 | −0.617 | <0.001 |
Publisher’s Note: MDPI stays neutral with regard to jurisdictional claims in published maps and institutional affiliations. |
© 2022 by the authors. Licensee MDPI, Basel, Switzerland. This article is an open access article distributed under the terms and conditions of the Creative Commons Attribution (CC BY) license (https://creativecommons.org/licenses/by/4.0/).
Share and Cite
Alsen, M.; Vasan, V.; Genden, E.M.; Sinclair, C.; van Gerwen, M. Correlation between Lindane Use and the Incidence of Thyroid Cancer in the United States: An Ecological Study. Int. J. Environ. Res. Public Health 2022, 19, 13158. https://doi.org/10.3390/ijerph192013158
Alsen M, Vasan V, Genden EM, Sinclair C, van Gerwen M. Correlation between Lindane Use and the Incidence of Thyroid Cancer in the United States: An Ecological Study. International Journal of Environmental Research and Public Health. 2022; 19(20):13158. https://doi.org/10.3390/ijerph192013158
Chicago/Turabian StyleAlsen, Mathilda, Vikram Vasan, Eric M. Genden, Catherine Sinclair, and Maaike van Gerwen. 2022. "Correlation between Lindane Use and the Incidence of Thyroid Cancer in the United States: An Ecological Study" International Journal of Environmental Research and Public Health 19, no. 20: 13158. https://doi.org/10.3390/ijerph192013158
APA StyleAlsen, M., Vasan, V., Genden, E. M., Sinclair, C., & van Gerwen, M. (2022). Correlation between Lindane Use and the Incidence of Thyroid Cancer in the United States: An Ecological Study. International Journal of Environmental Research and Public Health, 19(20), 13158. https://doi.org/10.3390/ijerph192013158

