Effectiveness of an Emotional Intelligence Intervention and Its Impact on Academic Performance in Spanish Pre-Adolescent Elementary Students: Results from the EDI Program
Abstract
1. Introduction
1.1. Emotional Intelligence and Academic Performance
1.2. Emotional Intelligence and Academic Performance in Specific Subjects
1.3. Our Study
2. Materials and Methods
2.1. Participants
2.2. Procedure and Intervention Design
2.3. Measures
2.4. Analytic Plan
3. Results
3.1. Emotional Intelligence
3.2. Academic Performance: General, Mathematics, and Language.
3.2.1. General Academic Performance
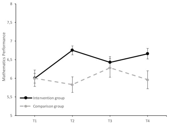
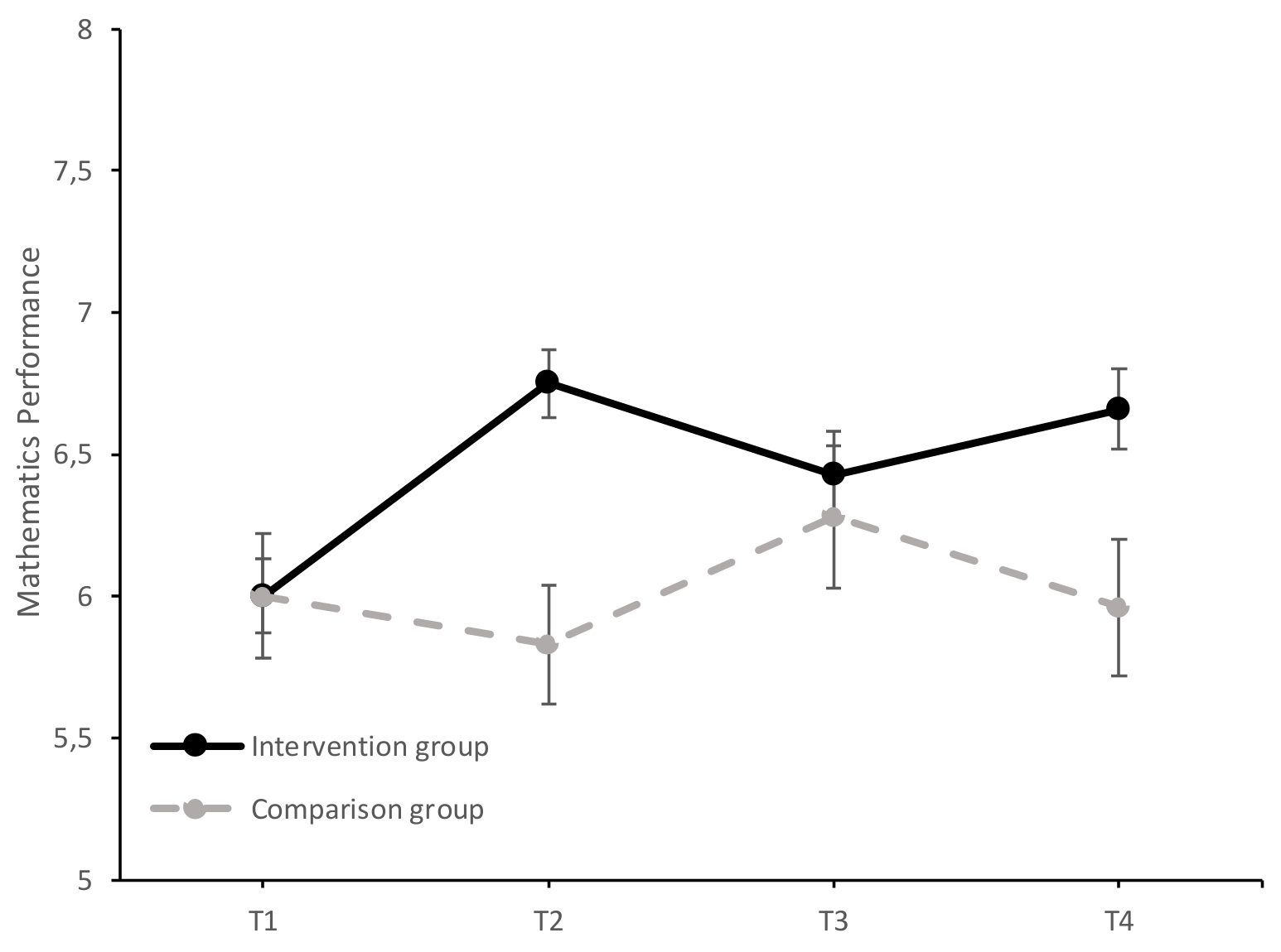
3.2.2. Mathematics Performance
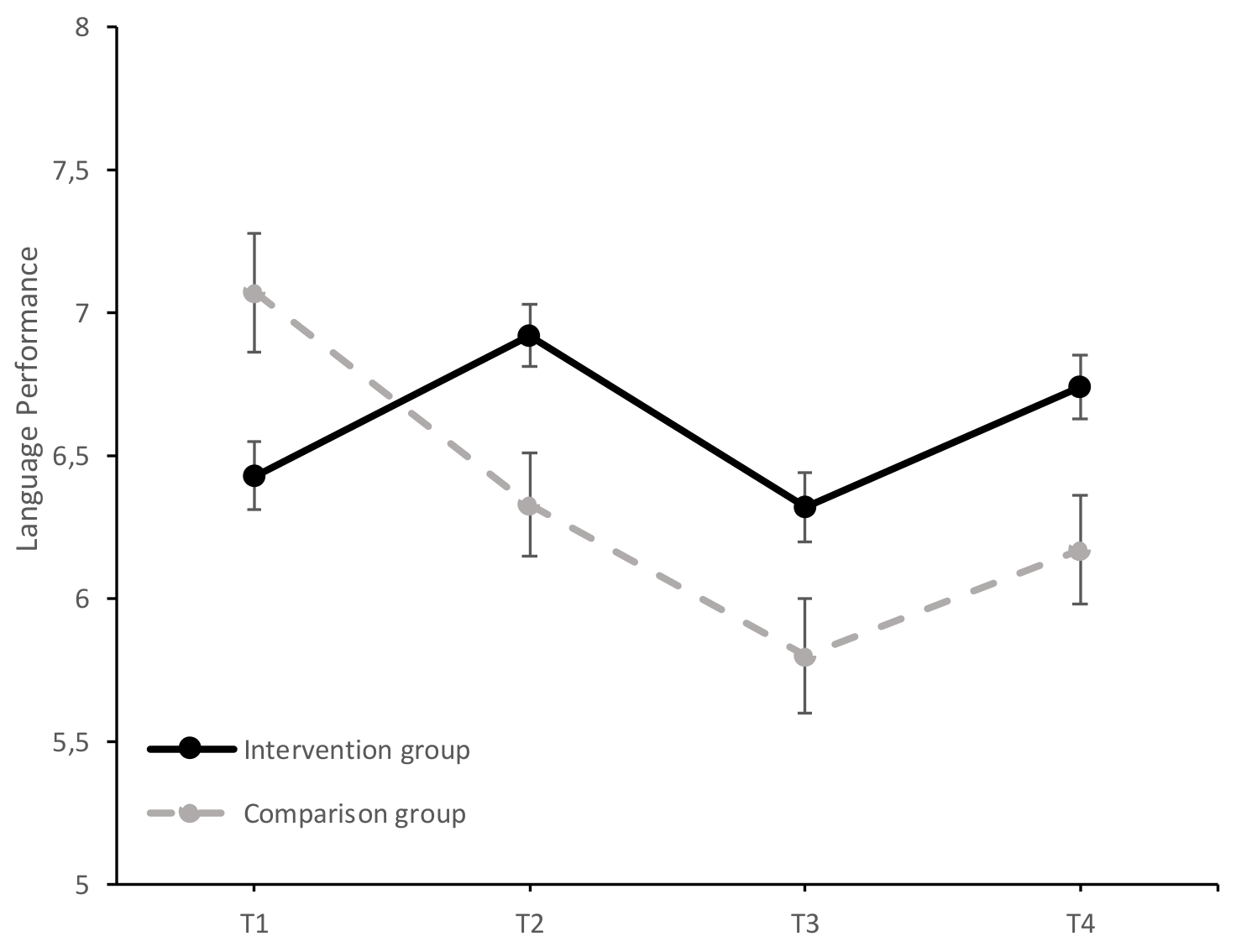
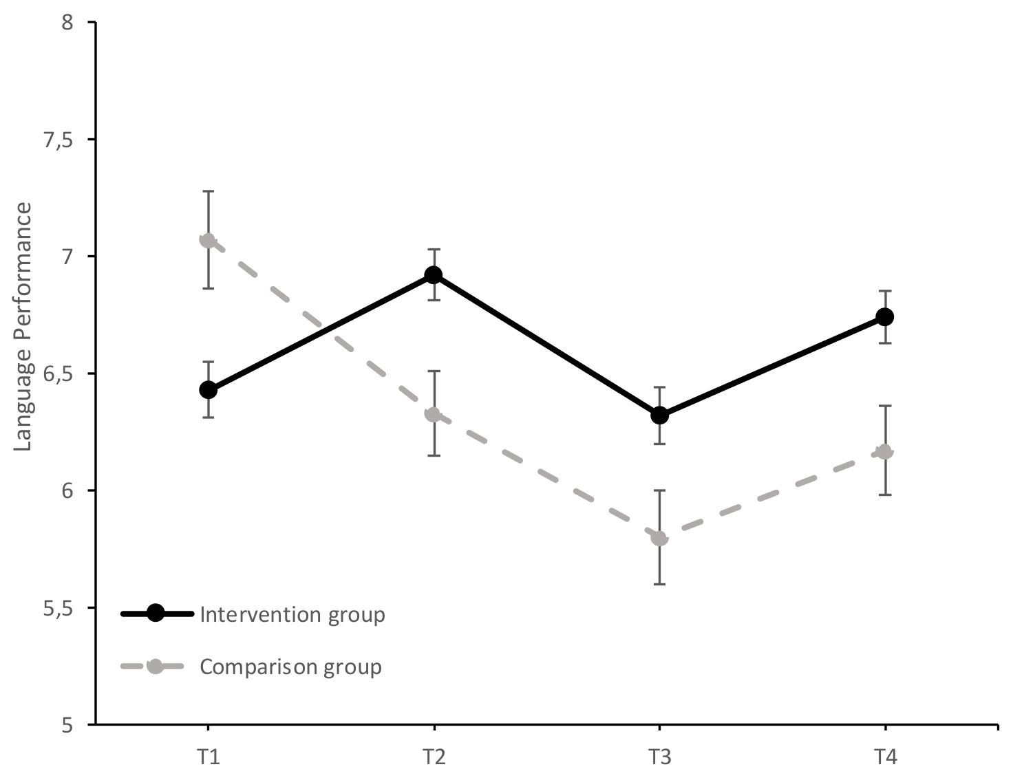
3.2.3. Language Performance
4. Discussion
5. Conclusions
Author Contributions
Funding
Acknowledgments
Conflicts of Interest
References
- Mayer, J.D.; Salovey, P.; Caruso, D.R. Emotional intelligence: Theory, findings, and implications. Psychol Inq. 2004, 15, 197–215. [Google Scholar] [CrossRef]
- Petrides, K.V.; Furnham, A.; Mavroveli, S. Trait emotional intelligence: Moving forward in the field of EI. Emot. Intell. Knowns Unkn. 2007, 4, 151–166. [Google Scholar]
- Siegling, A.B.; Furnham, A.; Petrides, K.V. Trait emotional intelligence and personality: Gender-invariant linkages across different measures of the Big Five. J. Psychoeduc. Assess. 2015, 33, 57–67. [Google Scholar] [CrossRef] [PubMed]
- Bar-On, R. Emotional intelligence: An integral part of positive psychology. S. Afr. J. Psychol. 2010, 40, 54–62. [Google Scholar] [CrossRef]
- Castillo, R.; Salguero, J.M.; Fernández-Berrocal, P.; Balluerka, N. Effects of an emotional intelligence intervention on aggression and empathy among adolescents. J. Adolesc. 2013, 36, 883–892. [Google Scholar] [CrossRef]
- Durlak, J.A.; Weissberg, R.P.; Dymnicki, A.B.; Taylor, R.D.; Schellinger, K.B. The impact of enhancing students’ social and emotional learning: A metaanalysis of school-based universal interventions. Child. Dev. 2011, 82, 405–432. [Google Scholar] [CrossRef]
- Petrides, K.V.; Frederickson, N.; Furnham, A. The role of trait emotional intelligence in academic performance and deviant behavior at school. Personal. Individ. Dif. 2004, 36, 277–293. [Google Scholar] [CrossRef]
- Petrides, K.V.; Sangareau, Y.; Furnham, A.; Frederickson, N. Trait emotional intelligence and children’s peer relations at school. Sch. Dev. 2006, 15, 537–547. [Google Scholar] [CrossRef]
- Russo, P.M.; Mancini, G.; Trombini, E.; Baldaro, B.; Mavroveli, S.; Petrides, K.V. Trait emotional intelligence and the big five: A study on Italian children and preadolescents. J. Psychoeduc. Assess. 2012, 30, 274–283. [Google Scholar] [CrossRef]
- Costa, A.; Faria, L. The impact of emotional intelligence on academic achievement: A longitudinal study in Portuguese secondary school. Learn. Individ. Differ. 2015, 37, 38–47. [Google Scholar] [CrossRef]
- Duckworth, A.L.; Seligman, M.E.P. Self-discipline outdoes IQ in predicting academic performance of adolescents. Psychol. Sci. 2005, 16, 939–944. [Google Scholar] [CrossRef] [PubMed]
- Panayiotou, M.; Humphrey, N.; Wigelsworth, M. An empirical basis for linking social and emotional learning to academic performance. Contemp. Educ. Psychol. 2019, 56, 193–204. [Google Scholar] [CrossRef]
- Andrei, F.; Mancini, G.; Mazzoni, E.; Russo, P.M.; Baldaro, B. Social status and its link with personality dimensions, trait emotional intelligence, and scholastic achievement in children and early adolescents. Learn. Individ. Differ. 2015, 42, 97–105. [Google Scholar] [CrossRef]
- Barchard, K.A. Does emotional intelligence assist in the prediction of academic success? Educ. Psychol. Meas. 2003, 63, 840–858. [Google Scholar] [CrossRef]
- Bastian, V.A.; Burns, N.R.; Nettelbeck, T. Emotional intelligence predicts life skills, but not as well as personality and cognitive abilities. Pers. Individ. Dif. 2005, 39, 1135–1145. [Google Scholar] [CrossRef]
- Perera, H.N.; DiGiacomo, M. The relationship of trait emotional intelligence with academic performance: A meta-analytic review. Learn. Individ. Differ. 2013, 28, 20–33. [Google Scholar] [CrossRef]
- Qualter, P.; Gardner, K.J.; Pope, D.J.; Hutchinson, J.M.; Whiteley, H.E. Ability emotional intelligence, trait emotional intelligence, and academic success in British secondary schools: A 5 years longitudinal study. Learn. Individ. Differ. 2012, 22, 83–91. [Google Scholar] [CrossRef]
- MacCann, C.; Jiang, Y.; Brown, L.E.; Double, K.S.; Bucich, M.; Minbashian, A. Emotional intelligence predicts academic performance: A meta-analysis. Psychol. Bull. 2020, 146, 150–186. [Google Scholar] [CrossRef]
- Buenrostro, A.E.; Valadez, M.D.; Soltero, R.; Nava, G.; Zambrano, R.; García, A. Inteligencia emocional y rendimiento académico en adolescentes. Rev. Educ. Y Desarro. 2012, 20, 29–37. [Google Scholar]
- Agnoli, S.; Mancini, G.; Pozzoli, T.; Baldaro, B.; Russo, P.M.; Surcinelli, P. The interaction between emotional intelligence and cognitive ability in predicting scholastic performance in school-aged children. Pers. Individ. Dif. 2012, 53, 660–665. [Google Scholar] [CrossRef]
- Ferrándiz, C.; Hernández, D.; Bermejo, R.; Ferrando, M.; Sáinz, M. Social and emotional intelligence in childhood and adolescence: Spanish validation of a measurement instrument. Rev. Psicodidáctica 2012, 17, 309–338. [Google Scholar] [CrossRef]
- Ferrando, M.; Prieto, M.D.; Almeida, L.S.; Ferrándiz, C.; Bermejo, R.; López-Pina, J.A.; Fernández, M.C. Trait emotional intelligence and academic performance: Controlling for the effects of IQ, personality, and self-concept. J. Psychoeduc. Assess. 2011, 29, 150–159. [Google Scholar] [CrossRef]
- Mavroveli, S.; Petrides, K.V.; Sangareau, Y.; Furnham, A. Exploring the relationships between trait emotional intelligence and objective socio-emotional outcomes in childhood. Br. J. Educ. Psychol. 2009, 79, 259–272. [Google Scholar] [CrossRef] [PubMed]
- Mavroveli, S.; Sánchez-Ruiz, M.J. Trait emotional intelligence influences on academic achievement and school behaviour. Br. J. Educ. Psychol. 2011, 81, 112–134. [Google Scholar] [CrossRef] [PubMed]
- Parker, J.D.; Creque, R.E., Sr.; Barnhart, D.L.; Harris, J.I.; Majeski, S.A.; Wood, L.M.; Hogan, M.J. Academic achievement in high school: Does emotional intelligence matter? Pers. Individ. Dif. 2004, 37, 1321–1330. [Google Scholar] [CrossRef]
- Parker, J.D.; Summerfeldt, L.J.; Hogan, M.J.; Majeski, S.A. Emotional intelligence and academic success: Examining the transition from high school to university. Pers. Individ. Dif. 2004, 36, 163–172. [Google Scholar] [CrossRef]
- Downey, L.A.; Mountstephen, J.; Lloyd, J.; Hansen, K.; Stough, C. Emotional intelligence and scholastic achievement in Australian adolescents. Aust. J. Psychol. 2008, 60, 10–17. [Google Scholar] [CrossRef]
- Ashcraft, M.H. Math anxiety: Personal, educational, and cognitive consequences. Curr. Dir. Psychol. Sci. 2002, 11, 181–185. [Google Scholar] [CrossRef]
- Belmonte, V. Inteligencia Emocional y Creatividad: Factores Predictores del Rendimiento Académico. [Emotional Intelligence and Creativity: Predictors of Academic Performance]. Ph.D. Thesis, University of Murcia, Murcia, Spain, 2013. [Google Scholar]
- Pérez-González, J.C.; Cejudo-Prado, M.J.; Duran-Arias, C.R. Emotional intelligence as a non-cognitive predictor of academic performance. Pers. Individ. Dif. 2014, 60, S30. [Google Scholar] [CrossRef]
- Bar-On, R.; Parker, J.D.A. BarOn Emotional Quotient Inventory: Youth Version; Multi-Health System, Incorporated: Toronto, ON, Canada, 2000. [Google Scholar]
- Viguer, P.; Cantero, M.J.; Bañuls, R. Enhancing emotional intelligence at school: Evaluation of the effectiveness of a two-year intervention program in Spanish pre-adolescents. Pers. Individ. Dif. 2017, 113, 193–200. [Google Scholar] [CrossRef]
- Zeidner, M.; Roberts, R.D.; Matthews, G. Can emotional intelligence be schooled? A critical review. Educ. Psychol. 2002, 37, 215–231. [Google Scholar] [CrossRef]
- Qualter, P.; Whiteley, H.E.; Hutchinson, J.M.; Pope, D.J. Supporting the development of emotional intelligence competencies to ease the transition from primary to high school. Educ. Psychol. Pract. 2007, 23, 79–95. [Google Scholar] [CrossRef]




| Group | T1 | T2 | T3 | T4 | F (3, 178), p | Post hoc | |
|---|---|---|---|---|---|---|---|
| Emotional Intelligence | Intervention | 56.18 (0.86) | 58.81 (0.61) | 58.49 (0.55) | 60.81 (0.52) | 22.4 p < 0.001 | T1 < T2 *** T1 < T3 ** T1 < T4 *** T2 < T4 *** T3 < T4 *** |
| Comparison | 55.31 (1.48) | 54.41 (1.05) | 54.61 (0.94) | 52.94 (0.90) | 3.2 p = 0.02 | T3 > T4 * | |
| General Academic Performance | Intervention | 6.25 (0.09) | 6.82 (0.09) | 6.38 (0.10) | 6.84 (0.10) | 90.8 p < 0.001 | T1 < T2 * T1 < T4 *** T2 > T3 *** T3 < T4 *** |
| Comparison | 6.69 (0.16) | 6.34 (0.16) | 6.38 (0.17) | 6.22 (0.18) | 10.4 p < 0.001 | T1 > T2 *** T1 > T4* | |
| Mathematics Performance | Intervention | 6.00 (0.13) | 6.75 (0.12) | 6.43 (0.15) | 6.66 (0.14) | 24.6 p < 0.001 | T1 < T2 *** T1 < T3 * T1 < T4 *** |
| Comparison | 6.00 (0.22) | 5.83 (0.21) | 6.28 (0.25) | 5.96 (0.24) | 1.9 p = 0.14 | N/A | |
| Language Performance | Intervention | 6.43 (0.12) | 6.92 (0.11) | 6.32 (0.12) | 6.74 (0.11) | 19.2 p < 0.001 | T1 < T2 *** T1 < T4 * T2 > T3 *** T3 < T4 *** |
| Comparison | 7.07 (0.21) | 6.33 (0.18) | 5.80 (0.20) | 6.17 (0.19) | 15.1 p < 0.001 | T1 > T2 *** T1 > T3 *** T1 > T4 *** T2 > T3 * |
Publisher’s Note: MDPI stays neutral with regard to jurisdictional claims in published maps and institutional affiliations. |
© 2020 by the authors. Licensee MDPI, Basel, Switzerland. This article is an open access article distributed under the terms and conditions of the Creative Commons Attribution (CC BY) license (http://creativecommons.org/licenses/by/4.0/).
Share and Cite
Cantero, M.-J.; Bañuls, R.; Viguer, P. Effectiveness of an Emotional Intelligence Intervention and Its Impact on Academic Performance in Spanish Pre-Adolescent Elementary Students: Results from the EDI Program. Int. J. Environ. Res. Public Health 2020, 17, 7621. https://doi.org/10.3390/ijerph17207621
Cantero M-J, Bañuls R, Viguer P. Effectiveness of an Emotional Intelligence Intervention and Its Impact on Academic Performance in Spanish Pre-Adolescent Elementary Students: Results from the EDI Program. International Journal of Environmental Research and Public Health. 2020; 17(20):7621. https://doi.org/10.3390/ijerph17207621
Chicago/Turabian StyleCantero, María-José, Raquel Bañuls, and Paz Viguer. 2020. "Effectiveness of an Emotional Intelligence Intervention and Its Impact on Academic Performance in Spanish Pre-Adolescent Elementary Students: Results from the EDI Program" International Journal of Environmental Research and Public Health 17, no. 20: 7621. https://doi.org/10.3390/ijerph17207621
APA StyleCantero, M.-J., Bañuls, R., & Viguer, P. (2020). Effectiveness of an Emotional Intelligence Intervention and Its Impact on Academic Performance in Spanish Pre-Adolescent Elementary Students: Results from the EDI Program. International Journal of Environmental Research and Public Health, 17(20), 7621. https://doi.org/10.3390/ijerph17207621

