Associations between Physical Status and Training Load in Women Soccer Players
Abstract
:1. Introduction
2. Materials and Methods
2.1. Experimental Approach
2.2. Participants
2.3. Fitness Assessment
2.4. Training Load Monitoring
2.5. Statistical Analysis
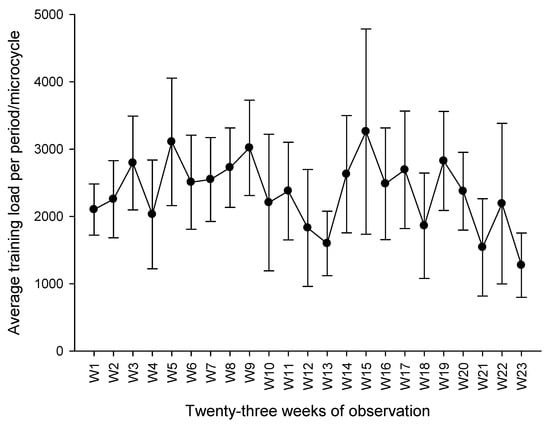
3. Results
4. Discussion
5. Conclusions
Author Contributions
Funding
Institutional Review Board Statement
Informed Consent Statement
Acknowledgments
Conflicts of Interest
References
- Stepinski, M.; Ceylan, H.I.; Zwierko, T. Seasonal Variation of Speed, Agility and Power Performance in Elite Female Soccer Players: Effect of Functional Fitness. Phys. Act. Rev. 2020, 8, 16–25. [Google Scholar] [CrossRef]
- McCormack, W.; Stout, J.; Wells, A.; Gonzalez, A.; Mangine, G.; Hoffman, J. Predictors of High-Intensity Running Capacity in Collegiate Women during a Soccer Game. J. Stregth Cond. Res. 2014, 28, 964–970. [Google Scholar] [CrossRef] [PubMed] [Green Version]
- Bangsbo, J.; Mohr, M.; Krustrup, P. Physical and Metabolic Demands of Training and Match-Play in the Elite Foot- Ball Player. J. Sports Sci. 2006, 24, 665–674. [Google Scholar] [CrossRef]
- Datson, N.; Drust, B.; Weston, M.; Jarman, I.; Lisboa, P.; Gregson, W. Match Physical Performance of Elite Female Soccer Player during International Competition. J. Stregth Cond. Res. 2017, 31, 2379–2387. [Google Scholar] [CrossRef] [PubMed]
- Andersson, H.; Randers, M.; Heiner-Moller, A.; Krustrup, P.; Mohr, M. Elite Female Soccer Players Perform More High-Intensity Running When Playing in International Games Compared with Domestic League Games. J. Stregth Cond. Res. 2010, 24, 912–919. [Google Scholar] [CrossRef]
- Doyle, B.; Browne, D.; Horan, D. The Relationship of Aerobic Endurance and Linear Speed on Repeat Sprint Ability Performance in Female International Footballers. Int. J. Hum. Mov. Sports Sci. 2020, 8, 147–153. [Google Scholar] [CrossRef]
- Krustrup, P.; Mohr, M.; Ellingsgaard, H.; Bangsbo, J. Physical Demands during an Elite Female Soccer Game: Importance of Training Status. Med. Sci. Sports Exerc. 2005, 37, 1242–1248. [Google Scholar] [CrossRef] [PubMed]
- Sánchez, J.; Carretero, M.; Casamichana, D.; Arcos, A.L. Effects of Man-Marking on Heart Rate, Perceived Exertion and Technical-Tactical Demands on Youth Soccer Players. RICYDE. Rev. Int. Cienc. Deport. 2016, 281–296. [Google Scholar] [CrossRef]
- Gravina, L.; Gil, S.; Ruiz, F.; Zubero, J.; Gil, J.; Irazusa, J. Anthropometric and Physiological Differences Betweem First Team and Reverse Soccer Players Aged 10-14 Years at the Beginning and End of the Season. J. Strength Cond. Res. 2008, 22, 1308–1314. [Google Scholar] [CrossRef]
- Caldwell, B.; Peters, D. Seasonal Variation in Physiological Fitness of a Semiprofessional Soccer Team. J. Strength Cond. Res. 2009, 23, 1370–1377. [Google Scholar] [CrossRef]
- Mara, J.; Thompson, K.; Pumpa, K.; Ball, N. Periodisation and Physical Performance in Elite Female Soccer Players. Int. J. Sports Physiol. Perform. 2015, 10, 664–669. [Google Scholar] [CrossRef]
- Ostojic, S.M. Seasonal Alterations in Body Composition and Sprint Performance of Elite Soccer Players. J. Exer. Physiol. 2003, 6, 24–27. [Google Scholar]
- Silva, J.R. Biochemical Impact of Soccer: An Analysis of Hormonal, Muscle Damage, and Redox Markers during the Season. Appl. Physiol. Nutr. Metab. 2014, 39, 432–438. [Google Scholar] [CrossRef] [PubMed] [Green Version]
- Jeong, T.S.; Reilly, T.; Morton, J.; Bae, S.W.; Drust, B. Quantification of the Physiological Loading of One Week of “Pre-Season” and One Week of “in-Season” Training in Professional Soccer Players. J. Sports Sci. 2011, 29, 1161–1166. [Google Scholar] [CrossRef]
- Fessi, M.S.; Nouira, S.; Dellal, A.; Owen, A.; Elloumi, M.; Moalla, W. Changes of the Psychophysical State and Feeling of Wellness of Professional Soccer Players during Pre-Season and in-Season Periods. Res. Sport. Med. 2016, 24, 375–386. [Google Scholar] [CrossRef] [PubMed]
- Dupont, G. The Effect of in Season High Intensity Interval. J. Strength Cond. Res. 2004, 18, 584–589. [Google Scholar] [PubMed]
- Purdom, T.M.; Levers, K.S.; McPherson, C.S.; Giles, J.; Brown, L. A Longitudinal Prospective Study: The Effect of Annual Seasonal Transition and Coaching Influence on Aerobic Capacity and Body Composition in Division I Female Soccer Players. Sports 2020, 8, 107. [Google Scholar] [CrossRef]
- Clemente, F.; Clark, C.; Castillo, D.; Sarmento, H.; Nikolaidis, P.T.; Rosemann, T.; Knechtle, B. Variations of Training Load, Monotony, and Strain and Dose-Response Relationships with Maximal Aerobic Speed, Maximal Oxygen Uptake, and Isokinetic Strength in Professional Soccer Players. PLoS ONE 2019, 14, e0225522. [Google Scholar] [CrossRef] [Green Version]
- Jaspers, A.; Brink, M.S.; Probst, S.G.M.; Frencken, W.G.P.; Helsen, W.F. Relationships Between Training Load Indicators and Training Outcomes in Professional Soccer. Sport. Med. 2017, 47, 533–544. [Google Scholar] [CrossRef]
- Campos-Vazquez, M.A.; Toscano-Bendala, F.J.; Mora-Ferrera, J.C.; Suarez-Arrones, L.J. Relationship between Internal Load Indicators and Changes on Intermittent Performance after the Preseason in Professional Soccer Players. J. Strength Cond. Res. 2017, 31, 1477–1485. [Google Scholar] [CrossRef]
- Arcos, A.; Martínez-Santos, R.; Yanci, J.; Mendiguchia, J.; Méndez-Villanueva, A. Negative Associations between Perceived Training Load, Volume and Changes in Physical Fitness in Professional Soccer Players. J. Sport. Sci. Med. 2015, 14, 394–401. [Google Scholar]
- Borg, G. Perceived Exertion and Pain Scales; Human Kinetics: Champaign, IL, USA, 1998. [Google Scholar]
- Foster, C.; Florhaug, J.A.; Franklin, J.; Gottschall, L.; Hrovatin, L.A.; Parker, S.; Doleshal, P.; Dodge, C. A New Approach to Monitoring Exercise Training. J. Strength Cond. Res. 2001, 15, 109–115. [Google Scholar] [CrossRef]
- Haddad, M.; Stylianides, G.; Djaoui, L.; Dellal, A.; Chamari, K. Session-RPE Method for Training Load Monitoring: Validity, Ecological Usefulness, and Influencing Factors. Front. Neurosci. 2017, 11, 612. [Google Scholar] [CrossRef]
- Casamichana, D.; Castellano, J.; Calleja-Gonzalez, J.; RomaN, J.S.; Castagna, C. Relationship between Indicators of Training Load in Soccer Players. J. Strength Cond. Res. 2013, 27, 369–374. [Google Scholar] [CrossRef] [PubMed]
- McLaren, S.J.; Macpherson, T.W.; Coutts, A.J.; Hurst, C.; Spears, I.R.; Weston, M. The Relationships Between Internal and External Measures of Training Load and Intensity in Team Sports: A Meta-Analysis. Sport. Med. 2018, 48, 641–658. [Google Scholar] [CrossRef] [PubMed] [Green Version]
- Avalos, M.; Hellard, P.; Chatard, J.-C. Modeling the Training-Performance Relatioship Using a Mixed Model in Elite Swimmers. Med. Sci. Sport. Exerc. Sci. Sport Exerc. 2003, 35, 838–846. [Google Scholar] [CrossRef] [PubMed] [Green Version]
- Walker, S.; Turner, A. A One-Day Dield Test Battery for the Assessment of Aerobic Capacity, Anaerobic Capacity, Speed, and Agility of Soccer Players. Strength Cond. J. 2009, 31, 52–60. [Google Scholar] [CrossRef] [Green Version]
- Turner, A.; Walker, S.; Stembridge, M.; Coneyworth, P.; Reed, G.; Birdsey, L.; Barter, P.; Moody, J. A Testing Battery for the Assessment of Fitness in Soccer Players. Strength Cond. J. 2011, 33, 29–39. [Google Scholar] [CrossRef] [Green Version]
- Gonçalves, L.; Clemente, F.M.; Barrera, J.I.; Sarmento, H.; González-Fernández, F.T.; Vieira, L.H.P.; Figueiredo, A.J.; Clark, C.C.T.; Carral, J.M.C. Relationships between Fitness Status and Match Running Performance in Adult Women Soccer Players: A Cohort Study. Medicina 2021, 57, 617. [Google Scholar] [CrossRef] [PubMed]
- McGowan, C.J.; Pyne, D.B.; Thompson, K.G.; Rattray, B. Warm-Up Strategies for Sport and Exercise: Mechanisms and Applications. Sport. Med. 2015, 45, 1523–1546. [Google Scholar] [CrossRef] [PubMed]
- Delahunt, E.; Kennelly, C.; McEntee, B.L.; Coughlan, G.F.; Green, B.S. The Thigh Adductor Squeeze Test: 45° of Hip Flexion as the Optimal Test Position for Eliciting Adductor Muscle Activity and Maximum Pressure Values. Man. Ther. 2011, 16, 476–480. [Google Scholar] [CrossRef] [PubMed]
- Glatthorn, J.; Gouge, S.; Nussbaumer, S.; Stauffacher, S.; Impellizzeri, F.M.; Maffiuletti, N. Validity and Reliability of Optojump Photoelectric Cells for Estimating Vertical Jump Height. J. Strength 2011, 25, 556–560. [Google Scholar] [CrossRef]
- Little, T.; Williams, A.G. Specificity of Acceleration, Maximum Speed, and Agility in Professional Soccer Players. J. Strength Cond. Res. 2005, 19, 76–78. [Google Scholar] [CrossRef] [PubMed]
- MacKenzie, B. 101 Performance Evaluation Tests; Electric Word Plc.: London, UK, 2005. [Google Scholar]
- Cipryan, L.; Gajda, V. The Influence of Aerobic Power on Repeated Anaerobic Exercise in Junior Soccer Players. J. Hum. Kinet. 2011, 28, 63–71. [Google Scholar] [CrossRef] [PubMed]
- Bangsbo, J.; Iaia, F.M.; Krustrup, P. The Yo-Yo Intermittent Recovery Test. Sport. Med. 2008, 38, 37–51. [Google Scholar] [CrossRef] [PubMed]
- Foster, C. Monitoring Training in Athletes with Reference to Overtraining Syndrome. Med. Sci. Sports Exerc. 1998, 30, 1164–1168. [Google Scholar] [CrossRef]
- Cohen, J. Statistical Power Analysis for the Behavioral Sciences, 2nd ed.; Routledge: New York, NY, USA, 1988. [Google Scholar]
- Los Arcos, A.; Castillo, D.; Martínez-Santos, R. Influence of Initial Performance Level and Tactical Position on the Aerobic Fitness in Soccer Players after Preseason Period. Sci. Med. Footb. 2018, 2, 294–298. [Google Scholar] [CrossRef]
- Silva, R.; Lima, R.; Camões, M.; Leão, C.; Matos, S.; Pereira, J.; Bezerra, P.; Clemente, F.M. Physical Fitness Changes among Amateur Soccer Players: Effects of the Pre-Season Period. Biomed. Hum. Kinet. 2021, 13, 63–72. [Google Scholar] [CrossRef]
- Kasper, K. Sports Training Principles. Curr. Sports Med. Rep. 2019, 18, 95–96. [Google Scholar] [CrossRef]
- Marrier, B.; Robineau, J.; Piscione, J.; Lacome, M.; Peeters, A.; Hausswirth, C.; Morin, J.-B.; Le Meur, Y. Supercompensation Kinetics of Physical Qualities During a Taper in Team-Sport Athletes. Int. J. Sports Physiol. Perform. 2017, 12, 1163–1169. [Google Scholar] [CrossRef]
- Gabbett, T.; Nassis, G.P.; Oetter, E.; Pretorius, J.; Johnston, N.; Medina, D.; Rodas, G.; Myslinski, T.; Howells, D.; Beard, A.; et al. The Athlete Monitoring Cycle: A Practical Guide to Interpreting and Applying Training Monitoring Data. Br. J. Sports Med. 2017, 51, 1451–1452. [Google Scholar] [CrossRef] [PubMed] [Green Version]
- Gil-Rey, E.; Lezaun, A.; Los Arcos, A. Quantification of the Perceived Training Load and Its Relationship with Changes in Physical Fitness Performance in Junior Soccer Players. J. Sports Sci. 2015, 33, 2125–2132. [Google Scholar] [CrossRef] [PubMed]
- Vahia, D.; Kelly, A.; Knapman, H.; Williams, C.A. Variation in the Correlation Between Heart Rate and Session Rating of Perceived Exertion-Based Estimations of Internal Training Load in Youth Soccer Players. Pediatr. Exerc. Sci. 2019, 31, 91–98. [Google Scholar] [CrossRef]
- Gaudino, P.; Iaia, F.M.; Strudwick, A.J.; Hawkins, R.D.; Alberti, G.; Atkinson, G.; Gregson, W. Factors Influencing Perception of Effort (Session Rating of Perceived Exertion) during Elite Soccer Training. Int. J. Sports Physiol. Perform. 2015, 10, 860–864. [Google Scholar] [CrossRef] [PubMed] [Green Version]


| Variable | M1 (Mean ± SD) M2 (Mean ± SD) | M3 (Mean ± SD) | Mean ± SD | p | η2 | |
|---|---|---|---|---|---|---|
| HRmax (beats/min) | 198.2 ± 3.57 | 201.41 ± 12.80 | 202.34 ± 8.68 | 200.65 ± 9.48 | 0.961 | 0.03 |
| VO2max mL/(kg·min) | 41.21 ± 1.57 | 43.72 ± 1.57 | 43.96 ± 1.57 | 42.96 ± 1.57 | 0.833 | 0.07 |
| V10 (m/s) | 1.91 ± 0.04 | 1.84 ± 0.07 | 1.91 ± 0.15 | 1.89 ± 0.09 | 0.564 | 0.13 |
| V30 (m/s) | 4.83 ± 0.09 | 4.69 ± 0.17 | 4.81 ± 0.39 | 4.78 ± 0.20 | 0.633 | 0.11 |
| COD20 (s) | 5.75 ± 0.09 | 5.70 ± 0.16 | 5.83 ± 0.32 | 5.76 ± 0.20 | 0.496 | 0.15 |
| p.max (W) | 423.66 ± 50.95 | 405.12 ± 68.29 | 403.10 ± 92.00 | 410.62 ± 64.16 | 0.365 | 0.13 |
| p.min (W) | 271.43 ± 34.30 | 266.83 ± 33.77 | 246.76 ± 50.92 | 264.87 ± 37.79 | 0.219 | 0.13 |
| FI (%) | 4.91 ± 1.40 | 4.03 ± 1.48 | 5.12 ± 1.81 | 4.68 ± 1.49 | 0.768 | 0.04 |
| SJ (cm) | 24.01 ± 2.14 | 25.03 ± 4.49 | 25.56 ± 3.68 | 24.85 ± 3.29 | 0.684 | 0.21 |
| CMJ (cm) | 25.20 ± 2.43 | 26.22 ± 4.29 | 26.29 ±3.39 | 25.89 ± 3.29 | 0.179 | 0.23 |
| YYIR (m) | 687.40± 168.93 | 943.33± 138.33 | 714.2 ± 163.17 | 781.67± 210.1 | 0.095 | 0.27 |
| Addu (kg) | 35.95 ± 7.07 | 33.51± 7.81 | 32.69± 6.10 | 34.03 ± 7.45 | 0.220 | 0.15 |
| Abdu (kg) | 34.32 ± 5.71 | 30.92 ± 5.32 | 32.1 ± 6.16 | 32.45 ± 6.16 | 0.561 | 0.12 |
| Variable | r | p-Value | r | p-Value |
|---|---|---|---|---|
| HRmax | −0.126 | 0.585 | −0.447 | 0.048 |
| VO2max | −0.042 | 0.850 | −0.157 | 0.486 |
| V10 | −0.187 | 0.417 | 0.056 | 0.816 |
| V30 | −0.123 | 0.596 | 0.023 | 0.922 |
| COD20 | −0.091 | 0.695 | −0.225 | 0.341 |
| p.max | 0.249 | 0.276 | 0.058 | 0.808 |
| p.min | 0.351 | 0.119 | 0.256 | 0.276 |
| FI | 0.080 | 0.731 | −0.104 | 0.662 |
| SJ | 0.314 | 0.166 | 0.330 | 0.156 |
| CMJ | 0.351 | 0.119 | 0.441 | 0.052 |
| YYIR | −0.059 | 0.811 | −0.261 | 0.295 |
Publisher’s Note: MDPI stays neutral with regard to jurisdictional claims in published maps and institutional affiliations. |
© 2021 by the authors. Licensee MDPI, Basel, Switzerland. This article is an open access article distributed under the terms and conditions of the Creative Commons Attribution (CC BY) license (https://creativecommons.org/licenses/by/4.0/).
Share and Cite
Gonçalves, L.; Clemente, F.M.; Barrera, J.I.; Sarmento, H.; Praça, G.M.; Andrade, A.G.P.d.; Figueiredo, A.J.; Silva, R.; Silva, A.F.; Carral, J.M.C. Associations between Physical Status and Training Load in Women Soccer Players. Int. J. Environ. Res. Public Health 2021, 18, 10015. https://doi.org/10.3390/ijerph181910015
Gonçalves L, Clemente FM, Barrera JI, Sarmento H, Praça GM, Andrade AGPd, Figueiredo AJ, Silva R, Silva AF, Carral JMC. Associations between Physical Status and Training Load in Women Soccer Players. International Journal of Environmental Research and Public Health. 2021; 18(19):10015. https://doi.org/10.3390/ijerph181910015
Chicago/Turabian StyleGonçalves, Lillian, Filipe Manuel Clemente, Joel Ignacio Barrera, Hugo Sarmento, Gibson Moreira Praça, André Gustavo Pereira de Andrade, António José Figueiredo, Rui Silva, Ana Filipa Silva, and José María Cancela Carral. 2021. "Associations between Physical Status and Training Load in Women Soccer Players" International Journal of Environmental Research and Public Health 18, no. 19: 10015. https://doi.org/10.3390/ijerph181910015
APA StyleGonçalves, L., Clemente, F. M., Barrera, J. I., Sarmento, H., Praça, G. M., Andrade, A. G. P. d., Figueiredo, A. J., Silva, R., Silva, A. F., & Carral, J. M. C. (2021). Associations between Physical Status and Training Load in Women Soccer Players. International Journal of Environmental Research and Public Health, 18(19), 10015. https://doi.org/10.3390/ijerph181910015

