Use of Non-Cancer Medications in New Zealand Women at the Diagnosis of Primary Invasive Breast Cancer: Prevalence, Associated Factors and Effects on Survival
Abstract
1. Introduction
2. Materials and Methods
2.1. Data Sources
2.2. Patient Data
2.2.1. Non-Cancer Medication Use
2.2.2. Mortality Outcomes
2.2.3. Other Variables of Interest
2.3. Data Analysis
2.4. Ethics Approval
3. Results
3.1. Prevalence of Non-Cancer Medication Use
3.2. Factors Associated with Amount of Medication Use
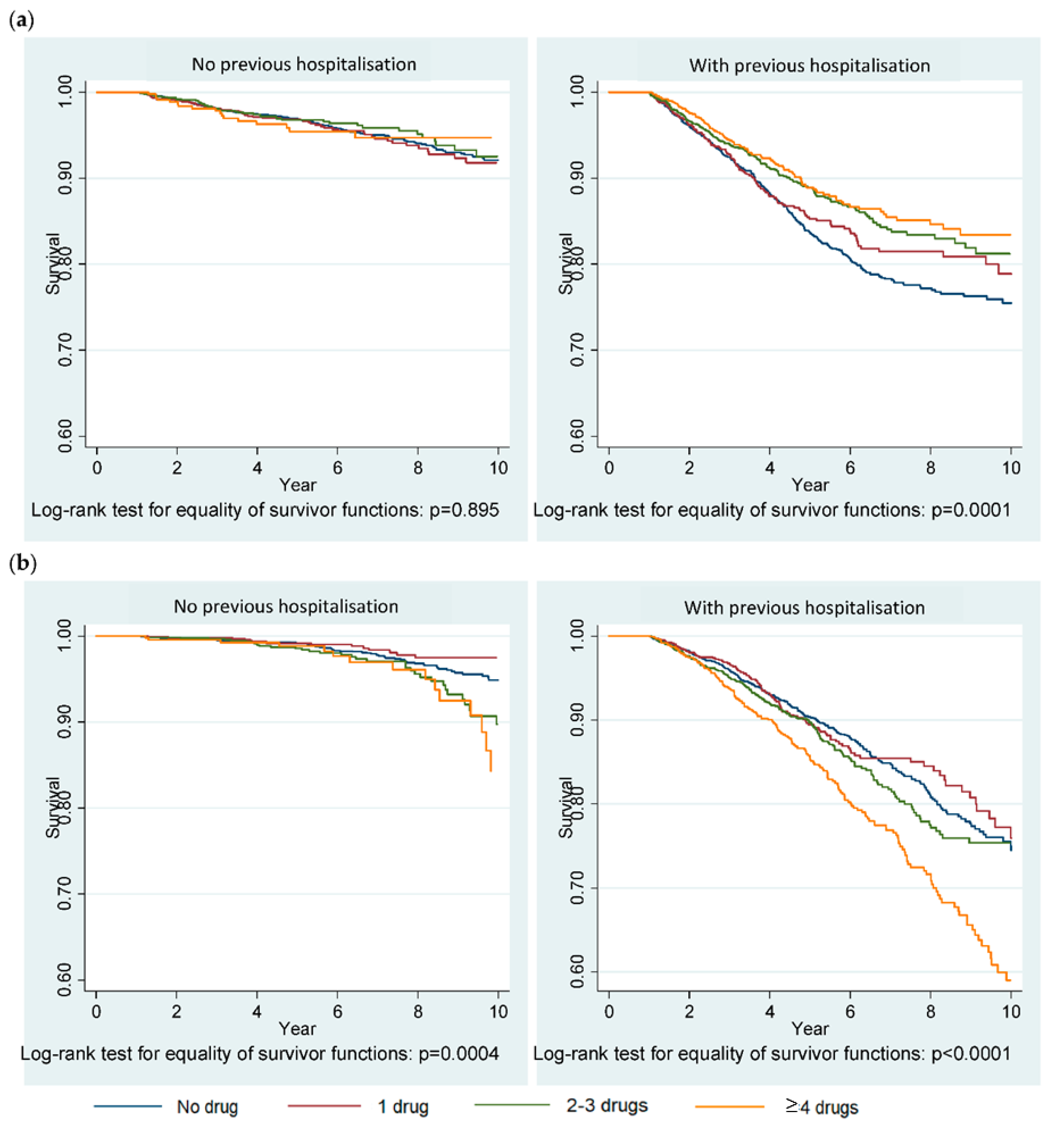
3.3. Effects of Medication Use on Survival
4. Discussion
5. Conclusions
Author Contributions
Funding
Conflicts of Interest
References
- Ministry of Health. New Cancer Registrations 2017; Ministry of Health: Wellington, New Zealand, 2019.
- Ministry of Health. Cancer Patient Survival 1994–2011; Ministry of Health: Wellington, New Zealand, 2015.
- Sarfati, D.; Koczwara, B.; Jackson, C. The impact of comorbidity on cancer and its treatment. CA Cancer J. Clin. 2016, 66, 337–350. [Google Scholar] [CrossRef] [PubMed]
- Millar, E.; Gurney, J.K.; Stanley, J.; Stairmand, J.; Davies, C.; Semper, K.; Dowell, A.; Lawrenson, R.; Mangin, D.; Sarfati, D. Pill for this and a pill for that: A cross-sectional survey of use and understanding of medication among adults with multimorbidity. Australas. J. Ageing 2018, 38, 91–97. [Google Scholar] [CrossRef] [PubMed]
- Viktil, K.K.; Blix, H.S.; Moger, T.A.; Reikvam, A. Polypharmacy as commonly defined is an indicator of limited value in the assessment of drug-related problems. Br. J. Clin. Pharmacol. 2006, 63, 187–195. [Google Scholar] [CrossRef] [PubMed]
- Leblanc, T.W.; McNeil, M.J.; Kamal, A.H.; Currow, D.C.; Abernethy, A.P. Polypharmacy in patients with advanced cancer and the role of medication discontinuation. Lancet Oncol. 2015, 16, e333–e341. [Google Scholar] [CrossRef]
- Kotlinska-Lemieszek, A.; Paulsen, Ø.; Kaasa, S.; Klepstad, P. Polypharmacy in Patients with Advanced Cancer and Pain: A European Cross-Sectional Study of 2282 Patients. J. Pain Symptom Manag. 2014, 48, 1145–1159. [Google Scholar] [CrossRef] [PubMed]
- Riechelmann, R.P.; Krzyzanowska, M.K.; Zimmermann, C. Futile medication use in terminally ill cancer patients. Support. Care Cancer 2008, 17, 745–748. [Google Scholar] [CrossRef] [PubMed]
- Fede, A.; Miranda, M.; Antonangelo, D.; Trevizan, L.; Schaffhausser, H.; Hamermesz, B.; Zimmermann, C.; Del Giglio, A.; Riechelmann, R.P. Use of unnecessary medications by patients with advanced cancer: Cross-sectional survey. Support. Care Cancer 2010, 19, 1313–1318. [Google Scholar] [CrossRef]
- Ministry of Health. Pharmaceutical Claims Data Mart (PHARMS); Ministry of Health: Wellington, New Zealand, 2017.
- Ministry of Health. National Minimum Dataset (Hospital Events) Data Mart data dictionary. 2019. Available online: https://www.health.govt.nz/nz-health-statistics/national-collections-and-surveys/collections/national-minimum-dataset-hospital-events (accessed on 9 June 2020).
- Ministry of Health. Mortality Collection Data Dictionary; Ministry of Health: Wellington, New Zealand, 2017.
- Platt, R.W.; Hutcheon, J.A.; Suissa, S. Immortal Time Bias in Epidemiology. Curr. Epidemiol. Rep. 2019, 6, 23–27. [Google Scholar] [CrossRef]
- Suissa, S. Immortal Time Bias in Pharmacoepidemiology. Am. J. Epidemiol. 2008, 167, 492–499. [Google Scholar] [CrossRef]
- Lévesque, L.E.; Hanley, J.A.; Kezouh, A.; Suissa, S. Problem of immortal time bias in cohort studies: Example using statins for preventing progression of diabetes. BMJ 2010, 340, b5087. [Google Scholar] [CrossRef]
- Atkinson, J.; Salmond, C.; Crampton, P. NZDep2013 Index of Deprivation; University of Otago: Dunedin, New Zealand, 2014. [Google Scholar]
- American Cancer Society. Breast Cancer Hormone Receptor Status. 2020. Available online: https://www.cancer.org/cancer/breast-cancer/understanding-a-breast-cancer-diagnosis/breast-cancer-hormone-receptor-status.html (accessed on 21 August 2020).
- Topaloğlu, U.S.; Ozaslan, E. Comorbidity and polypharmacy in patients with breast cancer. Breast Cancer 2020, 27, 477–482. [Google Scholar] [CrossRef]
- Sera, L.; McPherson, M.L.; Holmes, H.M. Commonly Prescribed Medications in a Population of Hospice Patients. Am. J. Hosp. Palliat. Med. 2013, 31, 126–131. [Google Scholar] [CrossRef] [PubMed]
- Jørgensen, T.L.; Hallas, J.; Land, L.H.; Herrstedt, J. Comorbidity and polypharmacy in elderly cancer patients: The significance on treatment outcome and tolerance. J. Geriatr. Oncol. 2010, 1, 87–102. [Google Scholar] [CrossRef]
- Metcalfe, S.; Laking, G.; Arnold, J. Variation in the use of medicines by ethnicity during 2006/07 in New Zealand: A preliminary analysis. N. Z. Med. J. 2013, 126. [Google Scholar]
- Childers, W.K.; Hollenbeak, C.S.; Cheriyath, P. β-Blockers Reduce Breast Cancer Recurrence and Breast Cancer Death: A Meta-Analysis. Clin. Breast Cancer 2015, 15, 426–431. [Google Scholar] [CrossRef] [PubMed]
- Kwan, M.L.; Habel, L.A.; Flick, E.D.; Quesenberry, C.P.; Caan, B. Post-diagnosis statin use and breast cancer recurrence in a prospective cohort study of early stage breast cancer survivors. Breast Cancer Res. Treat. 2007, 109, 573–579. [Google Scholar] [CrossRef] [PubMed]
- Murtola, T.J.; Visvanathan, K.; Artama, M.; Vainio, H.; Pukkala, E. Statin Use and Breast Cancer Survival: A Nationwide Cohort Study from Finland. PLoS ONE 2014, 9, e110231. [Google Scholar] [CrossRef]
- Barron, T.I.; Connolly, R.M.; Sharp, L.; Bennett, K.; Visvanathan, K. Beta Blockers and Breast Cancer Mortality: A Population-Based Study. J Clin Oncol. 2011, 29. [Google Scholar] [CrossRef]
- Kutner, J.S.; Blatchford, P.J.; Taylor, D.H.; Ritchie, C.S.; Bull, J.H.; Fairclough, D.L.; Hanson, L.C.; Leblanc, T.W.; Samsa, G.P.; Wolf, S.; et al. Safety and Benefit of Discontinuing Statin Therapy in the Setting of Advanced, Life-Limiting Illness a randomized clinical trial. JAMA Intern. Med. 2015, 175, 691–700. [Google Scholar] [CrossRef]
- Blower, P.; De Wit, R.; Goodin, S.; Aapro, M. Drug–drug interactions in oncology: Why are they important and can they be minimized? Crit. Rev. Oncol. 2005, 55, 117–142. [Google Scholar] [CrossRef]
- Riechelmann, R.P.; Del Giglio, A. Drug interactions in oncology: How common are they? Ann. Oncol. 2009, 20, 1907–1912. [Google Scholar] [CrossRef] [PubMed]
- Lu-Yao, G.; Nightingale, G.; Nikita, N.; Keith, S.; Gandhi, K.; Swartz, K.; Zinner, R.; Sharma, S.; Kelly, W.K.; Chapman, A. Relationship between polypharmacy and inpatient hospitalization among older adults with cancer treated with intravenous chemotherapy. J. Geriatr. Oncol. 2020, 11, 579–585. [Google Scholar] [CrossRef] [PubMed]
- Turner, J.P.; Shakib, S.; Singhal, N.; Hogan-Doran, J.; Prowse, R.; Johns, S.; Bell, J.S. Prevalence and factors associated with polypharmacy in older people with cancer. Support. Care Cancer 2014, 22, 1727–1734. [Google Scholar] [CrossRef] [PubMed]
- Domínguez-Alonso, J.A.; Conde-Estévez, D.; Bosch, D.; Pi-Figueras, M.; Tusquets, I. Breast cancer, placing drug interactions in the spotlight: Is polypharmacy the cause of everything? Clin. Transl. Oncol. 2020, 1–9. [Google Scholar] [CrossRef]
- Turner, J.; Kantilal, K.; Holmes, H.; Koczwara, B. Optimising Medications for Patients With Cancer and Multimorbidity: The Case for Deprescribing. Clin. Oncol. 2020, 32, 609–617. [Google Scholar] [CrossRef]
- Lees, J.; Chan, A. Polypharmacy in elderly patients with cancer: Clinical implications and management. Lancet Oncol. 2011, 12, 1249–1257. [Google Scholar] [CrossRef]
- Feng, X.; Higa, G.M.; Safarudin, F.; Sambamoorthi, U.; Tan, X. Potentially inappropriate medication use and associated healthcare utilization and costs among older adults with colorectal, breast, and prostate cancers. J. Geriatr. Oncol. 2019, 10, 698–704. [Google Scholar] [CrossRef]
- Feng, X.; Higa, G.M.; Safarudin, F.; Sambamoorthi, U.; Chang, J. Prevalence and factors associated with potentially inappropriate medication use in older medicare beneficiaries with cancer. Res. Soc. Adm. Pharm. 2019. [Google Scholar] [CrossRef]
- Gurney, J.K.; Sarfati, D.; Dennett, E.R.; Koea, J. The completeness of cancer treatment data on the National Health Collections. N. Z. Med. J. 2013, 126. [Google Scholar]
- Neave, L.; Harvey, V.; Benjamin, C.; Thompson, P.; Pellett, O.; Whitlock, J.; Jones, W.; Poole, G. The Auckland Breast Cancer Register: A special project of the Auckland Breast Cancer Study Group. N. Z. Med. J. 2003, 116. [Google Scholar]
- Seneviratne, S.; Campbell, I.; Scott, N.; Shirley, R.; Peni, T.; Lawrenson, R. Accuracy and completeness of the New Zealand Cancer Registry for staging of invasive breast cancer. Cancer Epidemiol. 2014, 38, 638–644. [Google Scholar] [CrossRef] [PubMed]
- Breast Cancer Foundation. National Register. Available online: https://breastcancerregister.org.nz/about (accessed on 5 June 2020).



| Subgroups | N | % |
|---|---|---|
| Total | 14,485 | 100.0 |
| Age | ||
| 20–49 yr | 4140 | 28.6 |
| 50–59 yr | 3903 | 27.0 |
| 60–69 yr | 3746 | 25.9 |
| 70–79 yr | 1674 | 11.6 |
| ≥80 yr | 1022 | 7.1 |
| Ethnicity | ||
| New Zealand European | 10,727 | 74.1 |
| Māori | 1377 | 9.5 |
| Pacific Peoples | 863 | 6.0 |
| Asian | 1190 | 8.2 |
| Other/Unknown | 328 | 2.3 |
| NZDep2013 | ||
| NZDep 1–2 (least deprived) | 2582 | 17.8 |
| NZDep 3–4 | 2833 | 19.6 |
| NZDep 5–6 | 2901 | 20.0 |
| NZDep 7–8 | 2177 | 15.0 |
| NZDep 9–10 (most deprived) | 2105 | 14.5 |
| Unknown | 1887 | 13.0 |
| Region | ||
| Auckland | 7962 | 55.0 |
| Christchurch | 2354 | 16.3 |
| Waikato | 2175 | 15.0 |
| Wellington | 1994 | 13.8 |
| Facility | ||
| Private | 5004 | 34.6 |
| Public | 9481 | 65.5 |
| Screen-detected | ||
| No | 8325 | 57.5 |
| Yes | 6160 | 42.5 |
| Previous hospitalisation (which indicate severe comorbidities) | ||
| No | 8138 | 56.2 |
| Yes | 6347 | 43.8 |
| Time from diagnosis to first cancer treatment | ||
| <31 days | 8227 | 56.8 |
| 31–62 days | 5215 | 36.0 |
| >62 days | 1043 | 7.2 |
| Histology | ||
| Ductal | 11,170 | 77.1 |
| Lobular | 1683 | 11.6 |
| Mixed | 406 | 2.8 |
| Other and Unknown | 1226 | 8.5 |
| Anatomic stage | ||
| I | 6735 | 46.5 |
| II | 5119 | 35.3 |
| III | 1919 | 13.3 |
| IV | 291 | 2.0 |
| Unknown | 421 | 2.9 |
| Histologic grade | ||
| 1 | 3267 | 22.6 |
| 2 | 6534 | 45.1 |
| 3 | 4300 | 29.7 |
| Unknown | 384 | 2.7 |
| Biological subtype | ||
| HR+ HER2− | 9954 | 68.7 |
| HR− HER2+ | 736 | 5.1 |
| Triple-negative | 1498 | 10.3 |
| Triple-positive | 1283 | 8.9 |
| Unknown | 1014 | 7.0 |
| Three Most Common Drugs in Each Drug Category | N of Patients | % within Category |
|---|---|---|
| Agents Affecting the Renin-Angiotensin System | ||
| Cilazapril | 928 | 31.9 |
| Quinapril | 590 | 20.3 |
| Cilazapril with hydrochlorothiazide | 423 | 14.5 |
| Lipid-Modifying Agents | ||
| Simvastatin | 1508 | 59.3 |
| Atorvastatin | 895 | 35.2 |
| Bezafibrate | 90 | 3.5 |
| Anti-ulcerants | ||
| Omeprazole | 1577 | 80.0 |
| Pantoprazole | 199 | 10.1 |
| Ranitidine | 101 | 5.1 |
| Calcium Channel Blockers | ||
| Felodipine | 774 | 52.1 |
| Amlodipine | 328 | 22.1 |
| Diltiazem hydrochloride | 283 | 19.1 |
| Diuretics | ||
| Bendroflumethiazide (Bendrofluazide) | 940 | 63.7 |
| Furosemide (Frusemide) | 287 | 19.4 |
| Spironolactone | 94 | 6.4 |
| Beta-Adrenoceptor Blockers | ||
| Metoprolol succinate | 920 | 68.3 |
| Atenolol | 187 | 13.9 |
| Sotalol | 62 | 4.6 |
| Antidepressants | ||
| Citalopram hydrobromide | 386 | 41.5 |
| Fluoxetine hydrochloride | 326 | 35.0 |
| Paroxetine | 100 | 10.7 |
| Diabetes | ||
| Metformin hydrochloride | 635 | 70.5 |
| Gliclazide | 145 | 16.1 |
| Glipizide | 93 | 10.3 |
| Minerals | ||
| Calcium carbonate | 428 | 48.2 |
| Ferrous sulphate | 233 | 26.2 |
| Ferrous fumarate | 151 | 17.0 |
| Antihistamines | ||
| Loratadine | 384 | 54.8 |
| Cetirizine hydrochloride | 299 | 42.7 |
| Promethazine hydrochloride | 17 | 2.4 |
| Thyroid and Antithyroid Agents | ||
| Levothyroxine | 631 | 94.6 |
| Carbimazole | 36 | 5.4 |
| Non-Steroidal Anti-Inflammatory Drugs | ||
| Diclofenac sodium | 146 | 42.0 |
| Ibuprofen | 91 | 26.2 |
| Naproxen | 66 | 19.0 |
| Contraceptives—Hormonal | ||
| Ethinyloestradiol with levonorgestrel | 129 | 51.2 |
| Norethisterone | 71 | 28.2 |
| Ethinyloestradiol with norethisterone | 33 | 13.1 |
| Analgesics | ||
| Paracetamol | 144 | 68.3 |
| Aspirin | 37 | 17.5 |
| Paracetamol with codeine | 24 | 11.4 |
| Hormone Replacement Therapy—Systemic | ||
| Oestradiol valerate | 62 | 33.7 |
| Oestrogens | 61 | 33.2 |
| Medroxyprogesterone acetate | 52 | 28.3 |
| No Drug | 1 Drug | 2–3 Drugs | ≥4 Drugs | Single-Variable Analysis | Multi-Variable Analysis | ||
|---|---|---|---|---|---|---|---|
| N (row %) | N (row %) | N (row %) | N (row %) | OR (95%CI) | OR (95%CI) | ||
| Total | 6915 (47.7) | 2807 (19.4) | 3025 (20.9) | 1738 (12.0) | - | - | |
| Age | |||||||
| 20–49 yr | 2719 (65.7) | 873 (21.1) | 438 (10.6) | 110 (2.7) | 1.00 | 1.00 | |
| 50–59 yr | 2100 (53.8) | 788 (20.2) | 726 (18.6) | 289 (7.4) | 1.75 (1.61–1.91) *** | 1.66 (1.52–1.81) *** | |
| 60–69 yr | 1393 (37.2) | 726 (19.4) | 1012 (27.1) | 615 (16.4) | 3.71 (3.4–4.04) *** | 3.44 (3.14–3.76) *** | |
| 70–79 yr | 402 (24.0) | 272 (16.3) | 559 (33.4) | 441 (26.3) | 7.17 (6.43–7.99) *** | 7.21 (6.45–8.05) *** | |
| ≥80 yr | 301 (29.5) | 148 (14.5) | 290 (28.4) | 283 (27.7) | 6.38 (5.59–7.28) *** | 6.47 (5.65–7.41) *** | |
| Ethnicity | |||||||
| NZ European | 4916 (45.8) | 2180 (20.3) | 2336 (21.8) | 1295 (12.1) | 1.00 | 1.00 | |
| Māori | 730 (53.0) | 217 (15.8) | 258 (18.8) | 172 (12.5) | 0.82 (0.73–0.91) *** | 1.02 (0.90–1.14) | |
| Pacific Peoples | 469 (54.4) | 131 (15.2) | 162 (18.8) | 101 (11.7) | 0.77 (0.68–0.88) *** | 0.99 (0.86–1.14) | |
| Asian | 650 (54.6) | 215 (18.1) | 201 (16.9) | 124 (10.4) | 0.73 (0.65–0.81) *** | 1.03 (0.92–1.16) | |
| Other/Unknown | 150 (45.7) | 64 (19.5) | 68 (20.7) | 46 (14.02) | 1.04 (0.85–1.27) | 1.17 (0.95–1.44) | |
| Facility | |||||||
| Public | 4408 (46.5) | 1737 (18.3) | 2007 (21.1) | 1329 (14.0) | 1.00 | 1.00 | |
| Private | 2507 (50.1) | 1070 (21.4) | 1018 (20.4) | 409 (8.2) | 0.79 (0.74–0.84) *** | 0.90 (0.84–0.96) ** | |
| NZDep2013 | |||||||
| NZDep 1–2 | 1291 (50.0) | 555 (21.5) | 494 (19.2) | 242 (9.4) | 1.00 | 1.00 | |
| NZDep 3–4 | 1348 (47.6) | 581 (20.5) | 602 (21.3) | 302 (10.7) | 1.12 (1.02–1.24) * | 1.08 (0.98–1.20) | |
| NZDep 5–6 | 1321 (45.5) | 562 (19.4) | 640 (22.1) | 378 (13.0) | 1.26 (1.14–1.39) *** | 1.13 (1.02–1.25) * | |
| NZDep 7–8 | 977 (44.9) | 409 (18.8) | 493 (22.6) | 298 (13.7) | 1.31 (1.18–1.46) *** | 1.21 (1.08–1.35) *** | |
| NZDep 9–10 | 1060 (50.4) | 341 (16.2) | 423 (20.1) | 281 (13.4) | 1.11 (0.99–1.23) | 1.07 (0.95–1.20) | |
| Unknown | 918 (48.7) | 359 (19.0) | 373 (19.7) | 237 (12.6) | 1.13 (1.01–1.26) * | 0.97 (0.82–1.14) | |
| Region | |||||||
| Auckland | 3952 (49.6) | 1523 (19.1) | 1593 (20.0) | 894 (11.2) | 1.00 | 1.00 | |
| Christchurch | 1003 (42.6) | 503 (21.4) | 562 (23.9) | 286 (12.2) | 1.26 (1.16–1.37) *** | 1.16 (1.06–1.27) *** | |
| Waikato | 995 (45.8) | 383 (17.6) | 468 (21.5) | 329 (15.1) | 1.24 (1.13–1.35) *** | 1.10 (1.00–1.21) * | |
| Wellington | 965 (48.4) | 398 (20.0) | 402 (20.1) | 229 (11.5) | 1.04 (0.95–1.14) | 1.12 (0.97–1.30) | |
| Screen-detected | |||||||
| No | 4088 (49.1) | 1613 (19.4) | 1610 (19.3) | 1014 (12.2) | 1.00 | 1.00 | |
| Yes | 2827 (45.9) | 1194 (19.4) | 1415 (22.9) | 724 (11.8) | 1.12 (1.05–1.19) *** | 1.21 (1.13–1.30) *** | |
| Medication Use | No Previous Hospitalisation | with Previous Hospitalisation^ | ||
|---|---|---|---|---|
| Crude HR (95%CI) | Adjusted HR (95%CI) | Crude HR (95%CI) | Adjusted HR (95%CI) | |
| Mortality from breast cancer-specific causes | ||||
| 1 drug | 1.09 (0.81–1.46) | 1.07 (0.77–1.47) | 0.87 (0.72–1.06) | 1.00 (0.81–1.23) |
| 2–3 drugs | 0.94 (0.67–1.30) | 0.82 (0.56–1.20) | 0.72 (0.59–0.87) *** | 0.96 (0.78–1.18) |
| ≥4 drugs | 1.01 (0.61–1.67) | 1.03 (0.58–1.83) | 0.66 (0.54–0.82) *** | 0.90 (0.71–1.14) |
| Mortality from other and unknown causes | ||||
| 1 drug | 0.66 (0.39–1.12) | 0.69 (0.39–1.20) | 0.96 (0.76–1.20) | 0.82 (0.65–1.05) |
| 2–3 drugs | 1.57 (1.04–2.36) * | 1.04 (0.65–1.65) | 1.14 (0.94–1.38) | 0.76 (0.61–0.94) ** |
| ≥4 drugs | 2.25 (1.33–3.82) ** | 0.82 (0.40–1.68) | 1.66 (1.38–1.99) *** | 0.90 (0.73–1.10) |
Publisher’s Note: MDPI stays neutral with regard to jurisdictional claims in published maps and institutional affiliations. |
© 2020 by the authors. Licensee MDPI, Basel, Switzerland. This article is an open access article distributed under the terms and conditions of the Creative Commons Attribution (CC BY) license (http://creativecommons.org/licenses/by/4.0/).
Share and Cite
Aye, P.S.; Scott, O.W.; Elwood, J.M.; Sarfati, D.; Lawrenson, R.; Campbell, I.D.; Kuper-Hommel, M.; Tin Tin, S. Use of Non-Cancer Medications in New Zealand Women at the Diagnosis of Primary Invasive Breast Cancer: Prevalence, Associated Factors and Effects on Survival. Int. J. Environ. Res. Public Health 2020, 17, 7962. https://doi.org/10.3390/ijerph17217962
Aye PS, Scott OW, Elwood JM, Sarfati D, Lawrenson R, Campbell ID, Kuper-Hommel M, Tin Tin S. Use of Non-Cancer Medications in New Zealand Women at the Diagnosis of Primary Invasive Breast Cancer: Prevalence, Associated Factors and Effects on Survival. International Journal of Environmental Research and Public Health. 2020; 17(21):7962. https://doi.org/10.3390/ijerph17217962
Chicago/Turabian StyleAye, Phyu Sin, Oliver W. Scott, J. Mark Elwood, Diana Sarfati, Ross Lawrenson, Ian D. Campbell, Marion Kuper-Hommel, and Sandar Tin Tin. 2020. "Use of Non-Cancer Medications in New Zealand Women at the Diagnosis of Primary Invasive Breast Cancer: Prevalence, Associated Factors and Effects on Survival" International Journal of Environmental Research and Public Health 17, no. 21: 7962. https://doi.org/10.3390/ijerph17217962
APA StyleAye, P. S., Scott, O. W., Elwood, J. M., Sarfati, D., Lawrenson, R., Campbell, I. D., Kuper-Hommel, M., & Tin Tin, S. (2020). Use of Non-Cancer Medications in New Zealand Women at the Diagnosis of Primary Invasive Breast Cancer: Prevalence, Associated Factors and Effects on Survival. International Journal of Environmental Research and Public Health, 17(21), 7962. https://doi.org/10.3390/ijerph17217962

