Effect of Iron and Folic Acid Supplementation on the Level of Essential and Toxic Elements in Young Women
Abstract
1. Introduction
2. Materials and Methods
2.1. Demographic Characteristics
2.2. Study Design
2.3. Anthropometry
2.4. Blood Sampling
2.5. Biochemical Parameters
2.6. Measurement of Elements
2.7. Statistical Analysis
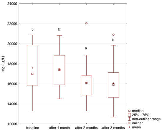
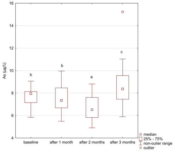
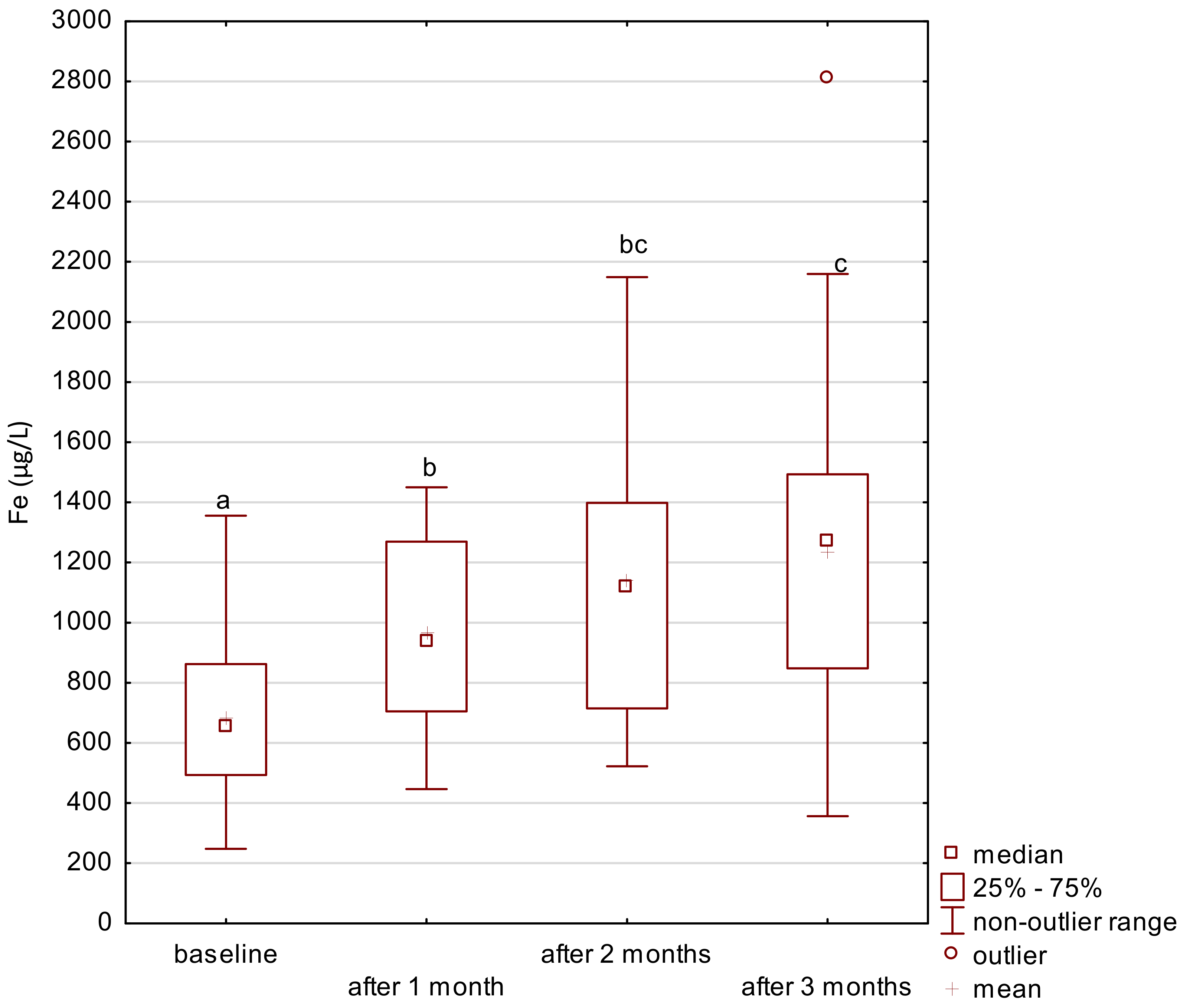
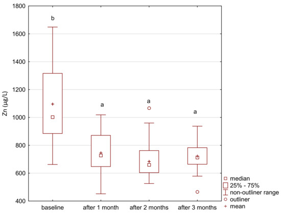
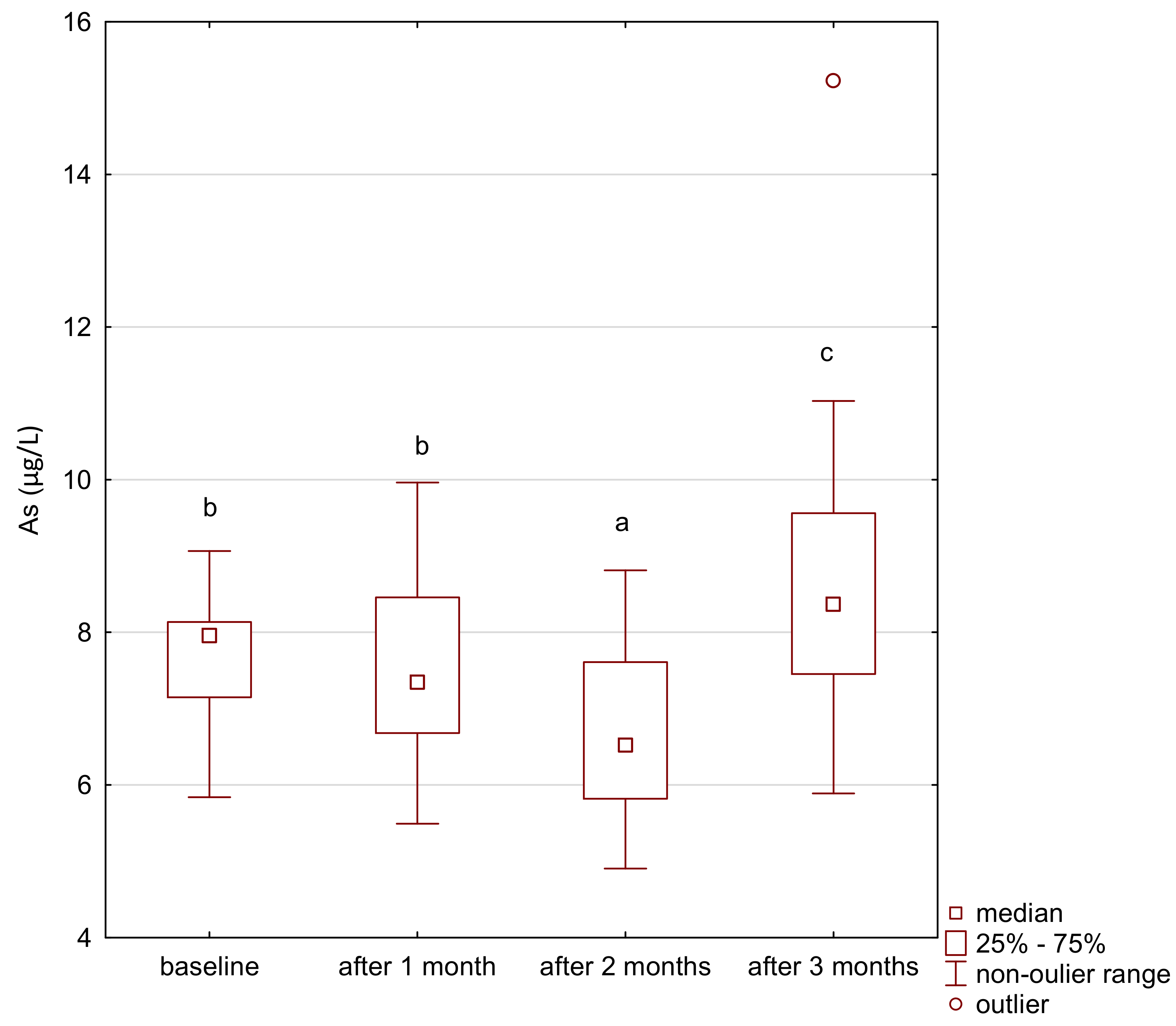
3. Results
4. Discussion
5. Conclusions
Author Contributions
Funding
Institutional Review Board Statement
Informed Consent Statement
Data Availability Statement
Conflicts of Interest
References
- World Health Organization. Weekly Iron and Folic Acid Supplementation as an Anaemia-Prevention Strategy in Women and Adolescent Girls Lessons Learnt from Implementation of Programmes among Non-Pregnant Women of Reproductive Age; WHO: Geneva, Switzerland, 2018; 26p. [Google Scholar]
- WHO. Guideline: Daily Iron and Folic Acid Supplementation in Pregnant Women; World Health Organization: Geneva, Switzerland, 2012. [Google Scholar]
- Chung, J.Y.; Yu, S.D.; Hong, Y.S. Environmental source of arsenic exposure. J. Prev. Med. Public Health 2014, 47, 253–257. [Google Scholar] [CrossRef] [PubMed]
- Radziejewska, A.; Suliburska, J.; Kołodziejski, P.; Chmurzynska, A. Role of Slc19a1 and Tfr2 in liver transport of iron and folate: A rat model of folate/iron deficiency followed by supplementation. J. Trace Elem. Med. Biol. 2020, 62. [Google Scholar] [CrossRef]
- Radziejewska, A.; Suliburska, J.; Kołodziejski, P.; Chmurzynska, A. Simultaneous supplementation with iron and folic acid can affect Slc11a2 and Slc46a1 transcription and metabolite concentrations in rats. Br. J. Nutr. 2020, 123, 264–272. [Google Scholar] [CrossRef] [PubMed]
- Suliburska, J.; Skrypnik, K.; Chmurzyńska, A. Folic Acid Affects Iron Status in Female Rats with Deficiency of These Micronutrients. Biol. Trace Elem. Res. 2020, 195, 551–558. [Google Scholar] [CrossRef] [PubMed]
- Hurrell, R.; Egli, I. Iron bioavailability and dietary reference values. Am. J. Clin. Nutr. 2010, 91, 1461–1467. [Google Scholar] [CrossRef]
- Skrypnik, K.; Suliburska, J. Association between the gut microbiota and mineral metabolism. J. Sci. Food Agric. 2018, 98. [Google Scholar] [CrossRef] [PubMed]
- Lisbona, F.; Reyes-Andrada, M.D.; López-Aliaga, I.; Barrionuevo, M.; Alférez, M.J.M.; Campos, M.S. The importance of the proportion of heme/nonheme iron in the diet to minimize the interference with calcium, phosphorus, and magnesium metabolism on recovery from nutritional ferropenic anemia. J. Agric. Food Chem. 1999, 47, 2026–2032. [Google Scholar] [CrossRef]
- Bjørklund, G.; Aaseth, J.; Skalny, A.V.; Suliburska, J.; Skalnaya, M.G.; Nikonorov, A.A.; Tinkov, A.A. Interactions of iron with manganese, zinc, chromium, and selenium as related to prophylaxis and treatment of iron deficiency. J. Trace Elem. Med. Biol. 2017, 41, 41–53. [Google Scholar] [CrossRef]
- Mónica, A.; Lautaro, B.; Fernando, P.; Miguel, A. Calcium and zinc decrease intracellular iron by decreasing transport during iron repletion in an in vitro model. Eur. J. Nutr. 2018, 57, 2693–2700. [Google Scholar] [CrossRef]
- McLoughlin, G. Intermittent iron supplementation for reducing anaemia and its associated impairments in adolescent and adult menstruating women. Int. J. Evid. Based. Healthc. 2020, 18, 274–275. [Google Scholar] [CrossRef]
- Tsang, B.; Sandalinas, F.; De-Regil, L.M. Folate supplementation in women of reproductive age. Cochrane Database Syst. Rev. 2015, 2015. [Google Scholar] [CrossRef]
- World Health Organization. Women’s Health and Well-Being in Europe: Beyond the Mortality Advantage; WHO: Copenhagen, Denmark, 2016. [Google Scholar]
- Fayet-Moore, F.; Petocz, P.; Samman, S. Micronutrient status in female university students: Iron, zinc, copper, selenium, vitamin B12 and folate. Nutrients 2014, 6, 5103–5116. [Google Scholar] [CrossRef] [PubMed]
- Skalnaya, M.G.; Tinkov, A.A.; Demidov, V.A.; Serebryansky, E.P.; Nikonorov, A.A.; Skalny, A.V. Age-related differences in hair trace elements: A cross-sectional study in Orenburg, Russia. Ann. Hum. Biol. 2016, 43, 438–444. [Google Scholar] [CrossRef] [PubMed]
- Suliburska, J. A comparison of levels of select minerals in scalp hair samples with estimated dietary intakes of these minerals in women of reproductive age. Biol. Trace Elem. Res. 2011, 144. [Google Scholar] [CrossRef]
- Bodiga, S.; Krishnapillai, M.N. Concurrent repletion of iron and zinc reduces intestinal oxidative damage in iron- and zinc-deficient rats. World J. Gastroenterol. 2007, 13, 5707–5717. [Google Scholar] [CrossRef]
- Stargrove, M.; Treasure, J.; McKee, D. Herb, Nutrient, and Drug Interactions; Mosby Elsevier: Maryland Heights, MO, USA, 2008; ISBN 978-0-323-02964-3. [Google Scholar]
- Shankar, H.; Kumar, N.; Sandhir, R.; Mittal, S.; Adhikari, T.; Kumar, A.; Rao, D.N. Micronutrients Drift During Daily and Weekly Iron Supplementation in Non-anaemic and Anaemic Pregnancy. Indian J. Clin. Biochem. 2017, 32, 473–479. [Google Scholar] [CrossRef]
- Dasa, F.; Abera, T. Factors Affecting Iron Absorption and Mitigation Mechanisms: A review. Int. J. Agric. Sci. Food Technol. 2018, 4, 24–30. [Google Scholar] [CrossRef]
- Lönnerdal, B. Calcium and iron absorption—Mechanisms and public health relevance. Int. J. Vitam. Nutr. Res. 2010, 80, 293–299. [Google Scholar] [CrossRef]
- Suliburska, J. The impact of iron content in a diet high in fat, fructose, and salt on metabolic state and mineral status of rats. J. Physiol. Biochem. 2014, 70. [Google Scholar] [CrossRef]
- Lertsuwan, K.; Wongdee, K.; Teerapornpuntakit, J.; Charoenphandhu, N. Intestinal calcium transport and its regulation in thalassemia: Interaction between calcium and iron metabolism. J. Physiol. Sci. 2018, 68, 221–232. [Google Scholar] [CrossRef]
- Tiwari, A.K.M.; Mahdi, A.A.; Mishra, S. Study on Impact of Iron and Folic Acid on the Plasma Trace Minerals in Pregnant Anemic Women. Indian J. Clin. Biochem. 2018, 33, 31–37. [Google Scholar] [CrossRef] [PubMed]
- Mani Tiwari, A.K.; Mahdi, A.A.; Chandyan, S.; Zahra, F.; Godbole, M.M.; Jaiswar, S.P.; Srivastava, V.K.; Singh Negi, M.P. Oral iron supplementation leads to oxidative imbalance in anemic women: A prospective study. Clin. Nutr. 2011, 30, 188–193. [Google Scholar] [CrossRef] [PubMed]
- Schulze, K.J.; Mehra, S.; Shaikh, S.; Ali, H.; Shamim, A.A.; Wu, L.S.F.; Mitra, M.; Arguello, M.A.; Kmush, B.; Sungpuag, P.; et al. Antenatal multiple micronutrient supplementation compared to iron-folic acid affects micronutrient status but does not eliminate deficiencies in a randomized controlled trial among pregnant women of rural Bangladesh. J. Nutr. 2019, 149, 1260–1270. [Google Scholar] [CrossRef] [PubMed]
- Kocyłowski, R.; Lewicka, I.; Grzesiak, M.; Gaj, Z.; Sobańska, A.; Poznaniak, J.; von Kaisenberg, C.; Suliburska, J. Assessment of dietary intake and mineral status in pregnant women. Arch. Gynecol. Obs. 2018, 297. [Google Scholar] [CrossRef] [PubMed]
- Nishito, Y.; Kambe, T. Absorption mechanisms of iron, copper, and zinc: An overview. J. Nutr. Sci. Vitam. (Tokyo) 2018, 64, 1–7. [Google Scholar] [CrossRef] [PubMed]
- Gao, J.; Yu, J.; Yang, L. Urinary arsenic metabolites of subjects exposed to elevated arsenic present in coal in Shaanxi Province, China. Int. J. Environ. Res. Public Health 2011, 8, 1991–2008. [Google Scholar] [CrossRef]
- Munawer, M.E. Human health and environmental impacts of coal combustion and post-combustion wastes. J. Sustain. Min. 2018, 17, 87–96. [Google Scholar] [CrossRef]
- Zwolak, I. Protective Effects of Dietary Antioxidants against Vanadium-Induced Toxicity: A Review. Oxid. Med. Cell. Longev. 2020, 2020. [Google Scholar] [CrossRef]
- Visschedijk, A.H.J.; Denier Van Der Gon, H.A.C.; Hulskotte, J.H.J.; Quass, U. Anthropogenic Vanadium emissions to air and ambient air concentrations in North-West Europe. E3S Web Conf. 2013, 1, 2010–2013. [Google Scholar] [CrossRef]
- Liang, C.M.; Wu, X.Y.; Huang, K.; Yan, S.Q.; Li, Z.J.; Xia, X.; Pan, W.J.; Sheng, J.; Tao, Y.R.; Xiang, H.Y.; et al. Trace element profiles in pregnant women’s sera and umbilical cord sera and influencing factors: Repeated measurements. Chemosphere 2019, 218, 869–878. [Google Scholar] [CrossRef]
- Ashrap, P.; Watkins, D.J.; Mukherjee, B.; Boss, J.; Richards, M.J.; Rosario, Z.; Vélez-Vega, C.M.; Alshawabkeh, A.; Cordero, J.F.; Meeker, J.D. Predictors of urinary and blood metal(loid) concentrations among pregnant women in Northern Puerto Rico. Environ. Res. 2020, 183, 109178. [Google Scholar] [CrossRef] [PubMed]











| Study Group (n = 23) | p-Value | Control Group (n = 17) | p-Value | |||
|---|---|---|---|---|---|---|
| Baseline | After 3 Months | Baseline | After 3 Months | |||
| Age (years) | 25.2 ± 3.5 25 | 26.1 ± 3.6 26 | ||||
| BMI (kg/m2) | 20.6 ± 1.9 20.5 | 20.5 ± 1.9 20.3 | NS | 21.9 ± 2.0 21.3 | 21.7 ± 2.0 21.2 | NS |
| Rbc (×106/µL) | 4.35 ± 0.25 4.42 | 4.39 ± 0.26 4.46 | NS | 4.37 ± 0.25 4.42 | 4.36 ± 0.31 4.38 | NS |
| Hb (g/dL) | 12.93 ± 0.84 13.10 | 13.19 ± 0.74 13.3 | NS | 13.3 ± 0.47 13.20 | 13.09 ± 0.67 13.2 | NS |
| Hct (%) | 37.87 ± 2.09 38.50 | 38.44 ± 1.83 38.50 | NS | 38.31 ± 1.36 38.40 | 37.96 ± 1.78 38.20 | NS |
| UIBC (µg/dL) | 272.24 ± 124.37 278.13 #1 | 277.49 ± 84.88 260.61 | NS | 205.22 ± 56.98 210.95 #1 | 253.28 ± 65.72 256.31 | NS |
| Hepcidin (µg/L) | 29.07 ± 8.44 27.97 | 25.43 ± 5.33 23.41 | NS | 28.27 ± 8.31 28.70 | 25.03 ± 4.48 25.52 | NS |
| Ferritin (µg/L) | 22.63 ± 13.08 19.27 a,#2 | 38.35 ± 16.21 36.47 b | 0.003 | 37.51 ± 19.34 36.19 #2 | 37.76 ± 17.57 36.97 | NS |
| Homocistein (µmol/L) | 9.51 ± 2.69 9.32 | 9.07 ± 1.97 8.83 | NS | 8.70 ± 2.94 8.01 | 9.46 ± 3.02 9.10 | NS |
| Folate (ng/mL) | 5.82 ± 1.64 5.98 a,#3 | 10.23 ± 5.41 10.83 b | 0.001 | 9.81 ± 2.98 10.51 #3 | 8.63 ± 5.12 9.39 | NS |
| Dietary intakes | ||||||
| Energy (kcal) | 1703 ± 431 1679 | 1486 ± 274 1458 | NS | 1765 ± 467 1765 | 1624 ± 374 1555 | NS |
| Protein (% energy) | 16.35 ± 5.35 15.20 | 18.22 ± 5.75 16.48 | NS | 16.64 ± 3.40 16.11 | 18.58 ± 3.21 18.60 | NS |
| Fat (% energy) | 35.09 ± 6.54 36.00 | 33.78 ± 6.78 35.55 | NS | 33.92 ± 7.67 36.30 | 31.26 ± 6.86 32.04 | NS |
| Carbohydrate (% energy) | 55.12 ± 32.34 48.67 | 49.84 ± 10.67 48.00 | NS | 49.45 ± 7.97 48.46 | 47.95 ± 7.67 48.44 | NS |
| Fibre (g) | 23.24 ± 16.61 20.41 | 19.54 ± 7.42 20.86 | NS | 27.46 ± 13.99 23.90 | 26.80 ± 17.94 23.66 | NS |
| Calcium (mg) | 580.48 ± 227.85 510.97 | 642.83 ± 184.37 615.05 | NS | 606.83 ± 269.23 543.46 | 668.49 ± 366.86 611.47 | NS |
| Magnesium (mg) | 273.49 ± 36.59 279.77 | 273.40 ± 70.89 272.47 | NS | 421.36 ± 370.51 334.40 | 324.20 ± 100.65 329.24 | NS |
| Iron (mg) | 10.56 ± 2.35 10.50 | 10.07 ± 2.74 9.21 | NS | 11.92 ± 3.80 10.78 | 13.74 ± 8.43 11.52 | NS |
| Zinc (mg) | 8.53 ± 2.34 8.49 | 8.32 ± 1.82 7.63 | NS | 9.76 ± 3.14 9.49 | 10.91 ± 5.26 10.30 | NS |
| Copper (mg) | 1.14 ± 0.22 1.09 | 1.11 ± 0.30 1.05 | NS | 1.47 ± 0.62 1.23 | 1.37 ± 0.59 1.31 | NS |
| Folate (µg) | 309.94 ± 151.96 286.95 | 305.81 ± 138.63 313.52 | NS | 315.66 ± 147.79 302.83 | 420.23 ± 270.18 375.32 | NS |
| Element (µg/L) | Baseline | After 1 Month | After 2 Months | After 3 Months | p-Value |
|---|---|---|---|---|---|
| Li | 1.29 ± 1.15 0.81 | 0.94 ± 0.51 0.92 | 1.03 ± 0.44 0.97 | 0.88 ± 0.46 0.77 | NS |
| Ti | 125.50 ± 76.07 71.72 | 68.54 ± 12.24 66.98 | 73.81 ± 19.30 69.76 | 61.04 ± 8.81 61.24 | NS |
| Co | 0.67 ± 0.37 0.59 | 0.55 ± 0.16 0.50 | 0.45 ± 0.12 0.44 | 0.51 ± 0.23 0.47 | NS |
| Cu | 1065.63 ± 324.49 981.72 | 1029.73 ± 362.10 922.44 | 991.34 ± 309.47 931.01 | 1050.98 ± 370.61 953.33 | NS |
| Rb | 180.80 ± 54.87 166.62 | 156.12 ± 26.09 152.67 | 157.34 ± 47.48 137.76 | 170.03 ± 39.60 162.71 | NS |
| Sb | 1.93 ± 1.09 1.47 | 1.46 ± 0.43 1.39 | 1.96 ± 0.26 2.06 | 1.41 ± 0.35 1.38 | NS |
| Sr | 54.35 ± 30.87 40.60 | 28.34 ± 9.46 26.55 | 26.45 ± 7.26 25.51 | 30.17 ± 7.26 28.97 | NS |
| Tl | 0.03 ± 0.01 0.01 | 0.01 ± 0.01 0.02 | 0.02 ± 0.01 0.02 | 0.02 ± 0.01 0.03 | NS |
| Se | 96.59 ± 16.86 95.25 | 91.80 ± 14.60 89.06 | 87.80 ± 17.28 85.40 | 89.50 ± 20.47 86.32 | NS |
| Element (µg/L) | Baseline | After 3 Months | p-Value |
|---|---|---|---|
| Li | 1.01 ± 0.70 0.80 | 1.53 ± 1.93 0.70 | NS |
| Mg | 16,035 ± 2168 15,264 #1 | 15,849 ± 2573 15,109 | NS |
| Ca | 82,370 ± 10,501 82,054 | 77,079 ± 9549 76,179 | NS |
| Ti | 110.45 ± 68.74 70.24 | 61.61 ± 9.39 61.34 | NS |
| Co | 0.44 ± 0.13 0.39 #2 | 0.41 ± 0.11 0.36 | NS |
| Cu | 1157.84 ± 339.79 1093.67 | 1156.39 ± 376.21 1032.74 | NS |
| Zn | 1161.73 ± 293.12 1152.93 | 1065.33 ± 295.17 1008.26 *1 | NS |
| Rb | 203.96 ± 58.44 181.85 | 182.06 ± 46.64 162.47 | NS |
| Sb | 2.95 ± 1.73 2.87 | 1.42 ± 0.40 1.46 | NS |
| Sr | 45.39 ± 23.36 37.86 | 33.06 ± 11.39 28.68 | NS |
| Tl | 0.04 ± 0.02 0.03 | 0.02 ± 0.01 0.02 | NS |
| Se | 104.79 ± 20.00 107.64 | 95.61 ± 19.33 90.41 | NS |
Publisher’s Note: MDPI stays neutral with regard to jurisdictional claims in published maps and institutional affiliations. |
© 2021 by the authors. Licensee MDPI, Basel, Switzerland. This article is an open access article distributed under the terms and conditions of the Creative Commons Attribution (CC BY) license (http://creativecommons.org/licenses/by/4.0/).
Share and Cite
Suliburska, J.; Chmurzynska, A.; Kocylowski, R.; Skrypnik, K.; Radziejewska, A.; Baralkiewicz, D. Effect of Iron and Folic Acid Supplementation on the Level of Essential and Toxic Elements in Young Women. Int. J. Environ. Res. Public Health 2021, 18, 1360. https://doi.org/10.3390/ijerph18031360
Suliburska J, Chmurzynska A, Kocylowski R, Skrypnik K, Radziejewska A, Baralkiewicz D. Effect of Iron and Folic Acid Supplementation on the Level of Essential and Toxic Elements in Young Women. International Journal of Environmental Research and Public Health. 2021; 18(3):1360. https://doi.org/10.3390/ijerph18031360
Chicago/Turabian StyleSuliburska, Joanna, Agata Chmurzynska, Rafal Kocylowski, Katarzyna Skrypnik, Anna Radziejewska, and Danuta Baralkiewicz. 2021. "Effect of Iron and Folic Acid Supplementation on the Level of Essential and Toxic Elements in Young Women" International Journal of Environmental Research and Public Health 18, no. 3: 1360. https://doi.org/10.3390/ijerph18031360
APA StyleSuliburska, J., Chmurzynska, A., Kocylowski, R., Skrypnik, K., Radziejewska, A., & Baralkiewicz, D. (2021). Effect of Iron and Folic Acid Supplementation on the Level of Essential and Toxic Elements in Young Women. International Journal of Environmental Research and Public Health, 18(3), 1360. https://doi.org/10.3390/ijerph18031360

