The Impact of Government Subsidies on the Low-Carbon Supply Chain Based on Carbon Emission Reduction Level
Abstract
:1. Introduction
- (1)
- Whether and how different subsidy recipients produce different effects on the LCSC;
- (2)
- The impact of government subsidies under decentralized and centralized decision making on the LCSC;
- (3)
- How LCSC coordination can be implemented under decentralized decision making based on the cost–benefit-sharing contract in order to achieve benefits compared to benefits under centralized decision making.
2. Preparations before Modeling
2.1. Problem Statements
2.2. Notation Description
2.3. Model Demand Function
3. Model
3.1. Model Development
- (i)
- ;
- (ii)
- ;
- (iii)
- .
- (i)
- ;
- (ii)
- ;
- (iii)
- .
- (i)
- ;
- (ii)
- ;
- (iii)
- .
3.2. Cost–Benefit-Sharing Contract
4. Numerical Analysis
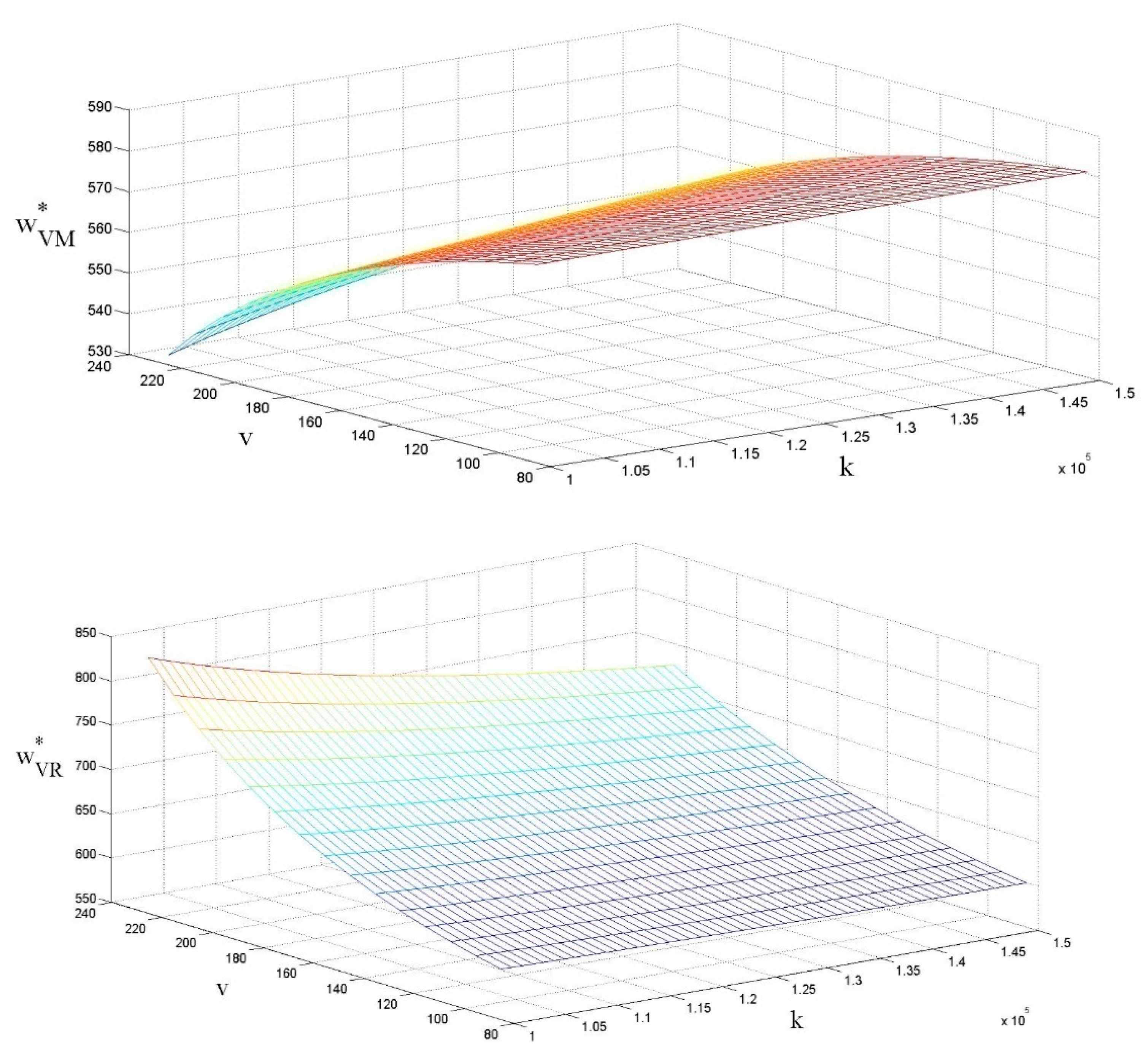
4.1. The Influences of ν and k on LCP Wholesale Price per Unit
4.2. The Influences of ν and k on the Carbon Emission Reduction Efforts per Unit
4.3. The Influences of ν and k on the Retail Price per Unit
4.4. The Influences of ν and k on the Sales Volume
4.5. The Influences of ν and k on Profit
5. Conclusions
- (1)
- The main findings of the paper are that a government subsidy strategy based on carbon emission reduction levels can effectively drive low-carbon enterprises to further reduce the carbon emissions. The government’s choice of subsidy has the same effect on the LCP retail price per unit, the sales volume, and the revenue of low-carbon products per unit. When the government subsidizes the retailer, the low-carbon product wholesale price per unit is the highest. That is, low-carbon enterprises use up part of the government subsidies by increasing the wholesale price of low-carbon products.
- (2)
- The retail price of low-carbon products per unit is lower than the retail price of low-carbon products in the context of decentralized decision making, but the sales volume and revenue of low-carbon products are greater in the centralized decision-making. The cost–benefit-sharing contract could enable the decentralized decision model to achieve the same level of profit as the centralized decision model.
- (3)
- The above findings indicate that subsidizing low-carbon enterprises or retailers has the same effect on the low-carbon retail price per unit. Government subsidies based on carbon emission reduction levels can have positive influences on low-carbon enterprises. Government subsidies can cover a part of the carbon emission reduction costs, and the amount of subsidy granted to the low-carbon enterprise is positively related to its carbon emission reduction levels. Overall, a modest increase in government subsidies tied to carbon emission reduction levels can improve the competitiveness and innovativeness of low-carbon enterprises.
Author Contributions
Funding
Institutional Review Board Statement
Informed Consent Statement
Data Availability Statement
Conflicts of Interest
Appendix A
- (i)
- ,;
- (ii)
- ;
- (iii)
- . □
- (i)
- ;
- (ii)
- ;
- (iii)
- . □
- (i)
- ;
- (ii)
- ;
- (iii)
- . □
References
- Xu, L.; Wang, C.; Zhao, J. Decision and coordination in the dual-channel supply chain considering cap-and-trade regulation. J. Clean. Prod. 2018, 197, 551–561. [Google Scholar] [CrossRef]
- Shuai, C.; Chen, X.; Wu, Y.; Zhang, Y.; Tan, Y. A three-step strategy for decoupling economic growth from carbon emission: Empirical evidences from 133 countries. Sci. Total Environ. 2019, 646, 524–543. [Google Scholar] [CrossRef]
- Wu, Y.; Tam, V.Y.; Shuai, C.; Shen, L.; Zhang, Y.; Liao, S. Decoupling China’s economic growth from carbon emissions: Empirical studies from 30 Chinese provinces (2001–2015). Sci. Total Environ. 2019, 656, 576–588. [Google Scholar] [CrossRef] [PubMed]
- Bekun, F.V.; Alola, A.A.; Sarkodie, S.A. Toward a sustainable environment: Nexus between CO2 emissions, resource rent, renewable and nonrenewable energy in 16-EU countries. Sci. Total Environ. 2019, 657, 1023–1029. [Google Scholar] [CrossRef] [PubMed]
- Bekun, F.V.; Emir, F.; Sarkodie, S.A. Another look at the relationship between energy consumption, carbon dioxide emissions, and economic growth in South Africa. Sci. Total Environ. 2019, 655, 759–765. [Google Scholar] [CrossRef] [PubMed]
- Dogan, B.; Driha, O.M.; Lorente, D.B.; Shahzad, U. The mitigating effects of economic complexity and renewable energy on carbon emissions in developed countries. Sustain. Dev. 2021, 29, 1–12. [Google Scholar] [CrossRef]
- Huang, L.; Krigsvoll, G.; Johansen, F.; Liu, Y.; Zhang, X. Carbon emission of global construction sector. Renew. Sustain. Energ. Rev. 2018, 81, 1906–1916. [Google Scholar] [CrossRef] [Green Version]
- Alola, A.A. Carbon emissions and the trilemma of trade policy, migration policy and health care in the US. Carbon Manag. 2019, 10, 209–218. [Google Scholar] [CrossRef]
- Hepburn, C.; Adlen, E.; Beddington, J.; Carter, E.A.; Fuss, S.; Mac Dowell, N.; Minx, J.C.; Smith, P.; Williams, C.K. The technological and economic prospects for CO2 utilization and removal. Nature 2019, 575, 87–97. [Google Scholar] [CrossRef] [Green Version]
- Bian, J.; Zhao, X. Tax or subsidy? An analysis of environmental policies in supply chains with retail competition. Eur. J. Oper. Res. 2020, 283, 901–914. [Google Scholar] [CrossRef]
- Sarkodie, S.A.; Strezov, V. Empirical study of the Environmental Kuznets curve and Environmental Sustainability curve hypothesis for Australia, China, Ghana and USA. J. Clean. Prod. 2018, 201, 98–110. [Google Scholar] [CrossRef]
- Xia, X.Q.; Li, C.Y.; Zhu, Q.H. Game analysis for the impact of carbon trading on low-carbon supply chain. J. Clean. Prod. 2020, 276, 123220. [Google Scholar] [CrossRef]
- Seo, S.; Kim, J.; Yum, K.K.; Mcgregor, J. Embodied carbon of building products during their supply chains: Case study of aluminium window in Australia. Resour. Conserv. Recycl. 2015, 105, 160–166. [Google Scholar] [CrossRef]
- Roh, M.; Jeon, S.; Kim, S.; Yu, S.; Heshmati, A.; Kim, S. Modeling Air Pollutant Emissions in the Provincial Level Road Transportation Sector in Korea: A Case Study of the Zero-Emission Vehicle Subsidy. Energies 2020, 13, 3999. [Google Scholar] [CrossRef]
- Leipprand, A.; Flachsland, C. Regime destabilization in energy transitions: The German debate on the future of coal. Energy Res. Soc. Sci. 2018, 40, 190–204. [Google Scholar] [CrossRef]
- Ma, X.; Wang, C.; Dong, B.; Gu, G.; Chen, R.; Li, Y.; Zou, H.; Zhang, W.; Li, Q. Carbon emissions from energy consumption in China: Its measurement and driving factors. Sci. Total Environ. 2019, 648, 1411–1420. [Google Scholar] [CrossRef]
- Mi, Z.; Zheng, J.; Meng, J.; Zheng, H.; Li, X.; Coffman, D.; Woltjer, J.; Wang, S.; Guan, D. Carbon emissions of cities from a consumption-based perspective. Appl. Energy 2019, 235, 509–518. [Google Scholar] [CrossRef] [Green Version]
- Zhu, Q.; Li, X.; Li, F.; Zhou, D. The potential for energy saving and carbon emission reduction in China’s regional industrial sectors. Sci. Total Environ. 2020, 716, 135009. [Google Scholar] [CrossRef] [PubMed]
- Tang, L.; Wu, J.; Yu, L.; Bao, Q. Carbon emissions trading scheme exploration in China: A multi-agent-based model. Energy Policy 2015, 81, 152–169. [Google Scholar] [CrossRef]
- Zhu, B.; Su, B.; Li, Y. Input-output and structural decomposition analysis of India’s carbon emissions and intensity, 2007/08–2013/14. Appl. Energy 2018, 230, 1545–1556. [Google Scholar] [CrossRef]
- Lin, B.; Jia, Z. What will China’s carbon emission trading market affect with only electricity sector involvement? A CGE based study. Energy Econ. 2019, 78, 301–311. [Google Scholar] [CrossRef]
- Ma, M.; Cai, W.; Cai, W.G.; Dong, L. Whether carbon intensity in the commercial building sector decouples from economic development in the service industry? Empirical evidence from the top five urban agglomerations in China. J. Clean. Prod. 2019, 222, 193–205. [Google Scholar] [CrossRef]
- Wang, Q.; Zhang, F. The effects of trade openness on decoupling carbon emissions from economic growth—Evidence from 182 countries. J. Clean. Prod. 2020, 279, 123838. [Google Scholar] [CrossRef] [PubMed]
- Wen, F.; Wu, N.; Gong, X. China’s carbon emissions trading and stock returns. Energy Econ. 2020, 86, 104627. [Google Scholar] [CrossRef]
- Tan, X.; Lai, H.; Gu, B.; Zeng, Y.; Li, H. Carbon emission and abatement potential outlook in China’s building sector through 2050. Energy Policy 2018, 118, 429–439. [Google Scholar] [CrossRef]
- Xia, X.Q.; Ruan, J.H.; Juan, Z.R.; Shi, Y.; Wang, X.P.; Chan, F.T.S. Upstream-downstream joint carbon reduction strategies based on low-carbon promotion. Int. J. Environ. Res. Public Health 2018, 15, 1351. [Google Scholar] [CrossRef] [Green Version]
- Shuai, C.; Chen, X.; Wu, Y.; Tan, Y.; Zhang, Y.; Shen, L. Identifying the key impact factors of carbon emission in China: Results from a largely expanded pool of potential impact factors. J. Clean. Prod. 2018, 175, 612–623. [Google Scholar] [CrossRef]
- Liang, Y.; Cai, W.; Ma, M. Carbon dioxide intensity and income level in the Chinese megacities’ residential building sector: Decomposition and decoupling analyses. Sci. Total Environ. 2019, 677, 315–327. [Google Scholar] [CrossRef]
- Li, J.; Zhang, Y.; Tian, Y.; Cheng, W.; Yang, J.; Xu, D.; Wang, Y.; Xie, K.; Ku, A.Y. Reduction of carbon emissions from China’s coal-fired power industry: Insights from the province-level data. J. Clean Prod. 2020, 242, 118518. [Google Scholar] [CrossRef]
- Nie, P.Y.; Chen, Y.H.; Yang, Y.C.; Wang, X.H. Subsidies in carbon finance for promoting renewable energy development. J. Clean. Prod. 2016, 139, 677–684. [Google Scholar] [CrossRef]
- Petrakis, E.; Poyago-Theotoky, J. R&D subsidies versus R&D cooperation in a duopoly with spillovers and pollution. Aust. Econ. Pap. 2002, 41, 37–52. [Google Scholar] [CrossRef]
- Chen, W.; Zhang, Z.; Hua, Z. Analysis of two-tier public service systems under a government subsidy policy. Comput. Ind. Eng. 2015, 90, 146–157. [Google Scholar] [CrossRef]
- Mitra, S.; Webster, S. Competition in remanufacturing and the effects of governmentsubsidies. Int. J. Prod. Econ. 2008, 111, 277–298. [Google Scholar] [CrossRef]
- Helveston, J.; Liu, Y.; Feit, E.; Fuchs, E.; Klampfl, E.; Michalek, J.J. Will subsidies drive electric vehicle adoption? Measuring consumer preferences in the US and China. Transp. Res. Part A Policy Pract. 2015, 73, 96–112. [Google Scholar] [CrossRef] [Green Version]
- Ji, J.; Zhang, Z.; Yang, L. Carbon emission reduction decisions in the retail-/dual-channel supply chain with consumers’ preference. J. Clean. Prod. 2017, 141, 852–867. [Google Scholar] [CrossRef]
- Niamir, L.; Ivanova, O.; Filatova, T.; Voinov, A.; Bressers, H. Demand-side solutions for climate mitigation: Bottom-up drivers of household energy behavior change in the Netherlands and Spain. Energy Res. Soc. Sci. 2020, 62, 101356. [Google Scholar] [CrossRef]
- Zhu, X.; Ren, M.; Chu, W.; Chiong, R. Remanufacturing subsidy or carbon regulation? An alternative toward sustainable production. J. Clean. Prod. 2019, 239, 117988. [Google Scholar] [CrossRef]
- Cao, K.; He, P.; Liu, Z. Production and pricing decisions in a dual-channel supply chain under remanufacturing subsidy policy and carbon tax policy. J. Oper. Res. Soc. 2020, 71, 1199–1215. [Google Scholar] [CrossRef]
- Lu, Z.; Shao, S. Impacts of government subsidies on pricing and performance level choice in energy performance contracting: A two-step optimal decision model. Appl. Energy 2016, 184, 1176–1183. [Google Scholar] [CrossRef]
- He, L.; Zhao, D.; Xia, L. Game theoretic analysis of carbon emission abatement in fashion supply chains considering vertical incentives and channel structures. Sustainability 2015, 7, 4280–4309. [Google Scholar] [CrossRef] [Green Version]
- Wang, Q.; Zhao, D.; He, L. Contracting emission reduction for supply chains considering market low-carbon preference. J. Clean. Prod. 2016, 120, 72–84. [Google Scholar] [CrossRef]
- He, P.; He, Y.; Xu, H. Channel structure and pricing in a dual-channel closed-loop supply chain with government subsidy. Int. J. Prod. Econ. 2019, 213, 108–123. [Google Scholar] [CrossRef]
- Cho, S.H.; Lee, J.; Roberts, R.K.; English, B.C.; Yu, E.T.; Kim, T.; Armsworth, P.R. Evaluating a tax-based subsidy approach for forest carbon sequestration. Environ. Conserv. 2017, 44, 234–243. [Google Scholar] [CrossRef]
- Zhang, Y.; Hong, Z.; Chen, Z.; Glock, C.H. Tax or subsidy? Design and selection of regulatory policies for remanufacturing. Eur. J. Oper. Res. 2020, 287, 885–900. [Google Scholar] [CrossRef]
- Gerlagh, R.; Van der Zwaan, B. Options and instruments for a deep cut in CO2 emissions: Carbon dioxide capture or renewables, taxes or subsidies? Energy J. 2006, 27, 25–48. [Google Scholar] [CrossRef]
- Li, L.; Guo, S.; Cai, H.; Wang, J.; Zhang, J.; Ni, Y. Can China’s BEV market sustain without government subsidies?: An explanation using cues utilization theory. J. Clean. Prod. 2020, 272, 122589. [Google Scholar] [CrossRef]
- Adhikari, A.; Bisi, A. Collaboration, bargaining, and fairness concern for a green apparel supply chain: An emerging economy perspective. Transp. Res. Part E Logist. Transp. Rev. 2020, 135, 101863. [Google Scholar] [CrossRef]
- Lim, J.S.; Kim, Y.G. Combining carbon tax and R&D subsidy for climate change mitigation. Energy Econ. 2012, 34, S496–S502. [Google Scholar] [CrossRef]
- Li, J.; Du, W.; Yang, F.; Hua, G. The carbon subsidy analysis in remanufacturing closed-loop supply chain. Sustainability 2014, 6, 3861–3877. [Google Scholar] [CrossRef] [Green Version]
- Xu, L.; Wang, C. Sustainable manufacturing in a closed-loop supply chain considering emission reduction and remanufacturing. Resour. Conserv. Recycl. 2018, 131, 297–304. [Google Scholar] [CrossRef]
- Yang, M.; Zhang, L.; Dong, W. Economic benefit analysis of charging models based on differential electric vehicle charging infrastructure subsidy policy in China. Sust. Cities Soc. 2020, 59, 102206. [Google Scholar] [CrossRef]
- Zhang, L.; Long, R.; Huang, Z.; Li, W.; Wei, J. Evolutionary game analysis on the implementation of subsidy policy for sustainable transportation development. J. Clean. Prod. 2020, 267, 122159. [Google Scholar] [CrossRef]
- Li, X.; Li, Y. Chain-to-chain competition on product sustainability. J. Clean. Prod. 2016, 112, 2058–2065. [Google Scholar] [CrossRef]
- Ghosh, D.; Shah, J. Supply chain analysis under green sensitive consumer demand and cost sharing contract. Int. J. Prod. Econ. 2015, 164, 319–329. [Google Scholar] [CrossRef]
- Shaw, K.; Irfan, M.; Shankar, R.; Yadav, S.S. Low carbon chance constrained supply chain network design problem: A benders decomposition based approach. Comput. Ind. Eng. 2016, 98, 483–497. [Google Scholar] [CrossRef]
- Wang, C.; Wang, W.; Huang, R. Supply Chain Enterprise Operations And Government Carbon Tax Decisions Considering Carbon Emissions. J. Clean. Prod. 2017, 152, 271–280. [Google Scholar] [CrossRef]
- Adedoyin, F.F.; Zakari, A. Energy consumption, economic expansion, and CO2 emission in the UK: The role of economic policy uncertainty. Sci. Total Environ. 2020, 738, 140014. [Google Scholar] [CrossRef]
- Galinato, G.I.; Yoder, J.K. An integrated tax-subsidy policy for carbon emission reduction. Resour. Energy Econ. 2010, 32, 310–326. [Google Scholar] [CrossRef]
- Xie, G. Modeling decision processes of a green supply chain with regulation on energy saving level. Comput. Oper. Res. 2015, 54, 266–273. [Google Scholar] [CrossRef]
- Tan, X.; Wang, X. The market performance of carbon trading in China: A theoretical framework of structure-conduct-performance. J. Clean. Prod. 2017, 159, 410–424. [Google Scholar] [CrossRef]
- Yang, L.; Zhang, Q.; Ji, J. Pricing and carbon emission reduction decisions in supply chains with vertical and horizontal cooperation. Int. J. Prod. Econ. 2017, 191, 286–297. [Google Scholar] [CrossRef]
- Du, S.; Tang, W.; Song, M. Low-carbon production with low-carbon premium in cap-and-trade regulation. J. Clean. Prod. 2017, 134, 652–662. [Google Scholar] [CrossRef]
- Song, Y.; Li, G.; Wang, Q.; Meng, X.; Wang, H. Scenario analysis on subsidy policies for the uptake of electric vehicles industry in China. Resour. Conserv. Recycl. 2020, 161, 104927. [Google Scholar] [CrossRef]






| Symbols | Meaning |
|---|---|
| The situations of the decentralized decision model | |
| Production costs of low-carbon products (LCP) per unit | |
| Government subsidies to the low-carbon enterprise in situations of decentralized decision making | |
| Government subsidies to the retailer in situations of decentralized decision making | |
| Cost factor for carbon emission reduction efforts of LCP per unit | |
| Potential demand in the LCP market when the LCP price per unit is zero | |
| Consumer sensitivity to the LCP retail price per unit | |
| The LCP subsidy per unit | |
| In case , the LCP wholesale price per unit, where | |
| In case , the retail price of LCP per unit, where | |
| In case , sales volumes of LCP, where | |
| In case , the unit levels of carbon emission reduction effort, where | |
| In case , the low-carbon enterprise’s profit, where | |
| In case , the retailer’s profit, where | |
| Profits of the LCSC in situations of centralized decision making | |
| Total profits of the LCSC when the government subsidizes the low-carbon enterprise | |
| Total profits of the LCSC when the government subsidizes the retailer | |
| The LCP wholesale price per unit under a cost–benefit-sharing contract when the government subsidizes the low-carbon enterprise | |
| The LCP retail price per unit under a cost–benefit-sharing contract when the government subsidizes the low-carbon enterprise | |
| Sales volume of LCP under a cost–benefit-sharing contract when the government subsidizes the low-carbon enterprise | |
| Carbon emission reduction efforts under a cost–benefit-sharing contract when the government subsidizes the low-carbon enterprise | |
| Low-carbon enterprise’s profit under a cost–benefit-sharing contract when the government subsidizes the low-carbon enterprise | |
| Retailer’s profit in situations of a cost–benefit-sharing contract when the government subsidizes the low-carbon enterprise |
| Symbols | |||
|---|---|---|---|
Publisher’s Note: MDPI stays neutral with regard to jurisdictional claims in published maps and institutional affiliations. |
© 2021 by the authors. Licensee MDPI, Basel, Switzerland. This article is an open access article distributed under the terms and conditions of the Creative Commons Attribution (CC BY) license (https://creativecommons.org/licenses/by/4.0/).
Share and Cite
Li, B.; Geng, Y.; Xia, X.; Qiao, D. The Impact of Government Subsidies on the Low-Carbon Supply Chain Based on Carbon Emission Reduction Level. Int. J. Environ. Res. Public Health 2021, 18, 7603. https://doi.org/10.3390/ijerph18147603
Li B, Geng Y, Xia X, Qiao D. The Impact of Government Subsidies on the Low-Carbon Supply Chain Based on Carbon Emission Reduction Level. International Journal of Environmental Research and Public Health. 2021; 18(14):7603. https://doi.org/10.3390/ijerph18147603
Chicago/Turabian StyleLi, Biao, Yong Geng, Xiqiang Xia, and Dan Qiao. 2021. "The Impact of Government Subsidies on the Low-Carbon Supply Chain Based on Carbon Emission Reduction Level" International Journal of Environmental Research and Public Health 18, no. 14: 7603. https://doi.org/10.3390/ijerph18147603
APA StyleLi, B., Geng, Y., Xia, X., & Qiao, D. (2021). The Impact of Government Subsidies on the Low-Carbon Supply Chain Based on Carbon Emission Reduction Level. International Journal of Environmental Research and Public Health, 18(14), 7603. https://doi.org/10.3390/ijerph18147603

