Performance Evaluation of Commercially Available Masks in Korea for Filtering Airborne Droplets Containing Bacteria
Abstract
1. Introduction
2. Materials and Methods
2.1. Filtration System Used for the Performance Evaluation
2.2. Selection of Masks Commercially Available in Korea
2.3. Filtration Capability of the Masks against Particulate Matters (PMs)
2.4. Filtration Performances of Masks against Airborne Bacteria-Containing Droplets
2.5. Scanning Electron Microscopy (SEM) and Energy-Dispersive X-ray Spectroscopy (EDS) Analysis
2.6. Fourier-Transform Infrared Spectroscopy (FT-IR) Analysis
3. Results and Discussion
3.1. Properties of the Commercially Available Face Masks
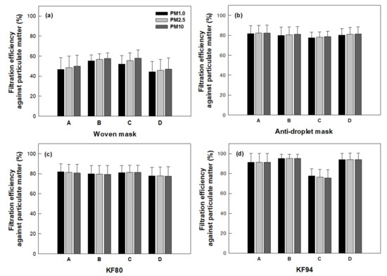
3.2. Efficiencies of the Masks at Filtering Air Particulate Matters (PMs)
3.3. Filtration Efficiencies of the Masks against Airborne Droplets Containing Bacteria
3.4. Correlation of the Filtration Efficiency Levels of Masks against Particulate Matters (PMs) with the Efficiency Levels against Airborne Bacteria-Containing Droplets
4. Conclusions
Supplementary Materials
Author Contributions
Funding
Institutional Review Board Statement
Informed Consent Statement
Data Availability Statement
Conflicts of Interest
References
- Park, S.H. Personal Protective Equipment for Healthcare Workers during the COVID-19 Pandemic. Infect. Chemother. 2020, 52, e37. [Google Scholar] [CrossRef]
- World Helath Organization (WHO). WHO Coronavirus Disease (COVID-19) Dashboard (2021/02/15). Available online: https://covid19.who.int/ (accessed on 15 February 2021).
- Muniyappa, R.; Gubbi, S. COVID-19 pandemic, coronaviruses, and diabetes mellitus. Am. J. Physiol. Endocrinol. Metab. 2020, 318, E736–E741. [Google Scholar] [CrossRef]
- World Helath Organization (WHO). The WHO Guidelines Infection Prevention and Control of Epidemic and Pandemic-Prone Acute Respiratory Infections in Health Care; WHO: Geneva, Switzerland, 2014. [Google Scholar]
- Siegel, J.D.; Rhinehart, E.; Jackson, M.; Chiarello, L.; the Healthcare Infection Control Practices Advisory Committee. Guideline for Isolation Precautions: Preventing Transmission of Infectious Agents in Healthcare Settings; Centers for Disease Conrol and Prevention (CDC): Atlanta, GA, USA, 2007. [Google Scholar]
- Otter, J.A.; Donskey, C.; Yezli, S.; Douthwaite, S.; Goldenberg, S.D.; Weber, D.J. Transmission of SARS and MERS coronaviruses and influenza virus in healthcare settings: The possible role of dry surface contamination. J. Hosp. Infect. 2016, 92, 235–250. [Google Scholar] [CrossRef] [PubMed]
- World Helath Organization. Coronavirus Disease (COVID-19) Advice for the Public. Available online: https://www.who.int/emergencies/diseases/novel-coronavirus-2019/advice-for-public (accessed on 15 February 2021).
- United Stastes Environmental Protection Agency (USEPA). Particulate Matter (PM) Pollution. Available online: https://www.epa.gov/pm-pollution/particulate-matter-pm-basics (accessed on 10 February 2021).
- Jeong, S.B.; Ko, H.S.; Seo, S.C.; Jung, J.H. Evaluation of filtration characteristics and microbial recovery rates of commercial filtering facepiece respirators against airborne bacterial particles. Sci. Total Environ. 2019, 682, 729–736. [Google Scholar] [CrossRef] [PubMed]
- Eninger, R.M.; Honda, T.; Adhikari, A.; Heinonen-Tanski, H.; Reponen, T.; Grinshpun, S.A. Filter performance of n99 and n95 facepiece respirators against viruses and ultrafine particles. Ann. Occup. Hyg. 2008, 52, 385–396. [Google Scholar] [CrossRef]
- Lee, S.A.; Grinshpun, S.A.; Reponen, T. Respiratory performance offered by N95 respirators and surgical masks: Human subject evaluation with NaCl aerosol representing bacterial and viral particle size range. Ann. Occup. Hyg. 2008, 52, 177–185. [Google Scholar] [CrossRef] [PubMed]
- Brochot, C.; Saidi, M.N.; Bahloul, A. How effective is the filtration of ’KN95’ filtering facepiece respirators during the COVID-19 pandemic? Ann. Work Exp. Health 2020. [Google Scholar] [CrossRef]
- Korea Ministry of Food and Drug Safety (KMFDS). Guideline on Standards and Specifications for Filtering Respirators (for Industry); revised; Korea Ministry of Food and Drug Safety (KMFDS): Cheongju-si, Korea, 2019. [Google Scholar]
- Ulrich, N.; Nagler, K.; Laue, M.; Cockell, C.S.; Setlow, P.; Moeller, R. Experimental studies addressing the longevity of Bacillus subtilis spores The first data from a 500-year experiment. PLoS ONE 2018, 13, e0208425. [Google Scholar] [CrossRef]
- Chada, V.G.; Sanstad, E.A.; Wang, R.; Driks, A. Morphogenesis of Bacillus spore surfaces. J. Bacteriol. 2003, 185, 6255–6261. [Google Scholar] [CrossRef]
- Jung, M.R.; Horgen, F.D.; Orski, S.V.; Rodriguez, C.V.; Beers, K.L.; Balazs, G.H.; Jones, T.T.; Work, T.M.; Brignac, K.C.; Royer, S.J.; et al. Validation of ATR FT-IR to identify polymers of plastic marine debris, including those ingested by marine organisms. Mar. Pollut. Bull. 2018, 127, 704–716. [Google Scholar] [CrossRef]
- Rengasamy, S.; Eimer, B.; Shaffer, R.E. Simple respiratory protection--evaluation of the filtration performance of cloth masks and common fabric materials against 20-1000 nm size particles. Ann. Occup. Hyg. 2010, 54, 789–798. [Google Scholar] [CrossRef]
- Jung, H.; Kim, J.K.; Lee, S.; Lee, J.; Kim, J.; Tsai, P.; Yoon, C. Comparison of filtration efficiency and pressure drop in anti-yellow sand masks, quarantine masks, medical masks, general masks, and handkerchiefs. Aerosol. Air Qual. Res. 2014, 14, 991–1002. [Google Scholar] [CrossRef]
- O’Kelly, E.; Pirog, S.; Ward, J.; Clarkson, P.J. Ability of fabric face mask materials to filter ultrafine particles at coughing velocity. BMJ Open 2020, 10, e039424. [Google Scholar] [CrossRef] [PubMed]
- Tcharkhtchi, A.; Abbasnezhad, N.; Zarbini Seydani, M.; Zirak, N.; Farzaneh, S.; Shirinbayan, M. An overview of filtration efficiency through the masks: Mechanisms of the aerosols penetration. Bioact. Mater. 2021, 6, 106–122. [Google Scholar] [CrossRef] [PubMed]
- Clase, C.M.; Fu, E.L.; Ashur, A.; Beale, R.C.L.; Clase, I.A.; Dolovich, M.B.; Jardine, M.J.; Joseph, M.; Kansiime, G.; Mann, J.F.E.; et al. Forgotten technology in the COVID-19 pandemic: Filtration properties of cloth and cloth masks-A narrative Rreview. Mayo Clin. Proc. 2020, 95, 2204–2224. [Google Scholar] [CrossRef]
- Lustig, S.R.; Biswakarma, J.J.H.; Rana, D.; Tilford, S.H.; Hu, W.; Su, M.; Rosenblatt, M.S. Effectiveness of common fabrics to block aqueous aerosols of virus-like nanoparticles. ACS Nano 2020, 14, 7651–7658. [Google Scholar] [CrossRef]
- Han, D.-H. Usage of Filtering-facepiece masks for healthcare workers and importance of fit testing. J. Korean Soc. Occup. Environ. Hyg. 2015, 25, 245–253. [Google Scholar] [CrossRef][Green Version]
- Milton, D.K.; Fabian, M.P.; Cowling, B.J.; Grantham, M.L.; McDevitt, J.J. Influenza virus aerosols in human exhaled breath: Particle size, culturability, and effect of surgical masks. PLoS Pathog. 2013, 9, e1003205. [Google Scholar] [CrossRef]
- Johnson, D.F.; Druce, J.D.; Birch, C.; Grayson, M.L. A quantitative assessment of the efficacy of surgical and N95 masks to filter influenza virus in patients with acute influenza infection. Clin. Infect. Dis. 2009, 49, 275–277. [Google Scholar] [CrossRef]
- Kim, M.C.; Bae, S.; Kim, J.Y.; Park, S.Y.; Lim, J.S.; Sung, M.; Kim, S.H. Effectiveness of surgical, KF94, and N95 respirator masks in blocking SARS-CoV-2: A controlled comparison in 7 patients. Infect. Dis. 2020, 52, 908–912. [Google Scholar] [CrossRef]
- Occupational Safety and Health Administration (OSHA). Hospital Respiratory Protection Program Toolkit: Resources for Respirator Program Administrators; Occupational Safety and Health Administration (OSHA): Washington, DC, USA, 2015. [Google Scholar]
- National Institute of Food and Drug Safety Evaluation (NIFDS). Guideline on Establishment of Test Item in Preparation of Standards and Analytical Methods of Quasi-Drugs; National Institute of Food and Drug Safety Evaluation (NIFDS): Cheongju-si, Korea, 2016. [Google Scholar]
- Leung, N.H.L.; Chu, D.K.W.; Shiu, E.Y.C.; Chan, K.H.; McDevitt, J.J.; Hau, B.J.P.; Yen, H.L.; Li, Y.; Ip, D.K.M.; Peiris, J.S.M.; et al. Respiratory virus shedding in exhaled breath and efficacy of face masks. Nat. Med. 2020, 26, 676–680. [Google Scholar] [CrossRef] [PubMed]
- Centers for Disease Conrol and Prevention (CDC); The National Personal Protective Technology Laboratory (NPPTL). NPPTL Respirator Assessments to Support the COVID19 Response; Centers for Disease Conrol and Prevention (CDC): Atlanta, GA, USA, 2021. [Google Scholar]
- Noti, J.D.; Lindsley, W.G.; Blachere, F.M.; Cao, G.; Kashon, M.L.; Thewlis, R.E.; McMillen, C.M.; King, W.P.; Szalajda, J.V.; Beezhold, D.H. Detection of infectious influenza virus in cough aerosols generated in a simulated patient examination room. Clin. Infect. Dis. 2012, 54, 1569–1577. [Google Scholar] [CrossRef] [PubMed]
- Hill, W.C.; Hull, M.S.; MacCuspie, R.I. Testing of commercial masks and respirators and cotton mask insert materials using SARS-CoV-2 virion-sized particulates: Comparison of ideal aerosol filtration efficiency versus fitted filtration efficiency. Nano Lett. 2020, 20, 7642–7647. [Google Scholar] [CrossRef] [PubMed]







Publisher’s Note: MDPI stays neutral with regard to jurisdictional claims in published maps and institutional affiliations. |
© 2021 by the authors. Licensee MDPI, Basel, Switzerland. This article is an open access article distributed under the terms and conditions of the Creative Commons Attribution (CC BY) license (https://creativecommons.org/licenses/by/4.0/).
Share and Cite
Lee, E.-H.; Lee, S.-W.; Moon, S.Y.; Son, J. Performance Evaluation of Commercially Available Masks in Korea for Filtering Airborne Droplets Containing Bacteria. Int. J. Environ. Res. Public Health 2021, 18, 7909. https://doi.org/10.3390/ijerph18157909
Lee E-H, Lee S-W, Moon SY, Son J. Performance Evaluation of Commercially Available Masks in Korea for Filtering Airborne Droplets Containing Bacteria. International Journal of Environmental Research and Public Health. 2021; 18(15):7909. https://doi.org/10.3390/ijerph18157909
Chicago/Turabian StyleLee, Eun-Hee, Seung-Woo Lee, Seon Young Moon, and Jangyup Son. 2021. "Performance Evaluation of Commercially Available Masks in Korea for Filtering Airborne Droplets Containing Bacteria" International Journal of Environmental Research and Public Health 18, no. 15: 7909. https://doi.org/10.3390/ijerph18157909
APA StyleLee, E.-H., Lee, S.-W., Moon, S. Y., & Son, J. (2021). Performance Evaluation of Commercially Available Masks in Korea for Filtering Airborne Droplets Containing Bacteria. International Journal of Environmental Research and Public Health, 18(15), 7909. https://doi.org/10.3390/ijerph18157909

